KIT-5 Structural and Textural Changes in Response to Different Methods of Functionalization with Sulfonic Groups
Abstract
1. Introduction
2. Results
2.1. Characterization of KIT-5 Based Materials
2.1.1. X-ray Diffraction (XRD)
2.1.2. Low-Temperature Nitrogen Sorption
2.1.3. Transmission Electron Microscopy (TEM)
2.1.4. Elemental Analysis
2.1.5. Surface Acidity Measurements
2.1.6. Measurements of Particle Size Distributions
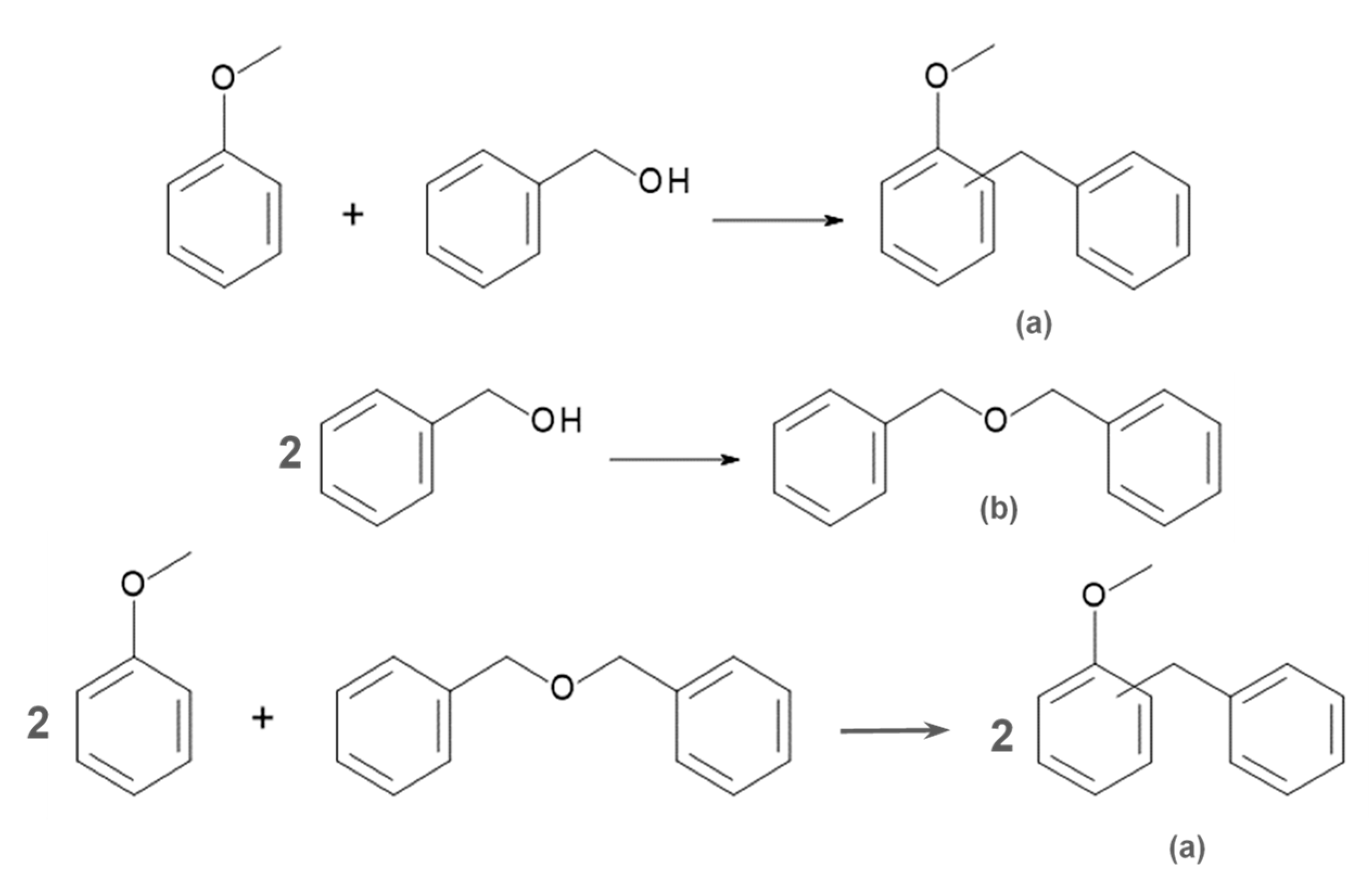
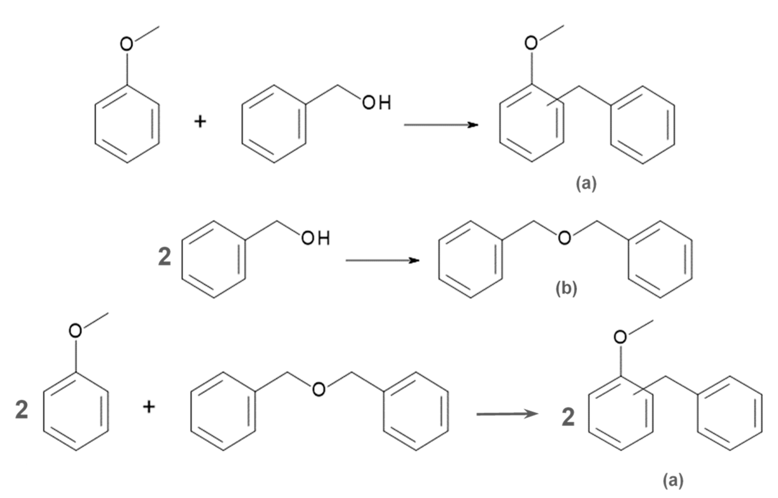
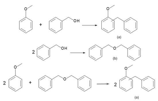
2.2. Friedel–Crafts Alkylation Reaction
3. Discussion
4. Materials and Methods
4.1. Reagents Used
4.2. Synthesis of Materials Modified with Sulfonic Groups by Grafting
4.2.1. Synthesis of KIT-5
4.2.2. Modification with MPTMS
4.2.3. Oxidation of Thiol to Sulfonic Groups
4.3. Synthesis of Materials Modified with Sulfonic Groups by Co-Condensation
4.4. Characterization of Catalysts
4.5. Friedel–Crafts Alkylation Reaction
Supplementary Materials
Author Contributions
Funding
Institutional Review Board Statement
Informed Consent Statement
Data Availability Statement
Conflicts of Interest
References
- Jeevanandam, J.; Barhoum, A.; Chan, Y.S.; Dufresne, A.; Danquah, M.K. Review on nanoparticles and nanostructured materials: History, sources, toxicity and regulations. Beilstein J. Nanotechnol. 2018, 9, 1050–1074. [Google Scholar] [CrossRef]
- Szczęśniak, B.; Choma, J.; Jaroniec, M. Major advances in the development of ordered mesoporous materials. Chem. Commun. 2020, 56, 7836–7848. [Google Scholar] [CrossRef]
- Jarmolińska, S.; Feliczak-Guzik, A.; Nowak, I. Synthesis, Characterization and Use of Mesoporous Silicas of the Following Types SBA-1, SBA-2, HMM-1 and HMM-2. Materials 2020, 13, 4385. [Google Scholar] [CrossRef] [PubMed]
- Jarmolińska, S.; Wawrzyńczak, A.; Nowak, I. Mesoporous silica materials of MCM-41 type modified with transition metals with potential catalytic activity. Przem. Chem. 2017, 96, 2369–2376. [Google Scholar] [CrossRef]
- Morsi, R.E.; Mohamed, R.S. Nanostructured mesoporous silica: Influence of the preparation conditions on the physical-surface properties for efficient organic dye uptake. R. Soc. Open Sci. 2018, 5, 172021. [Google Scholar] [CrossRef] [PubMed]
- He, J.; Li, H.; Xu, Y.; Yang, S. Dual acidic mesoporous KIT silicates enable one-pot production of Γ-valerolactone from biomass derivatives via cascade reactions. Renew. Energy 2020, 146, 359–370. [Google Scholar] [CrossRef]
- Asefa, T.; Tao, Z. Mesoporous silica and organosilica materials—Review of their synthesis and organic functionalization. Can. J. Chem. 2012, 90, 1015–1031. [Google Scholar] [CrossRef]
- Bagheri, S.; Amini, M.M.; Behbahani, M.; Rabiee, G. Low cost thiol-functionalized mesoporous silica, KIT-6-SH, as a useful adsorbent for cadmium ions removal: A study on the adsorption isotherms and kinetics of KIT-6-SH. Microchem. J. 2019, 145, 460–469. [Google Scholar] [CrossRef]
- Kamegawa, T.; Mizuno, A.; Yamashita, H. Hydrophobic modification of SO3H-functionalized mesoporous silica and investigations on the enhanced catalytic performance. Catal. Today 2015, 243, 153–157. [Google Scholar] [CrossRef]
- Doustkhah, E.; Lin, J.; Rostamnia, S.; Len, C.; Luque, R.; Luo, X.; Bando, Y.; Wu, K.C.W.; Kim, J.; Yamauchi, Y.; et al. Development of Sulfonic-Acid-Functionalized Mesoporous Materials: Synthesis and Catalytic Applications. Chem. Eur. J. 2019, 25, 1614–1635. [Google Scholar] [CrossRef]
- Pal, N.; Bhaumik, A. Mesoporous materials: Versatile supports in heterogeneous catalysis for liquid phase catalytic transformations. RSC Adv. 2015, 5, 24363–24391. [Google Scholar] [CrossRef]
- Gupta, P.; Paul, S. Solid acids: Green alternatives for acid catalysis. Catal. Today 2014, 236, 153–170. [Google Scholar] [CrossRef]
- Dal Santo, V.; Liguori, F.; Pirovano, C.; Guidotti, M. Design and use of nanostructured single-site heterogeneous catalysts for the selective transformation of fine chemicals. Molecules 2010, 15, 3829–3856. [Google Scholar] [CrossRef] [PubMed]
- Perego, C.; Millini, R. Porous materials in catalysis: Challenges for mesoporous materials. Chem. Soc. Rev. 2013, 42, 3956–3976. [Google Scholar] [CrossRef]
- Sharma, Y.C.; Singh, B. Advancements in solid acid catalysts for ecofriendly and economically viable synthesis of biodiesel. Biofuels Bioprod. Biorefining 2011, 5, 69–92. [Google Scholar] [CrossRef]
- Mohammadi Ziarani, G.; Lashgari, N.; Badiei, A. Sulfonic acid-functionalized mesoporous silica (SBA-Pr-SO3H) as solid acid catalyst in organic reactions. J. Mol. Catal. A Chem. 2015, 397, 166–191. [Google Scholar] [CrossRef]
- Kaiprommarat, S.; Kongparakul, S.; Reubroycharoen, P.; Guan, G.; Samart, C. Highly efficient sulfonic MCM-41 catalyst for furfural production: Furan-based biofuel agent. Fuel 2016, 174, 189–196. [Google Scholar] [CrossRef]
- Bandyopadhyay, M.; Shiju, N.R.; Brown, D.R. MCM-48 as a support for sulfonic acid catalysts. Catal. Commun. 2010, 11, 660–664. [Google Scholar] [CrossRef]
- Hafizi, H.; Chermahini, A.N.; Saraji, M.; Mohammadnezhad, G. The catalytic conversion of fructose into 5-hydroxymethylfurfural over acid-functionalized KIT-6, an ordered mesoporous silica. Chem. Eng. J. 2016, 294, 380–388. [Google Scholar] [CrossRef]
- Kleitz, F.; Liu, D.; Anilkumar, G.M.; Park, I.-S.; Solovyov, L.A.; Shmakov, A.N.; Ryoo, R. Large Cage Face-Centered-Cubic Fm3m Mesoporous Silica: Synthesis and Structure. J. Phys. Chem. B. 2003, 107, 14296–14300. [Google Scholar] [CrossRef]
- Miyasaka, K.; Han, L.; Che, S.; Terasaki, O. A lesson from the unusual morphology of silica mesoporous crystals: Growth and close packing of spherical micelles with multiple twinning. Angew. Chem. Int. Ed. 2006, 45, 6516–6519. [Google Scholar] [CrossRef] [PubMed]
- Fan, J.; Yu, C.; Gao, F.; Lei, J.; Tian, B.; Wang, L.; Luo, Q.; Tu, B.; Zhou, W.; Zhao, D. Cubic mesoporous silica with large controllable entrance sizes and advanced adsorption properties. Angew. Chem. Int. Ed. 2003, 42, 3146–3150. [Google Scholar] [CrossRef] [PubMed]
- Li, W.; Zhao, D. An overview of the synthesis of ordered mesoporous materials. Chem. Commun. 2013, 49, 943–946. [Google Scholar] [CrossRef] [PubMed]
- Deka, J.R.; Lin, Y.H.; Kao, H.M. Ordered cubic mesoporous silica KIT-5 functionalized with carboxylic acid groups for dye removal. RSC Adv. 2014, 4, 49061–49069. [Google Scholar] [CrossRef]
- Chermahini, A.N.; Hafizi, H.; Andisheh, N.; Saraji, M.; Shahvar, A. The catalytic effect of Al-KIT-5 and KIT-5-SO3H on the conversion of fructose to 5-hydroxymethylfurfural. Res. Chem. Intermed. 2017, 43, 5507–5521. [Google Scholar] [CrossRef]
- Meng, Q.; Duan, A.; Chi, K.; Zhao, Z.; Liu, J.; Zheng, P.; Wang, B.; Liu, C.; Hu, D.; Jia, Y. Synthesis of titanium modified three-dimensional KIT-5 mesoporous support and its application of the quinoline hydrodenitrogenation. Energy Fuels 2019, 33, 5518–5528. [Google Scholar] [CrossRef]
- Ramanathan, A.; Maheswari, R.; Grady, B.P.; Moore, D.S.; Barich, D.H.; Subramaniam, B. Tungsten-incorporated cage-type mesoporous silicate: W-KIT-5. Microporous Mesoporous Mater. 2013, 175, 43–49. [Google Scholar] [CrossRef]
- Balasubramanian, V.V.; Srinivasu, P.; Anand, C.; Pal, R.R.; Ariga, K.; Velmathi, S.; Alam, S.; Vinu, A. Highly active three-dimensional cage type mesoporous aluminosilicates and their catalytic performances in the acetylation of aromatics. Microporous Mesoporous Mater. 2008, 114, 303–311. [Google Scholar] [CrossRef]
- Kalita, P.; Sathyaseelan, B.; Mano, A.; Javaid Zaidi, S.M.; Chari, M.A.; Vinu, A. Synthesis of Superacid-Functionalized Mesoporous Nanocages with Tunable Pore Diameters and Their Application in the Synthesis of Coumarins. Chem. A Eur. J. 2010, 16, 2843–2851. [Google Scholar] [CrossRef]
- Daraie, M.; Mirsafaei, R.; Heravi, M.M. Acid-functionalized Mesoporous Silicate (KIT-5-Pr-SO3H) Synthesized as an Efficient and Nanocatalyst for Green Multicomponent. Curr. Org. Synth. 2019, 16, 145–153. [Google Scholar] [CrossRef]
- Veisi, H.; Abassi, P.; Mohammadi, P.; Tamoradi, T.; Karmakar, B. Gold nanoparticles decorated biguanidine modified mesoporous silica KIT-5 as recoverable heterogeneous catalyst for the reductive degradation of environmental contaminants. Sci. Rep. 2021, 11, 2734. [Google Scholar] [CrossRef] [PubMed]
- Nixon, P.D.; Jayaseelan, E.; Pushpakumar, R.; Ananthi, N. Mesoporous KIT-5 loaded with silver vanadate catalyzed photodegradation of cationic dye. Mater. Lett. 2021, 282, 128622. [Google Scholar] [CrossRef]
- Rác, B.; Molnár, Á.; Forgo, P.; Mohai, M.; Bertóti, I. A comparative study of solid sulfonic acid catalysts based on various ordered mesoporous silica materials. J. Mol. Catal. A Chem. 2006, 244, 46–57. [Google Scholar] [CrossRef]
- Delacôte, C.; Gaslain, F.O.M.; Lebeau, B.; Walcarius, A. Factors affecting the reactivity of thiol-functionalized mesoporous silica adsorbents toward mercury(II). Talanta 2009, 79, 877–886. [Google Scholar] [CrossRef]
- Sadiq, Z.; Iqbal, M.; Hussain, E.A.; Naz, S. Friedel-Crafts reactions in aqueous media and their synthetic applications. J. Mol. Liq. 2018, 255, 26–42. [Google Scholar] [CrossRef]
- Samutsri, S.; Panpranot, J.; Tungasmita, D.N. Propylsulfonic acid functionalized MCA cubic mesoporous and ZSM-5-MCA composite catalysts for anisole alkylation. Microporous Mesoporous Mater. 2017, 239, 253–262. [Google Scholar] [CrossRef]
- Wu, C.Y.; Hsu, Y.T.; Yang, C.M. Structural modulation of cage-like mesoporous KIT-5 silica by post-synthesis treatments with ammonia and/or sulfuric acid. Microporous Mesoporous Mater. 2009, 117, 249–256. [Google Scholar] [CrossRef]
- Hodgkins, R.P.; Garcia-Bennett, A.E.; Wright, P.A. Structure and morphology of propylthiol-functionalised mesoporous silicas templated by non-ionic triblock copolymers. Microporous Mesoporous Mater. 2005, 79, 241–252. [Google Scholar] [CrossRef]
- Yang, C.M.; Schmidt, W.; Kleitz, F. Pore topology control of three-dimensional large pore cubic silica mesophases. J. Mater. Chem. 2005, 15, 5112–5114. [Google Scholar] [CrossRef]
- Denton, A.R.; Ashcroft, N.W. Vegard’s law. Phys. Rev. A 1991, 43, 3161–3164. [Google Scholar] [CrossRef]
- Neimark, A.V.; Thommes, M.; Sing, K.S.W.; Rodriguez-Reinoso, F.; Olivier, J.P.; Kaneko, K.; Rouquerol, J. Physisorption of gases, with special reference to the evaluation of surface area and pore size distribution (IUPAC Technical Report). Pure Appl. Chem. 2015, 87, 1051–1069. [Google Scholar] [CrossRef]
- Hoffmann, F.; Cornelius, M.; Morell, J.; Fröba, M. Silica-Based Mesoporous Organic–Inorganic Hybrid Materials. Angew. Chem. Int. Ed. 2006, 45, 3216–3251. [Google Scholar] [CrossRef]
- Matos, J.R.; Kruk, M.; Mercuri, L.P.; Jaroniec, M.; Zhao, L.; Kamiyama, T.; Teresaki, O.; Pinnavaia, T.J.; Liu, Y. Ordered Mesoporous Silica with Large Cage-Like Pores: Structural Identification and Pore Connectivity Design by Controlling the Synthesis Temperature and Time. J. Am. Chem. Soc. 2003, 125, 821–829. [Google Scholar] [CrossRef] [PubMed]
- Hsu, Y.-T.; Chen, W.-L.; Yang, C.-M. Co-Condensation Synthesis of Aminopropyl-Functionalized KIT-5 Mesophases Using Carboxy-Terminated Triblock Copolymer. J. Phys. Chem. C 2009, 113, 2777–2783. [Google Scholar] [CrossRef]
- Ramanathan, A.; Zhu, H.; Maheswari, R.; Subramaniam, B. Novel zirconium containing cage type silicate (Zr-KIT-5): An efficient Friedel-Crafts alkylation catalyst. Chem. Eng. J. 2015, 278, 113–121. [Google Scholar] [CrossRef]
- Landers, J.; Gor, G.Y.; Neimark, A.V. Density functional theory methods for characterization of porous materials. Colloids Surf. A Physicochem. Eng. Asp. 2013, 437, 3–32. [Google Scholar] [CrossRef]
- Ng, E.P.; Subari, S.N.M.; Marie, O.; Mukti, R.R.; Juan, J.C. Sulfonic acid functionalized MCM-41 as solid acid catalyst for tert-butylation of hydroquinone enhanced by microwave heating. Appl. Catal. A-Gen. 2013, 450, 34–41. [Google Scholar] [CrossRef]
- Safaei, S.; Mohammadpoor-Baltork, I.; Khosropour, A.R.; Moghadam, M.; Tangestaninejad, S.; Mirkhani, V. SO3H-functionalized MCM-41 as an efficient catalyst for the combinatorial synthesis of 1H-pyrazolo-[3,4-b]pyridines and spiro-pyrazolo-[3,4-b]pyridines. J. Iran. Chem. Soc. 2017, 14, 1583–1589. [Google Scholar] [CrossRef]
- Mirsafaei, R.; Delzendeh, S.; Abdolazimi, A. Synthesis and characterization of reusable nano-order SO3H-KIT-5 as a heterogeneous catalyst for eco-friendly synthesis of 1,4-dihydropyridines. Int. J. Environ. Sci. Technol. 2016, 13, 2219–2226. [Google Scholar] [CrossRef]
- Vekariya, R.H.; Prajapati, N.P.; Patel, H.D. MCM-41-anchored sulfonic acid (MCM-41-SO3H): An efficient heterogeneous catalyst for green organic. Synth. Commun. 2016, 46, 1713–1734. [Google Scholar] [CrossRef]
- Tran, T.T.V.; Kongparakul, S.; Karnjanakom, S.; Reubroycharoen, P.; Guan, G.; Chanlek, N.; Samart, C. Highly productive xylose dehydration using a sulfonic acid functionalized KIT-6 catalyst. Fuel 2019, 236, 1156–1163. [Google Scholar] [CrossRef]
- Brühwiler, D. Postsynthetic functionalization of mesoporous silica. Nanoscale 2010, 2, 887–892. [Google Scholar] [CrossRef] [PubMed]
- Yang, L.M.; Wang, Y.J.; Luo, G.S.; Dai, Y.Y. Functionalization of SBA-15 mesoporous silica with thiol or sulfonic acid groups under the crystallization conditions. Microporous Mesoporous Mater. 2005, 84, 275–282. [Google Scholar] [CrossRef]
- Noda, Y.; Li, K.; Engler, A.M.; Elliott, W.A.; Rioux, R.M. Development of a robust sulfur quantification and speciation method for SBA-15-supported sulfonic acid catalysts. Catal. Sci. Technol. 2016, 6, 5961–5971. [Google Scholar] [CrossRef]
- Melero, J.A.; van Grieken, R.; Morales, G.; Nuño, V. Friedel Crafts acylation of aromatic compounds over arenesulfonic containing mesostructured SBA-15 materials. Catal. Commun. 2004, 5, 131–136. [Google Scholar] [CrossRef]
- Koujout, S.; Brown, D.R. The influence of solvent on the acidity and activity of supported sulfonic acid catalysts. Catal. Lett. 2004, 98, 195–202. [Google Scholar] [CrossRef]
- van Grieken, R.; Melero, J.A.; Morales, G. Etherification of benzyl alcohols with 1-hexanol over organosulfonic acid mesostructured materials. J. Mol. Cata. A Chem. 2006, 256, 29–36. [Google Scholar] [CrossRef]
- de la Cruz, M.H.C.; da Silva, J.F.C.; Lachter, E.R. Catalytic activity of niobium phosphate in the Friedel-Crafts reaction of anisole with alcohols. Catal. Today 2006, 118, 379–384. [Google Scholar] [CrossRef]
- Wawrzyńczak, A.; Jarmolińska, S.; Nowak, I. Nanostructured KIT-6 materials functionalized with sulfonic groups for catalytic purposes. Catal. Today 2022, 397–399, 526–539. [Google Scholar] [CrossRef]
- Ravikovitch, P.I.; Neimark, A.V. Density functional theory of adsorption in spherical cavities and pore size characterization of templated nanoporous silicas with cubic and three-dimensional hexagonal structures. Langmuir 2002, 18, 1550–1560. [Google Scholar] [CrossRef]
- Jaroniec, M.; Kruk, M.; Olivier, J.P. Standard nitrogen adsorption data for characterization of nanoporous silicas. Langmuir 1999, 15, 5410–5413. [Google Scholar] [CrossRef]







| Sample | Functionalization Procedure | Molar Ratio TEOS:MPTMS | 2θ [°] | d111 [nm] | a0 [nm] |
|---|---|---|---|---|---|
| KIT-5/K | --- | --- | 0.84 | 10.5 | 18.3 |
| KIT-5/G/SO3H/0.005 | grafting | 1:0.005 | 0.82 | 10.8 | 18.8 |
| KIT-5/G/SO3H/0.010 | grafting | 1:0.010 | 0.86 | 10.3 | 17.9 |
| KIT-5/G/SO3H/0.025 | grafting | 1:0.025 | 0.83 | 10.3 | 17.9 |
| KIT-5/G/SO3H/0.050 | grafting | 1:0.050 | 0.81 | 10.8 | 18.8 |
| KIT-5/G/SO3H/0.100 | grafting | 1:0.100 | 0.84 | 10.6 | 18.3 |
| KIT-5/G/SO3H/0.200 | grafting | 1:0.200 | 0.84 | 10.6 | 18.3 |
| KIT-5/G/SO3H/0.300 | grafting | 1:0.300 | 0.88 | 10.1 | 17.5 |
| KIT-5/G/SO3H/0.400 | grafting | 1:0.400 | 0.86 | 10.3 | 17.9 |
| KIT-5/G/SO3H/0.500 | grafting | 1:0.500 | 0.90 | 9.9 | 17.1 |
| KIT-5/E | --- | --- | 0.74 | 12.0 | 20.8 |
| KIT-5/C/SO3H/0.005 | co-condensation | 1:0.005 | 0.98 | 9.1 | 15.7 |
| KIT-5/C/SO3H/0.010 | co-condensation | 1:0.010 | 0.86 | 10.3 | 17.9 |
| KIT-5/C/SO3H/0.025 | co-condensation | 1:0.025 | 0.82 | 10.8 | 18.8 |
| KIT-5/C/SO3H/0.050 | co-condensation | 1:0.050 | 0.86 | 10.3 | 17.9 |
| KIT-5/C/SO3H/0.100 | co-condensation | 1:0.100 | 0.95 | 9.3 | --- |
| Sample | SBET | DDFT | Vtot | Vmic | Dme | W |
|---|---|---|---|---|---|---|
| [m2/g] | [nm] | [cm3/g] | [cm3/g] | [nm] | [nm] | |
| KIT-5/K | 669 | 2.1 | 0.39 | 0.16 | 9.3 | 8.1 |
| KIT-5/G/SO3H/0.005 | 578 | 2.1 | 0.35 | 0.08 | 10.3 | 6.5 |
| KIT-5/G/SO3H/0.010 | 566 | 2.1 | 0.35 | 0.09 | 9.6 | 6.7 |
| KIT-5/G/SO3H/0.025 | 545 | 2.1 | 0.35 | 0.09 | 9.6 | 6.6 |
| KIT-5/G/SO3H/0.050 | 584 | 2.1 | 0.35 | 0.09 | 10.1 | 6.9 |
| KIT-5/G/SO3H/0.100 | 453 | 2.1 | 0.29 | 0.05 | 9.8 | 7.0 |
| KIT-5/G/SO3H/0.200 | 478 | 2.2 | 0.30 | 0.08 | 9.4 | 7.9 |
| KIT-5/G/SO3H/0.300 | 480 | 2.0 | 0.30 | 0.08 | 9.1 | 7.2 |
| KIT-5/G/SO3H/0.400 | 457 | 2.0 | 0.28 | 0.09 | 9.0 | 8.2 |
| KIT-5/G/SO3H/0.500 | 449 | 2.1 | 0.28 | 0.07 | 8.8 | 7.4 |
| KIT-5/E | 398 | 2.6 | 0.30 | 0.04 | 11.3 | 7.3 |
| KIT-5/C/SO3H/0.005 | 402 | 2.6 | 0.29 | 0.04 | 8.5 | 5.8 |
| KIT-5/C/SO3H/0.010 | 312 | 2.6 | 0.22 | 0.04 | 9.0 | 8.1 |
| KIT-5/C/SO3H/0.025 | 243 | 2.6 | 0.17 | 0.03 | 9.0 | 9.9 |
| KIT-5/C/SO3H/0.050 | 288 | 2.0 | 0.19 | 0.05 | 8.4 | 10.0 |
| KIT-5/C/SO3H/0.100 | 308 | 2.0 | 0.17 | 0.05 | 7.3 | 10.1 |
| Sample | %C | %H | %S | R | |
|---|---|---|---|---|---|
| SAE | Stheor. | ||||
| KIT-5/G/SH/0.005 | 0.93 | 0.74 | 0.25 | 0.25 | 1.00 |
| KIT-5/G/SO3H/0.005 | 0.75 | 1.56 | 0.24 | 0.97 | |
| KIT-5/G/SH/0.100 | 3.32 | 1.00 | 1.70 | 3.87 | 0.44 |
| KIT-5/G/SO3H/0.100 | 1.58 | 1.63 | 0.85 | 0.22 | |
| KIT-5/G/SH/0.500 | 3.97 | 1.67 | 2.61 | 9.94 | 0.26 |
| KIT-5/G/SO3H/0.500 | 1.80 | 1.97 | 1.30 | 0.13 | |
| KIT-5/C/SH/0.005 | 13.00 | 2.95 | 0.23 | 0.25 | 0.92 |
| KIT-5/C/SO3H/0.005 | 9.52 | 2.83 | 0.22 | 0.88 | |
| KIT-5/C/SH/0.100 | 13.82 | 4.02 | 3.12 | 5.06 | 0.62 |
| KIT-5/C/SO3H/0.100 | 9.15 | 2.60 | 2.74 | 0.54 | |
| Sample | Acidity [mmol H+/g] | Acid Centres Density [–SO3H/nm2] | |
|---|---|---|---|
| Direct Titration | Reverse Titration | ||
| KIT-5/K | 0.04 | --- | --- |
| KIT-5/G/SO3H/0.005 | 0.05 | 0.05 | 0.05 |
| KIT-5/G/SO3H/0.010 | 0.05 | --- | 0.05 |
| KIT-5/G/SO3H/0.025 | 0.06 | --- | 0.07 |
| KIT-5/G/SO3H/0.050 | 0.07 | --- | 0.07 |
| KIT-5/G/SO3H/0.100 | 0.12 | 0.11 | 0.16 |
| KIT-5/G/SO3H/0.200 | 0.15 | --- | 0.19 |
| KIT-5/G/SO3H/0.300 | 0.15 | 0.15 | 0.19 |
| KIT-5/G/SO3H/0.400 | 0.17 | --- | 0.22 |
| KIT-5/G/SO3H/0.500 | 0.19 | 0.19 | 0.25 |
| KIT-5/E | 0.04 | --- | --- |
| KIT-5/C/SO3H/0.005 | 0.10 | 0.10 | 0.15 |
| KIT-5/C/SO3H/0.010 | 0.12 | --- | 0.23 |
| KIT-5/C/SO3H/0.025 | 0.13 | --- | 0.32 |
| KIT-5/C/SO3H/0.050 | 0.16 | 0.17 | 0.33 |
| KIT-5/C/SO3H/0.100 | 0.26 | 0.27 | 0.51 |
| Sample | Reaction Time [h] | Selectivity [%] | Benzyl Alcohol Conversion [%] | ||
|---|---|---|---|---|---|
| o-Benzylanisole | p-Benzylanisole | Dibenzyl Ether | |||
| SiO2/G/SO3H/0.050 | 1 | 32 | 38 | 30 | 2 |
| 6 | 32 | 39 | 29 | 6 | |
| 24 | 32 | 40 | 28 | 10 | |
| KIT-5/G/SO3H/0.050 | 1 | 33 | 41 | 26 | 7 |
| 6 | 33 | 42 | 25 | 33 | |
| 24 | 33 | 43 | 24 | 61 | |
| KIT-5/G/SO3H/0.100 | 1 | 35 | 42 | 23 | 36 |
| 6 | 38 | 46 | 16 | 92 | |
| 24 | 40 | 48 | 12 | 99 | |
| KIT-5/G/SO3H/0.500 | 1 | 37 | 42 | 21 | 59 |
| 6 | 39 | 44 | 17 | 76 | |
| 24 | 39 | 44 | 17 | 82 | |
| KIT-5/C/SO3H/0.050 | 1 | 30 | 41 | 29 | 11 |
| 6 | 33 | 43 | 24 | 64 | |
| 24 | 35 | 45 | 20 | 85 | |
| KIT-5/C/SO3H/0.100 | 1 | 33 | 41 | 26 | 25 |
| 6 | 33 | 42 | 25 | 41 | |
| 24 | 33 | 42 | 25 | 42 | |
| PTSA | 1 | 24 | 26 | 49 | <1 |
| 6 | 21 | 25 | 54 | 1 | |
| 24 | 15 | 23 | 62 | 3 | |
Disclaimer/Publisher’s Note: The statements, opinions and data contained in all publications are solely those of the individual author(s) and contributor(s) and not of MDPI and/or the editor(s). MDPI and/or the editor(s) disclaim responsibility for any injury to people or property resulting from any ideas, methods, instructions or products referred to in the content. |
© 2023 by the authors. Licensee MDPI, Basel, Switzerland. This article is an open access article distributed under the terms and conditions of the Creative Commons Attribution (CC BY) license (https://creativecommons.org/licenses/by/4.0/).
Share and Cite
Chałupniczak, S.; Nowak, I.; Wawrzyńczak, A. KIT-5 Structural and Textural Changes in Response to Different Methods of Functionalization with Sulfonic Groups. Int. J. Mol. Sci. 2023, 24, 2165. https://doi.org/10.3390/ijms24032165
Chałupniczak S, Nowak I, Wawrzyńczak A. KIT-5 Structural and Textural Changes in Response to Different Methods of Functionalization with Sulfonic Groups. International Journal of Molecular Sciences. 2023; 24(3):2165. https://doi.org/10.3390/ijms24032165
Chicago/Turabian StyleChałupniczak, Sylwia, Izabela Nowak, and Agata Wawrzyńczak. 2023. "KIT-5 Structural and Textural Changes in Response to Different Methods of Functionalization with Sulfonic Groups" International Journal of Molecular Sciences 24, no. 3: 2165. https://doi.org/10.3390/ijms24032165
APA StyleChałupniczak, S., Nowak, I., & Wawrzyńczak, A. (2023). KIT-5 Structural and Textural Changes in Response to Different Methods of Functionalization with Sulfonic Groups. International Journal of Molecular Sciences, 24(3), 2165. https://doi.org/10.3390/ijms24032165

