Flame-Retardant Cycloaliphatic Epoxy Systems with High Dielectric Performance for Electronic Packaging Materials
Abstract
:1. Introduction
2. Results and Discussion
2.1. Characterization of BCP and BCEP
2.2. Curing Behaviors of the BCEP-TGIC System
2.3. Flame Retardancy and Burning Behaviors of the Cured Epoxy System
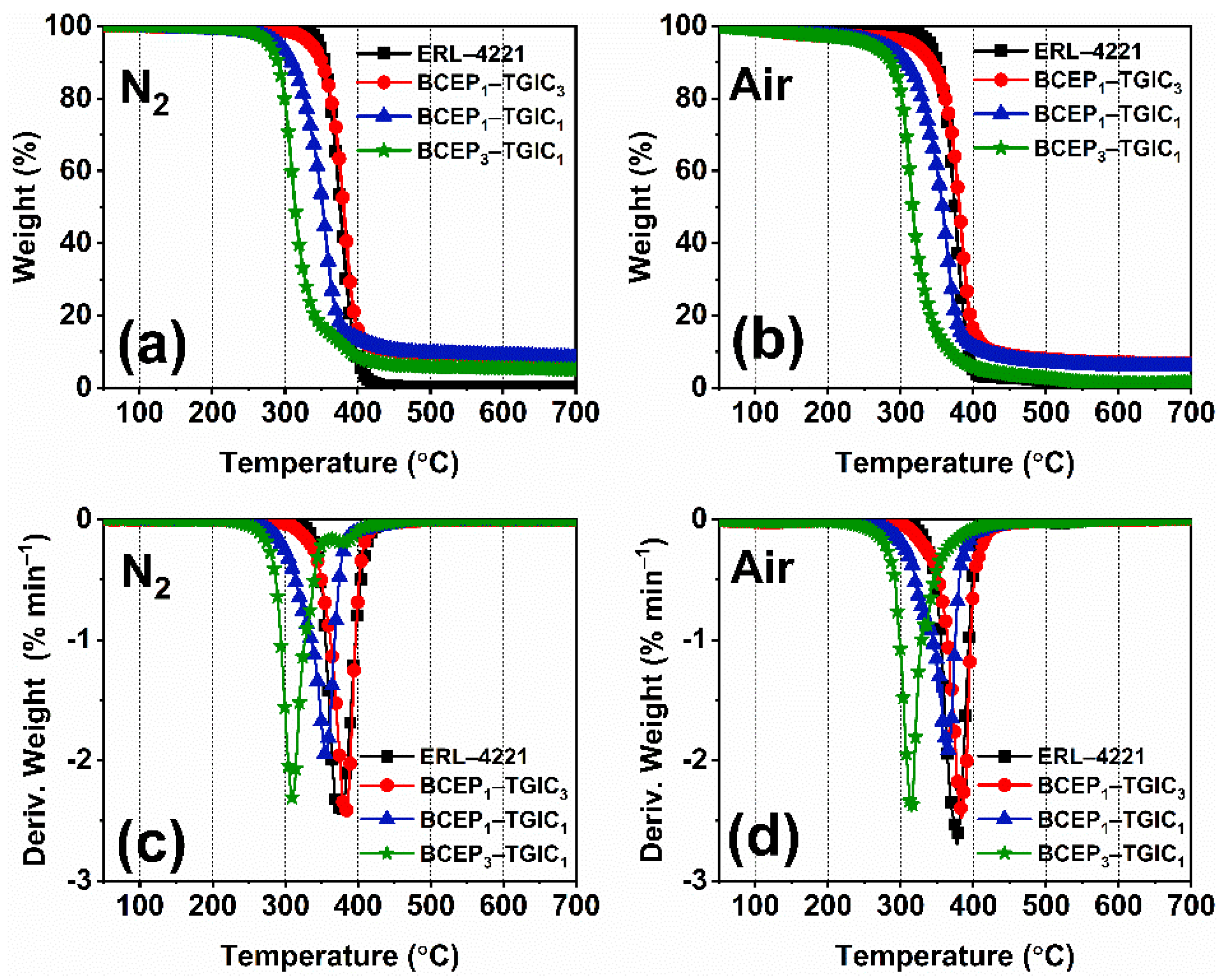
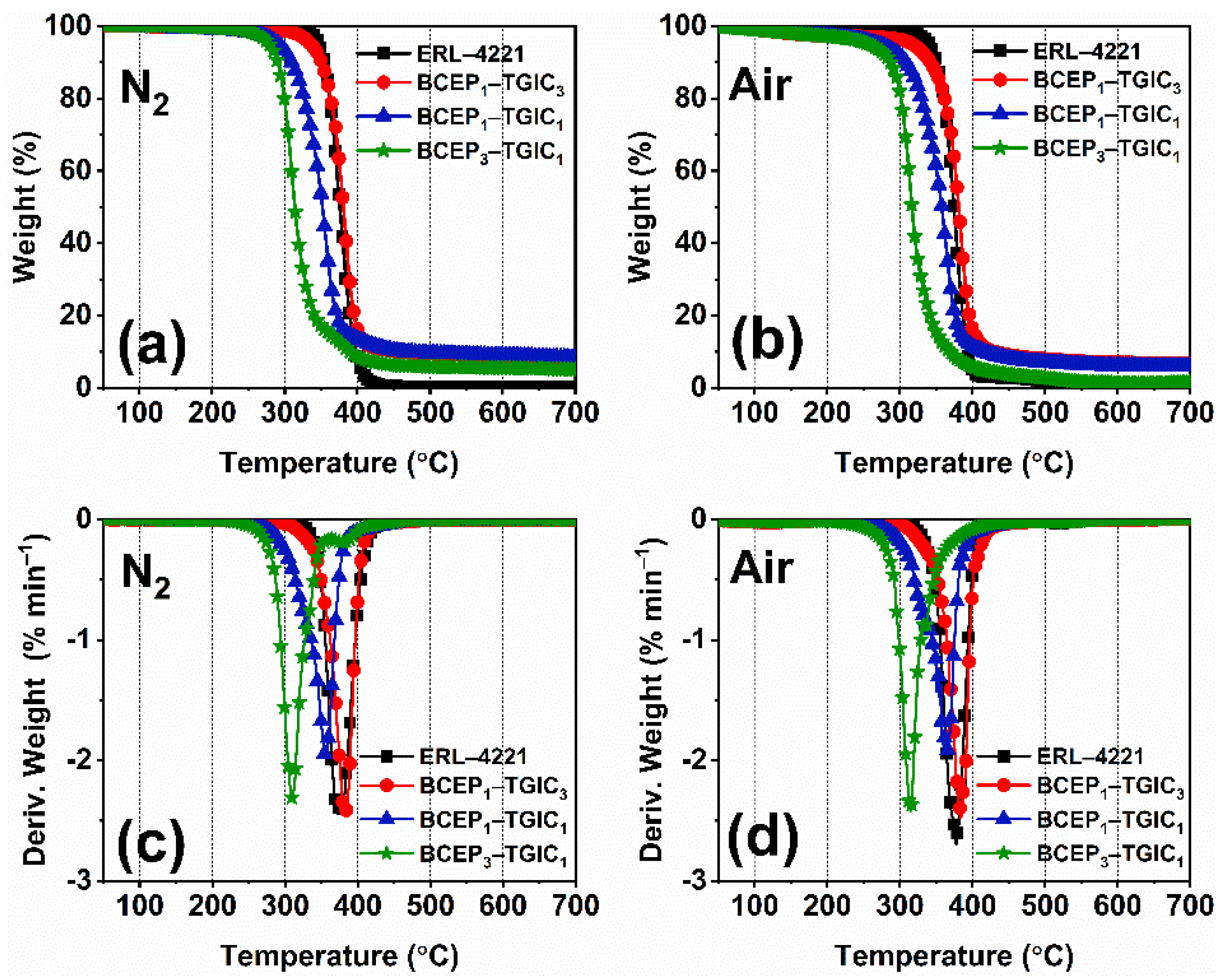
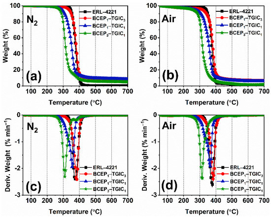
2.4. Thermal Behaviors of the Cured Epoxy System
2.5. Dielectric Properties of the Cured Epoxy System
2.6. Chemical Degradation Behaviors of the Cured Epoxy System
3. Materials and Methods
3.1. Materials
3.2. Synthesis of BCP and BCEP
3.3. Curing of the Cycloaliphatic Epoxy System
3.4. Characterization
4. Conclusions
Author Contributions
Funding
Data Availability Statement
Conflicts of Interest
References
- Xu, B.; Liu, Y.; Wei, S.; Zhao, S.; Qian, L.; Chen, Y.; Shan, H.; Zhang, Q. A Phosphorous-Based Bi-Functional Flame Retardant Based on Phosphaphenanthrene and Aluminum Hypophosphite for an Epoxy Thermoset. Int. J. Mol. Sci. 2022, 23, 11256. [Google Scholar] [CrossRef] [PubMed]
- Lu, J.-H.; Xu, Y.-J.; Chen, L.; Chen, J.-H.; He, J.-H.; Li, Z.; Li, S.-L.; Wang, Y.-Z. Facile fabrication of intrinsically fire-safety epoxy resin cured with phosphorus-containing transition metal complexes for flame retardation, smoke suppression, and latent curing behavior. Chem. Eng. J. 2022, 442, 136097. [Google Scholar] [CrossRef]
- Gao, T.-Y.; Wang, F.-D.; Xu, Y.; Wei, C.-X.; Zhu, S.-E.; Yang, W.; Lu, H.-D. Luteolin-based epoxy resin with exceptional heat resistance, mechanical and flame retardant properties. Chem. Eng. J. 2022, 428, 131173. [Google Scholar] [CrossRef]
- Rao, W.; Tao, J.; Yang, F.; Wu, T.; Yu, C.; Zhao, H.-B. Growth of copper organophosphate nanosheets on graphene oxide to improve fire safety and mechanical strength of epoxy resins. Chemosphere 2023, 311, 137047. [Google Scholar] [CrossRef] [PubMed]
- Yang, Y.; Xu, Y.; Ji, Y.; Wei, Y. Functional epoxy vitrimers and composites. Prog. Mater. Sci. 2021, 120, 100710. [Google Scholar] [CrossRef]
- He, L.; Chen, T.; Zhang, Y.; Hu, L.; Wang, T.; Han, R.; He, J.-L.; Luo, W.; Liu, Z.-G.; Deng, J.-N.; et al. Imide-DOPO derivative endows epoxy resin with excellent flame retardancy and fluorescence without losing glass transition temperature. Compos. B Eng. 2022, 230, 109553. [Google Scholar] [CrossRef]
- Zhang, X.H.; Zhang, Z.H.; Xia, X.N.; Zhang, Z.S.; Xu, W.J.; Xiong, Y.Q. Synthesis and characterization of a novel cycloaliphatic epoxy resin starting from dicyclopentadiene. Eur. Polym. J. 2007, 43, 2149–2154. [Google Scholar] [CrossRef]
- Yoo, M.J.; Kim, S.H.; Park, S.D.; Lee, W.S.; Sun, J.-W.; Choi, J.-H.; Nahm, S. Investigation of curing kinetics of various cycloaliphatic epoxy resins using dynamic thermal analysis. Eur. Polym. J. 2010, 46, 1158–1162. [Google Scholar] [CrossRef]
- Zhao, L.N.; Wang, Z.G. Synthesis of silicon-containing cycloaliphatic diepoxide from biomass-based α-terpineol and the decrosslinking behavior of cured network. Polymer 2017, 119, 238–244. [Google Scholar] [CrossRef]
- Barabanova, A.I.; Lokshin, B.V.; Kharitonova, E.P.; Afanasyev, E.S.; Askadskii, A.A.; Philippova, O.E. Curing cycloaliphatic epoxy resin with 4-methylhexahydrophthalic anhydride: Catalyzed vs. uncatalyzed reaction. Polymer 2019, 178, 121590. [Google Scholar] [CrossRef]
- Zhao, L.N.; Liu, Y.D.; Wang, Z.G.; Li, J.F.; Liu, W.S.; Chen, Z. Synthesis and degradable property of novel sulfite-containing cycloaliphatic epoxy resins. Polym. Degrad. Stabil. 2013, 98, 2125–2130. [Google Scholar] [CrossRef]
- Lu, M.; Liu, Y.; Du, X.; Zhang, S.; Chen, G.; Zhang, Q.; Yao, S.; Liang, L.; Lu, M. Cure Kinetics and Properties of High Performance Cycloaliphatic Epoxy Resins Cured with Anhydride. Ind. Eng. Chem. Res. 2019, 58, 6907–6918. [Google Scholar] [CrossRef]
- Huang, X.Y.; Zheng, Y.; Jiang, P.K.; Yin, Y. Influence of nanoparticle surface treatment on the electrical properties of cycloaliphatic epoxy nanocomposites. IEEE Trans. Dielectr. Electr. Insul. 2010, 17, 635–643. [Google Scholar] [CrossRef]
- Sivanesan, D.; Seo, B.; Lim, C.-S.; Kim, S.; Kim, H.-G. Trifunctional cycloaliphatic epoxy-based thermoset polymers: Synthesis, polymerization, and characterization. Polymer 2021, 220, 123568. [Google Scholar] [CrossRef]
- Chen, Z.; Zhao, L.N.; Wang, Z.G. Flame retardancy effects of phosphorus-containing compounds and cationic photoinitiators on photopolymerized cycloaliphatic epoxy resins. J. Appl. Polym. Sci. 2014, 131, 40011. [Google Scholar]
- Chao, P.J.; Li, Y.J.; Gu, X.Y.; Han, D.D.; Jia, X.Q.; Wang, M.Q.; Zhou, T.F.; Wang, T. Novel phosphorus–nitrogen–silicon flame retardants and their application in cycloaliphatic epoxy systems. Polym. Chem. 2015, 6, 2977–2985. [Google Scholar] [CrossRef]
- Wager, P.A.; Schluep, M.; Muller, E.; Gloor, R. RoHS regulated substances in mixed plastics from waste electrical and electronic equipment. Environ. Sci. Technol. 2012, 46, 628–635. [Google Scholar] [CrossRef]
- Huo, S.; Song, P.; Yu, B.; Ran, S.; Chevali, V.S.; Liu, L.; Fang, Z.; Wang, H. Phosphorus-containing flame retardant epoxy thermosets: Recent advances and future perspectives. Prog. Polym. Sci. 2021, 114, 101366. [Google Scholar] [CrossRef]
- Liu, C.; Li, P.; Xu, Y.-J.; Liu, Y.; Zhu, P.; Wang, Y.-Z. Epoxy/iron alginate composites with improved fire resistance, smoke suppression and mechanical properties. J. Mater. Sci. 2022, 57, 2567–2583. [Google Scholar] [CrossRef]
- Yu, C.; Wu, T.; Yang, F.; Wang, H.; Rao, W.; Zhao, H.-B. Interfacial engineering to construct P-loaded hollow nanohybrids for flame-retardant and high-performance epoxy resins. J. Colloid. Interface Sci. 2022, 628, 851–863. [Google Scholar] [CrossRef]
- Wang, J.; Liu, W.; Liu, H.; Wang, X.; Wu, D.; Zhang, S.; Shi, S.; Liu, W.; Wu, Z. Cyclotriphosphazene-based epoxy resins with excellent mechanical and flame retardant properties. Polymer 2022, 261, 125399. [Google Scholar] [CrossRef]
- Kandola, B.K.; Magnoni, F.; Ebdon, J.R. Flame retardants for epoxy resins: Application-related challenges and solutions. J. Vinyl Addit. Technol. 2022, 28, 17–49. [Google Scholar] [CrossRef]
- Ma, C.; Qian, L.; Li, J. Effect of functional groups of magnolol-based cyclic phosphonate on structure and properties of flame retardant epoxy resin. Polym. Degrad. Stabil. 2021, 190, 109630. [Google Scholar] [CrossRef]
- Kamalipour, J.; Beheshty, M.H.; Zohuriaan-Mehr, M.J. Novel phosphonated hardeners derived from diamino diphenyl sulfone for epoxy resins: Synthesis and one-pack flame-retardant formulation alongside dicyandiamide. Polym. Degrad. Stabil. 2022, 199, 109917. [Google Scholar] [CrossRef]
- Liu, W.S.; Wang, Z.G.; Xiong, L.; Zhao, L.N. Phosphorus-containing liquid cycloaliphatic epoxy resins for reworkable environment-friendly electronic packaging materials. Polymer 2010, 51, 4776–4783. [Google Scholar] [CrossRef]
- Chen, Z.; Zhao, L.N.; Wang, Z.G. Synthesis of phosphite-type trifunctional cycloaliphatic epoxide and the decrosslinking behavior of its cured network. Polymer 2013, 54, 5182–5187. [Google Scholar] [CrossRef]
- Wang, H.L.; Liu, J.H.; Xu, S.P.; Shi, W.F. Preparation and film properties of tri(3,4-epoxycyclohexylmethyl) phosphate based cationically UV curing coatings. Prog. Org. Coat. 2009, 65, 263–268. [Google Scholar] [CrossRef]
- Liu, W.; Wang, Z. Silicon-Containing Cycloaliphatic Epoxy Resins with Systematically Varied Functionalities: Synthesis and Structure/Property Relationships. Macromol. Chem. Phys. 2011, 212, 926–936. [Google Scholar] [CrossRef]
- Ma, C.; Qiu, S.L.; Yu, B.; Wang, J.L.; Wang, C.M.; Zeng, W.R.; Hu, Y. Economical and environment-friendly synthesis of a novel hyperbranched poly(aminomethylphosphine oxide-amine) as co-curing agent for simultaneous improvement of fire safety, glass transition temperature and toughness of epoxy resins. Chem. Eng. J. 2017, 322, 618–631. [Google Scholar] [CrossRef]
- Ma, J.; Li, G.; Hua, X.; Liu, N.; Liu, Z.; Zhang, F.; Yu, L.; Chen, X.; Shang, L.; Ao, Y. Biodegradable epoxy resin from vanillin with excellent flame-retardant and outstanding mechanical properties. Polym. Degrad. Stabil. 2022, 201, 109989. [Google Scholar] [CrossRef]
- Kumar, S.; Krishnan, S.; Mohanty, S.; Nayak, S.K. Synthesis and characterization of petroleum and biobased epoxy resins: A review. Polym. Int. 2018, 67, 815–839. [Google Scholar] [CrossRef]
- Schartel, B.; Wilkie, C.A.; Camino, G. Recommendations on the scientific approach to polymer flame retardancy: Part 1—Scientific terms and methods. J. Fire Sci. 2016, 34, 447–467. [Google Scholar] [CrossRef]
- Kong, Q.; Sun, Y.; Zhang, C.; Guan, H.; Zhang, J.; Wang, D.-Y.; Zhang, F. Ultrathin iron phenyl phosphonate nanosheets with appropriate thermal stability for improving fire safety in epoxy. Compos. Sci. Technol. 2019, 182, 107748. [Google Scholar] [CrossRef]
- Zhang, F.-Q.; Zhao, Y.-Z.; Xu, Y.-J.; Liu, Y.; Zhu, P. Flame retardation of vinyl ester resins and their glass fiber reinforced composites via liquid DOPO-containing 1-vinylimidazole salts. Compos. B Eng. 2022, 234, 109697. [Google Scholar] [CrossRef]
- Zhou, L.-L.; Li, W.-X.; Zhao, H.-B.; Zhao, B. Comparative Study of M(II)Al (M = Co, Ni) Layered Double Hydroxides for Silicone Foam: Characterization, Flame Retardancy, and Smoke Suppression. Int. J. Mol. Sci. 2022, 23, 11049. [Google Scholar] [CrossRef]
- Xu, Y.-J.; Chen, L.; Rao, W.-H.; Qi, M.; Guo, D.-M.; Liao, W.; Wang, Y.-Z. Latent curing epoxy system with excellent thermal stability, flame retardance and dielectric property. Chem. Eng. J. 2018, 347, 223–232. [Google Scholar] [CrossRef]
- Song, X.; Deng, Z.-P.; Li, C.-B.; Song, F.; Wang, X.-L.; Chen, L.; Guo, D.-M.; Wang, Y.-Z. A bio-based epoxy resin derived from p-hydroxycinnamic acid with high mechanical properties and flame retardancy. Chinese Chem. Lett. 2022, 33, 4912–4917. [Google Scholar] [CrossRef]
- Li, C.; Fan, H.; Aziz, T.; Bittencourt, C.; Wu, L.; Wang, D.-Y.; Dubois, P. Biobased Epoxy Resin with Low Electrical Permissivity and Flame Retardancy: From Environmental Friendly High-Throughput Synthesis to Properties. ACS Sustain. Chem. Eng. 2018, 6, 8856–8867. [Google Scholar] [CrossRef]
- Liu, X.-F.; Xiao, Y.-F.; Luo, X.; Liu, B.-W.; Guo, D.-M.; Chen, L.; Wang, Y.-Z. Flame-Retardant multifunctional epoxy resin with high performances. Chem. Eng. J. 2022, 427, 132031. [Google Scholar] [CrossRef]
- Wang, B.; Liu, L.; Huang, L.; Chi, L.; Liang, G.; Yuan, L.; Gu, A. Fabrication and origin of high-k carbon nanotube/epoxy composites with low dielectric loss through layer-by-layer casting technique. Carbon 2015, 85, 28–37. [Google Scholar] [CrossRef]
- Xu, Y.-J.; Shi, X.-H.; Lu, J.-H.; Qi, M.; Guo, D.-M.; Chen, L.; Wang, Y.-Z. Novel phosphorus-containing imidazolium as hardener for epoxy resin aiming at controllable latent curing behavior and flame retardancy. Compos. B Eng. 2020, 184, 107673. [Google Scholar] [CrossRef]
- Memon, H.; Liu, H.; Rashid, M.A.; Chen, L.; Jiang, Q.; Zhang, L.; Wei, Y.; Liu, W.; Qiu, Y. Vanillin-Based Epoxy Vitrimer with High Performance and Closed-Loop Recyclability. Macromolecules 2020, 53, 621–630. [Google Scholar] [CrossRef]
- Liu, X.; Tian, F.; Zhao, X.; Du, R.; Xu, S.; Wang, Y.-Z. Multiple functional materials from crushing waste thermosetting resins. Mater. Horiz. 2021, 8, 234–243. [Google Scholar] [CrossRef] [PubMed]
- Liu, Y.; Wang, B.; Ma, S.; Xu, X.; Qiu, J.; Li, Q.; Wang, S.; Lu, N.; Ye, J.; Zhu, J. Phosphate-based covalent adaptable networks with recyclability and flame retardancy from bioresources. Eur. Polym. J. 2021, 144, 110236. [Google Scholar] [CrossRef]
- Ma, C.; Guo, Z.; Fang, Z.; Li, J. Flame retardancy and chemical degradation of epoxy containing phenylphosphonate group under mild conditions. Compos. B Eng. 2022, 239, 109967. [Google Scholar] [CrossRef]








| Curing System | β (℃ min−1) | Tp (℃) | Eαk (kJ mol−1) | lnA (s−1) | n | Eαo (kJ mol−1) |
|---|---|---|---|---|---|---|
| BCEP1-TGIC3 | 5 | 144.0 | 70.6 | 12.1 | 0.95 | 74.1 |
| 10 | 156.1 | |||||
| 15 | 164.6 | |||||
| 20 | 172.5 | |||||
| BCEP1-TGIC1 | 5 | 153.9 | 73.2 | 12.3 | 0.91 | 76.5 |
| 10 | 167.3 | |||||
| 15 | 175.3 | |||||
| 20 | 180.2 | |||||
| BCEP3-TGIC1 | 5 | 156.7 | 57.4 | 7.5 | 0.89 | 61.4 |
| 10 | 176.3 | |||||
| 15 | 182.2 | |||||
| 20 | 191.7 |
| Sample | ERL-4221 (g) | BCEP (g) | TGIC (g) | MeHHPA (g) | P a (wt.%) | N b (wt.%) | LOI (%) | UL-94 |
|---|---|---|---|---|---|---|---|---|
| ERL-4221 | 25.20 | / | / | 28.56 | / | / | 18.0 | N.R. c |
| BCEP | / | 37.80 | / | 28.60 | 4.82 | / | 22.4 | N.R. |
| BCEP3-TGIC1 | / | 11.34 | 3.78 | 15.12 | 3.17 | 0.59 | 23.9 | N.R. |
| BCEP1-TGIC1 | / | 3.78 | 3.78 | 9.41 | 1.89 | 1.05 | 24.2 | N.R. |
| BCEP1-TGIC3 | / | 3.78 | 11.34 | 22.01 | 0.86 | 1.44 | 25.2 | N.R. |
| TGIC | / | / | 29.70 | 50.40 | / | 1.75 | 23.2 | N.R. |
| Sample | TTI (s) | PHRR (kW·m−2) | TTPHRR (s) | FIGRA (kW·m−2 s−1) | THR (MJ·m−2) | TSP (m2) | Residues (%) |
|---|---|---|---|---|---|---|---|
| ERL-4221 | 39 | 864 | 70 | 12.3 | 52.2 | 30.5 | 0 |
| BCEP1-TGIC3 | 43 | 671 | 90 | 7.5 | 44.1 | 39.1 | 4.8 |
| Sample | TG (N2) | TG (Air) | DSC | DMA | ||||
|---|---|---|---|---|---|---|---|---|
| Ti (℃) | Tmax(℃) | W700 (%) | Ti (℃) | Tmax (℃) | W700 (%) | Tg (℃) | Tg (℃) | |
| ERL-4221 | 347 | 372 | 0.1 | 340 | 378 | 0.6 | 239 | 240 |
| BCEP1-TGIC3 | 335 | 382 | 8.3 | 318 | 387 | 6.9 | 198 | 200 |
| BCEP1-TGIC1 | 291 | 356 | 8.1 | 271 | 360 | 5.9 | 188 | / |
| BCEP3-TGIC1 | 278 | 310 | 4.9 | 258 | 315 | 1.5 | 179 | / |
Disclaimer/Publisher’s Note: The statements, opinions and data contained in all publications are solely those of the individual author(s) and contributor(s) and not of MDPI and/or the editor(s). MDPI and/or the editor(s) disclaim responsibility for any injury to people or property resulting from any ideas, methods, instructions or products referred to in the content. |
© 2023 by the authors. Licensee MDPI, Basel, Switzerland. This article is an open access article distributed under the terms and conditions of the Creative Commons Attribution (CC BY) license (https://creativecommons.org/licenses/by/4.0/).
Share and Cite
Jia, X.-W.; Mu, W.-L.; Shao, Z.-B.; Xu, Y.-J. Flame-Retardant Cycloaliphatic Epoxy Systems with High Dielectric Performance for Electronic Packaging Materials. Int. J. Mol. Sci. 2023, 24, 2301. https://doi.org/10.3390/ijms24032301
Jia X-W, Mu W-L, Shao Z-B, Xu Y-J. Flame-Retardant Cycloaliphatic Epoxy Systems with High Dielectric Performance for Electronic Packaging Materials. International Journal of Molecular Sciences. 2023; 24(3):2301. https://doi.org/10.3390/ijms24032301
Chicago/Turabian StyleJia, Xiao-Wei, Wen-Long Mu, Zhu-Bao Shao, and Ying-Jun Xu. 2023. "Flame-Retardant Cycloaliphatic Epoxy Systems with High Dielectric Performance for Electronic Packaging Materials" International Journal of Molecular Sciences 24, no. 3: 2301. https://doi.org/10.3390/ijms24032301
APA StyleJia, X.-W., Mu, W.-L., Shao, Z.-B., & Xu, Y.-J. (2023). Flame-Retardant Cycloaliphatic Epoxy Systems with High Dielectric Performance for Electronic Packaging Materials. International Journal of Molecular Sciences, 24(3), 2301. https://doi.org/10.3390/ijms24032301

