Therapeutic Potential of Dimethyl Fumarate in Counteract Oral Squamous Cell Carcinoma Progression by Modulating Apoptosis, Oxidative Stress and Epithelial–Mesenchymal Transition
Abstract
1. Introduction
2. Results
2.1. In Vitro Results
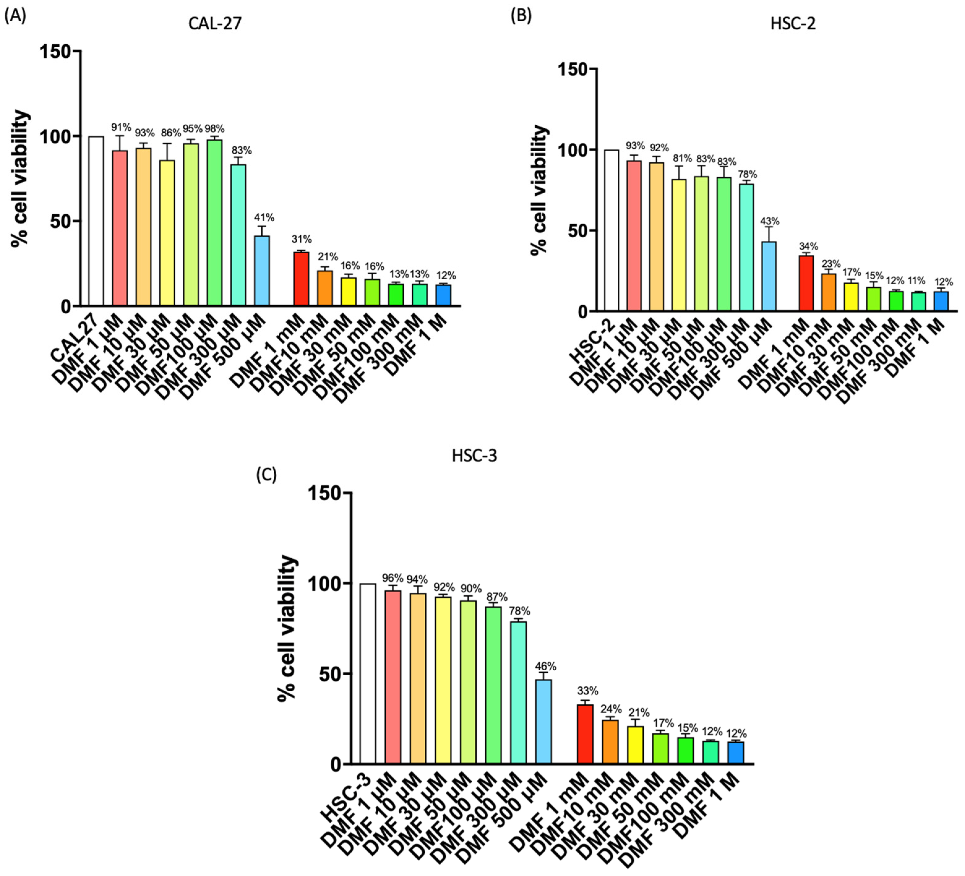
2.1.1. DMF Reduced OSCC Cell Viability
2.1.2. DMF Up-regulated Antioxidant Expression of HO-1 and MnSOD
2.1.3. DMF Modulated Apoptosis Pathway
2.1.4. DMF Regulated EMT Markers
2.1.5. DMF Reduced OSCC Cell Migration
2.1.6. DMF Reduced TNFα Expression
2.2. In Vivo Results
2.2.1. DMF Reduced Tumor Growth on OSCC Orthotopic Model
2.2.2. DMF Confirmed the Modulation of Apoptotic and Antioxidant Pathways in the Orthotopic Model
3. Discussion
4. Materials and Methods
4.1. In Vitro Studies
4.1.1. Materials
4.1.2. Cell Cultures
4.1.3. Cell Viability (MTT Assay)
4.1.4. Experimental Groups
- Control group: OSCC cell lines CAL27, HSC-2 and HSC-3;
- DMF 500 μM group: CAL27, HSC-2 and HSC-3 cells were treated with DMF 500 μM for 24 h;
- DMF 1 mM group: CAL27, HSC-2 and HSC-3 cells were treated with DMF 1 mM group for 24 h;
- DMF 10 mM group: CAL27, HSC-2 and HSC-3 cells were treated with DMF 10 mM for 24 h;
4.1.5. Western Blot Analysis
4.1.6. Wound Healing Assay (Scratch Test)
4.1.7. Enzyme-Linked Immunosorbent Assay (ELISA) for TNFα
4.2. In Vivo Studies
4.2.1. Animals
4.2.2. Orthotopic model of OSCC
- SHAM group (8): oral administration of saline; saline
- OSCC group (8): mice that received inoculation, orally administrated with saline;
- OSCC + DMF 30 mg/kg group (8): mice that received tumor cells inoculation, orally administered with DMF at the dose of 30 mg/kg;
- OSCC + DMF 100 mg/kg group (8): mice that received tumor cells inoculation, orally administered with DMF at the dose of 100 mg/kg.
4.2.3. Histological Evaluation
4.2.4. Western Blot Analysis
4.2.5. Statistical Analysis
5. Conclusions
Author Contributions
Funding
Institutional Review Board Statement
Informed Consent Statement
Data Availability Statement
Conflicts of Interest
References
- Johnson, D.E.; Burtness, B.; Leemans, C.R.; Lui, V.W.Y.; Bauman, J.E.; Grandis, J.R. Head and neck squamous cell carcinoma. Nat. Rev. Dis. Prim. 2020, 6, 92. [Google Scholar] [CrossRef] [PubMed]
- Wang, W.; Adeoye, J.; Thomson, P.; Choi, S.W. Statistical profiling of oral cancer and the prediction of outcome. J. Oral. Pathol. Med. 2021, 50, 39–46. [Google Scholar] [CrossRef] [PubMed]
- Thomson, P.J. Perspectives on oral squamous cell carcinoma prevention-proliferation, position, progression and prediction. J. Oral. Pathol. Med. 2018, 47, 803–807. [Google Scholar] [CrossRef] [PubMed]
- Taghavi, N.; Yazdi, I. Prognostic factors of survival rate in oral squamous cell carcinoma: Clinical, histologic, genetic and molecular concepts. Arch. Iran. Med. 2015, 18, 314–319. [Google Scholar]
- Linsen, S.S.; Gellrich, N.C.; Kruskemper, G. Age- and localization-dependent functional and psychosocial impairments and health related quality of life six months after OSCC therapy. Oral. Oncol. 2018, 81, 61–68. [Google Scholar] [CrossRef]
- Porter, S.; Gueiros, L.A.; Leao, J.C.; Fedele, S. Risk factors and etiopathogenesis of potentially premalignant oral epithelial lesions. Oral Surg. Oral Med. Oral Pathol. Oral Radiol. 2018, 125, 603–611. [Google Scholar] [CrossRef] [PubMed]
- Jiang, S.; Dong, Y. Human papillomavirus and oral squamous cell carcinoma: A review of HPV-positive oral squamous cell carcinoma and possible strategies for future. Curr. Probl. Cancer 2017, 41, 323–327. [Google Scholar] [CrossRef] [PubMed]
- Ghantous, Y.; Abu Elnaaj, I. Global Incidence and Risk Factors of Oral Cancer. Harefuah 2017, 156, 645–649. [Google Scholar] [PubMed]
- Frohwitter, G.; Zimmermann, O.L.; Kreutzer, K.; Doll, C.; Rendenbach, C.M.; Dommisch, H.; Wolff, K.D.; Kesting, M.R.; Heiland, M.; Koerdt, S. Oxidative and Nitrosative Stress in Oral Squamous Cell Carcinoma. Cells Tissues Organs 2020, 209, 120–127. [Google Scholar] [CrossRef] [PubMed]
- Chatterjee, R.; Ghosh, B.; Mandal, M.; Nawn, D.; Banerjee, S.; Pal, M.; Paul, R.R.; Banerjee, S.; Chatterjee, J. Pathophysiological relationship between hypoxia associated oxidative stress, Epithelial-mesenchymal transition, stemness acquisition and alteration of Shh/Gli-1 axis during oral sub-mucous fibrosis and oral squamous cell carcinoma. Eur. J. Cell Biol. 2021, 100, 151146. [Google Scholar] [CrossRef]
- Sheremata, W.; Brown, A.D.; Rammohan, K.W. Dimethyl fumarate for treating relapsing multiple sclerosis. Expert Opin. Drug Saf. 2015, 14, 161–170. [Google Scholar] [CrossRef] [PubMed]
- Mills, E.A.; Ogrodnik, M.A.; Plave, A.; Mao-Draayer, Y. Emerging Understanding of the Mechanism of Action for Dimethyl Fumarate in the Treatment of Multiple Sclerosis. Front. Neurol. 2018, 9, 5. [Google Scholar] [CrossRef]
- Yan, N.; Xu, Z.; Qu, C.; Zhang, J. Dimethyl fumarate improves cognitive deficits in chronic cerebral hypoperfusion rats by alleviating inflammation, oxidative stress, and ferroptosis via NRF2/ARE/NF-kappaB signal pathway. Int. Immunopharmacol. 2021, 98, 107844. [Google Scholar] [CrossRef] [PubMed]
- Yamazoe, Y.; Tsubaki, M.; Matsuoka, H.; Satou, T.; Itoh, T.; Kusunoki, T.; Kidera, Y.; Tanimori, Y.; Shoji, K.; Nakamura, H.; et al. Dimethylfumarate inhibits tumor cell invasion and metastasis by suppressing the expression and activities of matrix metalloproteinases in melanoma cells. Cell Biol. Int. 2009, 33, 1087–1094. [Google Scholar] [CrossRef] [PubMed]
- Ahmadi-Beni, R.; Najafi, A.; Savar, S.M.; Mohebbi, N.; Khoshnevisan, A. Role of dimethyl fumarate in the treatment of glioblastoma multiforme: A review article. Iran. J. Neurol. 2019, 18, 127–133. [Google Scholar] [CrossRef] [PubMed]
- Tsubaki, M.; Ogawa, N.; Takeda, T.; Sakamoto, K.; Shimaoka, H.; Fujita, A.; Itoh, T.; Imano, M.; Satou, T.; Nishida, S. Dimethyl fumarate induces apoptosis of hematopoietic tumor cells via inhibition of NF-kappaB nuclear translocation and down-regulation of Bcl-xL and XIAP. Biomed Pharm. 2014, 68, 999–1005. [Google Scholar] [CrossRef]
- Li, Y.; Jia, Y.; Xu, Y.; Li, K. DMF Activates NRF2 to Inhibit the Pro-Invasion Ability of TAMs in Breast Cancer. Front. Oncol. 2021, 11, 706448. [Google Scholar] [CrossRef] [PubMed]
- Schmitt, A.; Xu, W.; Bucher, P.; Grimm, M.; Konantz, M.; Horn, H.; Zapukhlyak, M.; Berning, P.; Brandle, M.; Jarboui, M.A.; et al. Dimethyl fumarate induces ferroptosis and impairs NF-kappaB/STAT3 signaling in DLBCL. Blood 2021, 138, 871–884. [Google Scholar] [CrossRef]
- Takeda, T.; Tsubaki, M.; Asano, R.; Itoh, T.; Imano, M.; Satou, T.; Nishida, S. Dimethyl fumarate suppresses metastasis and growth of melanoma cells by inhibiting the nuclear translocation of NF-kappaB. J. Dermatol. Sci. 2020, 99, 168–176. [Google Scholar] [CrossRef] [PubMed]
- Jia, B.; Dao, J.; Han, J.; Huang, Z.; Sun, X.; Zheng, X.; Xiang, S.; Zhou, H.; Liu, S. LINC00958 promotes the proliferation of TSCC via miR-211-5p/CENPK axis and activating the JAK/STAT3 signaling pathway. Cancer Cell Int. 2021, 21, 147. [Google Scholar] [CrossRef] [PubMed]
- Mohideen, K.; Sudhakar, U.; Balakrishnan, T.; Almasri, M.A.; Al-Ahmari, M.M.; Al Dira, H.S.; Suhluli, M.; Dubey, A.; Mujoo, S.; Khurshid, Z.; et al. Malondialdehyde, an Oxidative Stress Marker in Oral Squamous Cell Carcinoma-A Systematic Review and Meta-Analysis. Curr. Issues Mol. Biol. 2021, 43, 1019–1035. [Google Scholar] [CrossRef]
- Fox, R.J.; Kita, M.; Cohan, S.L.; Henson, L.J.; Zambrano, J.; Scannevin, R.H.; O’Gorman, J.; Novas, M.; Dawson, K.T.; Phillips, J.T. BG-12 (dimethyl fumarate): A review of mechanism of action, efficacy, and safety. Curr. Med. Res. Opin. 2014, 30, 251–262. [Google Scholar] [CrossRef] [PubMed]
- Chamorro-Petronacci, C.M.; Lafuente-Ibanez De Mendoza, I.; Suarez-Penaranda, J.M.; Padin-Iruegas, E.; Blanco-Carrion, A.; Lorenzo-Pouso, A.I.; Ortega, K.L.; Perez-Sayans, M. Immunohistochemical Characterization of Bcl-2 in Oral Potentially Malignant Disorders. Appl. Immunohistochem. Mol. Morphol. 2021, 29, 706–712. [Google Scholar] [CrossRef] [PubMed]
- Shen, J.; Huang, C.; Jiang, L.; Gao, F.; Wang, Z.; Zhang, Y.; Bai, J.; Zhou, H.; Chen, Q. Enhancement of cisplatin induced apoptosis by suberoylanilide hydroxamic acid in human oral squamous cell carcinoma cell lines. Biochem. Pharmacol. 2007, 73, 1901–1909. [Google Scholar] [CrossRef]
- McIlwain, D.R.; Berger, T.; Mak, T.W. Caspase functions in cell death and disease. Cold Spring Harb. Perspect. Biol. 2013, 5, a008656. [Google Scholar] [CrossRef]
- Mittal, V. Epithelial Mesenchymal Transition in Tumor Metastasis. Annu. Rev. Pathol. 2018, 13, 395–412. [Google Scholar] [CrossRef] [PubMed]
- Zhou, J.P.; Gao, Z.L.; Zhou, M.L.; He, M.Y.; Xu, X.H.; Tao, D.T.; Yang, C.C.; Liu, L.K. Snail interacts with Id2 in the regulation of TNF-alpha-induced cancer cell invasion and migration in OSCC. Am. J. Cancer Res. 2015, 5, 1680–1691. [Google Scholar] [PubMed]
- Campolo, M.; Casili, G.; Lanza, M.; Filippone, A.; Paterniti, I.; Cuzzocrea, S.; Esposito, E. Multiple mechanisms of dimethyl fumarate in amyloid beta-induced neurotoxicity in human neuronal cells. J. Cell Mol. Med. 2018, 22, 1081–1094. [Google Scholar] [CrossRef] [PubMed]
- Scuderi, S.A.; Casili, G.; Basilotta, R.; Lanza, M.; Filippone, A.; Raciti, G.; Puliafito, I.; Colarossi, L.; Esposito, E.; Paterniti, I. NLRP3 Inflammasome Inhibitor BAY-117082 Reduces Oral Squamous Cell Carcinoma Progression. Int. J. Mol. Sci. 2021, 22. [Google Scholar] [CrossRef] [PubMed]
- Liang, C.C.; Park, A.Y.; Guan, J.L. In vitro scratch assay: A convenient and inexpensive method for analysis of cell migration in vitro. Nat. Protoc. 2007, 2, 329–333. [Google Scholar] [CrossRef]
- Kedong, H.; Wang, D.; Sagaram, M.; An, H.S.; Chee, A. Anti-inflammatory effects of interleukin-4 on intervertebral disc cells. Spine J. 2020, 20, 60–68. [Google Scholar] [CrossRef] [PubMed]
- Marcazzan, S.; Dadbin, A.; Brachi, G.; Blanco, E.; Varoni, E.M.; Lodi, G.; Ferrari, M. Development of lung metastases in mouse models of tongue squamous cell carcinoma. Oral. Dis. 2021, 27, 494–505. [Google Scholar] [CrossRef]









Disclaimer/Publisher’s Note: The statements, opinions and data contained in all publications are solely those of the individual author(s) and contributor(s) and not of MDPI and/or the editor(s). MDPI and/or the editor(s) disclaim responsibility for any injury to people or property resulting from any ideas, methods, instructions or products referred to in the content. |
© 2023 by the authors. Licensee MDPI, Basel, Switzerland. This article is an open access article distributed under the terms and conditions of the Creative Commons Attribution (CC BY) license (https://creativecommons.org/licenses/by/4.0/).
Share and Cite
Basilotta, R.; Lanza, M.; Filippone, A.; Casili, G.; Mannino, D.; De Gaetano, F.; Chisari, G.; Colarossi, L.; Motta, G.; Campolo, M.; et al. Therapeutic Potential of Dimethyl Fumarate in Counteract Oral Squamous Cell Carcinoma Progression by Modulating Apoptosis, Oxidative Stress and Epithelial–Mesenchymal Transition. Int. J. Mol. Sci. 2023, 24, 2777. https://doi.org/10.3390/ijms24032777
Basilotta R, Lanza M, Filippone A, Casili G, Mannino D, De Gaetano F, Chisari G, Colarossi L, Motta G, Campolo M, et al. Therapeutic Potential of Dimethyl Fumarate in Counteract Oral Squamous Cell Carcinoma Progression by Modulating Apoptosis, Oxidative Stress and Epithelial–Mesenchymal Transition. International Journal of Molecular Sciences. 2023; 24(3):2777. https://doi.org/10.3390/ijms24032777
Chicago/Turabian StyleBasilotta, Rossella, Marika Lanza, Alessia Filippone, Giovanna Casili, Deborah Mannino, Federica De Gaetano, Giulia Chisari, Lorenzo Colarossi, Gianmarco Motta, Michela Campolo, and et al. 2023. "Therapeutic Potential of Dimethyl Fumarate in Counteract Oral Squamous Cell Carcinoma Progression by Modulating Apoptosis, Oxidative Stress and Epithelial–Mesenchymal Transition" International Journal of Molecular Sciences 24, no. 3: 2777. https://doi.org/10.3390/ijms24032777
APA StyleBasilotta, R., Lanza, M., Filippone, A., Casili, G., Mannino, D., De Gaetano, F., Chisari, G., Colarossi, L., Motta, G., Campolo, M., Cuzzocrea, S., Paterniti, I., & Esposito, E. (2023). Therapeutic Potential of Dimethyl Fumarate in Counteract Oral Squamous Cell Carcinoma Progression by Modulating Apoptosis, Oxidative Stress and Epithelial–Mesenchymal Transition. International Journal of Molecular Sciences, 24(3), 2777. https://doi.org/10.3390/ijms24032777

