Genetic and Clinical Characteristics of Korean Chronic Lymphocytic Leukemia Patients with High Frequencies of MYD88 Mutations
Abstract
1. Introduction
2. Results
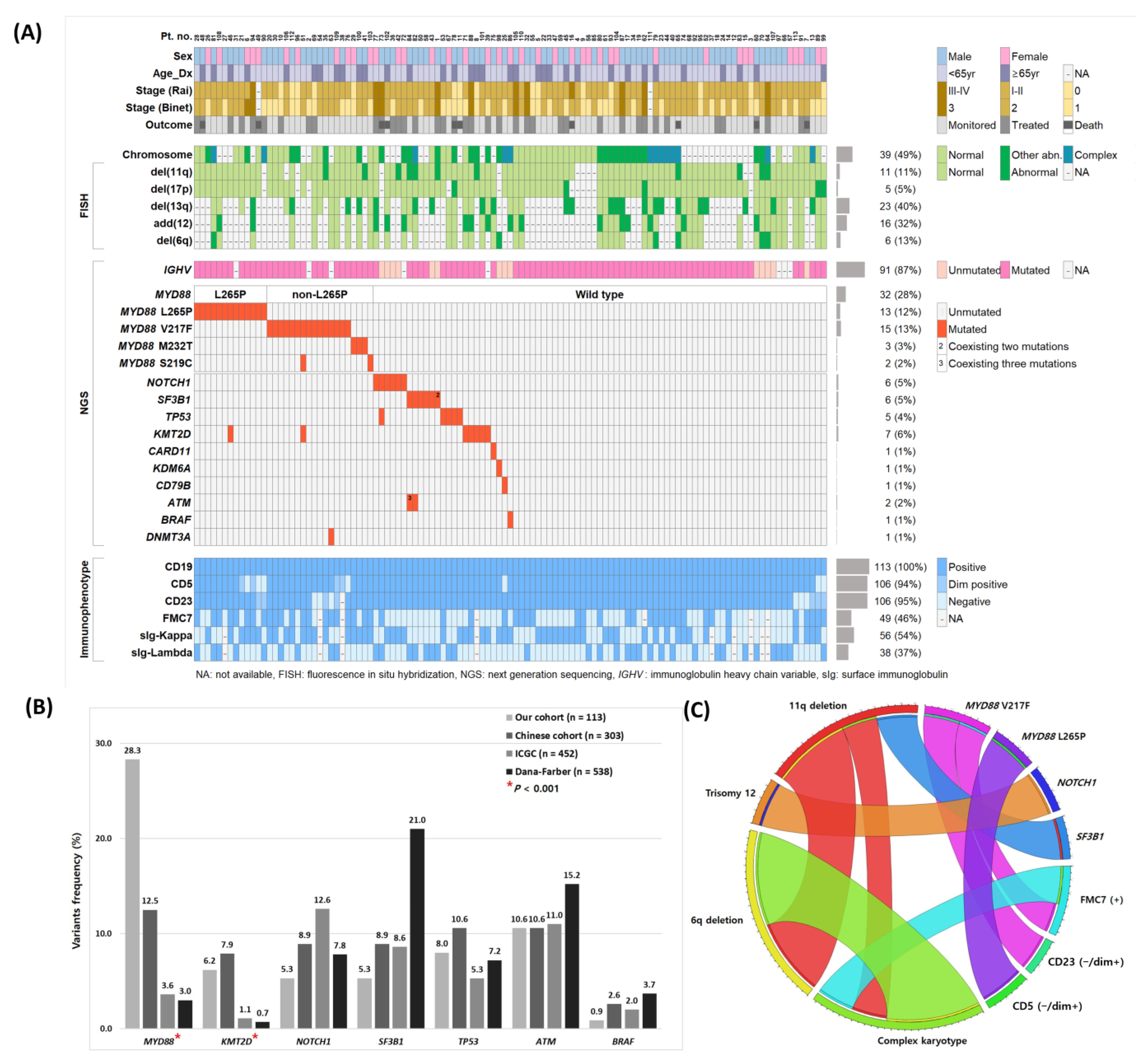
2.1. Clinical and Phenotypic Characteristics
2.2. Genetic Profile of CLL
2.3. Characteristics of the MYD88 Mutations in CLL
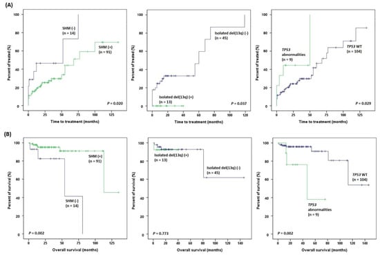
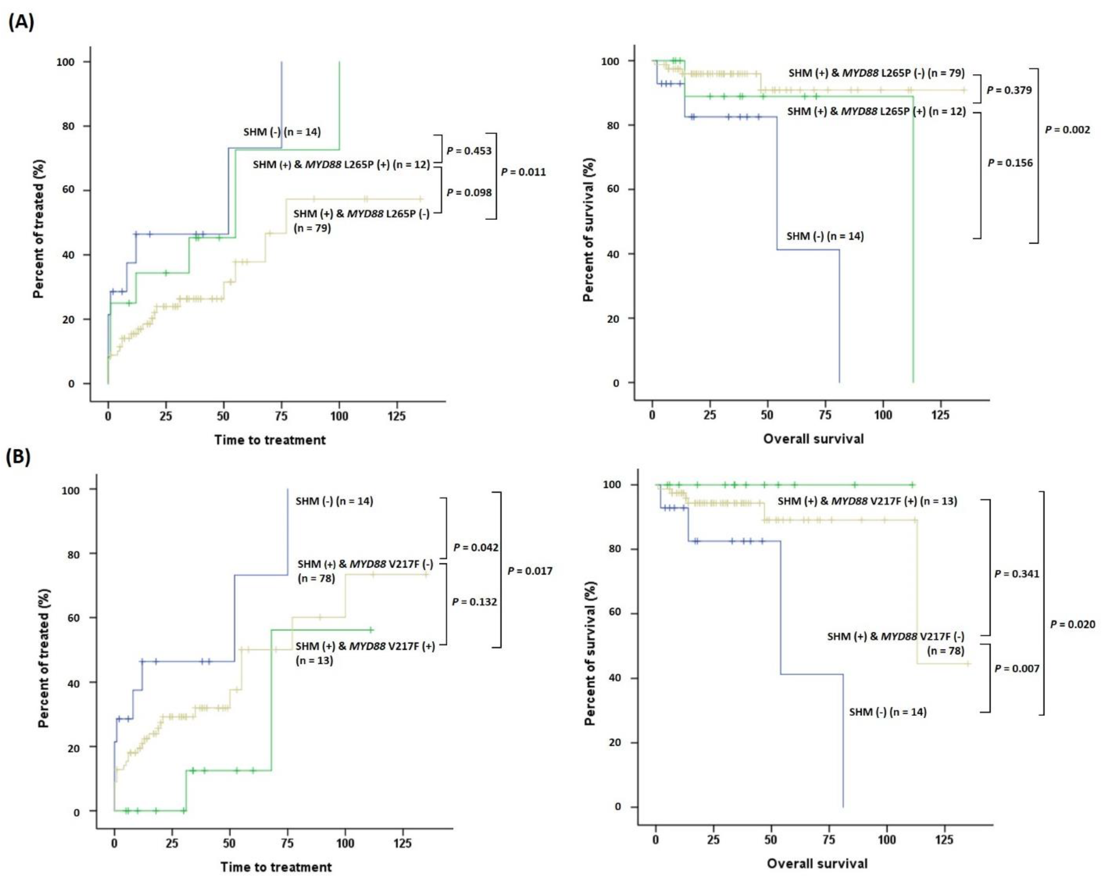
2.4. Treatment Outcomes
3. Discussion
4. Materials and Methods
4.1. Patients
4.2. Flow Cytometric Immunophenotyping
4.3. Conventional Cytogenetics and FISH
4.4. NGS-Based IGH Gene Rearrangements and IGHV Mutation Analysis
4.5. NGS-Based Multi-Gene Mutation Analysis
4.6. Statistical Analysis
Supplementary Materials
Author Contributions
Funding
Institutional Review Board Statement
Informed Consent Statement
Data Availability Statement
Conflicts of Interest
References
- Swerdlow, S.H.; Campo, E.; Pileri, S.A.; Harris, N.L.; Stein, H.; Siebert, R.; Advani, R.; Ghielmini, M.; Salles, G.A.; Zelenetz, A.D.; et al. The 2016 revision of the World Health Organization classification of lymphoid neoplasms. Blood 2016, 127, 2375–2390. [Google Scholar] [CrossRef] [PubMed]
- Hallek, M.; Cheson, B.D.; Catovsky, D.; Caligaris-Cappio, F.; Dighiero, G.; Döhner, H.; Hillmen, P.; Keating, M.J.; Montserrat, E.; Rai, K.R.; et al. Guidelines for the diagnosis and treatment of chronic lymphocytic leukemia: A report from the International Workshop on Chronic Lymphocytic Leukemia updating the National Cancer Institute-Working Group 1996 guidelines. Blood 2008, 111, 5446–5456. [Google Scholar] [CrossRef] [PubMed]
- D’Arena, G.; Di Renzo, N.; Brugiatelli, M.; Vigliotti, M.L.; Keating, M.J. Biological and clinical heterogeneity of B-cell chronic lymphocytic leukemia. Leuk. Lymphoma 2003, 44, 223–228. [Google Scholar] [CrossRef] [PubMed]
- Matutes, E.; Owusu-Ankomah, K.; Morilla, R.; Garcia Marco, J.; Houlihan, A.; Que, T.H.; Catovsky, D. The immunological profile of B-cell disorders and proposal of a scoring system for the diagnosis of CLL. Leukemia 1994, 8, 1640–1645. [Google Scholar]
- Moreau, E.J.; Matutes, E.; A’Hern, R.P.; Morilla, A.M.; Morilla, R.M.; Owusu-Ankomah, K.A.; Seon, B.K.; Catovsky, D. Improvement of the chronic lymphocytic leukemia scoring system with the monoclonal antibody SN8 (CD79b). Am. J. Clin. Pathol. 1997, 108, 378–382. [Google Scholar] [CrossRef] [PubMed]
- Bosch, F.; Dalla-Favera, R. Chronic lymphocytic leukaemia: From genetics to treatment. Nat. Rev. Clin. Oncol. 2019, 16, 684–701. [Google Scholar] [CrossRef] [PubMed]
- Brown, J.R. Optimizing Treatment Approaches for Chronic Lymphocytic Leukemia/Small Lymphocytic Lymphoma. J. Natl. Compr. Cancer Netw. 2021, 19, 1339–1342. [Google Scholar] [CrossRef]
- Gutierrez, C.; Wu, C.J. Clonal dynamics in chronic lymphocytic leukemia. Blood Adv. 2019, 3, 3759–3769. [Google Scholar] [CrossRef]
- Parviz, M.; Brieghel, C.; Agius, R.; Niemann, C.U. Prediction of clinical outcome in CLL based on recurrent gene mutations, CLL-IPI variables, and (para)clinical data. Blood Adv. 2022, 6, 3716–3728. [Google Scholar] [CrossRef]
- Baliakas, P.; Jeromin, S.; Iskas, M.; Puiggros, A.; Plevova, K.; Nguyen-Khac, F.; Davis, Z.; Rigolin, G.M.; Visentin, A.; Xochelli, A.; et al. Cytogenetic complexity in chronic lymphocytic leukemia: Definitions, associations, and clinical impact. Blood 2019, 133, 1205–1216. [Google Scholar] [CrossRef]
- Meier-Abt, F.; Lu, J.; Cannizzaro, E.; Pohly, M.F.; Kummer, S.; Pfammatter, S.; Kunz, L.; Collins, B.C.; Nadeu, F.; Lee, K.S.; et al. The protein landscape of chronic lymphocytic leukemia. Blood 2021, 138, 2514–2525. [Google Scholar] [CrossRef] [PubMed]
- Rotbain, E.C.; Frederiksen, H.; Hjalgrim, H.; Rostgaard, K.; Egholm, G.J.; Zahedi, B.; Poulsen, C.B.; Enggard, L.; da Cunha-Bang, C.; Niemann, C.U. IGHV mutational status and outcome for patients with chronic lymphocytic leukemia upon treatment: A Danish nationwide population-based study. Haematologica 2020, 105, 1621–1629. [Google Scholar] [CrossRef] [PubMed]
- Gaidano, G.; Rossi, D. The mutational landscape of chronic lymphocytic leukemia and its impact on prognosis and treatment. Hematol. Am. Soc. Hematol. Educ. Program 2017, 2017, 329–337. [Google Scholar] [CrossRef] [PubMed]
- Langerak, A.W.; Davi, F.; Stamatopoulos, K. Immunoglobulin heavy variable somatic hyper mutation status in chronic lymphocytic leukaemia: On the threshold of a new era? Br. J. Haematol. 2020, 189, 809–810. [Google Scholar] [CrossRef]
- Gupta, S.K.; Viswanatha, D.S.; Patel, K.P. Evaluation of somatic hypermutation status in chronic lymphocytic leukemia (CLL) in the era of next generation sequencing. Front. Cell Dev. Biol. 2020, 8, 357. [Google Scholar] [CrossRef]
- Wang, L.; Lawrence, M.S.; Wan, Y.; Stojanov, P.; Sougnez, C.; Stevenson, K.; Werner, L.; Sivachenko, A.; DeLuca, D.S.; Zhang, L. SF3B1 and other novel cancer genes in chronic lymphocytic leukemia. N. Engl. J. Med. 2011, 365, 2497–2506. [Google Scholar] [CrossRef]
- Quesada, V.; Conde, L.; Villamor, N.; Ordóñez, G.R.; Jares, P.; Bassaganyas, L.; Ramsay, A.J.; Beà, S.; Pinyol, M.; Martínez-Trillos, A. Exome sequencing identifies recurrent mutations of the splicing factor SF3B1 gene in chronic lymphocytic leukemia. Nat. Genet. 2012, 44, 47–52. [Google Scholar] [CrossRef]
- Landau, D.A.; Tausch, E.; Taylor-Weiner, A.N.; Stewart, C.; Reiter, J.G.; Bahlo, J.; Kluth, S.; Bozic, I.; Lawrence, M.; Böttcher, S.; et al. Mutations driving CLL and their evolution in progression and relapse. Nature 2015, 526, 525–530. [Google Scholar] [CrossRef]
- Cherng, H.J.; Jammal, N.; Paul, S.; Wang, X.; Sasaki, K.; Thompson, P.; Burger, J.; Ferrajoli, A.; Estrov, Z.; O’Brien, S.; et al. Clinical and molecular characteristics and treatment patterns of adolescent and young adult patients with chronic lymphocytic leukaemia. Br. J. Haematol. 2021, 194, 61–68. [Google Scholar] [CrossRef]
- Yang, S.; Varghese, A.M.; Sood, N.; Chiattone, C.; Akinola, N.O.; Huang, X.; Gale, R.P. Ethnic and geographic diversity of chronic lymphocytic leukaemia. Leukemia 2021, 35, 433–439. [Google Scholar] [CrossRef]
- Miranda-Filho, A.; Piñeros, M.; Ferlay, J.; Soerjomataram, I.; Monnereau, A.; Bray, F. Epidemiological patterns of leukaemia in 184 countries: A population-based study. Lancet Haematol. 2018, 5, e14–e24. [Google Scholar] [CrossRef]
- Jeon, Y.W.; Cho, S.G. Chronic lymphocytic leukemia: A clinical review including Korean cohorts. Korean J. Intern. Med. 2016, 31, 433–443. [Google Scholar] [CrossRef] [PubMed]
- Gale, R.P.; Cozen, W.; Goodman, M.T.; Wang, F.F.; Bernstein, L. Decreased chronic lymphocytic leukemia incidence in Asians in Los Angeles County. Leuk. Res. 2000, 24, 665–669. [Google Scholar] [CrossRef] [PubMed]
- Tomomatsu, J.; Isobe, Y.; Oshimi, K.; Tabe, Y.; Ishii, K.; Noguchi, M.; Hirano, T.; Komatsu, N.; Sugimoto, K. Chronic lymphocytic leukemia in a Japanese population: Varied immunophenotypic profile, distinctive usage of frequently mutated IGH gene, and indolent clinical behavior. Leuk. Lymphoma 2010, 51, 2230–2239. [Google Scholar] [CrossRef] [PubMed]
- Jang, M.A.; Yoo, E.H.; Kim, K.; Kim, W.S.; Jung, C.W.; Kim, S.H.; Kim, H.J. Chronic lymphocytic leukemia in Korean patients: Frequent atypical immunophenotype and relatively aggressive clinical behavior. Int. J. Hematol. 2013, 97, 403–408. [Google Scholar] [CrossRef] [PubMed]
- Yang, S.M.; Li, J.Y.; Gale, R.P.; Huang, X.J. The mystery of chronic lymphocytic leukemia (CLL): Why is it absent in Asians and what does this tell us about etiology, pathogenesis and biology? Blood Rev. 2015, 29, 205–213. [Google Scholar] [CrossRef]
- Yoon, J.H.; Kim, Y.; Yahng, S.A.; Shin, S.H.; Lee, S.E.; Cho, B.S.; Eom, K.S.; Kim, Y.J.; Lee, S.; Kim, H.J.; et al. Validation of Western common recurrent chromosomal aberrations in Korean chronic lymphocytic leukaemia patients with very low incidence. Hematol. Oncol. 2014, 32, 169–177. [Google Scholar] [CrossRef]
- Yi, J.H.; Lee, G.-W.; Lee, J.H.; Yoo, K.H.; Jung, C.W.; Kim, D.S.; Lee, J.-O.; Eom, H.S.; Byun, J.M.; Koh, Y. Multicenter retrospective analysis of patients with chronic lymphocytic leukemia in Korea. Blood Res. 2021, 56, 243–251. [Google Scholar] [CrossRef]
- Wu, S.J.; Lin, C.T.; Agathangelidis, A.; Lin, L.I.; Kuo, Y.Y.; Tien, H.F.; Ghia, P. Distinct molecular genetics of chronic lymphocytic leukemia in Taiwan: Clinical and pathogenetic implications. Haematologica 2017, 102, 1085–1090. [Google Scholar] [CrossRef]
- Yi, S.; Yan, Y.; Jin, M.; Xiong, W.; Yu, Z.; Yu, Y.; Cui, R.; Wang, J.; Wang, Y.; Lin, Y.; et al. High incidence of MYD88 and KMT2D mutations in Chinese with chronic lymphocytic leukemia. Leukemia 2021, 35, 2412–2415. [Google Scholar] [CrossRef]
- Miao, Y.; Zou, Y.X.; Gu, D.L.; Zhu, H.C.; Zhu, H.Y.; Wang, L.; Liang, J.H.; Xia, Y.; Wu, J.Z.; Shao, C.L.; et al. SF3B1 mutation predicts unfavorable treatment-free survival in Chinese chronic lymphocytic leukemia patients. Ann. Transl. Med. 2019, 7, 176. [Google Scholar] [CrossRef] [PubMed]
- Zou, Y.; Fan, L.; Xia, Y.; Miao, Y.; Wu, W.; Cao, L.; Wu, J.; Zhu, H.; Qiao, C.; Wang, L.; et al. NOTCH1 mutation and its prognostic significance in Chinese chronic lymphocytic leukemia: A retrospective study of 317 cases. Cancer Med. 2018, 7, 1689–1696. [Google Scholar] [CrossRef] [PubMed]
- Döhner, H.; Stilgenbauer, S.; Benner, A.; Leupolt, E.; Kröber, A.; Bullinger, L.; Döhner, K.; Bentz, M.; Lichter, P. Genomic aberrations and survival in chronic lymphocytic leukemia. N. Engl. J. Med. 2000, 343, 1910–1916. [Google Scholar] [CrossRef] [PubMed]
- Wu, S.J.; Lin, C.T.; Huang, S.Y.; Lee, F.Y.; Liu, M.C.; Hou, H.A.; Chen, C.Y.; Ko, B.S.; Chou, W.C.; Yao, M.; et al. Chromosomal abnormalities by conventional cytogenetics and interphase fluorescence in situ hybridization in chronic lymphocytic leukemia in Taiwan, an area with low incidence--clinical implication and comparison between the West and the East. Ann. Hematol. 2013, 92, 799–806. [Google Scholar] [CrossRef] [PubMed]
- Marinelli, M.; Ilari, C.; Xia, Y.; Del Giudice, I.; Cafforio, L.; Della Starza, I.; Raponi, S.; Mariglia, P.; Bonina, S.; Yu, Z.; et al. Immunoglobulin gene rearrangements in Chinese and Italian patients with chronic lymphocytic leukemia. Oncotarget 2016, 7, 20520–20531. [Google Scholar] [CrossRef] [PubMed]
- Jarosova, M.; Hruba, M.; Oltova, A.; Plevova, K.; Kruzova, L.; Kriegova, E.; Fillerova, R.; Koritakova, E.; Doubek, M.; Lysak, D.; et al. Chromosome 6q deletion correlates with poor prognosis and low relative expression of FOXO3 in chronic lymphocytic leukemia patients. Am. J. Hematol. 2017, 92, E604–E607. [Google Scholar] [CrossRef]
- Puente, X.S.; Beà, S.; Valdés-Mas, R.; Villamor, N.; Gutiérrez-Abril, J.; Martín-Subero, J.I.; Munar, M.; Rubio-Pérez, C.; Jares, P.; Aymerich, M. Non-coding recurrent mutations in chronic lymphocytic leukaemia. Nature 2015, 526, 519–524. [Google Scholar] [CrossRef]
- Hu, B.; Patel, K.P.; Chen, H.C.; Wang, X.; Luthra, R.; Routbort, M.J.; Kanagal-Shamanna, R.; Medeiros, L.J.; Yin, C.C.; Zuo, Z.; et al. Association of gene mutations with time-to-first treatment in 384 treatment-naive chronic lymphocytic leukaemia patients. Br. J. Haematol. 2019, 187, 307–318. [Google Scholar] [CrossRef]
- de Groen, R.A.; Schrader, A.M.; Kersten, M.J.; Pals, S.T.; Vermaat, J.S. MYD88 in the driver’s seat of B-cell lymphomagenesis: From molecular mechanisms to clinical implications. Haematologica 2019, 104, 2337. [Google Scholar] [CrossRef]
- Baer, C.; Dicker, F.; Kern, W.; Haferlach, T.; Haferlach, C. Genetic characterization of MYD88-mutated lymphoplasmacytic lymphoma in comparison with MYD88-mutated chronic lymphocytic leukemia. Leukemia 2017, 31, 1355–1362. [Google Scholar] [CrossRef]
- Landau, D.A.; Carter, S.L.; Stojanov, P.; McKenna, A.; Stevenson, K.; Lawrence, M.S.; Sougnez, C.; Stewart, C.; Sivachenko, A.; Wang, L.; et al. Evolution and impact of subclonal mutations in chronic lymphocytic leukemia. Cell 2013, 152, 714–726. [Google Scholar] [CrossRef]
- Nadeu, F.; Clot, G.; Delgado, J.; Martín-García, D.; Baumann, T.; Salaverria, I.; Beà, S.; Pinyol, M.; Jares, P.; Navarro, A.; et al. Clinical impact of the subclonal architecture and mutational complexity in chronic lymphocytic leukemia. Leukemia 2018, 32, 645–653. [Google Scholar] [CrossRef] [PubMed]
- Martínez-Trillos, A.; Pinyol, M.; Navarro, A.; Aymerich, M.; Jares, P.; Juan, M.; Rozman, M.; Colomer, D.; Delgado, J.; Giné, E.; et al. Mutations in TLR/MYD88 pathway identify a subset of young chronic lymphocytic leukemia patients with favorable outcome. Blood 2014, 123, 3790–3796. [Google Scholar] [CrossRef] [PubMed]
- Qin, S.C.; Xia, Y.; Miao, Y.; Zhu, H.Y.; Wu, J.Z.; Fan, L.; Li, J.Y.; Xu, W.; Qiao, C. MYD88 mutations predict unfavorable prognosis in Chronic Lymphocytic Leukemia patients with mutated IGHV gene. Blood Cancer J. 2017, 7, 651. [Google Scholar] [CrossRef] [PubMed]
- Improgo, M.R.; Tesar, B.; Klitgaard, J.L.; Magori-Cohen, R.; Yu, L.; Kasar, S.; Chaudhary, D.; Miao, W.; Fernandes, S.M.; Hoang, K.; et al. MYD88 L265P mutations identify a prognostic gene expression signature and a pathway for targeted inhibition in CLL. Br. J. Haematol. 2019, 184, 925–936. [Google Scholar]
- Jeromin, S.; Weissmann, S.; Haferlach, C.; Dicker, F.; Bayer, K.; Grossmann, V.; Alpermann, T.; Roller, A.; Kohlmann, A.; Haferlach, T.; et al. SF3B1 mutations correlated to cytogenetics and mutations in NOTCH1, FBXW7, MYD88, XPO1 and TP53 in 1160 untreated CLL patients. Leukemia 2014, 28, 108–117. [Google Scholar] [CrossRef]
- Baliakas, P.; Hadzidimitriou, A.; Agathangelidis, A.; Rossi, D.; Sutton, L.A.; Kminkova, J.; Scarfo, L.; Pospisilova, S.; Gaidano, G.; Stamatopoulos, K.; et al. Prognostic relevance of MYD88 mutations in CLL: The jury is still out. Blood 2015, 126, 1043–1044. [Google Scholar] [CrossRef]
- Shuai, W.; Lin, P.; Strati, P.; Patel, K.P.; Routbort, M.J.; Hu, S.; Wei, P.; Khoury, J.D.; You, M.J.; Loghavi, S.; et al. Clinicopathological characterization of chronic lymphocytic leukemia with MYD88 mutations: L265P and non-L265P mutations are associated with different features. Blood Cancer J. 2020, 10, 86. [Google Scholar] [CrossRef]
- Tate, J.G.; Bamford, S.; Jubb, H.C.; Sondka, Z.; Beare, D.M.; Bindal, N.; Boutselakis, H.; Cole, C.G.; Creatore, C.; Dawson, E.; et al. COSMIC: The Catalogue of Somatic Mutations In Cancer. Nucleic Acids Res. 2019, 47, D941–D947. [Google Scholar] [CrossRef]
- Rovira, J.; Karube, K.; Valera, A.; Colomer, D.; Enjuanes, A.; Colomo, L.; Martínez-Trillos, A.; Giné, E.; Dlouhy, I.; Magnano, L. MYD88 L265P mutations, but no other variants, identify a subpopulation of DLBCL patients of activated B-cell origin, extranodal involvement, and poor outcome. Clin. Cancer Res. 2016, 22, 2755–2764. [Google Scholar] [CrossRef]
- Mockridge, C.I.; Potter, K.N.; Wheatley, I.; Neville, L.A.; Packham, G.; Stevenson, F.K. Reversible anergy of sIgM-mediated signaling in the two subsets of CLL defined by VH-gene mutational status. Blood 2007, 109, 4424–4431. [Google Scholar] [CrossRef] [PubMed]
- Wang, J.Q.; Jeelall, Y.S.; Horikawa, K. Emerging targets in human lymphoma: Targeting the MYD88 mutation. Blood Lymphat. Cancer 2013, 53–61. [Google Scholar]
- Weber, A.N.R.; Cardona Gloria, Y.; Çınar, Ö.; Reinhardt, H.C.; Pezzutto, A.; Wolz, O.O. Oncogenic MYD88 mutations in lymphoma: Novel insights and therapeutic possibilities. Cancer Immunol. Immunother. 2018, 67, 1797–1807. [Google Scholar] [CrossRef]
- Byrd, J.C.; Harrington, B.; O’Brien, S.; Jones, J.A.; Schuh, A.; Devereux, S.; Chaves, J.; Wierda, W.G.; Awan, F.T.; Brown, J.R. Acalabrutinib (ACP-196) in relapsed chronic lymphocytic leukemia. N. Engl. J. Med. 2016, 374, 323–332. [Google Scholar] [CrossRef]
- Zenz, T.; Vollmer, D.; Trbusek, M.; Smardova, J.; Benner, A.; Soussi, T.; Helfrich, H.; Heuberger, M.; Hoth, P.; Fuge, M.; et al. TP53 mutation profile in chronic lymphocytic leukemia: Evidence for a disease specific profile from a comprehensive analysis of 268 mutations. Leukemia 2010, 24, 2072–2079. [Google Scholar] [CrossRef]
- Rossi, D.; Rasi, S.; Fabbri, G.; Spina, V.; Fangazio, M.; Forconi, F.; Marasca, R.; Laurenti, L.; Bruscaggin, A.; Cerri, M.; et al. Mutations of NOTCH1 are an independent predictor of survival in chronic lymphocytic leukemia. Blood 2012, 119, 521–529. [Google Scholar] [CrossRef] [PubMed]
- Balatti, V.; Bottoni, A.; Palamarchuk, A.; Alder, H.; Rassenti, L.Z.; Kipps, T.J.; Pekarsky, Y.; Croce, C.M. NOTCH1 mutations in CLL associated with trisomy 12. Blood 2012, 119, 329–331. [Google Scholar] [CrossRef]
- Helbig, D.R.; Abu-Zeinah, G.; Bhavsar, E.; Christos, P.J.; Furman, R.R.; Allan, J.N. Outcomes in CLL patients with NOTCH1 regulatory pathway mutations. Am. J. Hematol. 2021, 96, E187–E189. [Google Scholar] [CrossRef]
- Rosati, E.; Baldoni, S.; De Falco, F.; Del Papa, B.; Dorillo, E.; Rompietti, C.; Albi, E.; Falzetti, F.; Di Ianni, M.; Sportoletti, P. NOTCH1 Aberrations in Chronic Lymphocytic Leukemia. Front. Oncol. 2018, 8, 229. [Google Scholar] [CrossRef]
- Rawstron, A.C.; Kreuzer, K.A.; Soosapilla, A.; Spacek, M.; Stehlikova, O.; Gambell, P.; McIver-Brown, N.; Villamor, N.; Psarra, K.; Arroz, M.; et al. Reproducible diagnosis of chronic lymphocytic leukemia by flow cytometry: An European Research Initiative on CLL (ERIC) & European Society for Clinical Cell Analysis (ESCCA) Harmonisation project. Cytom. B Clin. Cytom. 2018, 94, 121–128. [Google Scholar]
- Rai, K.; Sawitsky, A.; Cronkite, E.; Chanana, A.; Levy, R.; Pasternack, B. Clinical staging of chronic lymphocytic leukemia. Blood 1975, 46, 219–234. [Google Scholar] [CrossRef] [PubMed]
- Binet, J.L.; Leporrier, M.; Dighiero, G.; Charron, D.; D’Athis, P.; Vaugier, G.; Beral, H.M.; Natali, J.C.; Raphael, M.; Nizet, B.; et al. A clinical staging system for chronic lymphocytic leukemia: Prognostic significance. Cancer 1977, 40, 855–864. [Google Scholar] [CrossRef]
- Hallek, M.; Cheson, B.D.; Catovsky, D.; Caligaris-Cappio, F.; Dighiero, G.; Döhner, H.; Hillmen, P.; Keating, M.; Montserrat, E.; Chiorazzi, N.; et al. iwCLL guidelines for diagnosis, indications for treatment, response assessment, and supportive management of CLL. Blood 2018, 131, 2745–2760. [Google Scholar] [CrossRef]
- McGowan-Jordan, J.; Simons, A.; Schmid, M. (Eds.) ISCN 2016: An International System for Human Cytogenomic Nomenclature (2016); Karger: Basel, Switzerland, 2016. [Google Scholar]
- Rosenquist, R.; Ghia, P.; Hadzidimitriou, A.; Sutton, L.A.; Agathangelidis, A.; Baliakas, P.; Darzentas, N.; Giudicelli, V.; Lefranc, M.P.; Langerak, A.W.; et al. Immunoglobulin gene sequence analysis in chronic lymphocytic leukemia: Updated ERIC recommendations. Leukemia 2017, 31, 1477–1481. [Google Scholar] [CrossRef] [PubMed]
- Li, M.M.; Datto, M.; Duncavage, E.J.; Kulkarni, S.; Lindeman, N.I.; Roy, S.; Tsimberidou, A.M.; Vnencak-Jones, C.L.; Wolff, D.J.; Younes, A.; et al. Standards and Guidelines for the Interpretation and Reporting of Sequence Variants in Cancer: A Joint Consensus Recommendation of the Association for Molecular Pathology, American Society of Clinical Oncology, and College of American Pathologists. J. Mol. Diagn. 2017, 19, 4–23. [Google Scholar] [CrossRef]
- Robinson, J.T.; Thorvaldsdóttir, H.; Wenger, A.M.; Zehir, A.; Mesirov, J.P. Variant Review with the Integrative Genomics Viewer. Cancer Res. 2017, 77, e31–e34. [Google Scholar] [CrossRef] [PubMed]





| Unmutated MYD88 (n = 81) | Mutated MYD88 (n = 32) | p | |||
|---|---|---|---|---|---|
| Characteristics | No. | % | No. | % | |
| Male sex | 53 | 65.4% | 21 | 65.6% | 1.000 |
| Age, years | 0.243 | ||||
| Median | 59 | 62 | |||
| Range | 32–81 | 35–87 | |||
| Rai stage | 0.208 | ||||
| 0 | 10 | 12.5% | 5 | 16.1% | |
| I–II | 60 | 75.0% | 25 | 80.6% | |
| III–IV | 10 | 12.5% | 1 | 3.2% | |
| Binet Stage | 0.466 | ||||
| A | 32 | 40.0% | 14 | 45.2% | |
| B | 39 | 48.8% | 15 | 48.4% | |
| C | 9 | 11.3% | 2 | 6.5% | |
| Immunophenotype | |||||
| Atypical Immunophenotype | 29/81 | 35.8% | 26/32 | 81.3% | <0.001 * |
| CD5(−/dim+) | 3/81 | 3.7% | 8/32 | 25.0% | 0.002 * |
| CD23(−/dim+) | 6/81 | 7.4% | 7/31 | 22.6% | 0.043 * |
| FMC7(+) | 28/77 | 36.4% | 21/30 | 70.0% | 0.002 * |
| Genetics | |||||
| Cytogenetic abnormalities | 49/75 | 65.3% | 12/32 | 37.5% | 0.010 * |
| del(11q) | 9/73 | 12.3% | 3/29 | 10.3% | 1.000 |
| del(17p) | 5/72 | 6.9% | 0/29 | 0.0% | 0.318 |
| del(13q) | 19/45 | 42.2% | 4/13 | 30.8% | 0.534 |
| add(12) | 15/41 | 36.6% | 2/10 | 20.0% | 0.463 |
| del(6q) | 6/37 | 16.2% | 2/11 | 18.2% | 1.000 |
| Other mutations | 27/81 | 34.2% | 3/32 | 10.3% | |
| KMT2D | 5/81 | 6.2% | 2/32 | 6.3% | 1.000 |
| SF3B1 | 6/81 | 7.4% | 0/32 | 0.0% | 0.181 |
| NOTCH1 | 6/81 | 7.4% | 0/32 | 0.0% | 0.181 |
| TP53 | 5/81 | 6.2% | 0/32 | 0.0% | 0.319 |
| IGHV (>2% mutation) | 62/76 | 81.6% | 29/29 | 100.0% | 0.010 * |
Disclaimer/Publisher’s Note: The statements, opinions and data contained in all publications are solely those of the individual author(s) and contributor(s) and not of MDPI and/or the editor(s). MDPI and/or the editor(s) disclaim responsibility for any injury to people or property resulting from any ideas, methods, instructions or products referred to in the content. |
© 2023 by the authors. Licensee MDPI, Basel, Switzerland. This article is an open access article distributed under the terms and conditions of the Creative Commons Attribution (CC BY) license (https://creativecommons.org/licenses/by/4.0/).
Share and Cite
Ahn, A.; Kim, H.S.; Kim, T.-Y.; Lee, J.-M.; Kang, D.; Yu, H.; Lee, C.Y.; Kim, Y.; Eom, K.-S.; Kim, M. Genetic and Clinical Characteristics of Korean Chronic Lymphocytic Leukemia Patients with High Frequencies of MYD88 Mutations. Int. J. Mol. Sci. 2023, 24, 3177. https://doi.org/10.3390/ijms24043177
Ahn A, Kim HS, Kim T-Y, Lee J-M, Kang D, Yu H, Lee CY, Kim Y, Eom K-S, Kim M. Genetic and Clinical Characteristics of Korean Chronic Lymphocytic Leukemia Patients with High Frequencies of MYD88 Mutations. International Journal of Molecular Sciences. 2023; 24(4):3177. https://doi.org/10.3390/ijms24043177
Chicago/Turabian StyleAhn, Ari, Hoon Seok Kim, Tong-Yoon Kim, Jong-Mi Lee, Dain Kang, Haein Yu, Chae Yeon Lee, Yonggoo Kim, Ki-Seong Eom, and Myungshin Kim. 2023. "Genetic and Clinical Characteristics of Korean Chronic Lymphocytic Leukemia Patients with High Frequencies of MYD88 Mutations" International Journal of Molecular Sciences 24, no. 4: 3177. https://doi.org/10.3390/ijms24043177
APA StyleAhn, A., Kim, H. S., Kim, T.-Y., Lee, J.-M., Kang, D., Yu, H., Lee, C. Y., Kim, Y., Eom, K.-S., & Kim, M. (2023). Genetic and Clinical Characteristics of Korean Chronic Lymphocytic Leukemia Patients with High Frequencies of MYD88 Mutations. International Journal of Molecular Sciences, 24(4), 3177. https://doi.org/10.3390/ijms24043177

