Ephedra foeminea as a Novel Source of Antimicrobial and Anti-Biofilm Compounds to Fight Multidrug Resistance Phenotype
Abstract
1. Introduction
2. Results
2.1. Antimicrobial and Antibiofilm Activity of E. foeminea Extracts
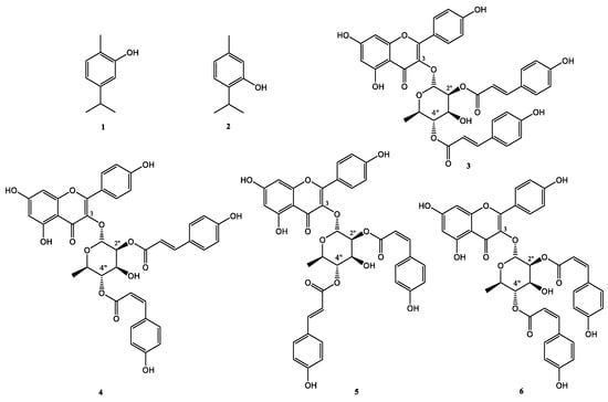
2.2. Bioguided Fractionation of Plant Extracts Followed by Isolation and Identification of Active Compounds
2.3. Evaluation of the Antimicrobial Activity of Isolated Compounds 1–6
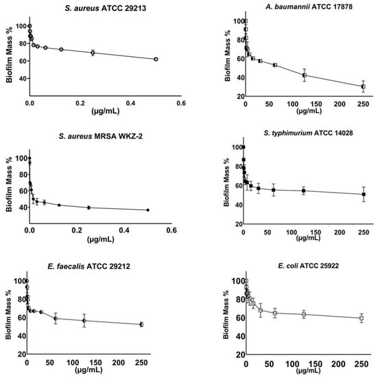
2.4. Evaluation of the Antibiofilm Activity of Kaempferol-3-O-α-L-(2″,4″-di-E-p-coumaroyl)-rhamnopyranoside (Compound 3)
2.5. Prediction of the Target of Kaempferol-3-O-α-L-(2″, 4″-di-E-p-coumaroyl)-rhamnopyranoside Antimicrobial and Antibiofilm Activity by Molecular Docking
2.6. Analysis of Kaempferol-3-O- α-L-(2″,4″-di-E-p-coumaroyl)-rhamnopyranoside Biocompatibility
3. Discussion
4. Materials and Methods
4.1. Materials
4.2. Ephedra Foeminea Plant Collection and Identification
4.3. Plant Extract Preparation and Purification
4.4. Bacterial Strains and Growth Conditions
4.5. Antimicrobial Activity
4.6. Antibiofilm Activity Assays
4.7. Eukaryotic Cell Cultures and Biocompatibility Evaluation
4.8. Molecular Docking Analyses
4.9. Statistical Analyses
Supplementary Materials
Author Contributions
Funding
Institutional Review Board Statement
Informed Consent Statement
Data Availability Statement
Conflicts of Interest
References
- Svoboda, K.; Brooker, J.D.; Zrustova, J. Antibacterial and Antioxident Properties of Essential Oils: Their Potential Applications in the Food Industries. Acta Hortic. 2006, 709, 35–44. [Google Scholar] [CrossRef]
- Valle, D.L., Jr.; Andrade, J.I.; Puzon, J.J.M.; Cabrera, E.C.; Rivera, W.L. Antibacterial activities of ethanol extracts of Philippine medicinal plants against multidrug-resistant bacteria. Asian Pac. J. Trop. Biomed. 2015, 5, 532–540. [Google Scholar] [CrossRef]
- Savoia, D. Plant-derived antimicrobial compounds: Alternatives to antibiotics. Future Microbiol. 2012, 7, 979. [Google Scholar] [CrossRef] [PubMed]
- Cowan, M.M. Plant product as antimicrobial agents. Clin. Microbiol. Rev. 1999, 12, 564–582. [Google Scholar] [CrossRef] [PubMed]
- Garcia, A.; Bocanegra-Garcia, V.; Palma-Nicolas, J.P.; Rivera, G. Recent advances in antitubercular natural products. Eur. J. Med. Chem. 2012, 49, 1–23. [Google Scholar] [CrossRef]
- Kurek, A.; Grudniak, A.M.; Kraczkiewicz, D.A.; Wolska, K.I. New antibacterial therapeutics and strategies. Pol. J. Microbiol. 2011, 60, 3–12. [Google Scholar] [CrossRef]
- Fowler, Z.L.; Baron, C.M.; Panepinto, J.C.; Koffas, M.A. Melanization of flavonoids by fungal and bacterial laccases. Yeast 2011, 28, 181–188. [Google Scholar] [CrossRef]
- WHO. WHO Traditional Medicine Strategy; WHO: Geneva, Switzerland, 2002. [Google Scholar]
- Sahib, N.G.; Anwar, F.; Gilani, A.H.; Hamid, A.A.; Saari, N.; Alkharfy, K.M. Coriander Coriandrum sativum L.: A potential source of high-value components for functional foods and nutraceuticals—A review. Phytother. Res. 2013, 27, 1439–1456. [Google Scholar] [CrossRef]
- O’Dowd, N.A.; McCauley, G.; Wilson, J.A.N.; Parnell, T.A.K.; Kavanaugh, D. In vitro culture, micropropagation and the production of ephedrine and other alkaloids. In Biotechnology in Agriculture and Forestry; Bajaj, Y.P.S., Ed.; Springer: Berlin/Heidelberg, Germany, 1998; p. 41. [Google Scholar] [CrossRef]
- Pirbalouti, A.G.; Azizi, S.; Amirmohammadi, M.; Craker, L. Healing effect of hydro-alcoholic extract of Ephedra pachyclada Boiss. in experimentally gastric ulcer in rat. Acta Pol. Pharm. 2013, 70, 1003–1009. [Google Scholar]
- Hollander, J.L.; Vander Wall, S.B.; Baguley, J.G. Evolution of seed dispersal in North American Ephedra. Evol. Ecol. 2010, 24, 333–345. [Google Scholar] [CrossRef]
- Ickert-Bond, S.M.; Rydin, C.; Renner, S.S. A fossil-calibrated relaxed clock for Ephedra indicates an Oligocene age for the divergence of Asian and New World clades and Miocene dispersal into South America. J. Syst. Evol. 2009, 47, 444–456. [Google Scholar] [CrossRef]
- Sawalha, A.F. Complementary and alternative medicine (CAM) in Palestine: Use and safety implications. J. Altern. Complement. Med. 2007, 13, 263–270. [Google Scholar] [CrossRef] [PubMed]
- Abou-Elkhair, E.; Fadda, H.; Abu-Mohsen, U. Antibacterial activity and Phytochemical analysis of some medicinal plants from Gaza Strip-Palestine. J. Al-Azhar Univ.-Gaza 2010, 12, 45–54. [Google Scholar]
- Ickert-Bond, S.M.; Renner, S.S. The Gnetales: Recent insights on their morphology, reproductive biology, chromosome numbers, biogeography and divergence times. J. Syst. Evol. 2016, 54, 1–16. [Google Scholar] [CrossRef]
- Danin, A. Flora of Israel. Available online: http://flora.huji.ac.il/browseasp (accessed on 10 December 2018).
- Yeung, E.C. Embryogeny of Pbaseolus: The role of the suspensor. Z. Pflanzenphysiol. 1980, 96, 17–28. [Google Scholar] [CrossRef]
- Kallassy, H.; Fayyad-Kazan, M.; Makki, R.; Yolla, E.M.; Rammal, H.; Leger, D.Y.; Badran, B. Chemical composition and antioxidant, anti-inflammatory and antiproliferative activities of Lebanese Ephedra campylopoda plant. Med. Sci. Monit. Basic Res. 2017, 23, 313. [Google Scholar] [CrossRef]
- Ibragic, S.; Sofic, E. Chemical composition of various Ephedra species. Bosn. J. Basic Med. Sci. 2015, 15, 21–27. [Google Scholar] [CrossRef] [PubMed]
- González-Juárez, D.E.; Escobedo-Moratilla, A.; Flores, J.; Hidalgo-Figueroa, S.; Martínez-Tagüeña, N.; Morales-Jiménez, J.; Muñiz-Ramírez, A.; Pastor-Palacios, G.; Pérez-Miranda, S.; Ramírez-Hernández, A.; et al. A Review of the Ephedra genus: Distribution, Ecology, Ethnobotany, Phytochemistry and Pharmacological Properties. Molecules 2020, 25, 3283. [Google Scholar] [CrossRef]
- Mills, S.; Bone, K. The Essential Guide to Herbal Safety; Elsevier Inc.: St. Louis, MO, USA, 2004. [Google Scholar]
- Mendelovich, M.; Shoshan, M.; Fridlender, M.; Mazuz, M.; Namder, D.; Nallathambi, R.; Selvaraj, G.; Kumari, P.; Ion, A.; Wininger, S.; et al. Effect of Ephedra foeminea active compounds on cell viability and actin structures in cancer cell lines. J. Med. Plants Res. 2017, 11, 690–702. [Google Scholar] [CrossRef]
- Ismail, S.M.; Adwan, G.B.; Jarrar, N.R. Evaluation of Antimicrobial and Genotoxic Activity of Ephedra foeminea Ethanolic and Aqueous Extracts on Escherichia coli. Jordan J. Biol. Sci. 2020, 13, 123–126. [Google Scholar]
- Bloor, S.J. An antimicrobial kaempferol-diacyl-rhamnoside from Pentachondra pumila. Phytochemistry 1995, 38, 1033–1035. [Google Scholar] [CrossRef] [PubMed]
- Fiorini, C.; David, B.; Fourasté, I.; Vercauteren, J. Acylated kaempferol glycosides from Laurus nobilis leaves. Phytochemistry 1998, 47, 821–824. [Google Scholar] [CrossRef]
- Rao, J.M.L.; Yada, H.; Ono, H.; Yoshida, M. Acylated and non-acylated flavonol monoglycosides from the Indian minor spice nagkesar (Mammea longifolia). J. Agric. Food Chem. 2002, 50, 3143–3146. [Google Scholar] [CrossRef]
- Wang, G.J.; Tsai, T.H.; Lin, L.C. Prenylflavonol, acylated flavonol glycosides and related compounds from Epimedium sagittatum. Phytochemistry 2007, 68, 2455–2464. [Google Scholar] [CrossRef]
- Kuo, Y.C.; Lu, C.K.; Huang, L.W.; Kuo, Y.H.; Chang, C.; Hsu, F.L.; Lee, T.H. Inhibitory effects of acylated kaempferol glycosides from the leaves of Cinnamomum kotoense on the proliferation of human peripheral blood mononuclear cells. Planta Med. 2005, 71, 412–415. [Google Scholar] [CrossRef] [PubMed]
- Gaglione, R.; Cesaro, A.; Dell’Olmo, E.; Della Ventura, B.; Casillo, A.; Di Girolamo, R.; Velotta, R.; Notomista, E.; Veldhuizen, E.J.A.; Corsaro, M.M.; et al. Effects of human antimicrobial cryptides identified in apolipoprotein B depend on specific features of bacterial strains. Sci. Rep. 2019, 9, 6728. [Google Scholar] [CrossRef]
- Mazmanian, S.K.; Liu, G.; Ton-That, H.; Schneewind, O. Staphylococcus aureus sortase, an enzyme that anchors surface proteins to the cell wall. Science 1999, 285, 760–763. [Google Scholar] [CrossRef]
- Weiss, W.J.; Lenoy, E.; Murphy, T.; Tardio, L.; Burgio, P.; Projan, S.J.; Schneewind, O.; Alksne, L. Effect of srtA and srtB gene expression on the virulence of Staphylococcus aureus in animal models of infection. J. Antimicrob. Chemother. 2004, 53, 480–486. [Google Scholar] [CrossRef]
- Lei, S.; Hu, Y.; Yuan, C.; Sun, R.; Wang, J.; Zhang, Y.; Zhang, Y.; Lu, D.; Fu, L.; Jiang, F. Discovery of Sortase A covalent inhibitors with benzofuranene cyanide structures as potential antibacterial agents against Staphylococcus aureus. Eur. J. Med. Chem. 2022, 229, 114032. [Google Scholar] [CrossRef]
- Xiao, Z.P.; Wei, W.; Wang, P.F.; Shi, W.K.; Zhu, N.; Xie, M.Q.; Sun, Y.W.; Li, L.X.; Xie, Y.X.; Zhu, L.S.; et al. Synthesis and evaluation of new tyrosyl-tRNA synthetase inhibitors as antibacterial agents based on a N2-(arylacetyl) glycinanilide scaffold. Eur. J. Med. Chem. 2015, 102, 631–638. [Google Scholar] [CrossRef]
- Lapointe, J. Mechanism and evolution of multidomain aminoacyl-tRNA synthetases revealed by their inhibition by analogues of a reaction intermediate and by properties of truncated forms. J. Biomed. Sci. Eng. 2013, 6, 943–946. [Google Scholar] [CrossRef]
- Giegé, R.; Springer, M. Aminoacyl-tRNA Synthetases in the Bacterial World. EcoSal Plus 2012, 5. [Google Scholar] [CrossRef]
- Padhi, S.; Masi, M.; Chourasia, R.; Rajashekar, Y.; Rai, A.K.; Evidente, A. ADMET profile and virtual screening of plant and microbial natural metabolites as SARS-CoV-2 S1 glycoprotein receptor binding domain and main protease inhibitors. Eur. J. Pharmacol. 2020, 890, 2021. [Google Scholar] [CrossRef] [PubMed]
- Talukdar, R.; Padhi, S.; Rai, A.K.; Masi, M.; Evidente, A.; Jha, D.K.; Cimmino, A.; Tayung, K. Isolation and Characterization of an Endophytic Fungus Colletotrichum coccodes Producing Tyrosol from Houttuynia cordata Thunb. Using ITS2 RNA Secondary Structure and Molecular Docking Study. Front. Bioeng. Biotechnol. 2021, 9, 650247. [Google Scholar] [CrossRef] [PubMed]
- Righetti, P.G.; Boschetti, E. Low-Abundance Protein Access by Combinatorial Peptide Libraries. In Low-Abundance Proteome Discovery; Elsevier: Amsterdam, The Netherlands, 2013; pp. 79–157. [Google Scholar] [CrossRef]
- Zhang, D.; Gan, R.; Ge, Y.; Yang, Q.; Ge, J.; Li, H.; Corke, H. Research Progress on the Antibacterial Mechanisms of Carvacrol: A Mini Review. Bioact. Compd. Health Dis. 2018, 1, 71–81. [Google Scholar] [CrossRef]
- Marinelli, L.; Di Stefano, A.; Cacciatore, I. Carvacrol and its derivatives as antibacterial agents. Phytochem. Rev. 2018, 17, 903–921. [Google Scholar] [CrossRef]
- Stratakos, A.C.; Sima, F.; Ward, P.; Linton, M.; Kelly, C.; Pinkerton, L.; Stef, L.; Pet, I.; Corcionivoschi, N. The in vitro effect of carvacrol, a food additive, on the NBpathogenicity of O157 and non-O157 Shiga-toxin producing Escherichia coli. Food Control 2017, 84, 290–296. [Google Scholar] [CrossRef]
- Engel, J.B.; Heckler, C.; Tondo, E.C.; Daroit, D.J.; da Silva Malheirosm, P. Antimicrobial activity of free and liposome-encapsulated thymol and carvacrol against Salmonella and Staphylococcus aureus adhered to stainless steel. Int. J. Food Microbiol. 2017, 252, 18–23. [Google Scholar] [CrossRef] [PubMed]
- Carvalho, R.I.; Medeiros, A.S.D.J.; Chaves, M.; Souza, E.L.D.; Magnani, M. Lipids, pH and their interaction affect the inhibitory effects of carvacrol against Salmonella typhimurium PT4 and Escherichia coli O157:H7. Front. Microbiol. 2017, 8, 2701. [Google Scholar] [CrossRef]
- Chung, D.; Cho, T.J.; Rhee, M.S. Citrus fruit extracts with carvacrol and thymol eliminated 7-log acid-adapted Escherichia coli O157:H7, Salmonella typhimurium and Listeria monocytogenes: A potential of effective natural antibacterial agents. Food Res. Int. 2018, 107, 578. [Google Scholar] [CrossRef]
- Garcez, W.S.; Yoshida, M.; Gottlieb, O.R. Benzylisoquinoline alkaloids and flavonols from Ocotea vellosiana. Phytochemistry 1995, 39, 815–816. [Google Scholar] [CrossRef]
- Kawahara, N.; Satake, M.; Goda, Y. A new acylated flavonol glycoside from the leaves of Eriobotrya japonica. Chem. Pharm. Bull. 2002, 50, 1619–1620. [Google Scholar] [CrossRef]
- Lee, S.S.; Lin, H.C.; Chen, C.K. Acylated flavonol monorhamnosides, α-glucosidase inhibitors, from Machilus philippinensis. Phytochemistry 2008, 69, 2347–2353. [Google Scholar] [CrossRef] [PubMed]
- Otsuka, N.; Liu, M.H.; Shiota, S.; Ogawa, W.; Kuroda, T.; Hatano, T.; Tsuchiya, T. Anti-methicillin resistant Staphylococcus aureus (MRSA) compounds isolated from Laurus nobilis. Biol. Pharm. Bull. 2008, 31, 1794–1797. [Google Scholar] [CrossRef] [PubMed]
- Berger, S.; Braun, S. 200 and More NMR Experiments; Wiley-Vch: Weinheim, Germany, 2004; pp. 305–307. [Google Scholar]
- Gaglione, R.; Dell’Olmo, E.; Bosso, A.; Chino, M.; Pane, K.; Ascione, F.; Itri, F.; Caserta, S.; Amoresano, A.; Lombardi, A.; et al. Novel human bioactive peptides identified in apolipoprotein B: Evaluation of their therapeutic potential. Biochem. Pharmacol. 2017, 130, 34–50. [Google Scholar] [CrossRef] [PubMed]
- Pizzo, E.; Pane, K.; Bosso, A.; Landi, N.; Ragucci, S.; Russo, R.; Gaglione, R.; Torres, M.D.T.; de la Fuente-Nunez, C.; Arciello, A.; et al. Novel bioactive peptides from PD-L1/2, a type 1 ribosome inactivating protein from Phytolacca dioica L. Evaluation of their antimicrobial properties and antibiofilm activities. Biochim. Biophys. Acta Biomembr. 2018, 1860, 1425–1435. [Google Scholar] [CrossRef]
- Monti, D.M.; Guglielmi, F.; Monti, M.; Cozzolino, F.; Torrassa, S.; Relini, A.; Pucci, P.; Arciello, A.; Piccoli, R. Effects of a lipid environment on the fibrillogenic pathway of the N-terminal polypeptide of human apolipoprotein A-I, responsible for in vivo amyloid fibril formation. Eur. Biophys. J. 2010, 39, 1289–1299. [Google Scholar] [CrossRef]
- Gaglione, R.; Cesaro, A.; Dell’Olmo, E.; Di Girolamo, R.; Tartaglione, L.; Pizzo, E.; Arciello, A. Cryptides Identified in Human Apolipoprotein B as New Weapons to Fight Antibiotic Resistance in Cystic Fibrosis Disease. Int. J. Mol. Sci. 2020, 21, 2049. [Google Scholar] [CrossRef]
- Guo, J.; Qin, S.; Wei, Y.; Liu, S.; Peng, H.; Li, Q.; Luo, L.; Lv, M. Silver nanoparticles exert concentration-dependent influences on biofilm development and architecture. Cell Prolif. 2019, 52, e12616. [Google Scholar] [CrossRef]
- Liu, Y.; Grimm, M.; Dai, W.-T.; Hou, M.C.; Xiao, Z.X.; Cao, Y. CB-Dock: A web server for cavity detection-guided protein–ligand blind docking. Acta Pharm. Sin. 2020, 41, 138–144. [Google Scholar] [CrossRef]









| MIC100 (mg/mL) | ||||
|---|---|---|---|---|
| Gram-Positive Strains | Ethanol | Hexane | Dichloromethane | Ethyl Acetate |
| S. aureus ATCC 29213 | 2.5 | 0.625 | 1.25 | 2.5 |
| S. aureus MRSA WKZ-2 | 10 | - | - | - |
| E. faecalis ATCC 29212 | 10 | - | - | - |
| Gram-Negative Strains | ||||
| E. coli ATCC 25922 | 1.25 | 2.5 | 2.5 | 2.5 |
| S. typhimurium ATCC 14028 | 2.5 | 1.25 | 2.5 | 2.5 |
| A. baumannii ATCC 17878 | 5 | - | - | - |
| MIC100 (µg/mL) | ||
|---|---|---|
| Gram-Positive Strains | Compound 3 | Gentamycin |
| S. aureus ATCC 29213 | 0.49 | ≤1 |
| S. aureus MRSA WKZ-2 | 0.49 | ≤1 |
| E. faecalis ATCC 29212 | 500 | ≤8 |
| Gram-Negative Strains | ||
| E. coli ATCC 25922 | 250 | ≤4 |
| S. typhimurium ATCC 14028 | 1000 | ≤15 |
| A. baumannii ATCC 17878 | 1000 | ≤2 |
Disclaimer/Publisher’s Note: The statements, opinions and data contained in all publications are solely those of the individual author(s) and contributor(s) and not of MDPI and/or the editor(s). MDPI and/or the editor(s) disclaim responsibility for any injury to people or property resulting from any ideas, methods, instructions or products referred to in the content. |
© 2023 by the authors. Licensee MDPI, Basel, Switzerland. This article is an open access article distributed under the terms and conditions of the Creative Commons Attribution (CC BY) license (https://creativecommons.org/licenses/by/4.0/).
Share and Cite
Ismail, S.; Gaglione, R.; Masi, M.; Padhi, S.; Rai, A.K.; Omar, G.; Cimmino, A.; Arciello, A. Ephedra foeminea as a Novel Source of Antimicrobial and Anti-Biofilm Compounds to Fight Multidrug Resistance Phenotype. Int. J. Mol. Sci. 2023, 24, 3284. https://doi.org/10.3390/ijms24043284
Ismail S, Gaglione R, Masi M, Padhi S, Rai AK, Omar G, Cimmino A, Arciello A. Ephedra foeminea as a Novel Source of Antimicrobial and Anti-Biofilm Compounds to Fight Multidrug Resistance Phenotype. International Journal of Molecular Sciences. 2023; 24(4):3284. https://doi.org/10.3390/ijms24043284
Chicago/Turabian StyleIsmail, Shurooq, Rosa Gaglione, Marco Masi, Srichandan Padhi, Amit K. Rai, Ghadeer Omar, Alessio Cimmino, and Angela Arciello. 2023. "Ephedra foeminea as a Novel Source of Antimicrobial and Anti-Biofilm Compounds to Fight Multidrug Resistance Phenotype" International Journal of Molecular Sciences 24, no. 4: 3284. https://doi.org/10.3390/ijms24043284
APA StyleIsmail, S., Gaglione, R., Masi, M., Padhi, S., Rai, A. K., Omar, G., Cimmino, A., & Arciello, A. (2023). Ephedra foeminea as a Novel Source of Antimicrobial and Anti-Biofilm Compounds to Fight Multidrug Resistance Phenotype. International Journal of Molecular Sciences, 24(4), 3284. https://doi.org/10.3390/ijms24043284

