Fusion of Wild-Type Mesoangioblasts with Myotubes of mtDNA Mutation Carriers Leads to a Proportional Reduction in mtDNA Mutation Load
Abstract
1. Introduction
2. Results
2.1. Myotube-MABs Fusion Events Can Be Visualised by Using a Y-Chromosome FISH Probe
2.2. Mutation-Free MABs Fuse Efficiently In Vitro with MABs and Myotubes Carrying mtDNA Mutations
2.3. Individual Myotubes Can Be Isolated for mtDNA Mutation Load Assessment with Fluorescent Laser-Capture Microdissection (LCM)
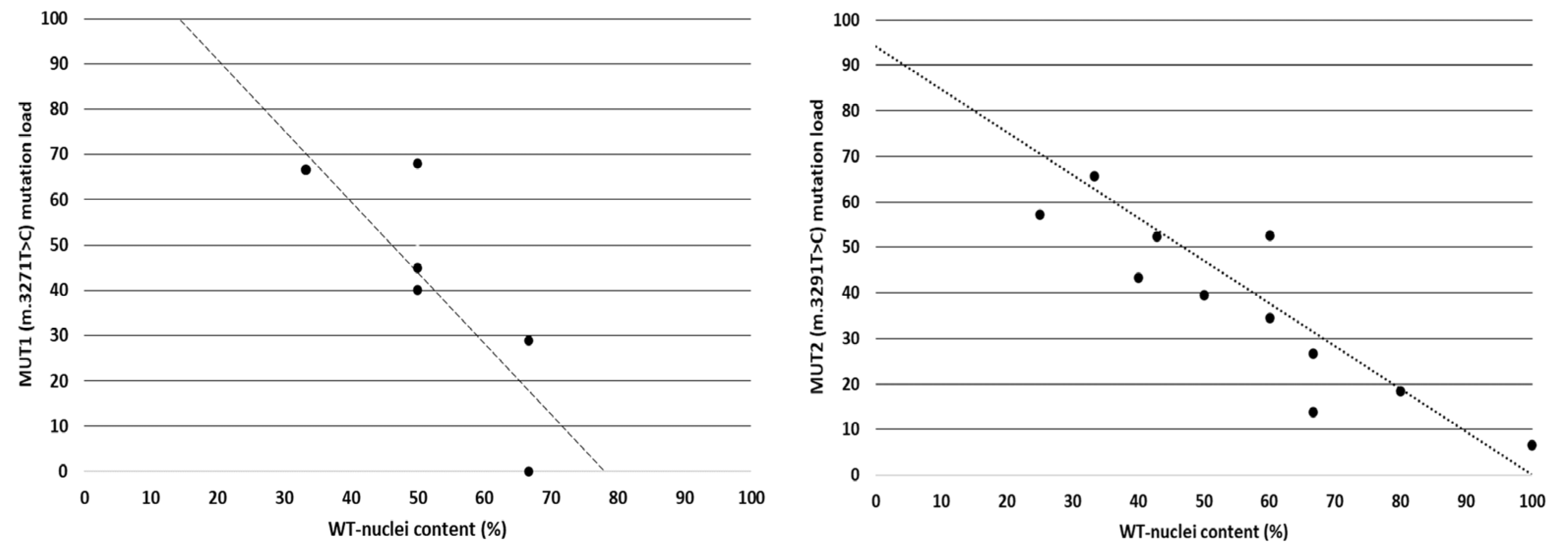
2.4. Fusion of Healthy MABs with m.3271T>C and m.3291T>C Myotubes Results in a Decreased mtDNA Mutation Load
3. Discussion
4. Materials and Methods
4.1. Cell Culture
4.2. Myogenic Differentiation and Fusion
4.3. FISH and Immunohistochemistry
4.4. Laser Capture Microdissection
4.5. mtDNA Mutation Load and Copy Number Assessment
Author Contributions
Funding
Institutional Review Board Statement
Informed Consent Statement
Data Availability Statement
Conflicts of Interest
References
- Gorman, G.S.; Schaefer, A.M.; Ng, Y.; Gomez, N.; Blakely, E.L.; Alston, C.L.; Feeney, C.; Horvath, R.; Yu-Wai-Man, P.; Chinnery, P.F.; et al. Prevalence of nuclear and mitochondrial DNA mutations related to adult mitochondrial disease. Ann. Neurol. 2015, 77, 753–759. [Google Scholar] [CrossRef] [PubMed]
- Wai, T.; Ao, A.; Zhang, X.; Cyr, D.; Dufort, D.; Shoubridge, E.A. The role of mitochondrial DNA copy number in mammalian fertility. Biol. Reprod. 2010, 83, 52–62. [Google Scholar] [CrossRef] [PubMed]
- van Tienen, F.; Zelissen, R.; Timmer, E.; van Gisbergen, M.; Lindsey, P.; Quattrocelli, M.; Sampaolesi, M.; Mulder-den Hartog, E.; de Coo, I.; Smeets, H. Healthy, mtDNA-mutation free mesoangioblasts from mtDNA patients qualify for autologous therapy. Stem Cell Res. Ther. 2019, 10, 405. [Google Scholar] [CrossRef] [PubMed]
- Fu, K.; Hartlen, R.; Johns, T.; Genge, A.; Karpati, G.; Shoubridge, E.A. A novel heteroplasmic tRNAleu(CUN) mtDNA point mutation in a sporadic patient with mitochondrial encephalomyopathy segregates rapidly in skeletal muscle and suggests an approach to therapy. Hum. Mol. Genet. 1996, 5, 1835–1840. [Google Scholar] [CrossRef] [PubMed]
- Spendiff, S.; Reza, M.; Murphy, J.L.; Gorman, G.; Blakely, E.L.; Taylor, R.W.; Horvath, R.; Campbell, G.; Newman, J.; Lochmüller, H.; et al. Mitochondrial DNA deletions in muscle satellite cells: Implications for therapies. Hum. Mol. Genet. 2013, 22, 4739–4747. [Google Scholar] [CrossRef]
- Shoubridge, E.A.; Johns, T.; Karpati, G. Complete Restoration of a Wild-Type mtDNA Genotype in Regenerating Muscle Fibres in a Patient with a tRNA Point Mutation and Mitochondrial Encephalomyopathy. Hum. Mol. Genet. 1997, 6, 2239–2242. [Google Scholar] [CrossRef]
- Sampaolesi, M.; Blot, S.; D’Antona, G.; Granger, N.; Tonlorenzi, R.; Innocenzi, A.; Mognol, P.; Thibaud, J.L.; Galvez, B.G.; Barthélémy, I.; et al. Mesoangioblast stem cells ameliorate muscle function in dystrophic dogs. Nature 2006, 444, 574–579. [Google Scholar] [CrossRef]
- Cossu, G.; Previtali, S.C.; Napolitano, S.; Cicalese, M.P.; Tedesco, F.S.; Nicastro, F.; Noviello, M.; Roostalu, U.; Natali Sora, M.G.; Scarlato, M.; et al. Intra-arterial transplantation of HLA-matched donor mesoangioblasts in Duchenne muscular dystrophy. EMBO Mol. Med. 2015, 7, 1513–1528. [Google Scholar] [CrossRef]
- So, K.H.; Han, Y.J.; Park, H.Y.; Kim, J.G.; Sung, D.J.; Bae, Y.M.; Yang, B.C.; Park, S.B.; Chang, S.K.; Kim, E.Y.; et al. Generation of functional cardiomyocytes from mouse induced pluripotent stem cells. Int. J. Cardiol. 2011, 153, 277–285. [Google Scholar] [CrossRef]
- Boulet, L.; Karpati, G.; Shoubridge, E.A. Distribution and threshold expression of the tRNA(Lys) mutation in skeletal muscle of patients with myoclonic epilepsy and ragged-red fibers (MERRF). Am. J. Hum. Genet. 1992, 51, 1187–1200. [Google Scholar]
- Rossignol, R.; Faustin, B.; Rocher, C.; Malgat, M.; Mazat, J.P.; Letellier, T. Mitochondrial threshold effects. Biochem. J. 2003, 370 Pt 3, 751–762. [Google Scholar] [CrossRef] [PubMed]
- Rai, P.K.; Craven, L.; Hoogewijs, K.; Russell, O.M.; Lightowlers, R.N. Advances in methods for reducing mitochondrial DNA disease by replacing or manipulating the mitochondrial genome. Essays Biochem. 2018, 62, 455–465. [Google Scholar] [CrossRef] [PubMed]
- Dellavalle, A.; Maroli, G.; Covarello, D.; Azzoni, E.; Innocenzi, A.; Perani, L.; Antonini, S.; Sambasivan, R.; Brunelli, S.; Tajbakhsh, S.; et al. Pericytes resident in postnatal skeletal muscle differentiate into muscle fibres and generate satellite cells. Nat. Commun. 2011, 2, 499. [Google Scholar] [CrossRef] [PubMed]
- Berry, S.E.; Liu, J.; Chaney, E.J.; Kaufman, S.J. Multipotential mesoangioblast stem cell therapy in the mdx/utrn−/− mouse model for Duchenne muscular dystrophy. Regen. Med. 2007, 2, 275–288. [Google Scholar] [CrossRef]
- Sohn, R.L.; Huang, P.; Kawahara, G.; Mitchell, M.; Guyon, J.; Kalluri, R.; Kunkel, L.M.; Gussoni, E. A role for nephrin, a renal protein, in vertebrate skeletal muscle cell fusion. Proc. Natl. Acad. Sci. USA 2009, 106, 9274–9279. [Google Scholar] [CrossRef]
- Chen, W.; Nyasha, M.R.; Koide, M.; Tsuchiya, M.; Suzuki, N.; Hagiwara, Y.; Aoki, M.; Kanzaki, M. In vitro exercise model using contractile human and mouse hybrid myotubes. Sci. Rep. 2019, 9, 11914. [Google Scholar] [CrossRef]
- Amini, P.; Ettlin, J.; Opitz, L.; Clementi, E.; Malbon, A.; Markkanen, E. An optimised protocol for isolation of RNA from small sections of laser-capture microdissected FFPE tissue amenable for next-generation sequencing. BMC Mol. Biol. 2017, 18, 22. [Google Scholar] [CrossRef]
- Gautam, V.; Singh, A.; Singh, S.; Sarkar, A.K. An Efficient LCM-Based Method for Tissue Specific Expression Analysis of Genes and miRNAs. Sci. Rep. 2016, 6, 21577. [Google Scholar] [CrossRef]
- Tayade, C.; Edwards, A.K.; Bidarimath, M. 48—Laser Capture Microdissection. In The Guide to Investigation of Mouse Pregnancy; Croy, B.A., Yamada, A.T., DeMayo, F.J., Adamson, S.L., Eds.; Academic Press: Boston, MA, USA, 2014; pp. 567–575. [Google Scholar]
- Murakami, H.; Liotta, L.; Star, R.A. IF-LCM: Laser capture microdissection of immunofluorescently defined cells for mRNA analysis rapid communication. Kidney Int. 2000, 58, 1346–1353. [Google Scholar] [CrossRef]
- Shi, X.; Kleeff, J.; Zhu, Z.W.; Schmied, B.; Tang, W.H.; Zimmermann, A.; Buchler, M.W.; Friess, H. Gene-expression analysis of single cells-nested polymerase chain reaction after laser microdissection. World J. Gastroenterol. 2003, 9, 1337–1341. [Google Scholar] [CrossRef]
- Khodosevich, K.; Inta, D.; Seeburg, P.H.; Monyer, H. Gene expression analysis of in vivo fluorescent cells. PLoS ONE 2007, 2, e1151. [Google Scholar] [CrossRef] [PubMed]
- Williams, D.L.; Schwartz, M.W.; Bastian, L.S.; Blevins, J.E.; Baskin, D.G. Immunocytochemistry and laser capture microdissection for real-time quantitative PCR identify hindbrain neurons activated by interaction between leptin and cholecystokinin. J. Histochem. Cytochem. 2008, 56, 285–293. [Google Scholar] [CrossRef] [PubMed]
- Schouten, H.C.; Hopman, A.H.; Haesevoets, A.M.; Arends, J.W. Large-cell anaplastic non-Hodgkin’s lymphoma originating in donor cells after allogenic bone marrow transplantation. Br. J. Haematol. 1995, 91, 162–166. [Google Scholar] [CrossRef] [PubMed]





| % of Population Present | MUT1 + Wild-Type MABs | MUT2 + Wild-Type MABs |
|---|---|---|
| Total MABs content | 71.0% | 46.0% |
| mutant MABs content (1 Y-neg. nucleus) | 61.5% | 32.2% |
| wild-type MABs content (1 Y-pos. nucleus) | 9.5% | 13.8% |
| Total myotube content | 29.8% | 54.0% |
| mutant myotubes (only ≥2 Y-neg. nuclei in MF20+ myotube) | 17.9% | 17.2% |
| wild-type myotubes (only ≥2 Y-pos. nuclei in MF20+ myotube) | 1.1% | 0.9% |
| Fused myotubes (≥1 Y-pos. and ≥2 Y-neg. nuclei) (% wild-type nuclei/% mutant nuclei) | 8.0% (2.0%/6.1%) | 32.5% (9.7%/22.8%) |
| MABs-fusion (≥1 Y-pos. and 1 Y-neg. nucleus) (% wild-type nuclei/% mutant nuclei) | 2.8% (1.1%/1.7%) | 3.4% (2.3%/1.1%) |
| Total % mutant (Y-neg) nuclei in population | 86.3% | 73.3% |
| Total % wild-type (Y-pos.) nuclei in population | 13.7% | 26.7% |
Disclaimer/Publisher’s Note: The statements, opinions and data contained in all publications are solely those of the individual author(s) and contributor(s) and not of MDPI and/or the editor(s). MDPI and/or the editor(s) disclaim responsibility for any injury to people or property resulting from any ideas, methods, instructions or products referred to in the content. |
© 2023 by the authors. Licensee MDPI, Basel, Switzerland. This article is an open access article distributed under the terms and conditions of the Creative Commons Attribution (CC BY) license (https://creativecommons.org/licenses/by/4.0/).
Share and Cite
Zelissen, R.; Ahmadian, S.; Montilla-Rojo, J.; Timmer, E.; Ummelen, M.; Hopman, A.; Smeets, H.; van Tienen, F. Fusion of Wild-Type Mesoangioblasts with Myotubes of mtDNA Mutation Carriers Leads to a Proportional Reduction in mtDNA Mutation Load. Int. J. Mol. Sci. 2023, 24, 2679. https://doi.org/10.3390/ijms24032679
Zelissen R, Ahmadian S, Montilla-Rojo J, Timmer E, Ummelen M, Hopman A, Smeets H, van Tienen F. Fusion of Wild-Type Mesoangioblasts with Myotubes of mtDNA Mutation Carriers Leads to a Proportional Reduction in mtDNA Mutation Load. International Journal of Molecular Sciences. 2023; 24(3):2679. https://doi.org/10.3390/ijms24032679
Chicago/Turabian StyleZelissen, Ruby, Somaieh Ahmadian, Joaquin Montilla-Rojo, Erika Timmer, Monique Ummelen, Anton Hopman, Hubert Smeets, and Florence van Tienen. 2023. "Fusion of Wild-Type Mesoangioblasts with Myotubes of mtDNA Mutation Carriers Leads to a Proportional Reduction in mtDNA Mutation Load" International Journal of Molecular Sciences 24, no. 3: 2679. https://doi.org/10.3390/ijms24032679
APA StyleZelissen, R., Ahmadian, S., Montilla-Rojo, J., Timmer, E., Ummelen, M., Hopman, A., Smeets, H., & van Tienen, F. (2023). Fusion of Wild-Type Mesoangioblasts with Myotubes of mtDNA Mutation Carriers Leads to a Proportional Reduction in mtDNA Mutation Load. International Journal of Molecular Sciences, 24(3), 2679. https://doi.org/10.3390/ijms24032679

