Pharmacokinetics and Changes in Lipid Mediator Profiling after Consumption of Specialized Pro-Resolving Lipid-Mediator-Enriched Marine Oil in Healthy Subjects
Abstract
:1. Introduction
2. Results
3. Discussion
4. Materials and Methods
4.1. Study Participants
4.2. Study Design
4.3. Safety Analysis
4.4. Biological Samples Processing
4.5. Lipid Mediator Extraction and Profiling (LC-MS/MS)
4.6. Targeted LC-MS/MS Acquisition Parameters
4.7. Pharmacokinetic Analysis
4.8. Statistical Analyses
Supplementary Materials
Author Contributions
Funding
Institutional Review Board Statement
Informed Consent Statement
Data Availability Statement
Acknowledgments
Conflicts of Interest
Abbreviations
References
- Bang, H.O.; Dyerberg, J.; Nielsen, A.B. Plasma Lipid and Lipoprotein Pattern in Greenlandic West-Coast Eskimos. Lancet 1971, 1, 1143–1145. [Google Scholar] [CrossRef] [PubMed]
- Oppedisano, F.; Mollace, R.; Tavernese, A.; Gliozzi, M.; Musolino, V.; Macrì, R.; Carresi, C.; Maiuolo, J.; Serra, M.; Cardamone, A.; et al. PUFA Supplementation and Heart Failure: Effects on Fibrosis and Cardiac Remodeling. Nutrients 2021, 13, 2965. [Google Scholar] [CrossRef] [PubMed]
- Miller, M.; Tokgozoglu, L.; Parhofer, K.G.; Handelsman, Y.; Leiter, L.A.; Landmesser, U.; Brinton, E.A.; Catapano, A.L. Icosapent Ethyl for Reduction of Persistent Cardiovascular Risk: A Critical Review of Major Medical Society Guidelines and Statements. Expert. Rev. Cardiovasc. Ther. 2022, 20, 609–625. [Google Scholar] [CrossRef] [PubMed]
- Serhan, C.N. Pro-Resolving Lipid Mediators Are Leads for Resolution Physiology. Nature 2014, 510, 92–101. [Google Scholar] [CrossRef]
- Serhan, C.N.; Clish, C.B.; Brannon, J.; Colgan, S.P.; Chiang, N.; Gronert, K. Novel Functional Sets of Lipid-Derived Mediators with Antiinflammatory Actions Generated from Omega-3 Fatty Acids via Cyclooxygenase 2-Nonsteroidal Antiinflammatory Drugs and Transcellular Processing. J. Exp. Med. 2000, 192, 1197–1204. [Google Scholar] [CrossRef] [PubMed]
- Serhan, C.N.; Hong, S.; Gronert, K.; Colgan, S.P.; Devchand, P.R.; Mirick, G.; Moussignac, R.-L. Resolvins: A Family of Bioactive Products of Omega-3 Fatty Acid Transformation Circuits Initiated by Aspirin Treatment That Counter Proinflammation Signals. J. Exp. Med. 2002, 196, 1025–1037. [Google Scholar] [CrossRef] [PubMed]
- Hong, S.; Gronert, K.; Devchand, P.R.; Moussignac, R.L.; Serhan, C.N. Novel Docosatrienes and 17S-Resolvins Generated from Docosahexaenoic Acid in Murine Brain, Human Blood, and Glial Cells: Autacoids in Anti-Inflammation. J. Biol. Chem. 2003, 278, 14677–14687. [Google Scholar] [CrossRef]
- Bannenberg, G.L.; Chiang, N.; Ariel, A.; Arita, M.; Tjonahen, E.; Gotlinger, K.H.; Hong, S.; Serhan, C.N. Molecular Circuits of Resolution: Formation and Actions of Resolvins and Protectins. J. Immunol. 2005, 174, 4345–4355. [Google Scholar] [CrossRef]
- Chiang, N.; Serhan, C.N. Specialized Pro-Resolving Mediator Network: An Update on Production and Actions. Essays Biochem. 2020, 64, 443–462. [Google Scholar] [CrossRef]
- Arita, M.; Bianchini, F.; Aliberti, J.; Sher, A.; Chiang, N.; Hong, S.; Yang, R.; Petasis, N.A.; Serhan, C.N. Stereochemical Assignment, Antiinflammatory Properties, and Receptor for the Omega-3 Lipid Mediator Resolvin E1. J. Exp. Med. 2005, 201, 713–722. [Google Scholar] [CrossRef]
- Serhan, C.N.; Gotlinger, K.; Hong, S.; Lu, Y.; Siegelman, J.; Baer, T.; Yang, R.; Colgan, S.P.; Petasis, N.A. Anti-Inflammatory Actions of Neuroprotectin D1/Protectin D1 and Its Natural Stereoisomers: Assignments of Dihydroxy-Containing Docosatrienes 1. J. Immunol. 2006, 176, 1848–1859. [Google Scholar] [CrossRef]
- Sun, Y.-P.; Oh, S.F.; Uddin, J.; Yang, R.; Gotlinger, K.; Campbell, E.; Colgan, S.P.; Petasis, N.A.; Serhan, C.N. Resolvin D1 and Its Aspirin-Triggered 17R Epimer. Stereochemical Assignments, Anti-Inflammatory Properties, and Enzymatic Inactivation. J. Biol. Chem. 2007, 282, 9323–9334. [Google Scholar] [CrossRef]
- Chiang, N.; Dalli, J.; Colas, R.A.; Serhan, C.N. Identification of Resolvin D2 Receptor Mediating Resolution of Infections and Organ Protection. J. Exp. Med. 2015, 212, 1203–1217. [Google Scholar] [CrossRef] [PubMed]
- Chiang, N.; de la Rosa, X.; Libreros, S.; Serhan, C.N. Novel Resolvin D2 Receptor Axis in Infectious Inflammation. J. Immunol. 2017, 198, 842–851. [Google Scholar] [CrossRef] [PubMed]
- Chiang, N.; Libreros, S.; Norris, P.C.; De La Rosa, X.; Serhan, C.N. Maresin 1 Activates LGR6 Receptor Promoting Phagocyte Immunoresolvent Functions. J. Clin. Investig. 2019, 129, 5294–5311. [Google Scholar] [CrossRef] [PubMed]
- Norling, L.V.; Headland, S.E.; Dalli, J.; Arnardottir, H.H.; Haworth, O.; Jones, H.R.; Irimia, D.; Serhan, C.N.; Perretti, M. Proresolving and Cartilage-Protective Actions of Resolvin D1 in Inflammatory Arthritis. JCI Insight 2016, 1, e85922. [Google Scholar] [CrossRef]
- Fredman, G.; Spite, M. Specialized Pro-Resolving Mediators in Cardiovascular Diseases. Mol. Asp. Med. 2017, 58, 65–71. [Google Scholar] [CrossRef]
- Fredman, G. Resolving Atherosclerosis and Alzheimer Disease. Nat. Rev. Cardiol. 2019, 16, 259–260. [Google Scholar] [CrossRef]
- Serhan, C.N.; Chiang, N.; Dalli, J. New Pro-Resolving n-3 Mediators Bridge Resolution of Infectious Inflammation to Tissue Regeneration. Mol. Asp. Med. 2018, 64, 1–17. [Google Scholar] [CrossRef]
- de la Rosa, X.; Norris, P.C.; Chiang, N.; Rodriguez, A.R.; Spur, B.W.; Serhan, C.N. Identification and Complete Stereochemical Assignments of the New Resolvin Conjugates in Tissue Regeneration in Human Tissues That Stimulate Proresolving Phagocyte Functions and Tissue Regeneration. Am. J. Pathol. 2018, 188, 950–966. [Google Scholar] [CrossRef]
- Wang, X.; Zhu, M.; Hjorth, E.; Cortés-Toro, V.; Eyjolfsdottir, H.; Graff, C.; Nennesmo, I.; Palmblad, J.; Eriksdotter, M.; Sambamurti, K.; et al. Resolution of Inflammation Is Altered in Alzheimer’s Disease. Alzheimer’s Dement. 2015, 11, 40–50.e1–e2. [Google Scholar] [CrossRef] [PubMed]
- Zhu, M.; Wang, X.; Hjorth, E.; Colas, R.A.; Schroeder, L.; Granholm, A.C.; Serhan, C.N.; Schultzberg, M. Pro-Resolving Lipid Mediators Improve Neuronal Survival and Increase Aβ42 Phagocytosis. Mol. Neurobiol. 2016, 53, 2733–2749. [Google Scholar] [CrossRef]
- Serhan, C.N.; de la Rosa, X.; Jouvene, C.C. Cutting Edge: Human Vagus Produces Specialized Proresolving Mediators of Inflammation with Electrical Stimulation Reducing Proinflammatory Eicosanoids. J. Immunol. 2018, 201, 3161–3165. [Google Scholar] [CrossRef]
- Colas, R.A.; Shinohara, M.; Dalli, J.; Chiang, N.; Serhan, C.N. Identification and Signature Profiles for Pro-Resolving and Inflammatory Lipid Mediators in Human Tissue. Am. J. Physiol. Cell Physiol. 2014, 307, C39–C54. [Google Scholar] [CrossRef] [PubMed]
- Kang, B.; Xu, Q.; Chen, Z.; Wu, Y.; Yang, S.; Yang, X.; Zhang, Z.; Jiang, D. Characterization of Goose SPMS: Molecular Characterization and Expression Profiling of SPMS in the Goose Ovary. Reprod. Biol. 2018, 18, 60–65. [Google Scholar] [CrossRef] [PubMed]
- Clària, J.; Dalli, J.; Yacoubian, S.; Gao, F.; Serhan, C.N. Resolvin D1 and Resolvin D2 Govern Local Inflammatory Tone in Obese Fat. J. Immunol. 2012, 189, 2597–2605. [Google Scholar] [CrossRef]
- Keelan, J.A.; Mas, E.; D’Vaz, N.; Dunstan, J.A.; Li, S.; Barden, A.E.; Mark, P.J.; Waddell, B.J.; Prescott, S.L.; Mori, T.A. Effects of Maternal N-3 Fatty Acid Supplementation on Placental Cytokines, pro-Resolving Lipid Mediators and Their Precursors. Reproduction 2015, 149, 171–178. [Google Scholar] [CrossRef]
- Norris, P.C.; Libreros, S.; Serhan, C.N. Resolution Metabolomes Activated by Hypoxic Environment. Sci. Adv. 2019, 5, eaax4895. [Google Scholar] [CrossRef]
- Prüss, H.; Rosche, B.; Sullivan, A.B.; Brommer, B.; Wengert, O.; Gronert, K.; Schwab, J.M. Proresolution Lipid Mediators in Multiple Sclerosis—Differential, Disease Severity-Dependent Synthesis—A Clinical Pilot Trial. PLoS ONE 2013, 8, e55859. [Google Scholar] [CrossRef]
- Giera, M.; Ioan-Facsinay, A.; Toes, R.; Gao, F.; Dalli, J.; Deelder, A.M.; Serhan, C.N.; Mayboroda, O.A. Lipid and Lipid Mediator Profiling of Human Synovial Fluid in Rheumatoid Arthritis Patients by Means of LC-MS/MS. Biochim. Biophys. Acta 2012, 1821, 1415–1424. [Google Scholar] [CrossRef]
- Arnardottir, H.; Orr, S.K.; Dalli, J.; Serhan, C.N. Human Milk Proresolving Mediators Stimulate Resolution of Acute Inflammation. Mucosal Immunol. 2016, 9, 757–766. [Google Scholar] [CrossRef]
- Sasaki, A.; Fukuda, H.; Shiida, N.; Tanaka, N.; Furugen, A.; Ogura, J.; Shuto, S.; Mano, N.; Yamaguchi, H. Determination of ω-6 and ω-3 PUFA Metabolites in Human Urine Samples Using UPLC/MS/MS. Anal. Bioanal. Chem. 2015, 407, 1625–1639. [Google Scholar] [CrossRef] [PubMed]
- Mas, E.; Croft, K.D.; Zahra, P.; Barden, A.; Mori, T.A. Resolvins D1, D2, and Other Mediators of Self-Limited Resolution of Inflammation in Human Blood Following n-3 Fatty Acid Supplementation. Clin. Chem. 2012, 58, 1476–1484. [Google Scholar] [CrossRef] [PubMed]
- Souza, P.R.; Marques, R.M.; Gomez, E.A.; Colas, R.A.; De Matteis, R.; Zak, A.; Patel, M.; Collier, D.J.; Dalli, J. Enriched Marine Oil Supplements Increase Peripheral Blood Specialized Pro-Resolving Mediators Concentrations and Reprogram Host Immune Responses: A Randomized Double-Blind Placebo-Controlled Study. Circ. Res. 2020, 126, 75–90. [Google Scholar] [CrossRef]
- Winkler, J.W.; Libreros, S.; De La Rosa, X.; Sansbury, B.E.; Norris, P.C.; Chiang, N.; Fichtner, D.; Keyes, G.S.; Wourms, N.; Spite, M.; et al. Structural Insights into Resolvin D4 Actions and Further Metabolites via a New Total Organic Synthesis and Validation. J. Leukoc. Biol. 2018, 103, 995–1010. [Google Scholar] [CrossRef]
- López-Vicario, C.; Titos, E.; Walker, M.E.; Alcaraz-Quiles, J.; Casulleras, M.; Durán-Güell, M.; Flores-Costa, R.; Pérez-Romero, N.; Forné, M.; Dalli, J.; et al. Leukocytes from Obese Individuals Exhibit an Impaired SPM Signature. FASEB J. 2019, 33, 7072–7083. [Google Scholar] [CrossRef]
- Halade, G.V.; Norris, P.C.; Kain, V.; Serhan, C.N.; Ingle, K.A. Splenic Leukocytes Define the Resolution of Inflammation in Heart Failure. Sci. Signal. 2018, 11, eaao1818. [Google Scholar] [CrossRef] [PubMed]
- Winkler, J.W.; Orr, S.K.; Dalli, J.; Cheng, C.Y.C.; Sanger, J.M.; Chiang, N.; Petasis, N.A.; Serhan, C.N. Resolvin D4 Stereoassignment and Its Novel Actions in Host Protection and Bacterial Clearance. Sci. Rep. 2016, 6, 18972. [Google Scholar] [CrossRef] [PubMed]
- Norris, P.C.; Libreros, S.; Chiang, N.; Serhan, C.N. A Cluster of Immunoresolvents Links Coagulation to Innate Host Defense in Human Blood. Sci. Signal. 2017, 10, eaan1471. [Google Scholar] [CrossRef] [PubMed]
- Hudert, C.A.; Weylandt, K.H.; Lu, Y.; Wang, J.; Hong, S.; Dignass, A.; Serhan, C.N.; Kang, J.X. Transgenic Mice Rich in Endogenous Omega-3 Fatty Acids Are Protected from Colitis. Proc. Natl. Acad. Sci. USA 2006, 103, 11276–11281. [Google Scholar] [CrossRef]
- Chiang, N.; Shinohara, M.; Dalli, J.; Mirakaj, V.; Kibi, M.; Choi, A.M.K.; Serhan, C.N. Inhaled Carbon Monoxide Accelerates Resolution of Inflammation via Unique Proresolving Mediator-Heme Oxygenase-1 Circuits. J. Immunol. 2013, 190, 6378–6388. [Google Scholar] [CrossRef] [PubMed]
- Paul-Clark, M.J.; Van Cao, T.; Moradi-Bidhendi, N.; Cooper, D.; Gilroy, D.W. 15-Epi-Lipoxin A4-Mediated Induction of Nitric Oxide Explains How Aspirin Inhibits Acute Inflammation. J. Exp. Med. 2004, 200, 69–78. [Google Scholar] [CrossRef] [PubMed]
- Claria, J.; Serhan, C.N. Aspirin Triggers Previously Undescribed Bioactive Eicosanoids by Human Endothelial Cell-Leukocyte Interactions. Proc. Natl. Acad. Sci. USA 1995, 92, 9475–9479. [Google Scholar] [CrossRef] [PubMed]
- Spite, M.; Norling, L.V.; Summers, L.; Yang, R.; Cooper, D.; Petasis, N.A.; Flower, R.J.; Perretti, M.; Serhan, C.N. Resolvin D2 Is a Potent Regulator of Leukocytes and Controls Microbial Sepsis. Nature 2009, 461, 1287–1291. [Google Scholar] [CrossRef] [PubMed]
- Lee, J.Y.; Han, S.H.; Park, M.H.; Baek, B.; Song, I.S.; Choi, M.K.; Takuwa, Y.; Ryu, H.; Kim, S.H.; He, X.; et al. Neuronal SphK1 Acetylates COX2 and Contributes to Pathogenesis in a Model of Alzheimer’s Disease. Nat. Commun. 2018, 9, 1479. [Google Scholar] [CrossRef] [PubMed]
- Dalli, J.; Kitch, D.; O’Brien, M.P.; Hunt, P.W.; Funderburg, N.; Moisi, D.; Gupta, A.; Brown, T.T.; Tien, P.C.; Aberg, J.A.; et al. Pro-Inflammatory and pro-Resolving Lipid Mediators of Inflammation in HIV: Effect of Aspirin Intervention. eBioMedicine 2023, 89, 104468. [Google Scholar] [CrossRef] [PubMed]
- Birnbaum, Y.; Ye, Y.; Lin, Y.; Freeberg, S.Y.; Huang, M.H.; Perez-Polo, J.R.; Uretsky, B.F. Aspirin Augments 15-Epi-Lipoxin A4 Production by Lipopolysaccharide, but Blocks the Pioglitazone and Atorvastatin Induction of 15-Epi-Lipoxin A4 in the Rat Heart. Prostaglandins Other Lipid Mediat. 2007, 83, 89–98. [Google Scholar] [CrossRef]
- Dalli, J.; Chiang, N.; Serhan, C.N. Elucidation of Novel 13-Series Resolvins That Increase with Atorvastatin and Clear Infections. Nat. Med. 2015, 21, 1071–1075. [Google Scholar] [CrossRef]
- Barden, A.; Phillips, M.; Mas, E.; Hill, L.M.; Mowat, I.; Loh, P.S.; Corcoran, T.; Mori, T.A. Effects of Antiemetic Doses of Dexamethasone on Plasma Mediators of Inflammation Resolution and Pain after Surgery in Women. Prostaglandins Other Lipid Mediat. 2020, 149, 106427. [Google Scholar] [CrossRef]
- Mozurkewich, E.L.; Greenwood, M.; Clinton, C.; Berman, D.; Romero, V.; Djuric, Z.; Qualls, C.; Gronert, K. Pathway Markers for Pro-Resolving Lipid Mediators in Maternal and Umbilical Cord Blood: A Secondary Analysis of the Mothers, Omega-3, and Mental Health Study. Front. Pharmacol. 2016, 7, 274. [Google Scholar] [CrossRef]
- Markworth, J.F.; Vella, L.; Lingard, B.S.; Tull, D.L.; Rupasinghe, T.W.; Sinclair, A.J.; Maddipati, K.R.; Cameron-Smith, D. Human Inflammatory and Resolving Lipid Mediator Responses to Resistance Exercise and Ibuprofen Treatment. Am. J. Physiol. Regul. Integr. Comp. Physiol. 2013, 305, R1281–R1296. [Google Scholar] [CrossRef] [PubMed]
- Nieman, D.C.; Sakaguchi, C.A.; Omar, A.M.; Davis, K.L.; Shaffner, C.E.; Strauch, R.C.; Lila, M.A.; Zhang, Q. Blueberry Intake Elevates Post-Exercise Anti-Inflammatory Oxylipins: A Randomized Trial. Sci. Rep. 2023, 13, 11976. [Google Scholar] [CrossRef] [PubMed]
- Khoshbin, E.; Salehi, R.; Behroozi, R.; Sadr, S.; Zamani, A.; Farhadian, M.; Karkehabadi, H. The Effect of Low-Dose Aspirin on Aspirin Triggered Lipoxin, Interleukin 1 Beta, and Prostaglandin E2 Levels in Periapical Fluid: A Double-Blind Randomized Clinical Trial. BMC Oral Health 2023, 23, 530. [Google Scholar] [CrossRef] [PubMed]
- Ramsden, C.E.; Faurot, K.R.; Zamora, D.; Suchindran, C.M.; Macintosh, B.A.; Gaylord, S.; Ringel, A.; Hibbeln, J.R.; Feldstein, A.E.; Mori, T.A.; et al. Targeted Alteration of Dietary N-3 and n-6 Fatty Acids for the Treatment of Chronic Headaches: A Randomized Trial. Pain 2013, 154, 2441–2451. [Google Scholar] [CrossRef]
- Dalli, J.; Colas, R.A.; Quintana, C.; Barragan-Bradford, D.; Hurwitz, S.; Levy, B.D.; Choi, A.M.; Serhan, C.N.; Baron, R.M. Human Sepsis Eicosanoid and Proresolving Lipid Mediator Temporal Profiles: Correlations with Survival and Clinical Outcomes. Crit. Care Med. 2017, 45, 58–68. [Google Scholar] [CrossRef] [PubMed]
- Arnardottir, H.H.; Dalli, J.; Norling, L.V.; Colas, R.A.; Perretti, M.; Serhan, C.N. Resolvin D3 Is Dysregulated in Arthritis and Reduces Arthritic Inflammation. J. Immunol. 2016, 197, 2362–2368. [Google Scholar] [CrossRef]
- Möller, I.; Rodas, G.; Villalón, J.M.; Rodas, J.A.; Angulo, F.; Martínez, N.; Vergés, J. Randomized, Double-Blind, Placebo-Controlled Study to Evaluate the Effect of Treatment with an SPMs-Enriched Oil on Chronic Pain and Inflammation, Functionality, and Quality of Life in Patients with Symptomatic Knee Osteoarthritis: GAUDI Study. J. Transl. Med. 2023, 21, 423. [Google Scholar] [CrossRef] [PubMed]
- Fredman, G.; Hellmann, J.; Proto, J.D.; Kuriakose, G.; Colas, R.A.; Dorweiler, B.; Connolly, E.S.; Solomon, R.; Jones, D.M.; Heyer, E.J.; et al. An Imbalance between Specialized Pro-Resolving Lipid Mediators and pro-Inflammatory Leukotrienes Promotes Instability of Atherosclerotic Plaques. Nat. Commun. 2016, 7, 12859. [Google Scholar] [CrossRef]
- Titos, E.; Rius, B.; López-Vicario, C.; Alcaraz-Quiles, J.; García-Alonso, V.; Lopategi, A.; Dalli, J.; Lozano, J.J.; Arroyo, V.; Delgado, S.; et al. Signaling and Immunoresolving Actions of Resolvin D1 in Inflamed Human Visceral Adipose Tissue. J. Immunol. 2016, 197, 3360–3370. [Google Scholar] [CrossRef]
- Ontoria-Oviedo, I.; Amaro-Prellezo, E.; Castellano, D.; Venegas-Venegas, E.; González-Santos, F.; Ruiz-Saurí, A.; Pelacho, B.; Prósper, F.; Pérez del Caz, M.D.; Sepúlveda, P. Topical Administration of a Marine Oil Rich in Pro-Resolving Lipid Mediators Accelerates Wound Healing in Diabetic Db/Db Mice through Angiogenesis and Macrophage Polarization. Int. J. Mol. Sci. 2022, 23, 9918. [Google Scholar] [CrossRef]
- Callan, N.; Hanes, D.; Bradley, R. Early Evidence of Efficacy for Orally Administered SPM-Enriched Marine Lipid Fraction on Quality of Life and Pain in a Sample of Adults with Chronic Pain. J. Transl. Med. 2020, 18, 401. [Google Scholar] [CrossRef] [PubMed]
- Ji, R.R. Specialized Pro-Resolving Mediators as Resolution Pharmacology for the Control of Pain and Itch. Annu. Rev. Pharmacol. Toxicol. 2023, 63, 273–293. [Google Scholar] [CrossRef] [PubMed]
- Schaller, M.S.; Chen, M.; Colas, R.A.; Sorrentino, T.A.; Lazar, A.A.; Grenon, S.M.; Dalli, J.; Conte, M.S. Treatment with a Marine Oil Supplement Alters Lipid Mediators and Leukocyte Phenotype in Healthy Patients and Those with Peripheral Artery Disease. J. Am. Heart Assoc. 2020, 9, e016113. [Google Scholar] [CrossRef] [PubMed]
- Al-Shaer, A.E.; Regan, J.; Buddenbaum, N.; Tharwani, S.; Drawdy, C.; Behee, M.; Sergin, S.; Fenton, J.I.; Maddipati, K.R.; Kane, S.; et al. Enriched Marine Oil Supplement Increases Specific Plasma Specialized Pro-Resolving Mediators in Adults with Obesity. J. Nutr. 2022, 152, 1783–1791. [Google Scholar] [CrossRef]
- Regidor, P.A.; de la Rosa, X.; Müller, A.; Mayr, M.; Santos, F.G.; Banzo, R.G.; Rizo, J.M. PCOS: A Chronic Disease That Fails to Produce Adequately Specialized Pro-Resolving Lipid Mediators (SPMs). Biomedicines 2022, 10, 456. [Google Scholar] [CrossRef]
- Irún, P.; Gracia, R.; Piazuelo, E.; Pardo, J.; Morte, E.; Paño, J.R.; Boza, J.; Carrera-Lasfuentes, P.; Higuera, G.A.; Lanas, A. Serum Lipid Mediator Profiles in COVID-19 Patients and Lung Disease Severity: A Pilot Study. Sci. Rep. 2023, 13, 6497. [Google Scholar] [CrossRef]
- FDA; CDER. Bioanalytical Method Validation. Guidance for Industry | FDA. Available online: https://www.fda.gov/regulatory-information/search-fda-guidance-documents/bioanalytical-method-validation-guidance-industry (accessed on 5 November 2023).
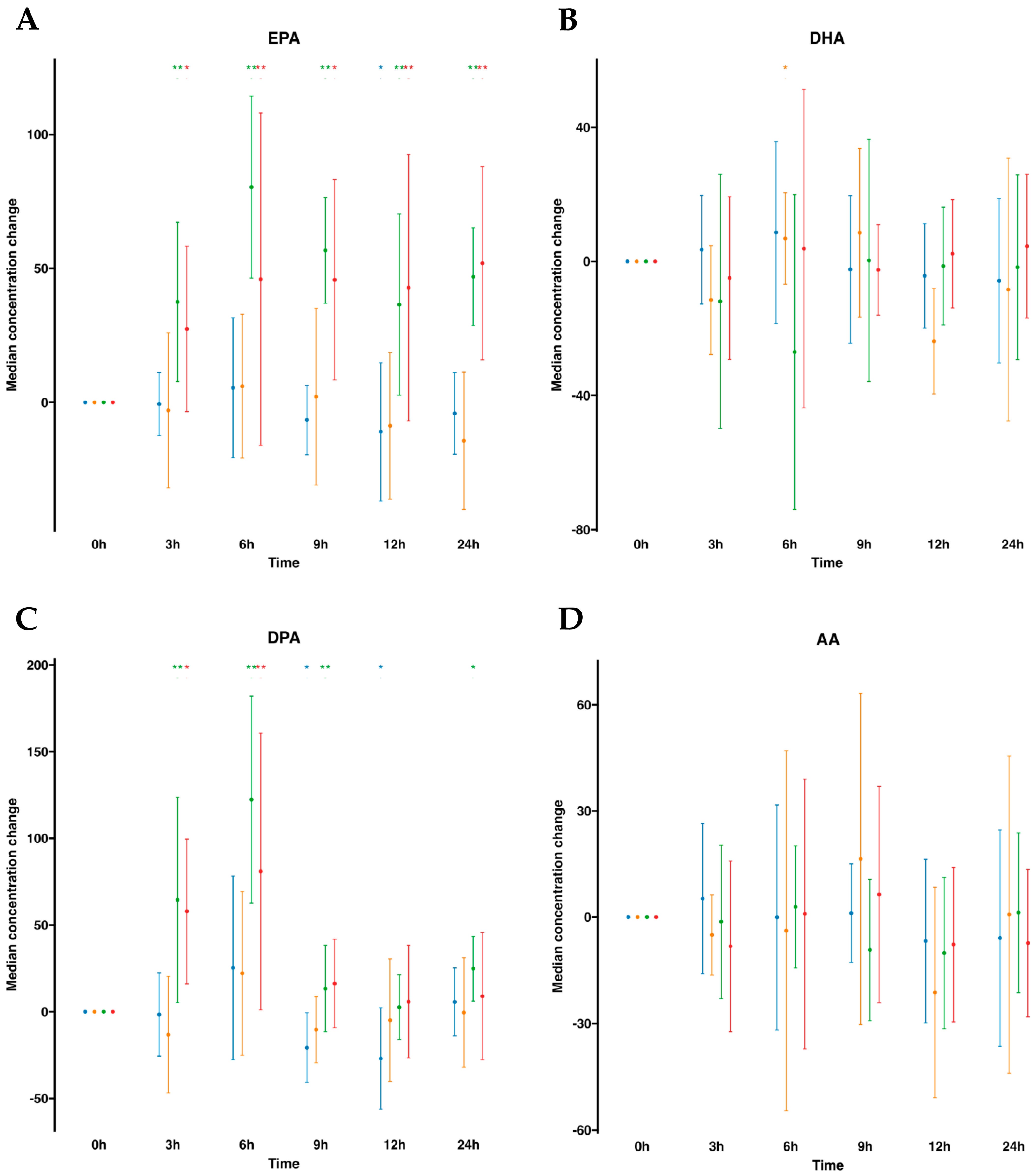
), supplemented plasma (
), control serum (
), and supplemented serum (
). Statistical significance for the time effect was determined by the Wilcoxon signed-rank test (* p < 0.05; ** p < 0.01).
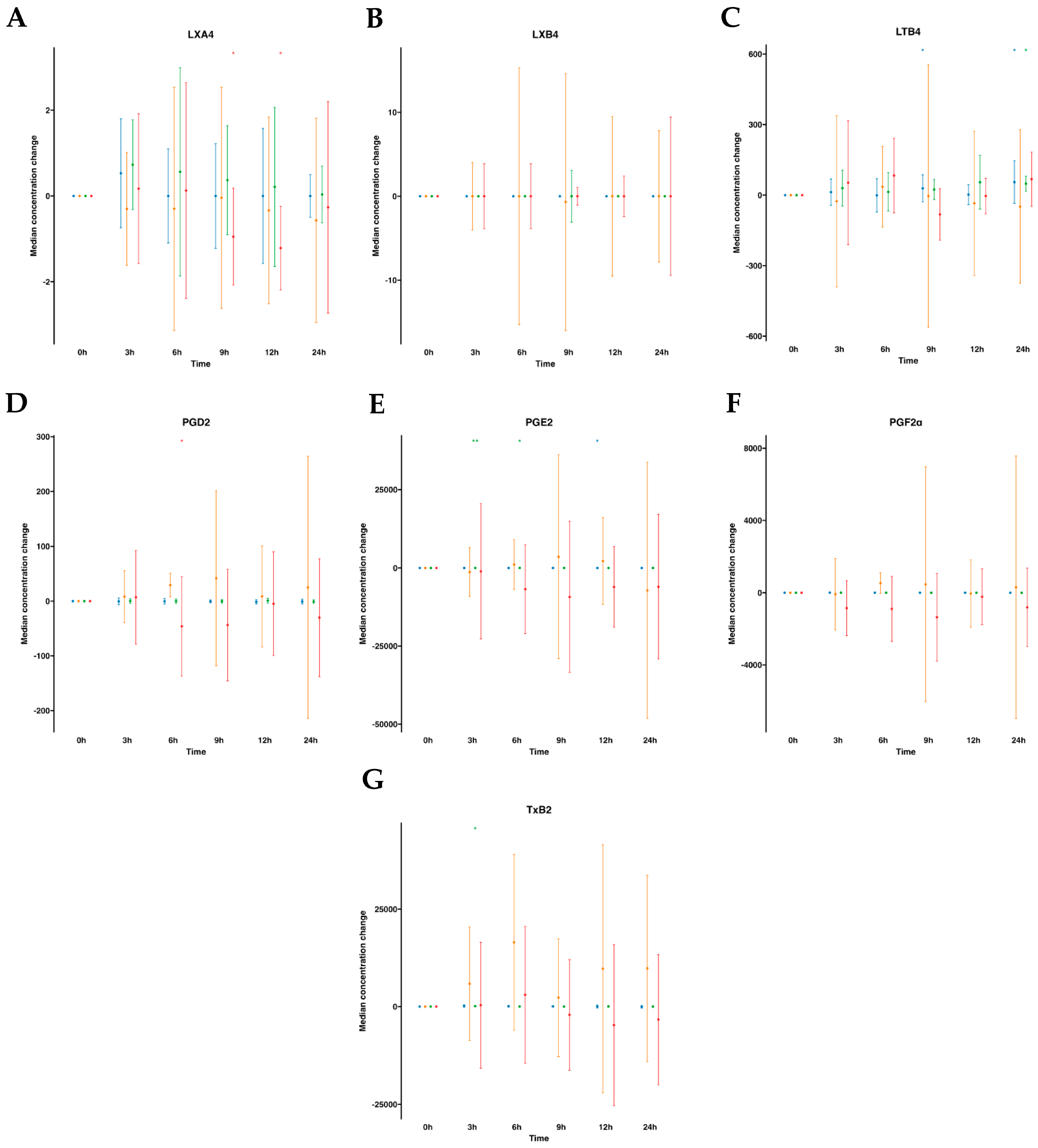
), supplemented plasma (
), control serum (
), and supplemented serum (
). Statistical significance for the time effect was determined by the Wilcoxon signed-rank test (* p < 0.05; ** p < 0.01).
), supplemented plasma (
), control serum (
), and supplemented serum (
). Statistical significance for the time effect was determined by the Wilcoxon signed-rank test (* p < 0.05; ** p < 0.01).
), supplemented plasma (
), control serum (
), and supplemented serum (
). Statistical significance for the time effect was determined by the Wilcoxon signed-rank test (* p < 0.05; ** p < 0.01).
), supplemented plasma (
), control serum (
), and supplemented serum (
). Statistical significance for the time effect was determined by Wilcoxon signed-rank test (* p < 0.05; ** p < 0.01). Results in multipaneled figure refers to 14-HDHA (A), 17-HDHA (B), RvD1 (C), RvD2 (D), RvD3 (E), RvD4 (F), RvD5 (G), MaR1 (H), MaR2 (I), PD1 (J), and PDX (K), respectively.
), supplemented plasma (
), control serum (
), and supplemented serum (
). Statistical significance for the time effect was determined by Wilcoxon signed-rank test (* p < 0.05; ** p < 0.01). Results in multipaneled figure refers to 14-HDHA (A), 17-HDHA (B), RvD1 (C), RvD2 (D), RvD3 (E), RvD4 (F), RvD5 (G), MaR1 (H), MaR2 (I), PD1 (J), and PDX (K), respectively.
), supplemented plasma (
), control serum (
), and supplemented serum (
). Statistical significance for the time effect was determined by the Wilcoxon signed-rank test (* p < 0.05; ** p < 0.01).
), supplemented plasma (
), control serum (
), and supplemented serum (
). Statistical significance for the time effect was determined by the Wilcoxon signed-rank test (* p < 0.05; ** p < 0.01).
, control;
, supplemented). Right panel plots display the lipid mediator variable importance from component 1; colors indicate the group in which the median is maximum for each analyte (
, control;
, supplemented). Different panels represent the results obtained at 3 h (A,B), 6 h (C,D), 9 h (E,F), 12 h (G,H) and 24 h (I,J) post-intervention.
, control;
, supplemented). Right panel plots display the lipid mediator variable importance from component 1; colors indicate the group in which the median is maximum for each analyte (
, control;
, supplemented). Different panels represent the results obtained at 3 h (A,B), 6 h (C,D), 9 h (E,F), 12 h (G,H) and 24 h (I,J) post-intervention.
, control;
, supplemented). Right panel plots display the lipid mediator variable importance from component 1; colors indicate the group in which the median is maximum for each analyte (
, control;
, supplemented). Different panels represent the results obtained at 3 h (A,B), 6 h (C,D), 9 h (E,F), 12 h (G,H) and 24 h (I,J) post-intervention.
, control;
, supplemented). Right panel plots display the lipid mediator variable importance from component 1; colors indicate the group in which the median is maximum for each analyte (
, control;
, supplemented). Different panels represent the results obtained at 3 h (A,B), 6 h (C,D), 9 h (E,F), 12 h (G,H) and 24 h (I,J) post-intervention.
| Parameter | Values | Normal Values | ||
|---|---|---|---|---|
| Participants | 10 | |||
| Gender (male/female) | 5/5 | |||
| Age (years) | 31.81 ± 5.95 | |||
| BMI (kg/m2) | 23.94 ± 3.41 | |||
| Glucose (mg/dL) | 89.60 ± 5.42 | 74–106 | ||
| BUN (g/L) | 0.33 ± 0.04 | Male: 0.19–0.44 Female: 0.15–0.40 | ||
| Creatinine (mg/dL) | 0.83 ± 0.11 | Male: 0.7–1.2 Female: 0.5–0.9 | ||
| Albumin (g/dL) | 4.19 ± 0.30 | 3.5–5.2 | ||
| Total cholesterol (mg/dL) | 188.50 ± 23.70 | National Education Cholesterol Program Adult Treatment Panel III No risk < 200 Moderate risk 200–239 High risk > 240 | ||
| c-HDL (mg/dL) | 60.4 ± 17.00 | National Education Cholesterol Program Adult Treatment Panel III At risk < 40 Negative risk > 60 | ||
| Non-HDL(mg/dL) | 128.1 ± 26.8 | |||
| c-LDL (mg/dL) | 109.78 ± 22.99 | 2019 ESC/EAS Guidelines for the Management of Dyslipidemias (Cardiovascular Risk) | ||
| Risk level | c-LDL | Non-c-HDL | ||
| Very high | <55 | <85 | ||
| High | <70 | <100 | ||
| Moderate | <100 | <130 | ||
| Low | <116 | not apply | ||
| Triglycerides (mg/dL) | 91.60 ± 46.56 | National Education Cholesterol Program Adult Treatment Panel III Normal < 150 Borderline 150–199 High 200–499 Very high > 500 | ||
| AST (U/L) | 21.50 ± 4.09 | Male: 0–37 Female: 0–31 | ||
| ALT (U/L) | 16.20 ± 4.69 | Male: 0–41 Female: 0–33 | ||
| GammaGT (U/L) | 16.20 ± 5.41 | Male: 0–60 Female: 0–40 | ||
| Alkaline phosphatase (U/L) | 57.20 ± 11.33 | Male: 40–130 Female: 35–104 | ||
| Leukocyte count (mil/mm3) | 6.56 ± 1.84 | 4–11 | ||
| Neutrophil count (mil/mm3) | 3.22 ± 0.72 | 1.6–7.0 | ||
| Lymphocyte count (mil/mm3) | 2.54 ± 1.37 | 1.2–1.4 | ||
| Monocyte count (mil/mm3) | 0.47 ± 0.14 | 0.1–0.8 | ||
| Eosinophils count (mil/mm3) | 0.21 ± 0.07 | 0.0–0.4 | ||
| Basophils count (mil/mm3) | 0.04 ± 0.05 | 0.0–0.2 | ||
| Erythrocytes count (mill/mm3) | 4.98 ± 0.32 | Male: 4.5–5.9 Female: 3.5–5.1 | ||
| Hemoglobin (g/dL) | 17.77 ± 1.18 | Male: 13.0–17.4 Female: 12.0–15.3 | ||
| Hematocrit (%) | 43.33 ±3.37 | Male: 41.5–50.4 Female: 36.0–45.0 | ||
| MCV (fl) | 86.91 ± 3.88 | 82–98 | ||
| MCH (pg) | 29.63 ± 1.43 | Male: 27–32 Female: 27–31 | ||
| Sedimentation rate, 1 h (mm) | 7.10 ± 5.13 | 0–15 | ||
| Platelets count (mil/mm3) | 244.30 ± 49.18 | 150–400 | ||
| Prothrombin time (s) | 12.79 ± 0.60 | 9.8–14.6 | ||
| Prothrombin activity (%) | 93.00 ± 7.18 | 80–120 | ||
| INR | 1.05 ± 0.05 | 0.8–1.2 | ||
| Fibrinogen (mg/dL) | 337.20 ± 47.82 | 200–400 | ||
| Cmax | Tmax | AUC | |||||||||||||||||||
|---|---|---|---|---|---|---|---|---|---|---|---|---|---|---|---|---|---|---|---|---|---|
| Control | SPM-Enriched Marine Oil | p-Value | Control | SPM-Enriched Marine Oil | p-Value | Control | SPM-Enriched Marine Oil | p-Value | |||||||||||||
| AM | GM | SE | AM | GM | SE | AM | GM | SE | AM | GM | SE | AM | GM | SE | AM | GM | SE | ||||
| DHA metabolome | |||||||||||||||||||||
| DHA | 17.29 | 0.00 | 5.07 | 17.21 | 0.00 | 5.53 | 1.000 | 9.43 | 7.75 | 2.65 | 9.75 | 8.31 | 2.25 | 0.766 | 227.08 | 0.00 | 79.71 | 158.70 | 0.00 | 57.58 | 0.571 |
| 14-HDHA | 1.25 | 0.00 | 0.87 | 31.51 | 27.53 | 5.02 | 0.000 | 13.00 | 10.69 | 3.61 | 5.40 | 5.22 | 0.40 | 0.021 | 10.67 | 0.00 | 6.47 | 181.70 | 153.53 | 33.73 | 0.000 |
| 17-HDHA | 0.24 | 0.00 | 0.05 | 31.59 | 26.01 | 5.82 | 0.000 | 6.00 | 5.31 | 1.13 | 5.10 | 4.87 | 0.46 | 0.727 | 1.56 | 0.00 | 0.49 | 125.38 | 106.76 | 21.44 | 0.000 |
| RvD1 | 6.75 | 0.00 | 4.54 | 5.08 | 4.61 | 0.75 | 0.038 | 7.50 | 5.58 | 2.54 | 7.20 | 5.83 | 1.96 | 0.888 | 37.61 | 0.000 | 14.53 | 62.89 | 44.94 | 16.43 | 0.602 |
| RvD2 | 5.38 | 0.00 | 2.97 | 5.42 | 0.00 | 1.47 | 0.307 | 9.38 | 7.14 | 2.57 | 6.67 | 6.08 | 0.97 | 0.619 | 40.72 | 0.00 | 13.35 | 48.521 | 0.00 | 14.25 | 0.347 |
| RvD3 | 5.69 | 0.00 | 4.94 | 1.83 | 1.69 | 0.24 | 0.064 | 10.71 | 7.44 | 3.58 | 9.00 | 7.56 | 1.90 | 0.960 | 20.68 | 0.00 | 14.60 | 15.47 | 12.80 | 2.763 | 0.667 |
| RvD4 | 2.51 | 0.00 | 2.51 | 2.44 | 0.00 | 0.88 | 0.113 | 3.00 | 3.00 | NA | 3.60 | 3.45 | 0.60 | 1.000 | 7.52 | 0.00 | 7.52 | 9.80 | 0.00 | 3.73 | 0.779 |
| RvD5 | 13.45 | 0.00 | 8.04 | 95.24 | 0.00 | 35.81 | 0.013 | 6.00 | 5.28 | 1.00 | 4.33 | 4.08 | 0.53 | 0.249 | 65.16 | 0.00 | 21.97 | 407.95 | 0.00 | 129.36 | 0.007 |
| PDX | 11.58 | 4.44 | 7.87 | 36.68 | 0.00 | 11.36 | 0.052 | 11.10 | 7.69 | 2.97 | 4.67 | 4.41 | 0.53 | 0.226 | 56.60 | 32.22 | 23.82 | 172.44 | 0.00 | 46.80 | 0.011 |
| PD1 | 8.23 | 0.00 | 5.51 | 7.09 | 0.00 | 1.35 | 0.112 | 12.33 | 8.82 | 3.14 | 3.67 | 3.50 | 0.44 | 0.028 | 50.63 | 0.00 | 22.45 | 52.04 | 0.00 | 12.71 | 0.832 |
| MaR1 | 18.23 | 0.00 | 6.46 | 41.78 | 0.00 | 16.37 | 0.121 | 8.25 | 6.31 | 2.52 | 7.67 | 6.08 | 2.19 | 0.960 | 142.42 | 0.00 | 44.72 | 403.09 | 0.00 | 195.59 | 0.102 |
| MaR2 | 7.50 | 0.00 | 5.49 | 62.05 | 47.34 | 14.77 | 0.001 | 10.88 | 7.90 | 3.10 | 4.20 | 3.96 | 0.49 | 0.077 | 59.60 | 0.00 | 40.16 | 261.43 | 211.55 | 56.24 | 0.000 |
| EPA metabolome | |||||||||||||||||||||
| EPA | 12.24 | 0.00 | 4.30 | 81.21 | 76.96 | 8.34 | 0.000 | 5.57 | 5.22 | 0.78 | 6.30 | 5.83 | 0.83 | 0.659 | 106.07 | 0.00 | 42.34 | 1182.33 | 1098.88 | 142.98 | 0.000 |
| 18-HEPE | 0.18 | 0.00 | 0.06 | 41.33 | 33.53 | 8.66 | 0.000 | 8.67 | 6.78 | 2.26 | 4.20 | 3.96 | 0.49 | 0.087 | 0.93 | 0.00 | 0.24 | 178.36 | 151.26 | 34.06 | 0.000 |
| RvE1 | 31.66 | 0.00 | 22.02 | 39.44 | 0.00 | 25.17 | 0.485 | 6.00 | 5.20 | 3.00 | 12.75 | 11.17 | 3.95 | 0.348 | 187.84 | 0.00 | 153.12 | 350.11 | 0.00 | 295.95 | 0.409 |
| AA metabolome | |||||||||||||||||||||
| AA | 20.15 | 0.00 | 5.62 | 10.38 | 0.00 | 3.84 | 0.197 | 6.67 | 5.89 | 1.09 | 13.71 | 10.87 | 3.64 | 0.228 | 214.24 | 0.00 | 74.16 | 115.69 | 0.00 | 50.26 | 0.109 |
| LXA4 | 6.48 | 0.00 | 5.41 | 2.03 | 1.71 | 0.40 | 0.241 | 9.38 | 6.00 | 3.38 | 6.00 | 5.08 | 1.18 | 0.922 | 25.12 | 0.00 | 15.76 | 18.42 | 14.24 | 3.76 | 0.619 |
| LXB4 | 8.00 | 0.00 | 5.91 | 3.53 | 0.00 | 1.52 | 1.000 | 10.50 | 7.90 | 4.66 | 6.75 | 6.18 | 1.44 | 0.881 | 34.32 | 0.00 | 19.98 | 25.06 | 0.00 | 12.92 | 0.531 |
| LTB4 | 109.08 | 97.76 | 17.84 | 95.62 | 78.64 | 19.65 | 0.631 | 14.10 | 11.01 | 2.83 | 13.20 | 10.88 | 2.54 | 0.969 | 1083.07 | 986.61 | 155.18 | 1147.52 | 812.18 | 271.20 | 0.511 |
| PGD2 | 11.53 | 0.00 | 7.12 | 10.32 | 0.00 | 7.03 | 0.622 | 7.88 | 6.09 | 2.47 | 9.00 | 6.00 | 3.31 | 0.781 | 45.29 | 0.00 | 19.23 | 56.17 | 0.00 | 28.24 | 0.590 |
| PGE2 | 31.52 | 15.69 | 8.97 | 32.03 | 21.30 | 11.91 | 0.912 | 9.60 | 7.26 | 2.52 | 6.00 | 5.29 | 1.00 | 0.410 | 135.04 | 77.29 | 30.82 | 302.23 | 183.77 | 93.72 | 0.101 |
| PGF2α | 17.35 | 0.00 | 7.86 | 12.43 | 0.00 | 5.94 | 0.791 | 5.63 | 4.70 | 1.32 | 8.25 | 6.00 | 2.65 | 0.523 | 108.11 | 0.00 | 41.47 | 114.30 | 0.00 | 57.91 | 0.980 |
| TXB2 | 384.95 | 280.81 | 107.40 | 166.63 | 132.30 | 27.13 | 0.315 | 6.90 | 5.90 | 1.19 | 8.70 | 6.43 | 2.21 | 0.658 | 2913.55 | 1824.43 | 1031.20 | 1628.87 | 1209.08 | 323.46 | 0.196 |
| DPA metabolome | |||||||||||||||||||||
| DPA | 27.96 | 0.00 | 7.99 | 131.44 | 124.19 | 12.46 | 0.000 | 6.86 | 6.63 | 0.86 | 5.40 | 5.22 | 0.40 | 0.123 | 283.94 | 0.00 | 85.06 | 885.68 | 834.56 | 109.40 | 0.000 |
| Cmax | Tmax | AUC | |||||||||||||||||||
|---|---|---|---|---|---|---|---|---|---|---|---|---|---|---|---|---|---|---|---|---|---|
| Control | SPM-Enriched Marine Oil | p-Value | Control | SPM-Enriched Marine Oil | p-Value | Control | SPM-Enriched Marine Oil | p-Value | |||||||||||||
| AM | GM | SE | AM | GM | SE | AM | GM | SE | AM | GM | SE | AM | GM | SE | AM | GM | SE | ||||
| DHA metabolome | |||||||||||||||||||||
| DHA | 26.41 | 11.39 | 9.83 | 25.29 | 0.00 | 6.23 | 0.631 | 10.20 | 8.34 | 2.38 | 11.00 | 8.94 | 2.60 | 0.799 | 192.35 | 64.20 | 77.99 | 181.63 | 0.00 | 43.62 | 0.742 |
| 14-HDHA | 27.33 | 0.00 | 10.01 | 142.20 | 123.93 | 24.68 | 0.000 | 9.67 | 7.56 | 2.73 | 6.90 | 5.60 | 1.95 | 0.295 | 229.37 | 0.00 | 100.79 | 1019.52 | 800.94 | 196.99 | 0.000 |
| 17-HDHA | 4.31 | 0.00 | 1.73 | 63.80 | 0.00 | 13.35 | 0.002 | 10.50 | 8.19 | 3.00 | 5.33 | 5.14 | 0.44 | 0.127 | 36.33 | 0.00 | 17.10 | 328.22 | 0.00 | 65.23 | 0.000 |
| RvD1 | 1.72 | 0.00 | 0.79 | 2.11 | 0.00 | 0.91 | 0.765 | 9.00 | 6.00 | 5.05 | 6.75 | 6.00 | 1.89 | 0.879 | 6.15 | 0.00 | 2.78 | 27.96 | 0.00 | 13.54 | 0.147 |
| RvD2 | 3.82 | 0.00 | 2.02 | 4.76 | 0.00 | 1.12 | 0.184 | 9.00 | 7.51 | 2.34 | 9.38 | 7.62 | 2.37 | 0.829 | 27.30 | 0.00 | 10.63 | 48.91 | 0.00 | 12.94 | 0.049 |
| RvD3 | 1.38 | 0.00 | 0.56 | 1.45 | 0.00 | 0.57 | 0.781 | 12.00 | 8.49 | 4.03 | 5.40 | 4.55 | 1.75 | 0.289 | 15.67 | 0.00 | 8.58 | 17.28 | 0.00 | 9.49 | 0.572 |
| RvD4 | 0.29 | 0.00 | 0.21 | 4.96 | 0.00 | 2.76 | 0.121 | 6.00 | 5.20 | 3.00 | 4.80 | 3.96 | 1.80 | 0.809 | 0.88 | 0.00 | 0.64 | 17.95 | 0.00 | 9.79 | 0.131 |
| RvD5 | 24.33 | 0.00 | 7.32 | 273.67 | 132.61 | 58.45 | 0.001 | 11.67 | 8.54 | 3.14 | 5.10 | 4.87 | 0.46 | 0.129 | 197.61 | 0.00 | 72.63 | 1524.07 | 665.60 | 332.83 | 0.000 |
| PDX | 37.18 | 0.00 | 15.43 | 98.85 | 85.28 | 16.49 | 0.009 | 15.38 | 12.62 | 3.28 | 7.20 | 6.00 | 1.91 | 0.023 | 519.84 | 0.00 | 327.01 | 797.49 | 610.21 | 169.81 | 0.007 |
| PD1 | 4.64 | 0.00 | 2.16 | 11.68 | 8.64 | 2.74 | 0.031 | 7.50 | 5.31 | 2.66 | 6.60 | 5.22 | 1.99 | 0.848 | 27.62 | 0.00 | 12.42 | 78.03 | 53.33 | 19.43 | 0.015 |
| MaR1 | 59.75 | 28.18 | 32.54 | 66.62 | 0.00 | 35.58 | 0.579 | 7.20 | 6.51 | 1.02 | 6.00 | 5.38 | 1.00 | 0.414 | 501.50 | 203.70 | 320.76 | 754.21 | 0.00 | 506.62 | 0.546 |
| MaR2 | 38.14 | 0.00 | 13.20 | 249.45 | 0.00 | 77.37 | 0.016 | 10.00 | 7.56 | 2.78 | 5.67 | 5.56 | 0.33 | 0.460 | 380.39 | 0.00 | 155.03 | 1187.84 | 0.00 | 343.44 | 0.001 |
| EPA metabolome | |||||||||||||||||||||
| EPA | 17.88 | 0.00 | 4.64 | 93.60 | 59.28 | 23.43 | 0.002 | 9.86 | 8.21 | 2.60 | 8.40 | 7.26 | 1.83 | 0.572 | 143.12 | 0.00 | 40.38 | 1078.94 | 635.09 | 248.02 | 0.000 |
| 18-HEPE | 1.41 | 0.00 | 0.45 | 48.23 | 0.00 | 10.85 | 0.002 | 13.71 | 10.43 | 3.70 | 4.33 | 4.08 | 0.53 | 0.022 | 15.92 | 0.00 | 5.47 | 326.87 | 0.00 | 56.79 | 0.000 |
| RvE1 | 103.61 | 0.00 | 66.11 | 40.76 | 0.00 | 14.82 | 0.532 | 12.60 | 10.45 | 3.34 | 9.43 | 6.00 | 3.79 | 0.393 | 708.14 | 0.00 | 422.16 | 365.62 | 0.00 | 170.34 | 0.296 |
| AA metabolome | |||||||||||||||||||||
| AA | 34.00 | 0.00 | 10.87 | 26.18 | 0.00 | 9.51 | 0.545 | 13.67 | 11.78 | 2.65 | 10.00 | 8.94 | 1.94 | 0.336 | 284.67 | 0.00 | 95.71 | 172.00 | 0.00 | 39.99 | 0.306 |
| LXA4 | 2.55 | 0.00 | 1.08 | 1.48 | 0.00 | 0.38 | 0.702 | 12.00 | 9.07 | 3.34 | 12.86 | 8.92 | 3.97 | 1.000 | 18.48 | 0.00 | 7.07 | 15.12 | 0.00 | 5.31 | 0.157 |
| LXB4 | 6.39 | 0.00 | 4.11 | 10.88 | 0.00 | 5.43 | 0.482 | 11.25 | 8.49 | 4.64 | 13.80 | 10.70 | 4.31 | 0.802 | 41.09 | 0.00 | 27.45 | 70.86 | 0.00 | 30.28 | 0.509 |
| LTB4 | 219.86 | 0.00 | 91.14 | 224.27 | 0.00 | 66.01 | 0.448 | 9.00 | 7.02 | 2.78 | 11.33 | 8.17 | 3.19 | 0.868 | 2271.84 | 0.00 | 1062.66 | 1962.96 | 0.00 | 643.55 | 0.676 |
| PGD2 | 166.23 | 102.59 | 50.86 | 50.67 | 0.00 | 34.54 | 0.014 | 14.70 | 12.65 | 2.59 | 8.57 | 6.36 | 2.89 | 0.099 | 1449.61 | 772.28 | 478.45 | 523.32 | 0.00 | 336.81 | 0.018 |
| PGE2 | 21848.97 | 0.00 | 6352.51 | 9748.40 | 0.00 | 6561.40 | 0.072 | 13.88 | 11.17 | 3.10 | 7.00 | 4.76 | 3.44 | 0.071 | 237403.15 | 0.00 | 85313.21 | 78700.96 | 0.00 | 63805.26 | 0.072 |
| PGF2α | 3559.09 | 0.00 | 1187.05 | 965.85 | 0.00 | 555.45 | 0.052 | 15.33 | 13.13 | 2.80 | 6.50 | 5.72 | 1.43 | 0.040 | 36333.89 | 0.00 | 13191.80 | 10065.52 | 0.00 | 7378.03 | 0.021 |
| TXB2 | 24746.36 | 0.00 | 5917.52 | 29064.68 | 0.00 | 16808.12 | 0.307 | 12.67 | 9.96 | 2.95 | 13.50 | 10.24 | 3.26 | 0.882 | 321567.88 | 0.00 | 97455.88 | 250355.73 | 0.00 | 133126.57 | 0.577 |
| DPA metabolome | |||||||||||||||||||||
| DPA | 28.80 | 0.00 | 7.54 | 111.40 | 0.00 | 22.95 | 0.003 | 9.00 | 7.31 | 2.70 | 5.00 | 4.76 | 0.50 | 0.158 | 233.06 | 0.00 | 78.44 | 724.19 | 0.00 | 165.43 | 0.000 |
| kcal | Fat (g) | Protein (g) | Carbohydrates (g) | |
|---|---|---|---|---|
| Breakfast | ||||
| Skim milk, 1 cup | 70.0 | 0.6 | 6.4 | 9.6 |
| Bread, 2 slices with tomato | 158.0 | 0.8 | 3.9 | 13.3 |
| Apple, 1 medium | 108.2 | 0.7 | 0.6 | 22.8 |
| Lunch | ||||
| Lentils with vegetables | 365.0 | 8.3 | 21.0 | 43.8 |
| Grilled chicken | 217.5 | 9.3 | 33.3 | 0.0 |
| Pear, 1 medium | 84.0 | 0.2 | 0.73 | 3.7 |
| Snack | ||||
| Skim milk, 1 cup | 70.0 | 0.6 | 6.4 | 9.6 |
| Biscuits, 8 units | 248.0 | 10.4 | 3.2 | 35.2 |
| Apple, 1 medium | 108.2 | 0.7 | 0.6 | 22.8 |
| Dinner | ||||
| Salad | 131.7 | 10.8 | 2.3 | 4.9 |
| Grilled pork loin | 466.5 | 39.9 | 24.4 | 1.5 |
| Roasted green pepper | 35.4 | 1.4 | 1.1 | 2.9 |
| Low-fat yogurt | 50.0 | 0.5 | 4.8 | 5.6 |
| Analyte | LLOQ (pg/mL) |
|---|---|
| Docosahexaenoic acid, DHA | 0.02 |
| Docosapentaenoic acid, DPA | 0.15 |
| Eicosapentaenoic acid, EPA | 0.01 |
| Arachidonic acid, AA | 0.02 |
| 14-hydroxydocosahexaenoic acid, 14-HDHA | 0.08 |
| 17-hydroxydocosahexaenoic acid, 17-HDHA | 0.33 |
| 18-hydroxyeicosapentaenoic acid, 18-HEPE | 0.24 |
| Leucotriene B4, LTB4 | 0.25 |
| Lipoxin A4, LXA4 | 0.28 |
| Lipoxin B4, LXB4 | 0.25 |
| Maresin 1, MaR1 | 0.74 |
| Maresin 2, MaR2 | 0.18 |
| Prostaglandin D2, PGD2 | 0.17 |
| Prostaglandin E2, PGE2 | 0.30 |
| Prostaglandin F2α, PGF2α | 0.43 |
| Protectin D1, PD1 | 0.15 |
| Protectin DX, PDX | 0.30 |
| Resolvin E1, RvE1 | 0.21 |
| Resolvin D1, RvD1 | 0.64 |
| Resolvin D2, RvD2 | 0.97 |
| Resolvin D3, RvD3 | 0.30 |
| Resolvin D4, RvD4 | 0.42 |
| Resolvin D5, RvD5 | 0.25 |
| Thromboxane B2, TXB2 | 0.29 |
Disclaimer/Publisher’s Note: The statements, opinions and data contained in all publications are solely those of the individual author(s) and contributor(s) and not of MDPI and/or the editor(s). MDPI and/or the editor(s) disclaim responsibility for any injury to people or property resulting from any ideas, methods, instructions or products referred to in the content. |
© 2023 by the authors. Licensee MDPI, Basel, Switzerland. This article is an open access article distributed under the terms and conditions of the Creative Commons Attribution (CC BY) license (https://creativecommons.org/licenses/by/4.0/).
Share and Cite
Irún, P.; Carrera-Lasfuentes, P.; Sánchez-Luengo, M.; Belio, Ú.; Domper-Arnal, M.J.; Higuera, G.A.; Hawkins, M.; de la Rosa, X.; Lanas, A. Pharmacokinetics and Changes in Lipid Mediator Profiling after Consumption of Specialized Pro-Resolving Lipid-Mediator-Enriched Marine Oil in Healthy Subjects. Int. J. Mol. Sci. 2023, 24, 16143. https://doi.org/10.3390/ijms242216143
Irún P, Carrera-Lasfuentes P, Sánchez-Luengo M, Belio Ú, Domper-Arnal MJ, Higuera GA, Hawkins M, de la Rosa X, Lanas A. Pharmacokinetics and Changes in Lipid Mediator Profiling after Consumption of Specialized Pro-Resolving Lipid-Mediator-Enriched Marine Oil in Healthy Subjects. International Journal of Molecular Sciences. 2023; 24(22):16143. https://doi.org/10.3390/ijms242216143
Chicago/Turabian StyleIrún, Pilar, Patricia Carrera-Lasfuentes, Marta Sánchez-Luengo, Úrsula Belio, María José Domper-Arnal, Gustavo A. Higuera, Malena Hawkins, Xavier de la Rosa, and Angel Lanas. 2023. "Pharmacokinetics and Changes in Lipid Mediator Profiling after Consumption of Specialized Pro-Resolving Lipid-Mediator-Enriched Marine Oil in Healthy Subjects" International Journal of Molecular Sciences 24, no. 22: 16143. https://doi.org/10.3390/ijms242216143
APA StyleIrún, P., Carrera-Lasfuentes, P., Sánchez-Luengo, M., Belio, Ú., Domper-Arnal, M. J., Higuera, G. A., Hawkins, M., de la Rosa, X., & Lanas, A. (2023). Pharmacokinetics and Changes in Lipid Mediator Profiling after Consumption of Specialized Pro-Resolving Lipid-Mediator-Enriched Marine Oil in Healthy Subjects. International Journal of Molecular Sciences, 24(22), 16143. https://doi.org/10.3390/ijms242216143

