Dopamine, Norepinephrine and Serotonin Participate Differently in Methylphenidate Action in Concomitant Behavioral and Ventral Tegmental Area, Locus Coeruleus and Dorsal Raphe Neuronal Study in Young Rats
Abstract
1. Introduction
2. Results
2.1. Behavioral Response to Acute and Chronic MPD Exposure
2.2. Control
2.3. Effect of Acute and Chronic 0.6 mg/kg MPD (Figure 2, Top Panel, N = 45 All Group)

2.4. Effect of Acute and Chronic 2.5 mg/kg MPD (Figure 2, Middle Left Panel, N = 49 All Group)
2.5. Effect of Acute and Chronic 10.0 mg/kg MPD (Figure 2, Bottom Panel, N = 51 All Group)
2.6. Neuronal Responses to Acute and Chronic MPD Exposure (Table 2)
| VTA | LC | DR | |
|---|---|---|---|
| MPD Dose (mg/kg) | N Resp | N Resp | N Resp |
| Saline | 45-2 (4.4%) | 56-4 (7.1%) | 57-3 (5.3%) |
| 0.6 | 141-40 (28.3%) | 134-83 (61.9%) | 137-71 (57.8%) |
| 2.5 | 142-78 (54.9%) | 146-92 (63.0%) | 142-89 (62.7%) |
| 10.0 | 152-105 (69.1%) | 140-128 (914%) | 168-134 (79.8%) |
2.7. Effect of Saline on VTA, LC, and DR Neurons Recorded from All Group
2.8. Effect of 0.6 mg/kg MPD on VTA, LC, and DR Neurons Recorded from All Group (Table 2 and Figure 3, Upper Panel)

2.9. Effect of 2.5 mg/kg MPD on VTA, LC, and DR Neuronal Units Recorded in All Group (Table 2 and Figure 3, Middle Panels)
2.10. Effect of 10.0 mg/kg MPD on VTA, LC, and DR Neuronal Units Recorded in All Group (Table 2 and Figure 3, Lower Panels)
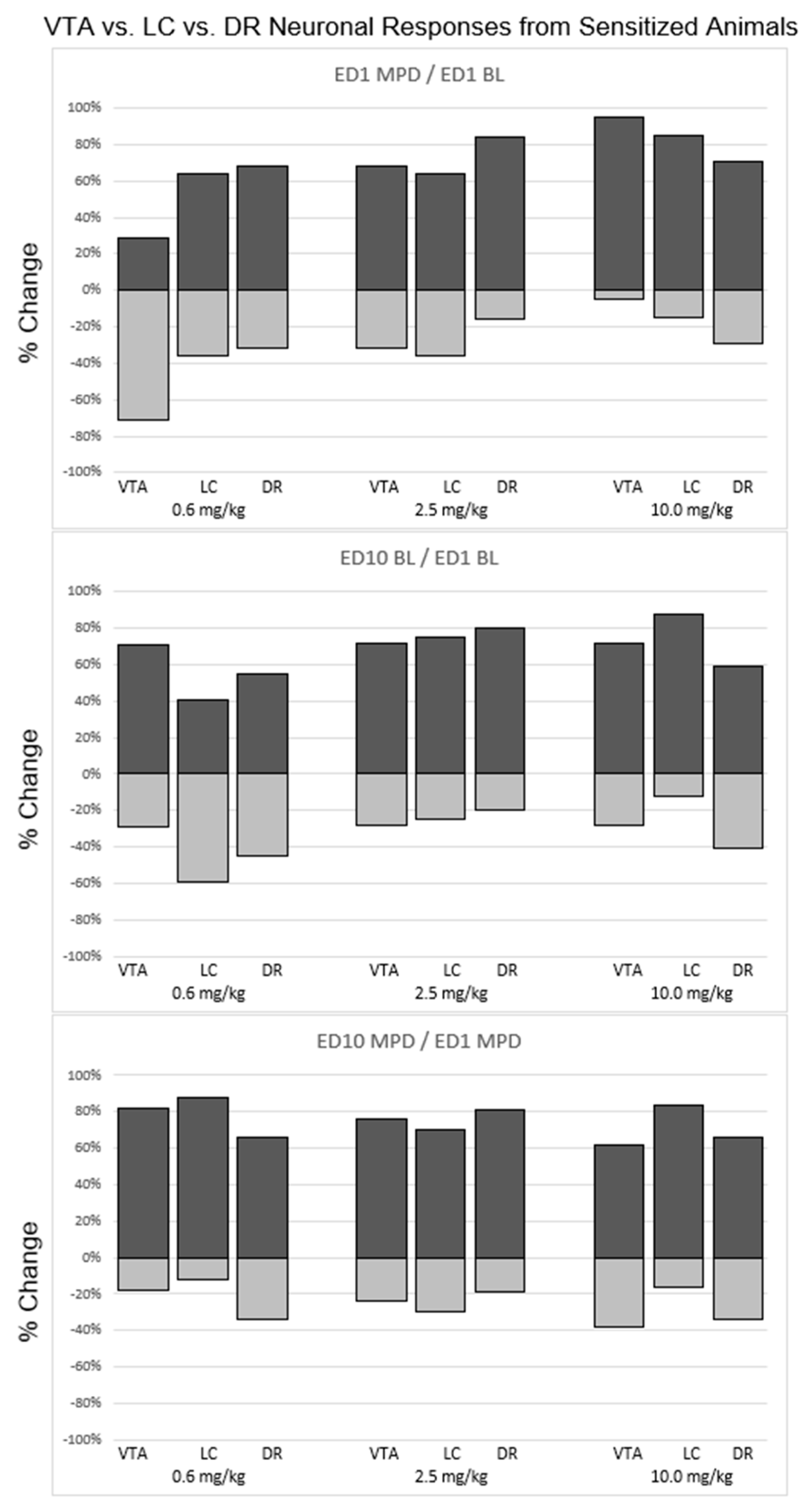
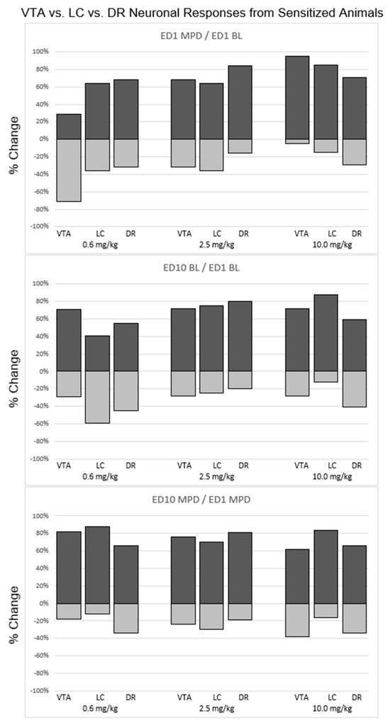
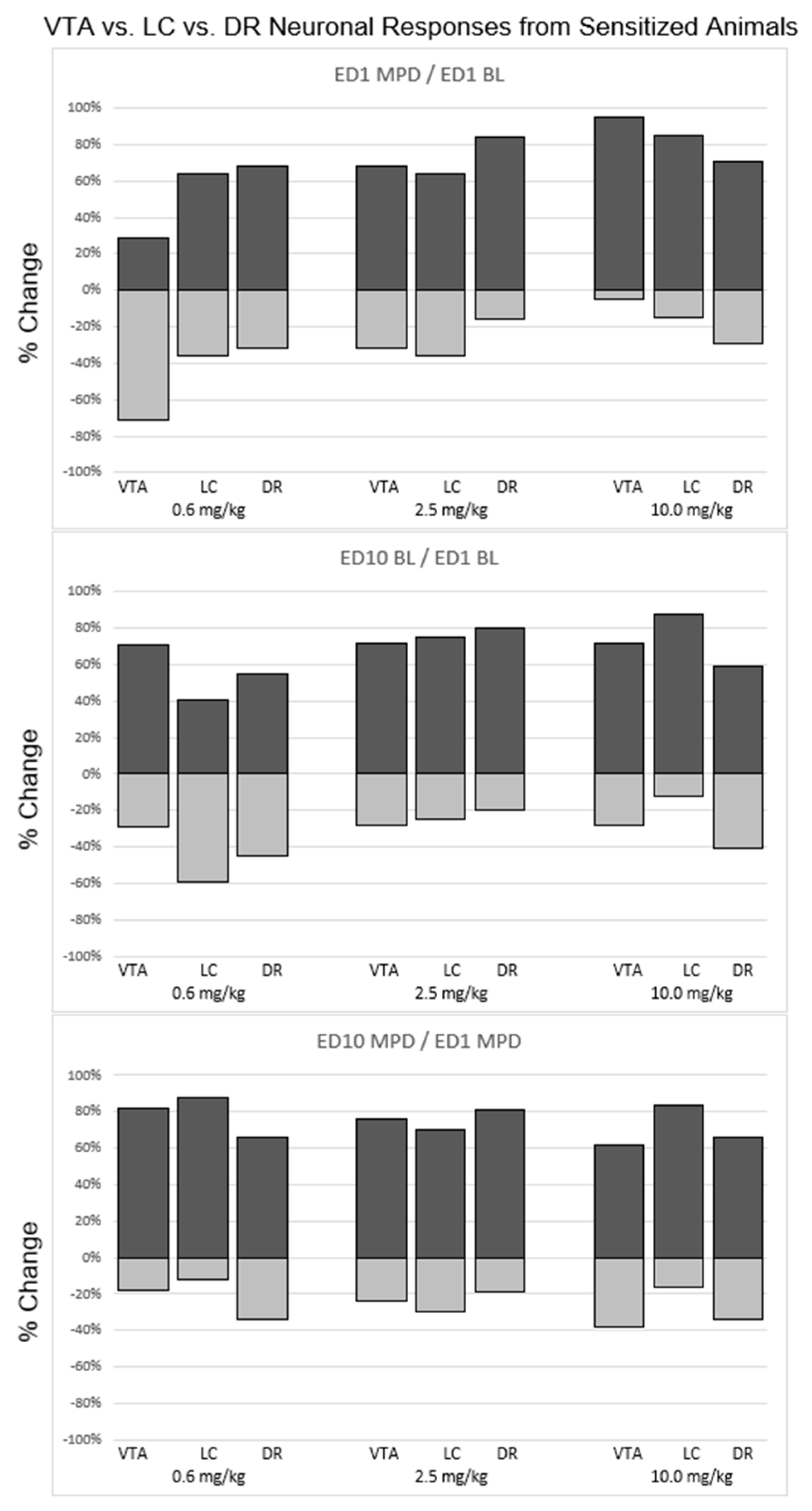
2.11. Effect of 2.5 mg/kg MPD on VTA, LC, and DR Neuronal Response Directions Recorded in Animals That Exhibited Behavioral Sensitization (Figure 4)
2.12. Effect of 10.0 mg/kg MPD on VTA, LC, and DR Neuronal Response Directions Recorded in Animals That Exhibited Behavioral Sensitization (Figure 4)
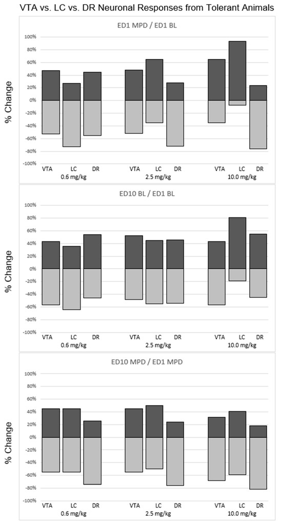
2.13. Effect of 0.6 mg/kg MPD on VTA, LC, and DR Neuronal Response Directions Recorded in Animals That Exhibited Behavioral Tolerance (Figure 5)

2.14. Effect of 2.5 mg/kg MPD on VTA, LC, and DR Neuronal Response Directions Recorded in Animals That Exhibited Behavioral Tolerance (Figure 5)
2.15. Effect of 10.0 mg/kg MPD on VTA, LC, and DR Neuronal Response Directions Recorded in Animals That Exhibited Behavioral Tolerance (Figure 5)
3. Discussion
3.1. Acute MPD (ED1 MPD/ED1 BL) on Total Responsiveness
3.2. Baseline Activity (ED10 BL/ED1 BL) as a Result of Chronically (Repetitively) Increasing the MPD Dose
3.3. Chronic MPD (ED10 MPD/ED1 MPD) Effect on Total Responsiveness
3.4. Acute and Chronic MPD on Neuronal Response Directions (Excitation/Attenuation)
4. Materials and Methods
4.1. Animals
4.2. Surgery
4.3. Experimental Protocol and Data Acquisition
4.4. Drug
4.5. Histological Verification of Electrode Placement
4.6. Behavioral Data Analysis
4.7. Neuronal Data Analysis
Author Contributions
Funding
Institutional Review Board Statement
Informed Consent Statement
Data Availability Statement
Acknowledgments
Conflicts of Interest
References
- Cortese, S.; Adamo, N.; Del Giovane, C.; Mohr-Jensen, C.; Hayes, A.J.; Carucci, S.; Atkinson, L.Z.; Tessari, L.; Banaschewski, T.; Coghill, D.; et al. Comparative efficacy and tolerability of medications for attention-deficit hyperactivity disorder in children, adolescents, and adults: A systematic review and network meta-analysis. Lancet Psychiatry 2018, 5, 727–738. [Google Scholar] [CrossRef] [PubMed]
- Cortese, S. Pharmacologic treatment of attention deficit-hyperactivity disorder. N. Engl. J. Med. 2020, 383, 1050–1056. [Google Scholar] [CrossRef]
- Di Miceli, M.; Omoloye, A.; Gronier, B. Characterisation of methylphenidate-induced excitation in midbrain dopamine neurons, an electrophysiological study in the rat brain. Prog. Neuropsychopharmacol. Biol. Psychiatry 2022, 112, 110406. [Google Scholar] [CrossRef] [PubMed]
- Hodgkins, P.; Shaw, M.; Coghill, D.; Hechtman, L. Amfetamine and methylphenidate medications for attention-deficit/hyperactivity disorder: Complementary treatment options. Eur. Child. Adolesc. Psychiatry 2012, 21, 477–492. [Google Scholar] [CrossRef] [PubMed]
- Pliszka, S.R. ADHD and Anxiety: Clinical Implications. J. Atten. Disord. 2019, 23, 203–205. [Google Scholar] [CrossRef]
- Tremblay, S.; Pieper, F.; Sachs, A.; Joober, R.; Martinez-Trujillo, J. The Effects of Methylphenidate (Ritalin) on the Neurophysiology of the Monkey Caudal Prefrontal Cortex. eNeuro 2019, 6. [Google Scholar] [CrossRef] [PubMed]
- Amaral, N.; Tamashiro, E.; Celeri, E.; Santos, A.; Dalgalarrondo, P.; Azevedo, R. We need to talk about the use of methylphenidate by medical students—Review of the literature. Rev. Bras. De Educ. Médica 2022, 46. [Google Scholar] [CrossRef]
- Kapur, A. Is Methylphenidate Beneficial and Safe in Pharmacological Cognitive Enhancement? CNS Drugs 2020, 34, 1045–1062. [Google Scholar] [CrossRef]
- Llana, M.E.; Crismon, M.L. Methylphenidate: Increased abuse or appropriate use? J. Am. Pharm. Assoc. 1999, 39, 526–530. [Google Scholar] [CrossRef]
- Svetlov, S.I.; Kobeissy, F.H.; Gold, M.S. Performance enhancing, non-prescription use of Ritalin: A comparison with amphetamines and cocaine. J. Addict. Dis. 2007, 26, 1–6. [Google Scholar] [CrossRef]
- Kim, M.G.; Kim, J.; Kim, S.C.; Jeong, J. Twitter analysis of the nonmedical use and side effects of methylphenidate: Machine Learning Study. J. Med. Internet Res. 2020, 22, e16466. [Google Scholar] [CrossRef]
- Quintero, J.; Gutiérrez-Casares, J.R.; Álamo, C. Molecular Characterisation of the Mechanism of Action of Stimulant Drugs Lisdexamfetamine and Methylphenidate on ADHD Neurobiology: A Review. Neurol. Ther. 2022, 11, 1489–1517. [Google Scholar] [CrossRef] [PubMed]
- Medina, A.C.; Rees-Vasquez, C.; Kharas, N.; Dafny, N. Adolescent rats respond differently to methylphenidate as compared to adult—Concomitant VTA neuronal and behavioral recording. Brain Res. Bull. 2022, 183, 1–12. [Google Scholar] [CrossRef] [PubMed]
- Faraone, S.V. The pharmacology of amphetamine and methylphenidate: Relevance to the neurobiology of attention-deficit/hyperactivity disorder and other psychiatric comorbidities. Neurosci. Biobehav. Rev. 2018, 87, 255–270. [Google Scholar] [CrossRef] [PubMed]
- Faraone, S.V.; Rostain, A.L.; Montano, C.B.; Mason, O.; Antshel, K.M.; Newcorn, J.H. Systematic Review: Nonmedical Use of Prescription Stimulants: Risk Factors, Outcomes, and Risk Reduction Strategies. J. Am. Acad. Child Adolesc. Psychiatry 2020, 59, 100–112. [Google Scholar] [CrossRef] [PubMed]
- Foschiera, L.N.; Schmitz, F.; Wyse, A.T.S. Evidence of methylphenidate effect on mitochondria, redox homeostasis, and inflammatory aspects: Insights from animal studies. Prog. Neuropsychopharmacol. Biol. Psychiatry 2022, 116, 110518. [Google Scholar] [CrossRef] [PubMed]
- Jones, Z.; Reyes-Vazquez, C.; Dafny, N. Ventral tegmental area neuronal activity correlates to animals’ behavioral response to chronic methylphenidate recorded from adolescent SD male rats. J. Behav. Brain Sci. 2014, 4, 168–189. [Google Scholar] [CrossRef][Green Version]
- Tang, B.; Dafny, N. Locus coeruleus neuronal and behavioral activity following acute and chronic methylphenidate. J. Brain Sci. 2015, 1, 24–42. [Google Scholar] [CrossRef]
- Tang, B.; Dafny, N. Behavioral and dorsal raphe neuronal activity following acute and chronic methylphenidate in freely behaving rats. Brain Res. Bull. 2013, 98, 53–63. [Google Scholar] [CrossRef]
- Riddle, E.L.; Hanson, G.R.; Fleckenstein, A.E. Therapeutic doses of amphetamine and methylphenidate selectively redistribute the vesicular monoamine transporter-2. Eur. J. Pharmacol. 2007, 571, 25–28. [Google Scholar] [CrossRef]
- Amaral, D.; Sinnamon, H. The Locus Coeruleus: Neurobiology of a central noradrenergic nucleus. Prog. Neurobiol. 1977, 9, 147–196. [Google Scholar] [CrossRef] [PubMed]
- Berridge, C.W.; Waterhouse, B.D. The locus coeruleus-noradrenergic system: Modulation of behavioral state and state-dependent cognitive processes. Brain Res. Rev. 2003, 42, 33–84. [Google Scholar] [CrossRef]
- Kuczenski, R.; Segal, D.S. Effects of methylphenidate on extracellular dopamine, serotonin, and norepinephrine: Comparison with amphetamine. J. Neurochem. 1997, 68, 2032–2037, Erratum in J. Neurochem. 1997, 69, 1332. [Google Scholar] [CrossRef] [PubMed]
- Kuczenski, R.; Segal, D.S. Exposure of adolescent rats to oral methylphenidate: Preferential effects on extracellular norepinephrine and absence of sensitization and cross-sensitization to methamphetamine. J. Neurosci. 2002, 22, 7264–7271. [Google Scholar] [CrossRef] [PubMed]
- Volkow, N.D.; Fowler, J.S.; Wang, G.J. Role of dopamine in drug reinforcement and addiction in humans: Results from imaging studies. Behav. Pharmacol. 2002, 13, 355–366. [Google Scholar] [CrossRef] [PubMed]
- Cools, R.; Roberts, A.C.; Robbins, T.W. Serotoninergic regulation of emotional and behavioural control processes. Trends Cogn. Sci. 2008, 12, 31–40. [Google Scholar] [CrossRef]
- Dafny, N.; Reyes-Vasquez, C.; Liu, Y. The Serotonergic Signaling and the Dorsal Raphe (DR) Neurons in Adolescent Rats are the Most Engaging in Response to Acute and Chronic Methylphenidate as Compared to Other Neuronal Activities Recorded from Other Five Brain Areas. J. Clin. Pharmacol Ther. 2022, 3, 1026. [Google Scholar]
- Volkow, N.D.; Gatley, S.J.; Fowler, J.S.; Wang, G.J.; Swanson, J. Serotonin and the therapeutic effects of ritalin. Science 2000, 288, 11. [Google Scholar] [CrossRef][Green Version]
- Garland, E.J. Intranasal abuse of prescribed methylphenidate. J. Am. Acad. Child. Adolesc. Psychiatry 1998, 37, 573–574. [Google Scholar] [CrossRef]
- Gatley, S.J.; Volkow, N.D.; Gifford, A.N.; Fowler, J.S.; Dewey, S.L.; Ding, Y.S.; Logan, J. Dopamine-transporter occupancy after intravenous doses of cocaine and methylphenidate in mice and humans. Psychopharmacology 1999, 146, 93–100. [Google Scholar] [CrossRef]
- Florence, S.; King, N.; Ceresco, A.; Dafny, N. Glutamate and dopamine in the VTA participate differently in the acute and chronic effects of methylphenidate. Behav. Brain Res. 2020, 380, 17–25. [Google Scholar]
- Hnasko, T.S.; Hjelmstad, G.O.; Fields, H.L.; Edwards, R.H. Ventral tegmental area glutamate neurons: Electrophysiological properties and projections. J. Neurosci. 2012, 32, 15076–15085. [Google Scholar] [CrossRef] [PubMed]
- Root, D.H.; Zhang, S.; Barker, D.J.; Miranda-Barrientos, J.; Liu, B.; Wang, H.L.; Morales, M. Selective Brain Distribution and Distinctive Synaptic Architecture of Dual Glutamatergic-GABAergic Neurons. Cell Rep. 2018, 23, 3465–3479. [Google Scholar] [CrossRef] [PubMed]
- Yuan, A.; Claussen, X.; Jones, Z.; Tang, B.; Dafny, N. Methylphenidate induce a different response in the dorsal raphe as compared to ventral tegmental area and locus coeruleus: Behavioral and concomitant recording in adult rats. J. Neurotransmiss. 2023. [Google Scholar] [CrossRef] [PubMed]
- King, N.; Dafny, N. The ventral tegmental area (VTA), the nucleus accumbens (NAc), the caudate nucleus (CN) and the prefrontal cortex (PFC) role in response to acute and chronic methylphenidate. J. Exp. Neurol. 2023, 4, 21–36. [Google Scholar] [CrossRef]
- Devilbiss, D.M.; Waterhouse, B.D. The effects of tonic locus ceruleus output on sensory-evoked responses of ventral posterior medial thalamic and barrel field cortical neurons in the awake rat. J. Neurosci. 2004, 24, 10773–10785. [Google Scholar] [CrossRef]
- Foote, S.; Eschenko, O.; Johansen, J.P.; Bouret, S.; Aston-Jones, G.; Harley, C.W.; Manahan-Vaughan, D.; Weinshenker, D.; Valentino, R.; Berridge, C.; et al. Locus coeruleus: A new look at the blue spot. Nat. Rev. Neurosci. 2020, 21, 644–659. [Google Scholar] [CrossRef]
- Chandler, D.J. Evidence for a specialized role of the locus coeruleus noradrenergic system in cortical circuitries and behavioral operations. Brain Res. 2016, 1641 Pt B, 197–206. [Google Scholar] [CrossRef]
- González, M.M.; Aston-Jones, G. Circadian regulation of arousal: Role of the noradrenergic locus coeruleus system and light exposure. Sleep 2006, 29, 1327–1336. [Google Scholar] [CrossRef]
- Sara, S.J. The locus coeruleus and noradrenergic modulation of cognition. Nat. Rev. Neurosci. 2009, 10, 211–223. [Google Scholar] [CrossRef]
- Volkow, N.D.; Swanson, J.M. Clinical practice: Adult attention deficit-hyperactivity disorder. N. Engl. J. Med. 2013, 369, 1935–1944. [Google Scholar] [CrossRef] [PubMed]
- Weinshenker, D.; Holmes, P.V. Regulation of neurological and neuropsychiatric phenotypes by locus coeruleus-derived galanin. Brain Res. 2016, 1641 Pt B, 320–337. [Google Scholar] [CrossRef]
- Miyazaki, K.W.; Miyazaki, K.; Doya, K. Activation of dorsal raphe serotonin neurons is necessary for waiting for delayed rewards. J. Neurosci. 2012, 32, 10451–10457. [Google Scholar] [CrossRef] [PubMed]
- Tao, R.; Auerbach, S.B. Involvement of the dorsal raphe but not median raphe nucleus in morphine-induced increases in serotonin release in the rat forebrain. Neuroscience 1995, 68, 553–561. [Google Scholar] [CrossRef]
- Ding, Y.S.; Fowler, J.S.; Volkow, N.D.; Dewey, S.L.; Wang, G.J.; Logan, J.; Gatley, S.J.; Pappas, N. Chiral drugs: Comparison of the pharmacokinetics of [11C] d-threo and L-threo-methylphenidate in the human and baboon brain. Psychopharmacology 1997, 131, 71–78. [Google Scholar] [CrossRef]
- Volkow, N.D.; Ding, Y.S.; Fowler, J.S.; Wang, G.J.; Logan, J.; Gatley, J.S.; Dewey, S.; Ashby, C.; Liebermann, J.; Hitzemann, R.; et al. Is methylphenidate like cocaine? Studies on their pharmacokinetics and distribution in the human brain. Arch. Gen. Psychiatry 1995, 52, 456–463. [Google Scholar] [CrossRef] [PubMed]
- Stevens, T.; Sangkuhl, K.; Brown, J.T.; Altman, R.B.; Klein, T.E. PharmGKB summary: Methylphenidate pathway, pharmacokinetics/pharmacodynamics. Pharmacogenet. Genom. 2019, 29, 136–154. [Google Scholar] [CrossRef] [PubMed]
- Jaeschke, R.R.; Sujkowska, E.; Sowa-Kućma, M. Methylphenidate for attention-deficit/hyperactivity disorder in adults: A narrative review. Psychopharmacology 2021, 238, 2667–2691. [Google Scholar] [CrossRef] [PubMed]
- Sherwood, N.; Timiras, P. A Stereotaxic Atlas of the Developing Rat Brain; University of California Press: Oakland, CA, USA, 1970. [Google Scholar]
- Dafny, N.; Yang, P.B. The role of age, genotype, sex, and route of acute and chronic administration of methylphenidate: A review of its locomotor effects. Brain Res. Bull. 2006, 68, 393–405. [Google Scholar] [CrossRef]




| Experimental Days (ED) | |||||
|---|---|---|---|---|---|
| Treatment Groups | ED 1 * | ED 2–6 | ED 7–9 | ED 10 * | |
| 1 | Saline | Saline/Saline | Saline | Washout | Saline/Saline |
| 2 | 0.6 mg/kg MPD | Saline/0.6 mg/kg MPD | 0.6 mg/kg MPD | Washout | Saline/0.6 mg/kg MPD |
| 3 | 2.5 mg/kg MPD | Saline/2.5 mg/kg MPD | 2.5 mg/kg MPD | Washout | Saline/2.5 mg/kg MPD |
| 4 | 10.0 mg/kg MPD | Saline/10.0 mg/kg MPD | 10.0 mg/kg MPD | Washout | Saline/10.0 mg/kg MPD |
| ED10 MPD/ED1 MPD (Chronic) | ||||||||||||
|---|---|---|---|---|---|---|---|---|---|---|---|---|
| VTA | LC | DR | ||||||||||
| MPD Dose mg/kg | N | ↑ | ↓ | ↔ | N | ↑ | ↓ | ↔ | N | ↑ | ↓ | ↔ |
| A. Units recorded from all animals | ||||||||||||
| saline | 45 | 0 | 2 | 43 | 56 | 1 | 3 | 52 | 57 | 1 | 2 | 54 |
| 0.6 | 141 | 21 | 19 | 70 | 134 | 29 | 54 | 53 | 137 | 36 | 35 | 66 |
| 2.5 | 142 | 44 | 34 | 64 | 146 | 57 | 35 | 54 | 142 | 43 | 46 | 53 |
| 10 | 152 | 93 | 12 | 47 | 140 | 110 | 18 | 12 | 168 | 78 | 56 | 34 |
| B. Units recorded from sensitized animals | ||||||||||||
| 0.6 | 141 | 24 | 26 | 1 | 134 | 15 | 25 | 94 | 137 | 34 | 22 | 81 |
| 2.5 | 142 | 62 | 33 | 47 | 146 | 63 | 42 | 41 | 142 | 36 | 25 | 81 |
| 10 | 152 | 88 | 40 | 24 | 140 | 89 | 40 | 11 | 168 | 67 | 59 | 42 |
| C. Units recorded from tolerant animals | ||||||||||||
| 0.6 | 141 | 41 | 20 | 8 | 134 | 62 | 33 | 39 | 137 | 35 | 31 | 71 |
| 2.5 | 142 | 69 | 44 | 29 | 146 | 46 | 30 | 70 | 142 | 59 | 42 | 41 |
| 10 | 152 | 61 | 42 | 49 | 140 | 91 | 35 | 14 | 168 | 66 | 58 | 44 |
Disclaimer/Publisher’s Note: The statements, opinions and data contained in all publications are solely those of the individual author(s) and contributor(s) and not of MDPI and/or the editor(s). MDPI and/or the editor(s) disclaim responsibility for any injury to people or property resulting from any ideas, methods, instructions or products referred to in the content. |
© 2023 by the authors. Licensee MDPI, Basel, Switzerland. This article is an open access article distributed under the terms and conditions of the Creative Commons Attribution (CC BY) license (https://creativecommons.org/licenses/by/4.0/).
Share and Cite
Reyes-Vasquez, C.; Jones, Z.; Tang, B.; Dafny, N. Dopamine, Norepinephrine and Serotonin Participate Differently in Methylphenidate Action in Concomitant Behavioral and Ventral Tegmental Area, Locus Coeruleus and Dorsal Raphe Neuronal Study in Young Rats. Int. J. Mol. Sci. 2023, 24, 16628. https://doi.org/10.3390/ijms242316628
Reyes-Vasquez C, Jones Z, Tang B, Dafny N. Dopamine, Norepinephrine and Serotonin Participate Differently in Methylphenidate Action in Concomitant Behavioral and Ventral Tegmental Area, Locus Coeruleus and Dorsal Raphe Neuronal Study in Young Rats. International Journal of Molecular Sciences. 2023; 24(23):16628. https://doi.org/10.3390/ijms242316628
Chicago/Turabian StyleReyes-Vasquez, Cruz, Zachary Jones, Bin Tang, and Nachum Dafny. 2023. "Dopamine, Norepinephrine and Serotonin Participate Differently in Methylphenidate Action in Concomitant Behavioral and Ventral Tegmental Area, Locus Coeruleus and Dorsal Raphe Neuronal Study in Young Rats" International Journal of Molecular Sciences 24, no. 23: 16628. https://doi.org/10.3390/ijms242316628
APA StyleReyes-Vasquez, C., Jones, Z., Tang, B., & Dafny, N. (2023). Dopamine, Norepinephrine and Serotonin Participate Differently in Methylphenidate Action in Concomitant Behavioral and Ventral Tegmental Area, Locus Coeruleus and Dorsal Raphe Neuronal Study in Young Rats. International Journal of Molecular Sciences, 24(23), 16628. https://doi.org/10.3390/ijms242316628
