Accelerating the Discovery of Anticancer Peptides through Deep Forest Architecture with Deep Graphical Representation
Abstract
1. Introduction
2. Results and Discussion
2.1. Evaluation Metrics
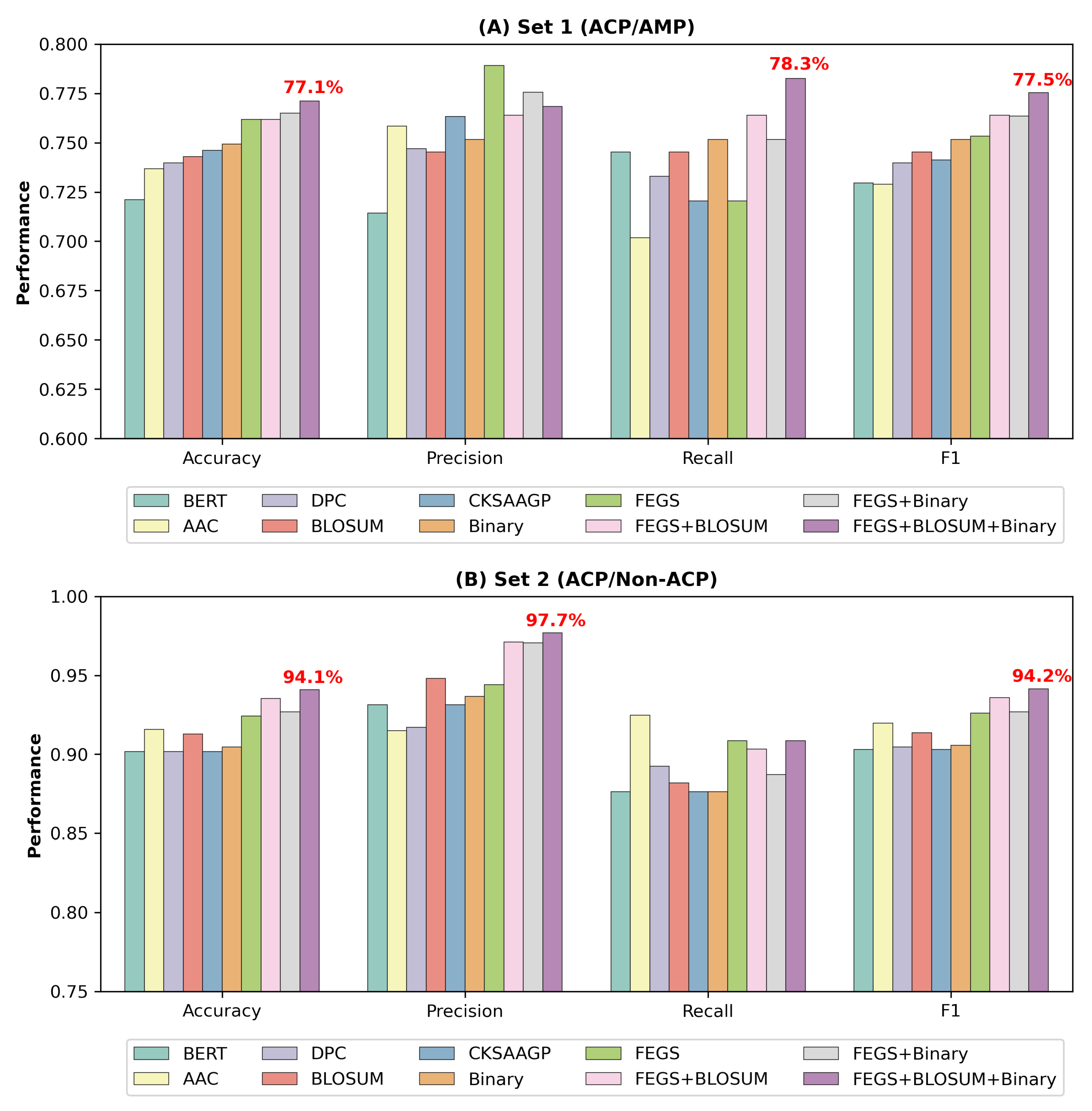
2.2. Performance Analysis
2.3. ROC and PR Curves
2.4. Effectiveness Analysis of the Deep Forest Approach
2.5. Feature Analysis
3. Materials and Methods
3.1. Dataset Preparation
3.2. Feature Extraction
3.2.1. Graphical Feature Extraction
3.2.2. Evolutionary Information Representation
3.2.3. Binary Profile Representation
3.3. Deep Forest Architecture
4. Conclusions
Supplementary Materials
Author Contributions
Funding
Institutional Review Board Statement
Informed Consent Statement
Data Availability Statement
Acknowledgments
Conflicts of Interest
References
- Sudhakar, A. History of cancer, ancient and modern treatment methods. J. Cancer Sci. Ther. 2009, 1, 1. [Google Scholar] [CrossRef] [PubMed]
- Baudino, T.A. Targeted cancer therapy: The next generation of cancer treatment. Curr. Drug Discov. Technol. 2015, 12, 3–20. [Google Scholar] [CrossRef] [PubMed]
- Wicki, A.; Witzigmann, D.; Balasubramanian, V.; Huwyler, J. Nanomedicine in cancer therapy: Challenges, opportunities, and clinical applications. J. Control. Release 2015, 200, 138–157. [Google Scholar] [CrossRef] [PubMed]
- Liu, W.; Tang, H.; Li, L.; Wang, X.; Yu, Z.; Li, J. Peptide-based therapeutic cancer vaccine: Current trends in clinical application. Cell Prolif. 2021, 54, e13025. [Google Scholar] [CrossRef] [PubMed]
- Xiao, Y.F.; Jie, M.M.; Li, B.S.; Hu, C.J.; Xie, R.; Tang, B.; Yang, S.M. Peptide-based treatment: A promising cancer therapy. J. Immunol. Res. 2015, 2015, 761820. [Google Scholar] [CrossRef]
- Magana, M.; Pushpanathan, M.; Santos, A.L.; Leanse, L.; Fernandez, M.; Ioannidis, A.; Giulianotti, M.A.; Apidianakis, Y.; Bradfute, S.; Ferguson, A.L.; et al. The value of antimicrobial peptides in the age of resistance. Lancet Infect. Dis. 2020, 20, e216–e230. [Google Scholar] [CrossRef]
- Mahlapuu, M.; Björn, C.; Ekblom, J. Antimicrobial peptides as therapeutic agents: Opportunities and challenges. Crit. Rev. Biotechnol. 2020, 40, 978–992. [Google Scholar] [CrossRef]
- Pasupuleti, M.; Schmidtchen, A.; Malmsten, M. Antimicrobial peptides: Key components of the innate immune system. Crit. Rev. Biotechnol. 2012, 32, 143–171. [Google Scholar] [CrossRef]
- Hoskin, D.W.; Ramamoorthy, A. Studies on anticancer activities of antimicrobial peptides. Biochim. Biophys. Acta (BBA)-Biomembr. 2008, 1778, 357–375. [Google Scholar] [CrossRef]
- Schweizer, F. Cationic amphiphilic peptides with cancer-selective toxicity. Eur. J. Pharmacol. 2009, 625, 190–194. [Google Scholar] [CrossRef]
- Kozłowska, K.; Nowak, J.; Kwiatkowski, B.; Cichorek, M. ESR study of plasmatic membrane of the transplantable melanoma cells in relation to their biological properties. Exp. Toxicol. Pathol. 1999, 51, 89–92. [Google Scholar] [CrossRef]
- Li, Y.C.; Park, M.J.; Ye, S.K.; Kim, C.W.; Kim, Y.N. Elevated levels of cholesterol-rich lipid rafts in cancer cells are correlated with apoptosis sensitivity induced by cholesterol-depleting agents. Am. J. Pathol. 2006, 168, 1107–1118. [Google Scholar] [CrossRef]
- Xie, M.; Liu, D.; Yang, Y. Anti-cancer peptides: Classification, mechanism of action, reconstruction and modification. Open Biol. 2020, 10, 200004. [Google Scholar] [CrossRef]
- Schaduangrat, N.; Nantasenamat, C.; Prachayasittikul, V.; Shoombuatong, W. ACPred: A computational tool for the prediction and analysis of anticancer peptides. Molecules 2019, 24, 1973. [Google Scholar] [CrossRef]
- Agrawal, P.; Bhagat, D.; Mahalwal, M.; Sharma, N.; Raghava, G.P. AntiCP 2.0: An updated model for predicting anticancer peptides. Briefings Bioinform. 2021, 22, bbaa153. [Google Scholar] [CrossRef]
- Chung, C.R.; Kuo, T.R.; Wu, L.C.; Lee, T.Y.; Horng, J.T. Characterization and identification of antimicrobial peptides with different functional activities. Briefings Bioinform. 2020, 21, 1098–1114. [Google Scholar] [CrossRef]
- Jhong, J.H.; Yao, L.; Pang, Y.; Li, Z.; Chung, C.R.; Wang, R.; Li, S.; Li, W.; Luo, M.; Ma, R.; et al. dbAMP 2.0: Updated resource for antimicrobial peptides with an enhanced scanning method for genomic and proteomic data. Nucleic Acids Res. 2022, 50, D460–D470. [Google Scholar] [CrossRef]
- Veltri, D.; Kamath, U.; Shehu, A. Deep learning improves antimicrobial peptide recognition. Bioinformatics 2018, 34, 2740–2747. [Google Scholar] [CrossRef]
- LeCun, Y.; Bengio, Y.; Hinton, G. Deep learning. Nature 2015, 521, 436–444. [Google Scholar] [CrossRef]
- Sundermeyer, M.; Ney, H.; Schlüter, R. From feedforward to recurrent LSTM neural networks for language modeling. IEEE/ACM Trans. Audio Speech Lang. Process. 2015, 23, 517–529. [Google Scholar] [CrossRef]
- Su, X.; Xu, J.; Yin, Y.; Quan, X.; Zhang, H. Antimicrobial peptide identification using multi-scale convolutional network. BMC Bioinform. 2019, 20, 1–10. [Google Scholar] [CrossRef] [PubMed]
- Zhou, Z.H.; Feng, J. Deep forest. Natl. Sci. Rev. 2019, 6, 74–86. [Google Scholar] [CrossRef] [PubMed]
- Mu, Z.; Yu, T.; Liu, X.; Zheng, H.; Wei, L.; Liu, J. FEGS: A novel feature extraction model for protein sequences and its applications. BMC Bioinform. 2021, 22, 1–15. [Google Scholar] [CrossRef] [PubMed]
- Wei, L.; Ye, X.; Sakurai, T.; Mu, Z.; Wei, L. ToxIBTL: Prediction of peptide toxicity based on information bottleneck and transfer learning. Bioinformatics 2022, 38, 1514–1524. [Google Scholar] [CrossRef]
- Tyagi, A.; Kapoor, P.; Kumar, R.; Chaudhary, K.; Gautam, A.; Raghava, G. In silico models for designing and discovering novel anticancer peptides. Sci. Rep. 2013, 3, 1–8. [Google Scholar] [CrossRef]
- Liang, Y.; Ma, X. iACP-GE: Accurate identification of anticancer peptides by using gradient boosting decision tree and extra tree. SAR QSAR Environ. Res. 2022, 1–19. [Google Scholar] [CrossRef]
- Arif, M.; Ahmed, S.; Ge, F.; Kabir, M.; Khan, Y.D.; Yu, D.J.; Thafar, M. StackACPred: Prediction of anticancer peptides by integrating optimized multiple feature descriptors with stacked ensemble approach. Chemom. Intell. Lab. Syst. 2022, 220, 104458. [Google Scholar] [CrossRef]
- Yu, L.; Jing, R.; Liu, F.; Luo, J.; Li, Y. DeepACP: A novel computational approach for accurate identification of anticancer peptides by deep learning algorithm. Mol. Ther.-Nucleic Acids 2020, 22, 862–870. [Google Scholar] [CrossRef]
- Ahmed, S.; Muhammod, R.; Khan, Z.H.; Adilina, S.; Sharma, A.; Shatabda, S.; Dehzangi, A. ACP-MHCNN: An accurate multi-headed deep-convolutional neural network to predict anticancer peptides. Sci. Rep. 2021, 11, 1–15. [Google Scholar] [CrossRef]
- Wei, L.; Ye, X.; Xue, Y.; Sakurai, T.; Wei, L. ATSE: A peptide toxicity predictor by exploiting structural and evolutionary information based on graph neural network and attention mechanism. Briefings Bioinform. 2021, 22, bbab041. [Google Scholar] [CrossRef]
- Shen, Z.; Deng, S.P.; Huang, D.S. Capsule network for predicting RNA-protein binding preferences using hybrid feature. IEEE/ACM Trans. Comput. Biol. Bioinform. 2019, 17, 1483–1492. [Google Scholar] [CrossRef]
- Ma, R.; Li, S.; Li, W.; Yao, L.; Huang, H.D.; Lee, T.Y. KinasePhos 3.0: Redesign and expansion of the prediction on kinase-specific phosphorylation sites. Genom. Proteom. Bioinform. 2022. [Google Scholar] [CrossRef]
- Lin, T.T.; Yang, L.Y.; Lu, I.H.; Cheng, W.C.; Hsu, Z.R.; Chen, S.H.; Lin, C.Y. AI4AMP: An antimicrobial peptide predictor using physicochemical property-based encoding method and deep learning. Msystems 2021, 6, e00299-21. [Google Scholar] [CrossRef]
- An, J.Y.; Zhou, Y.; Zhang, L.; Niu, Q.; Wang, D.F. Improving self-interacting proteins prediction accuracy using protein evolutionary information and weighed-extreme learning machine. Curr. Bioinform. 2019, 14, 115–122. [Google Scholar] [CrossRef]
- Liu, B.; Li, C.C.; Yan, K. DeepSVM-fold: Protein fold recognition by combining support vector machines and pairwise sequence similarity scores generated by deep learning networks. Briefings Bioinform. 2020, 21, 1733–1741. [Google Scholar] [CrossRef]
- Yi, H.C.; You, Z.H.; Zhou, X.; Cheng, L.; Li, X.; Jiang, T.H.; Chen, Z.H. ACP-DL: A deep learning long short-term memory model to predict anticancer peptides using high-efficiency feature representation. Mol. Ther.-Nucleic Acids 2019, 17, 1–9. [Google Scholar] [CrossRef]
- Xiao, X.; Shao, S.; Ding, Y.; Huang, Z.; Chou, K. Using cellular automata images and pseudo amino acid composition to predict protein subcellular location. Amino Acids 2006, 30, 49. [Google Scholar] [CrossRef]
- Azim, S.M.; Sharma, A.; Noshadi, I.; Shatabda, S.; Dehzangi, I. A convolutional neural network based tool for predicting protein AMPylation sites from binary profile representation. Sci. Rep. 2022, 12, 11451. [Google Scholar] [CrossRef]
- Xu, J.; Li, F.; Leier, A.; Xiang, D.; Shen, H.H.; Marquez Lago, T.T.; Li, J.; Yu, D.J.; Song, J. Comprehensive assessment of machine learning-based methods for predicting antimicrobial peptides. Briefings Bioinform. 2021, 22, bbab083. [Google Scholar] [CrossRef]
- Ishwaran, H. The effect of splitting on random forests. Mach. Learn. 2015, 99, 75–118. [Google Scholar] [CrossRef]
- Nembrini, S.; König, I.R.; Wright, M.N. The revival of the Gini importance? Bioinformatics 2018, 34, 3711–3718. [Google Scholar] [CrossRef] [PubMed]
- Lv, Z.; Cui, F.; Zou, Q.; Zhang, L.; Xu, L. Anticancer peptides prediction with deep representation learning features. Briefings Bioinform. 2021, 22, bbab008. [Google Scholar] [CrossRef] [PubMed]
- Henikoff, S.; Henikoff, J.G. Amino acid substitution matrices from protein blocks. Proc. Natl. Acad. Sci. USA 1992, 89, 10915–10919. [Google Scholar] [CrossRef] [PubMed]
- Chen, J.; Cheong, H.H.; Siu, S.W. XDeep-AcPEP: Deep learning method for anticancer Peptide activity prediction Based on convolutional neural network and multitask learning. J. Chem. Inf. Model. 2021, 61, 3789–3803. [Google Scholar] [CrossRef]
- Qureshi, A.; Tandon, H.; Kumar, M. AVP-IC50Pred: Multiple machine learning techniques-based prediction of peptide antiviral activity in terms of half maximal inhibitory concentration (IC50). Pept. Sci. 2015, 104, 753–763. [Google Scholar] [CrossRef]






| Dataset | Method | Accuracy | Precision | Recall | F1 |
|---|---|---|---|---|---|
| Set 1 | AntiCP | 53.29% | 52.03% | 95.65% | 67.40% |
| AntiCP2 | 70.22% | 75.78% | 62.25% | 67.13% | |
| AMPFun | 68.65% | 67.84% | 72.05% | 69.88% | |
| dbAMP | 67.40% | 63.77% | 81.99% | 71.74% | |
| ACPred | 54.86% | 53.23% | 86.96% | 66.04% | |
| iACP-GE | 75.86% | 75.30% | 77.63% | 76.45% | |
| StackACPred | 73.04% | 75.51% | 68.94% | 72.07% | |
| DeepACP | 57.99% | 55.05% | 91.30% | 68.69% | |
| ACP-MHCNN | 57.05% | 54.28% | 94.40% | 68.93% | |
| This study | 77.12% | 76.83% | 78.26% | 77.54% | |
| Set 2 | AntiCP | 87.92% | 100.00% | 76.88% | 86.93% |
| AntiCP2 | 91.57% | 92.39% | 91.40% | 91.89% | |
| AMPFun | 77.25% | 89.47% | 63.98% | 74.61% | |
| dbAMP | 49.72% | 51.71% | 56.99% | 54.22% | |
| ACPred | 88.48% | 89.62% | 88.17% | 88.89% | |
| iACP-GE | 89.60% | 92.57% | 87.09% | 89.75% | |
| StackACPred | 92.97% | 96.00% | 90.32% | 93.07% | |
| DeepACP | 90.73% | 93.60% | 87.97% | 90.70% | |
| ACP-MHCNN | 91.57% | 95.34% | 88.17% | 91.62% | |
| This study | 94.10% | 97.69% | 90.86% | 94.15% |
| Method | Accuracy | Precision | Recall | F1 | |
|---|---|---|---|---|---|
| Set 1 | SVM | 74.29% | 78.42% | 67.70% | 72.67% |
| XGBoost | 73.04% | 72.73% | 74.53% | 73.62% | |
| RF | 75.24% | 75.95% | 74.53% | 75.24% | |
| This study (Deep forest) | 77.12% | 76.83% | 78.26% | 77.54% | |
| Set 2 | SVM | 87.36% | 97.96% | 77.42% | 86.49% |
| XGBoost | 92.13% | 94.89% | 89.78% | 92.27% | |
| RF | 92.70% | 97.62% | 88.17% | 92.66% | |
| This study (Deep forest) | 94.10% | 97.69% | 90.86% | 94.15% |
| Positive | Negative | Total | Description of Positives and Negatives | ||
|---|---|---|---|---|---|
| Set 1 | Train Set | 632 | 641 | 1273 | The positives were anticancer peptides. The |
| Test Set | 161 | 158 | 319 | negatives were antimicrobial peptides other | |
| than anticancer peptides. | |||||
| Set 2 | Train Set | 716 | 677 | 1393 | The positives were anticancer peptides. The |
| Test Set | 186 | 170 | 356 | negatives were chosen at random from the | |
| Swiss-Prot database. |
Disclaimer/Publisher’s Note: The statements, opinions and data contained in all publications are solely those of the individual author(s) and contributor(s) and not of MDPI and/or the editor(s). MDPI and/or the editor(s) disclaim responsibility for any injury to people or property resulting from any ideas, methods, instructions or products referred to in the content. |
© 2023 by the authors. Licensee MDPI, Basel, Switzerland. This article is an open access article distributed under the terms and conditions of the Creative Commons Attribution (CC BY) license (https://creativecommons.org/licenses/by/4.0/).
Share and Cite
Yao, L.; Li, W.; Zhang, Y.; Deng, J.; Pang, Y.; Huang, Y.; Chung, C.-R.; Yu, J.; Chiang, Y.-C.; Lee, T.-Y. Accelerating the Discovery of Anticancer Peptides through Deep Forest Architecture with Deep Graphical Representation. Int. J. Mol. Sci. 2023, 24, 4328. https://doi.org/10.3390/ijms24054328
Yao L, Li W, Zhang Y, Deng J, Pang Y, Huang Y, Chung C-R, Yu J, Chiang Y-C, Lee T-Y. Accelerating the Discovery of Anticancer Peptides through Deep Forest Architecture with Deep Graphical Representation. International Journal of Molecular Sciences. 2023; 24(5):4328. https://doi.org/10.3390/ijms24054328
Chicago/Turabian StyleYao, Lantian, Wenshuo Li, Yuntian Zhang, Junyang Deng, Yuxuan Pang, Yixian Huang, Chia-Ru Chung, Jinhan Yu, Ying-Chih Chiang, and Tzong-Yi Lee. 2023. "Accelerating the Discovery of Anticancer Peptides through Deep Forest Architecture with Deep Graphical Representation" International Journal of Molecular Sciences 24, no. 5: 4328. https://doi.org/10.3390/ijms24054328
APA StyleYao, L., Li, W., Zhang, Y., Deng, J., Pang, Y., Huang, Y., Chung, C.-R., Yu, J., Chiang, Y.-C., & Lee, T.-Y. (2023). Accelerating the Discovery of Anticancer Peptides through Deep Forest Architecture with Deep Graphical Representation. International Journal of Molecular Sciences, 24(5), 4328. https://doi.org/10.3390/ijms24054328

