Room-Temperature Self-Healable Blends of Waterborne Polyurethanes with 2-Hydroxyethyl Methacrylate-Based Polymers
Abstract
1. Introduction
2. Results and Discussion
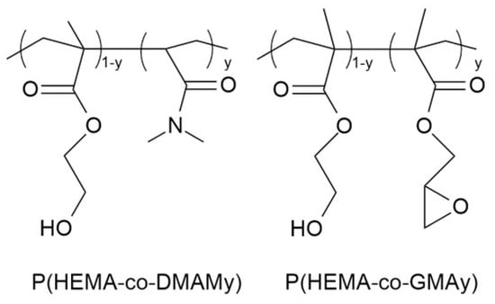
2.1. Copolymers Characterization
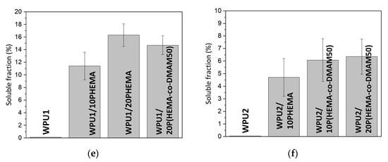
2.2. Preparation of WPU/Polymer Composites
2.3. Study of Hydrophilicity
2.4. Self-Healing Property
3. Materials and Methods
3.1. Materials
3.2. Synthesis of Copolymers and WPUs
3.2.1. Synthesis of P(HEMA-co-DMAMy) Copolymers
3.2.2. Synthesis of P(HEMA-co-GMAy) Copolymers
3.2.3. Synthesis of the Waterborne Polyurethane Dispersions WPU1 and WPU2
3.3. Preparation of WPU/Polymer Composites
3.4. Characterization Techniques
3.4.1. Proton Nuclear Magnetic Resonance (1H NMR)
3.4.2. Attenuated Total Reflection Fourier Transform Infrared Spectroscopy (ATR-FTIR)
3.4.3. Water Contact Angle
3.4.4. Water Uptake and Soluble fraction
3.4.5. Self-Healing Tests
3.4.6. Viscosity Measurements
3.4.7. Minimum Film Forming Temperature (MFFT)
4. Conclusions
Supplementary Materials
Author Contributions
Funding
Institutional Review Board Statement
Informed Consent Statement
Data Availability Statement
Acknowledgments
Conflicts of Interest
References
- Yang, Y.; Urban, M.W. Self-healing polymeric materials. Chem. Soc. Rev. 2013, 42, 7446–7467. [Google Scholar] [CrossRef] [PubMed]
- Wang, S.; Urban, M.W. Self–healing polymers. Nat. Rev. Mater. 2020, 5, 562–583. [Google Scholar] [CrossRef]
- Islam, S.; Bhat, G.S. Progress and challenges in self-healing composite materials. Mater. Adv. 2021, 2, 1896–1926. [Google Scholar] [CrossRef]
- Kahar, N.N.M.N.; Osman, A.; Alosime, E.; Arsat, N.; Azman, N.M.; Syamsir, A.; Itam, Z.; Hamid, Z.A. The Versatility of Polymeric Materials as Self-Healing Agents for Various Types of Applications: A Review. Polymers 2021, 13, 1194. [Google Scholar] [CrossRef] [PubMed]
- White, S.R.; Sottos, N.R.; Geubelle, P.H.; Moore, J.S.; Kessler, M.R.; Sriram, S.R.; Brown, E.N.; Viswanathan, S. Autonomic healing of polymer composites. Nature 2001, 409, 794–797. [Google Scholar] [CrossRef] [PubMed]
- Avdeliodi, E.; Beobide, A.S.; Voyiatzis, G.A.; Bokias, G.; Kallitsis, J.K. Novolac-based microcapsules containing isocyanate reagents for self-healing applications. Prog. Org. Coat. 2022, 173, 107204. [Google Scholar] [CrossRef]
- Dahlke, J.; Zechel, S.; Hager, M.D.; Schubert, U.S. How to Design a Self-Healing Polymer: General Concepts of Dynamic Covalent Bonds and Their Application for Intrinsic Healable Materials. Adv. Mater. Interfaces 2018, 5, 1800051. [Google Scholar] [CrossRef]
- Liu, Y.-L.; Chuo, T.-W. Self-healing polymers based on thermally reversible Diels–Alder chemistry. Polym. Chem. 2013, 4, 2194–2205. [Google Scholar] [CrossRef]
- Du, G.; Mao, A.; Yu, J.; Hou, J.; Zhao, N.; Han, J.; Zhao, Q.; Gao, W.; Xie, T.; Bai, H. Nacre-mimetic composite with intrinsic self-healing and shape-programming capability. Nat. Commun. 2019, 10, 800. [Google Scholar] [CrossRef]
- Xu, Y.; Li, Y.; Chen, Q.; Fu, L.; Tao, L.; Wei, Y. Injectable and Self-Healing Chitosan Hydrogel Based on Imine Bonds: Design and Therapeutic Applications. Int. J. Mol. Sci. 2018, 19, 2198. [Google Scholar] [CrossRef]
- Xu, Y.; Chen, D. A Novel Self-Healing Polyurethane Based on Disulfide Bonds. Macromol. Chem. Phys. 2016, 217, 1191–1196. [Google Scholar] [CrossRef]
- Jian, X.; Hu, Y.; Zhou, W.; Xiao, L. Self-healing polyurethane based on disulfide bond and hydrogen bond. Polym. Adv. Technol. 2017, 29, 463–469. [Google Scholar] [CrossRef]
- Chang, K.; Jia, H.; Gu, S.-Y. A transparent, highly stretchable, self-healing polyurethane based on disulfide bonds. Eur. Polym. J. 2018, 112, 822–831. [Google Scholar] [CrossRef]
- Cash, J.J.; Kubo, T.; Bapat, A.P.; Sumerlin, B.S. Room-Temperature Self-Healing Polymers Based on Dynamic-Covalent Boronic Esters. Macromolecules 2015, 48, 2098–2106. [Google Scholar] [CrossRef]
- Chen, Y.; Tang, Z.; Liu, Y.; Wu, S.; Guo, B. Mechanically Robust, Self-Healable, and Reprocessable Elastomers Enabled by Dynamic Dual Cross-Links. Macromolecules 2019, 52, 3805–3812. [Google Scholar] [CrossRef]
- Zhu, D.; Ye, Q.; Lu, X.; Lu, Q. Self-healing polymers with PEG oligomer side chains based on multiple H-bonding and adhesion properties. Polym. Chem. 2015, 6, 5086–5092. [Google Scholar] [CrossRef]
- Wittmer, A.; Brinkmann, A.; Stenzel, V.; Hartwig, A.; Koschek, K. Moisture-mediated intrinsic self-healing of modified polyurethane urea polymers. J. Polym. Sci. Part A Polym. Chem. 2017, 56, 537–548. [Google Scholar] [CrossRef]
- Li, Y.; Li, W.; Sun, A.; Jing, M.; Liu, X.; Wei, L.; Wu, K.; Fu, Q. A self-reinforcing and self-healing elastomer with high strength, unprecedented toughness and room-temperature reparability. Mater. Horizons 2020, 8, 267–275. [Google Scholar] [CrossRef] [PubMed]
- Hu, Z.; Zhang, D.; Lu, F.; Yuan, W.; Xu, X.; Zhang, Q.; Liu, H.; Shao, Q.; Guo, Z.; Huang, Y. Multistimuli-Responsive Intrinsic Self-Healing Epoxy Resin Constructed by Host–Guest Interactions. Macromolecules 2018, 51, 5294–5303. [Google Scholar] [CrossRef]
- Wang, Z.; Xie, C.; Yu, C.; Fei, G.; Xia, H. A Facile Strategy for Self-Healing Polyurethanes Containing Multiple Metal-Ligand Bonds. Macromol. Rapid Commun. 2018, 39, e1700678. [Google Scholar] [CrossRef]
- Xiao, Y.; Huang, H.; Peng, X. Synthesis of self-healing waterborne polyurethanes containing sulphonate groups. RSC Adv. 2017, 7, 20093–20100. [Google Scholar] [CrossRef]
- Gadwal, I. A Brief Overview on Preparation of Self-Healing Polymers and Coatings via Hydrogen Bonding Interactions. Macromol 2020, 1, 18–36. [Google Scholar] [CrossRef]
- Liang, Z.; Huang, D.; Zhao, L.; Nie, Y.; Zhou, Z.; Hao, T.; Li, S. Self-healing Polyurethane Elastomer Based on Molecular Design: Combination of Reversible Hydrogen Bonds and High Segment Mobility. J. Inorg. Organomet. Polym. Mater. 2021, 31, 683–694. [Google Scholar] [CrossRef]
- Guadagno, L.; Vertuccio, L.; Naddeo, C.; Calabrese, E.; Barra, G.; Raimondo, M.; Sorrentino, A.; Binder, W.H.; Michael, P.; Rana, S. Self-healing epoxy nanocomposites via reversible hydrogen bonding. Compos. Part B Eng. 2019, 157, 1–13. [Google Scholar] [CrossRef]
- Han, Y.; Jiang, Y.; Hu, J. Collagen incorporation into waterborne polyurethane improves breathability, mechanical property, and self-healing ability. Compos. Part A Appl. Sci. Manuf. 2020, 133, 105854. [Google Scholar] [CrossRef]
- Peng, H.; Du, X.; Cheng, X.; Wang, H.; Du, Z. Room-temperature self-healable and stretchable waterborne polyurethane film fabricated via multiple hydrogen bonds. Prog. Org. Coat. 2020, 151, 106081. [Google Scholar] [CrossRef]
- Yu, X.; Li, C.; Gao, C.; Zhang, X.; Zhang, G.; Zhang, D. Incorporation of hydrogen-bonding units into polymeric semiconductors toward boosting charge mobility, intrinsic stretchability, and self-healing ability. Smartmat 2021, 2, 347–366. [Google Scholar] [CrossRef]
- Zare, M.; Bigham, A.; Zare, M.; Luo, H.; Ghomi, E.R.; Ramakrishna, S. pHEMA: An Overview for Biomedical Applications. Int. J. Mol. Sci. 2021, 22, 6376. [Google Scholar] [CrossRef]
- Vieira, A.P.; Pimenta, A.F.; Silva, D.; Gil, M.H.; Alves, P.; Coimbra, P.; Mata, J.L.; Bozukova, D.; Correia, T.R.; Correia, I.J.; et al. Surface modification of an intraocular lens material by plasma-assisted grafting with 2-hydroxyethyl methacrylate (HEMA), for controlled release of moxifloxacin. Eur. J. Pharm. Biopharm. 2017, 120, 52–62. [Google Scholar] [CrossRef]
- Noein, L.; Haddadi-Asl, V.; Salami-Kalajahi, M. Grafting of pH-sensitive poly (N,N-dimethylaminoethyl methacrylate-co-2-hydroxyethyl methacrylate) onto HNTS via surface-initiated atom transfer radical polymerization for controllable drug release. Int. J. Polym. Mater. Polym. Biomater. 2017, 66, 123–131. [Google Scholar] [CrossRef]
- Di, Z.; Shi, Z.; Ullah, M.W.; Li, S.; Yang, G. A transparent wound dressing based on bacterial cellulose whisker and poly(2-hydroxyethyl methacrylate). Int. J. Biol. Macromol. 2017, 105, 638–644. [Google Scholar] [CrossRef] [PubMed]
- Chen, L.; Tang, Y.; Zhao, K.; Liu, J.; Jiao, M.; Bai, H.; Wu, Z. HEMA-Modified Expandable P(MMA-AA) Bone Cement with Dual Water Absorption Networks. Macromol. Mater. Eng. 2020, 305, 1900752. [Google Scholar] [CrossRef]
- Elkak, A.; Hamade, A.; Bereli, N.; Armutcu, C.; Denizli, A. Synthesis of hydroxyethyl-methacrylate-(L)-histidine methyl ester cryogels. Application on the separation of bovine immunoglobulin G. Anal. Biochem. 2017, 525, 1–7. [Google Scholar] [CrossRef] [PubMed]
- Bayramoglu, G.; Ozalp, C.; Oztekin, M.; Güler, U.; Salih, B.; Arica, M.Y. Design of an aptamer-based magnetic adsorbent and biosensor systems for selective and sensitive separation and detection of thrombin. Talanta 2018, 191, 59–66. [Google Scholar] [CrossRef]
- Çiçek, C.; Yılmaz, F.; Özgür, E.; Yavuz, H.; Denizli, A. Molecularly Imprinted Quartz Crystal Microbalance Sensor (QCM) for Bilirubin Detection. Chemosensors 2016, 4, 21. [Google Scholar] [CrossRef]
- Demir, E.F.; Kuru, C.I.; Uygun, M.; Uygun, D.A.; Akgöl, S. Antibody separation using lectin modified poly(HEMA-EDMA) hydrogel membranes. J. Biomater. Sci. Polym. Ed. 2018, 29, 344–359. [Google Scholar] [CrossRef]
- Bayramoglu, G.; Arica, M.Y.; Bektas, S. Removal of Cd(II), Hg(II), and Pb(II) ions from aqueous solution using p(HEMA/chitosan) membranes. J. Appl. Polym. Sci. 2007, 106, 169–177. [Google Scholar] [CrossRef]
- Lin, Y.; He, D.; Chen, Z.; Wang, L.; Li, G. Double-crosslinked network design for self-healing, highly stretchable and resilient polymer hydrogels. RSC Adv. 2016, 6, 12479–12485. [Google Scholar] [CrossRef]
- Liang, B.; Zhong, Z.; Jia, E.; Zhang, G.; Su, Z. Transparent and Scratch-Resistant Antifogging Coatings with Rapid Self-Healing Capability. ACS Appl. Mater. Interfaces 2019, 11, 30300–30307. [Google Scholar] [CrossRef]
- Chen, R.; Xu, X.; Yu, D.; Liu, M.; Xiao, C.; Wyman, I.; Wang, Z.; Yang, H.; Wu, X. Temperature-regulated flexibility of polymer chains in rapidly self-healing hydrogels. NPG Asia Mater. 2019, 11, 22. [Google Scholar] [CrossRef]
- Khiavi, A.K.; Ghanbari, A.; Rasouli, R. Self-healing and fatigue performance of poly 2-hydroxyethyl methacrylate modified bitumen. Constr. Build. Mater. 2020, 273, 121688. [Google Scholar] [CrossRef]
- Ibrahim, A.G.; Hai, F.A.; Wahab, H.A.; Mahmoud, H. Synthesis, Characterization, Swelling Studies and Dye Removal of Chemically Crosslinked Acrylic Acid/Acrylamide/N,N-Dimethyl Acrylamide Hydrogels. Am. J. Appl. Chem. 2016, 4, 221. [Google Scholar] [CrossRef]
- Luo, Y.-L.; Wang, Y.; Wang, X.; Xu, F.; Chen, Y.-S. Thermosensitive tribrachia star-shaped s-P(NIPAM-co-DMAM) random copolymer micelle aggregates: Preparation, characterization, and drug release applications. J. Biomater. Appl. 2016, 30, 662–676. [Google Scholar] [CrossRef]
- Bekiari, V.; Sotiropoulou, M.; Bokias, G.; Lianos, P. Use of poly(N,N-dimethylacrylamide-co-sodium acrylate) hydrogel to extract cationic dyes and metals from water. Colloids Surf. A Physicochem. Eng. Asp. 2008, 312, 214–218. [Google Scholar] [CrossRef]
- Sadik, W.A.A.; El–Demerdash, A.G.M.; Abbas, R.; Gabre, H.A. Fast synthesis of an eco–friendly starch–grafted poly(N,N–dimethyl acrylamide) hydrogel for the removal of Acid Red 8 dye from aqueous solutions. Polym. Bull. 2020, 77, 4445–4468. [Google Scholar] [CrossRef]
- Ramos-Jacques, A.; Lujan-Montelongo, J.; Silva-Cuevas, C.; Cortez-Valadez, M.; Estevez, M.; Hernandez-Martínez, A. Lead (II) removal by poly(N,N-dimethylacrylamide-co-2-hydroxyethyl methacrylate). Eur. Polym. J. 2018, 101, 262–272. [Google Scholar] [CrossRef]
- Hernandez-Martínez, A.; Lujan-Montelongo, J.; Silva-Cuevas, C.; Mota-Morales, J.D.; Cortez-Valadez, M.; Ruíz-Baltazar, Á.D.J.; Cruz, M.; Herrera-Ordonez, J. Swelling and methylene blue adsorption of poly(N,N-dimethylacrylamide-co-2-hydroxyethyl methacrylate) hydrogel. React. Funct. Polym. 2018, 122, 75–84. [Google Scholar] [CrossRef]
- Hernandez-Martinez, A.R. Poly(2-Hydroxyethyl methacrylate-co-N,N-dimethylacrylamide)-Coated Quartz Crystal Microbalance Sensor: Membrane Characterization and Proof of Concept. Gels 2021, 7, 151. [Google Scholar] [CrossRef]
- Hernández-Martínez, A.; Silva-Cuevas, C.; Rangel-Miranda, D.; Lujan-Montelongo, J. Adsorption and swelling studies of 2-hydroxyethyl methacrylate- and N,N-dimethylacrylamide-based porous copolymers and their possible applications for QCM-sensors. Appl. Surf. Sci. 2021, 572, 151508. [Google Scholar] [CrossRef]
- Hu, X.; Feng, L.; Wei, W.; Xie, A.; Wang, S.; Zhang, J.; Dong, W. Synthesis and characterization of a novel semi-IPN hydrogel based on Salecan and poly(N,N-dimethylacrylamide-co-2-hydroxyethyl methacrylate). Carbohydr. Polym. 2014, 105, 135–144. [Google Scholar] [CrossRef]
- Muzammil, E.M.; Khan, A.; Stuparu, M.C. Post-polymerization modification reactions of poly(glycidyl methacrylate)s. RSC Adv. 2017, 7, 55874–55884. [Google Scholar] [CrossRef]
- Arıca, M.Y.; Bayramoglu, G. Reversible immobilization of tyrosinase onto polyethyleneimine–grafted and Cu(II) chelated poly(HEMA–co–GMA) reactive membranes. J. Mol. Catal. 2004, 27, 255–265. [Google Scholar] [CrossRef]
- Bayramoğlu, G.; Yalçın, E.; Arıca, M.Y. Characterization of polyethylenimine grafted and Cibacron Blue F3GA immobilized poly(hydroxyethylmethacrylate-co-glycydylmethacrylate) membranes and application to bilirubin removal from human serum. Colloids Surf. A Physicochem. Eng. Asp. 2005, 264, 195–202. [Google Scholar] [CrossRef]
- Zhao, W.; Yang, R.-J.; Qian, T.-T.; Hua, X.; Zhang, W.-B.; Katiyo, W. Preparation of Novel Poly(hydroxyethyl methacrylate-co-glycidyl methacrylate)-Grafted Core-Shell Magnetic Chitosan Microspheres and Immobilization of Lactase. Int. J. Mol. Sci. 2013, 14, 12073–12089. [Google Scholar] [CrossRef] [PubMed]
- Lei, Z.; Gao, J.; Liu, X.; Liu, D.; Wang, Z. Poly(glycidyl methacrylate-co-2-hydroxyethyl methacrylate) Brushes as Peptide/Protein Microarray Substrate for Improving Protein Binding and Functionality. ACS Appl. Mater. Interfaces 2016, 8, 10174–10182. [Google Scholar] [CrossRef]
- Erol, K.; Cebeci, B.K.; Köse, K.; Köse, D.A. Effect of immobilization on the activity of catalase carried by poly(HEMA-GMA) cryogels. Int. J. Biol. Macromol. 2018, 123, 738–743. [Google Scholar] [CrossRef]
- Trakulsujaritchok, T.; Noiphom, N.; Tangtreamjitmun, N.; Saeeng, R. Adsorptive features of poly(glycidyl methacrylate-co-hydroxyethyl methacrylate): Effect of porogen formulation on heavy metal ion adsorption. J. Mater. Sci. 2011, 46, 5350–5362. [Google Scholar] [CrossRef]
- Wan, B.; Li, J.-Y.; Ma, F.; Yu, N.; Zhang, W.; Jiang, L.; Wei, H. Preparation and Properties of Cryogel Based on Poly(2-hydroxyethyl methacrylate-co-glycidyl methacrylate). Langmuir 2019, 35, 3284–3294. [Google Scholar] [CrossRef]
- Sharma, R.K.; Kumar, R. Functionalized cellulose with hydroxyethyl methacrylate and glycidyl methacrylate for metal ions and dye adsorption applications. Int. J. Biol. Macromol. 2019, 134, 704–721. [Google Scholar] [CrossRef]
- Tzoumani, I.; Beobide, A.S.; Iatridi, Z.; Voyiatzis, G.A.; Bokias, G.; Kallitsis, J.K. Glycidyl Methacrylate-Based Copolymers as Healing Agents of Waterborne Polyurethanes. Int. J. Mol. Sci. 2022, 23, 8118. [Google Scholar] [CrossRef]
- Chen, K.; Zhou, S.; Wu, L. Self-repairing nonfouling polyurethane coatings via 3D-grafting of PEG-b-PHEMA-b-PMPC copolymer. RSC Adv. 2015, 5, 104907–104914. [Google Scholar] [CrossRef]
- Yan, X.; Zhang, R.; Zhao, C.; Han, L.; Han, S. Water plasticization accelerates the underwater self-healing of hydrophobic polyurethanes. Polymer 2022, 250, 124863. [Google Scholar] [CrossRef]
- Jia, X.; Burdick, J.A.; Kobler, J.; Clifton, R.J.; Rosowski, J.J.; Zeitels, S.M.; Langer, R. Synthesis and Characterization of in Situ Cross-Linkable Hyaluronic Acid-Based Hydrogels with Potential Application for Vocal Fold Regeneration. Macromolecules 2004, 37, 3239–3248. [Google Scholar] [CrossRef]
- Deng, Y.; Song, G.-L.; Zheng, D.; Zhang, Y. Fabrication and synergistic antibacterial and antifouling effect of an organic/inorganic hybrid coating embedded with nanocomposite Ag@TA-SiO particles. Colloids Surf. A Physicochem. Eng. Asp. 2021, 613, 126085. [Google Scholar] [CrossRef]











| P(HEMA-co-DMAMy) | ||
|---|---|---|
| Polymers | Feed Composition (% mol DMAM) | 1H NMR Composition (% mol GMA) |
| P(HEMA-co-DMAM20) | 20.0 | 24.0 |
| P(HEMA-co- DMAM 50) | 50.0 | 51.2 |
| P(HEMA-co- DMAM 80) | 80.0 | 73.6 |
| P(HEMA-co-GMAy) | ||
| Polymers | Feed Composition (% mol GMA) | 1H NMR Composition (% mol GMA) |
| P(HEMA-co-GMA30) | 30.0 | 33.0 |
| P(HEMA-co-GMA50) | 50.0 | 45.5 |
| P(HEMA-co-GMA70) | 70.0 | 76.5 |
| WPU Code | WPU Type | Polyol Type | NCO/OH | Solvent | NV a % | pH | AN b (mgKOH/g) | MFFT (°C) | Viscosity (cP) | Storage Stability (Months) |
|---|---|---|---|---|---|---|---|---|---|---|
| WPU1 | Pure | polycarbonate | 1.4 | Proglyde DMM | 37.30 | 7.20 | 27.30 | −3.6 | 250.8 | >12 |
| WPU2 | Hybrid Alkyd | polyether-ester | 1.33 | NMP | 35.70 | 7.35 | 25.10 | −6.0 | 42.4 | >12 |
Disclaimer/Publisher’s Note: The statements, opinions and data contained in all publications are solely those of the individual author(s) and contributor(s) and not of MDPI and/or the editor(s). MDPI and/or the editor(s) disclaim responsibility for any injury to people or property resulting from any ideas, methods, instructions or products referred to in the content. |
© 2023 by the authors. Licensee MDPI, Basel, Switzerland. This article is an open access article distributed under the terms and conditions of the Creative Commons Attribution (CC BY) license (https://creativecommons.org/licenses/by/4.0/).
Share and Cite
Tzoumani, I.; Iatridi, Z.; Fidelli, A.M.; Krassa, P.; Kallitsis, J.K.; Bokias, G. Room-Temperature Self-Healable Blends of Waterborne Polyurethanes with 2-Hydroxyethyl Methacrylate-Based Polymers. Int. J. Mol. Sci. 2023, 24, 2575. https://doi.org/10.3390/ijms24032575
Tzoumani I, Iatridi Z, Fidelli AM, Krassa P, Kallitsis JK, Bokias G. Room-Temperature Self-Healable Blends of Waterborne Polyurethanes with 2-Hydroxyethyl Methacrylate-Based Polymers. International Journal of Molecular Sciences. 2023; 24(3):2575. https://doi.org/10.3390/ijms24032575
Chicago/Turabian StyleTzoumani, Ioanna, Zacharoula Iatridi, Athena M. Fidelli, Poppy Krassa, Joannis K. Kallitsis, and Georgios Bokias. 2023. "Room-Temperature Self-Healable Blends of Waterborne Polyurethanes with 2-Hydroxyethyl Methacrylate-Based Polymers" International Journal of Molecular Sciences 24, no. 3: 2575. https://doi.org/10.3390/ijms24032575
APA StyleTzoumani, I., Iatridi, Z., Fidelli, A. M., Krassa, P., Kallitsis, J. K., & Bokias, G. (2023). Room-Temperature Self-Healable Blends of Waterborne Polyurethanes with 2-Hydroxyethyl Methacrylate-Based Polymers. International Journal of Molecular Sciences, 24(3), 2575. https://doi.org/10.3390/ijms24032575

