Electrochemistry of Flavonoids: A Comprehensive Review
Abstract
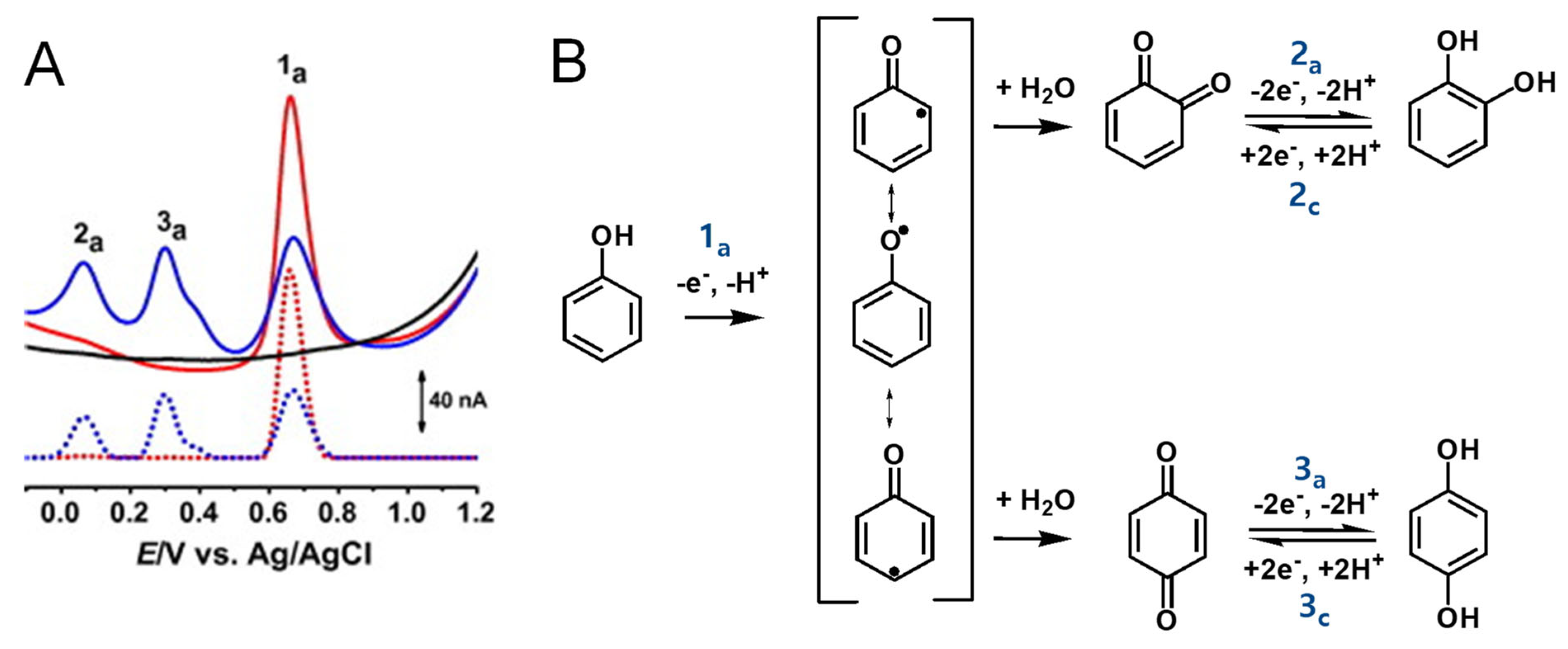
:1. Introduction
2. Electrochemical Behavior of Flavonoids
2.1. Electrochemical Behavior of Flavones, Flavonols, Flavanones, Flavanonols and Isoflavonoids
2.2. Electrochemical Behavior of Flavanols
2.3. Electrochemical Behavior of Anthocyanins and Anthocyanidins
2.4. Comparison of Flavonoid Electrochemical Behavior and Antioxidant Activity
3. Electroanalytical Determination of Flavonoids in Natural Samples
3.1. Flavonoid Determination in Plant-Based Samples
3.1.1. Flavonoids Determination in Food
3.1.2. Flavonoids Determination in Medicinal Herbs
3.2. Flavonoids Determination in Nutraceuticals
3.3. Flavonoids Determination in Human Biological Fluids
4. Conclusions
Funding
Informed Consent Statement
Acknowledgments
Conflicts of Interest
References
- Panche, A.N.; Diwan, A.D.; Chandra, S.R. Flavonoids: An overview. J. Nutr. Sci. 2016, 5, e47. [Google Scholar] [CrossRef] [PubMed]
- Chiorcea-Paquim, A.; Enache, T.A.; De Souza Gil, E.; Oliveira-Brett, A.M. Natural phenolic antioxidants electrochemistry: Towards a new food science methodology. Compr. Rev. Food Sci. Food Saf. 2020, 19, 1680–1726. [Google Scholar] [CrossRef] [PubMed]
- Patil, V.M.; Masand, N. Anticancer Potential of Flavonoids: Chemistry, Biological Activities, and Future Perspectives. In Studies in Natural Products Chemistry; Elsevier: Amsterdam, The Netherlands, 2018; Volume 59, pp. 401–430. ISBN 9780444641793. [Google Scholar]
- de Macêdo, I.Y.L.; Garcia, L.F.; Neto, J.R.O.; Leite, K.C.d.S.; Ferreira, V.S.; Ghedini, P.C.; de Souza Gil, E. Electroanalytical tools for antioxidant evaluation of red fruits dry extracts. Food Chem. 2017, 217, 326–331. [Google Scholar] [CrossRef] [PubMed]
- Sariga, A.G.; Rajeev, R.; Thadathil, D.A.; Varghese, A. A Comprehensive Review on the Electrochemical Sensing of Flavonoids. Crit. Rev. Anal. Chem. 2022, 53, 1133–1173. [Google Scholar] [CrossRef]
- Natale, A.; Nardiello, D.; Palermo, C.; Muscarella, M.; Quinto, M.; Centonze, D. Development of an analytical method for the determination of polyphenolic compounds in vegetable origin samples by liquid chromatography and pulsed amperometric detection at a glassy carbon electrode. J. Chromatogr. A 2015, 1420, 66–73. [Google Scholar] [CrossRef] [PubMed]
- Nardiello, D.; Palermo, C.; Natale, A.; Quinto, M.; Centonze, D. Pulsed amperometric detection at glassy carbon electrodes: A new waveform for sensitive and reproducible determination of electroactive compounds. Anal. Chim. Acta 2015, 894, 1–6. [Google Scholar] [CrossRef]
- Hu, J.; Zhang, Z. Application of Electrochemical Sensors Based on Carbon Nanomaterials for Detection of Flavonoids. Nanomaterials 2020, 10, 2020. [Google Scholar] [CrossRef]
- Yang, Y.; Shen, Y.; Wang, Y.; Yang, F.; Pei, J. Recent Developments in Electrochemical Sensing Platforms for the Detection of Plant Flavonoids. Int. J. Electrochem. Sci. 2022, 17, 220523. [Google Scholar] [CrossRef]
- Yang, Y.; Shen, X. Preparation and Application of Molecularly Imprinted Polymers for Flavonoids: Review and Perspective. Molecules 2022, 27, 7355. [Google Scholar] [CrossRef] [PubMed]
- Gil, E.S.; Couto, R.O. Flavonoid electrochemistry: A review on the electroanalytical applications. Rev. Bras. Farmacogn. 2013, 23, 542–558. [Google Scholar] [CrossRef]
- Naróg, D.; Sobkowiak, A. Electrochemical Investigation of some Flavonoids in Aprotic Media. Electroanalysis 2022, 34, 1363–1371. [Google Scholar] [CrossRef]
- Enache, T.A.; Oliveira-Brett, A.M. Phenol and para-substituted phenols electrochemical oxidation pathways. J. Electroanal. Chem. 2011, 655, 9–16. [Google Scholar] [CrossRef]
- Brett, C.M.A.; Oliveira-Brett, A.M. Electrochemistry: Principles, Methods, and Applications; Oxford University Press: Oxford, UK, 1993; ISBN 0198553889. [Google Scholar]
- Brett, C.M.A.; Oliveira-Brett, A.M. Electroanalysis; Oxford Universisty Press: Oxford, UK, 1998; ISBN 0198548168. [Google Scholar]
- Bartlett, P.N.; Tebbutt, P.; Tyrrell, C.H. Electrochemical immobilization of enzymes. 3. Immobilization of glucose oxidase in thin films of electrochemically polymerized phenols. Anal. Chem. 1992, 64, 138–142. [Google Scholar] [CrossRef]
- Bruno, F.; Pham, M.; Dubois, J. Polaromicrotribometric study of polyphenylene oxide film formation on metal electrodes by electrolysis of disubstituted phenols. Electrochim. Acta 1977, 22, 451–457. [Google Scholar] [CrossRef]
- de Carvalho, R.M.; Kubota, L.T.; Rath, S. Influence of EDTA on the electrochemical behavior of phenols. J. Electroanal. Chem. 2003, 548, 19–26. [Google Scholar] [CrossRef]
- Fogliatto, D.K.; Barbosa, A.M.J.; Ferreira, V.S. Voltammetric determination of the phytoestrogen genistein in soy flours and soy based supplements using cationic surfactant cetyltrimetylammonium bromide. Colloids Surf. B Biointerfaces 2010, 78, 243–249. [Google Scholar] [CrossRef] [PubMed]
- Zhang, Y.; Sun, R.; Luo, B.; Wang, L. Boron-doped graphene as high-performance electrocatalyst for the simultaneously electrochemical determination of hydroquinone and catechol. Electrochim. Acta 2015, 156, 228–234. [Google Scholar] [CrossRef]
- Jovanovic, S.V.; Steenken, S.; Hara, Y.; Simic, M.G. Reduction potentials of flavonoid and model phenoxyl radicals. Which ring in flavonoids is responsible for antioxidant activity? J. Chem. Soc. Perkin Trans. 2 1996, 2497–2504. [Google Scholar] [CrossRef]
- Jørgensen, L.V.; Madsen, H.L.; Thomsen, M.K.; Dragsted, L.O.; Skibsted, L.H. Regeneration of phenolic antioxidants from phenoxyl radicals: An ESR and electrochemical study of antioxidant hierarchy. Free. Radic. Res. 1999, 30, 207–220. [Google Scholar] [CrossRef] [PubMed]
- Abdel-Hamid, R.; Newair, E.F. Electrochemical behavior of antioxidants: I. Mechanistic study on electrochemical oxidation of gallic acid in aqueous solutions at glassy-carbon electrode. J. Electroanal. Chem. 2011, 657, 107–112. [Google Scholar] [CrossRef]
- Masek, A.; Zaborski, M.; Chrzescijanska, E. Electrooxidation of flavonoids at platinum electrode studied by cyclic voltammetry. Food Chem. 2011, 127, 699–704. [Google Scholar] [CrossRef]
- Popa, O.M.; Diculescu, V.C. On the adsorption and electrochemical oxidation of flavones apigenin and acacetin at a glassy carbon electrode. J. Electroanal. Chem. 2013, 708, 108–115. [Google Scholar] [CrossRef]
- Popa, O.M.; Diculescu, V.C. Electrochemical Behaviour of Isoflavones Genistein and Biochanin A at a Glassy Carbon Electrode. Electroanalysis 2013, 25, 1201–1208. [Google Scholar] [CrossRef]
- Wang, Y.; Wei, Z.; Zhang, J.; Wang, X.; Li, X. Electrochemical Determination of Apigenin as An Anti-Gastric Cancer Drug in Lobelia chinensis Using Modified Screen-Printed Electrode. Int. J. Electrochem. Sci. 2017, 12, 2003–2012. [Google Scholar] [CrossRef]
- Zhao, D.; Zhang, X.; Feng, L.; Qi, Q.; Wang, S. Sensitive electrochemical determination of luteolin in peanut hulls using multi-walled carbon nanotubes modified electrode. Food Chem. 2011, 127, 694–698. [Google Scholar] [CrossRef] [PubMed]
- Liu, A.; Zhang, S.; Huang, L.; Cao, Y.; Yao, H.; Chen, W.; Lin, X. Electrochemical Oxidation of Luteolin at a Glassy Carbon Electrode and Its Application in Pharmaceutical Analysis. Chem. Pharm. Bull. 2008, 56, 745–748. [Google Scholar] [CrossRef]
- Ramešová, Š.; Sokolová, R.; Tarábek, J.; Degano, I. The oxidation of luteolin, the natural flavonoid dye. Electrochim. Acta 2013, 110, 646–654. [Google Scholar] [CrossRef]
- Peng, Y.; Liu, F.; Ye, J. Determination of Phenolic Acids and Flavones in Lonicera japonica Thumb. by Capillary Electrophoresis with Electrochemical Detection. Electroanalysis 2005, 17, 356–362. [Google Scholar] [CrossRef]
- de Souza Gil, E.; Enache, A.T.; de Oliveira-Brett, A.M. Anodic Behaviour of Flavonoids Orientin, Eriodictyol and Robinin at a Glassy Carbon Electrode. Electroanalysis 2012, 24, 1576–1583. [Google Scholar] [CrossRef]
- El-Shahawi, M.S.; Bashammakh, A.S.; El-Mogy, T. Determination of Trace Levels of Diosmin in a Pharmaceutical Preparation by Adsorptive Stripping Voltammetry at a Glassy Carbon Electrode. Anal. Sci. 2006, 22, 1351–1354. [Google Scholar] [CrossRef] [PubMed]
- Diculescu, V.C.; Satana, H.E.; Gil, E.d.S.; Brett, A.M.O. Methoxylation and Glycosylation Effect on the Redox Mechanism of Citroflavones. Electroanalysis 2012, 24, 1019–1026. [Google Scholar] [CrossRef]
- Janeiro, P.; Corduneanu, O.; Brett, A.M.O. Chrysin and (±)-Taxifolin Electrochemical Oxidation Mechanisms. Electroanalysis 2005, 17, 1059–1064. [Google Scholar] [CrossRef]
- Mülazımoğlu, A.D.; Mülazımoğlu, I.E. Electrochemical Behaviors of 2-Amino-3-Hydroxypyridine onto the Glassy Carbon Sensor Electrode: Simultaneous and Independent Determinations of Quercetin, Galangin, 3-Hydroxyflavone, and Chrysin. Food Anal. Methods 2012, 6, 845–853. [Google Scholar] [CrossRef]
- Zhang, D.; Chu, L.; Liu, Y.; Wang, A.; Ji, B.; Wu, W.; Zhou, F.; Wei, Y.; Cheng, Q.; Cai, S.; et al. Analysis of the Antioxidant Capacities of Flavonoids under Different Spectrophotometric Assays Using Cyclic Voltammetry and Density Functional Theory. J. Agric. Food Chem. 2011, 59, 10277–10285. [Google Scholar] [CrossRef] [PubMed]
- Volikakis, G. Determination of rutin and other flavonoids by flow-injection/adsorptive stripping voltammetry using nujol-graphite and diphenylether-graphite paste electrodes. Talanta 2000, 51, 775–785. [Google Scholar] [CrossRef]
- Pękal, A.; Dróżdż, P.; Biesaga, M.; Pyrzynska, K. Polyphenolic content and comparative antioxidant capacity of flavoured black teas. Int. J. Food Sci. Nutr. 2011, 63, 742–748. [Google Scholar] [CrossRef]
- Uliana, C.V.; Garbellini, G.S.; Yamanaka, H. Electrochemical investigations on the capacity of flavonoids to protect DNA against damage caused by textile disperse dyes. Sens. Actuators B Chem. 2014, 192, 188–195. [Google Scholar] [CrossRef]
- Brett, A.M.O.; Ghica, M.-E. Electrochemical Oxidation of Quercetin. Electroanalysis 2003, 15, 1745–1750. [Google Scholar] [CrossRef]
- Sokolová, R.; Degano, I.; Ramešová, Š.; Bulíčková, J.; Hromadová, M.; Gál, M.; Fiedler, J.; Valášek, M. The oxidation mechanism of the antioxidant quercetin in nonaqueous media. Electrochim. Acta 2011, 56, 7421–7427. [Google Scholar] [CrossRef]
- Dueñas, M.; González-Manzano, S.; González-Paramás, A.; Santos-Buelga, C. Antioxidant evaluation of O-methylated metabolites of catechin, epicatechin and quercetin. J. Pharm. Biomed. Anal. 2010, 51, 443–449. [Google Scholar] [CrossRef] [PubMed]
- Kummer, S.; Ruth, W.; Kühn, O.; Kragl, U. Comparison of Electrochemical Oxidation of Flavonols and Calculated Proton Affinity and Electron Transfer Enthalpy in Water. Electroanalysis 2014, 26, 910–918. [Google Scholar] [CrossRef]
- Blasco, A.J.; González, M.C.; Escarpa, A. Electrochemical approach for discriminating and measuring predominant flavonoids and phenolic acids using differential pulse voltammetry: Towards an electrochemical index of natural antioxidants. Anal. Chim. Acta 2004, 511, 71–81. [Google Scholar] [CrossRef]
- Ghica, M.; Brett, A.M.O. Electrochemical Oxidation of Rutin. Electroanalysis 2005, 17, 313–318. [Google Scholar] [CrossRef]
- Magarelli, G.; Lima, L.H.C.; da Silva, J.G.; SouzaDe, J.R.; de Castro, C.S.P. Rutin and total isoflavone determination in soybean at different growth stages by using voltammetric methods. Microchem. J. 2014, 117, 149–155. [Google Scholar] [CrossRef]
- Adam, V.; Mikelova, R.; Hubalek, J.; Hanustiak, P.; Beklova, M.; Hodek, P.; Horna, A.; Trnkova, L.; Stiborova, M.; Zeman, L.; et al. Utilizing of Square Wave Voltammetry to Detect Flavonoids in the Presence of Human Urine. Sensors 2007, 7, 2402–2418. [Google Scholar] [CrossRef]
- Brondani, D.; Vieira, I.C.; Piovezan, C.; da Silva, J.M.R.; Neves, A.; Dupont, J.; Scheeren, C.W. Sensor for fisetin based on gold nanoparticles in ionic liquid and binuclear nickel complex immobilized in silica. Analyst 2010, 135, 1015–1022. [Google Scholar] [CrossRef] [PubMed]
- Marković, Z.S.; Mentus, S.V.; Marković, J.M.D. Electrochemical and Density Functional Theory Study on the Reactivity of Fisetin and Its Radicals: Implications on in Vitro Antioxidant Activity. J. Phys. Chem. A 2009, 113, 14170–14179. [Google Scholar] [CrossRef]
- Liu, A.-L.; Zhang, S.-B.; Chen, W.; Huang, L.-Y.; Lin, X.-H.; Xia, X.-H. Study of the electrochemical behavior of isorhamnetin on a glassy carbon electrode and its application. Talanta 2008, 77, 314–318. [Google Scholar] [CrossRef]
- Janeiro, P.; Brett, A.M.O. Solid State Electrochemical Oxidation Mechanisms of Morin in Aqueous Media. Electroanalysis 2005, 17, 733–738. [Google Scholar] [CrossRef]
- Xiao, P.; Zhou, Q.; Xiao, F.; Zhao, F.; Zeng, B. Sensitive voltammetric determination of morin on a multi-walled carbon nano-tubes-paraffin oil paste electrode. Int. J. Electrochem. Sci. 2006, 1, 228–237. [Google Scholar] [CrossRef]
- Masek, A.; Chrzescijanska, E.; Zaborski, M. Electrooxidation of morin hydrate at a Pt electrode studied by cyclic voltammetry. Food Chem. 2014, 148, 18–23. [Google Scholar] [CrossRef] [PubMed]
- He, J.-B.; Yuan, S.-J.; Du, J.-Q.; Hu, X.-R.; Wang, Y. Voltammetric and spectral characterization of two flavonols for assay-dependent antioxidant capacity. Bioelectrochemistry 2009, 75, 110–116. [Google Scholar] [CrossRef] [PubMed]
- Volikakis, G.J.; Efstathiou, C.E. Fast screening of total flavonols in wines, tea-infusions and tomato juice by flow injection/adsorptive stripping voltammetry. Anal. Chim. Acta 2005, 551, 124–131. [Google Scholar] [CrossRef]
- El-Hady, D.; El-Maali, N. Selective square wave voltammetric determination of (+)-catechin in commercial tea samples using beta-cyclodextrin modified carbon paste electrode. Microchim. Acta 2007, 161, 225–231. [Google Scholar] [CrossRef]
- Maoela, M.S.; Arotiba, O.A.; Baker, P.G.; Mabusela, W.T.; Jahed, N.; Songa, E.A.; Iwuoha, E.I. Electroanalytical Determination of Catechin Flavonoid in Ethyl Acetate Extracts of Medicinal Plants. Int. J. Electrochem. Sci. 2009, 4, 1497–1510. [Google Scholar] [CrossRef]
- Janeiro, P.; Brett, A.M.O. Catechin electrochemical oxidation mechanisms. Anal. Chim. Acta 2004, 518, 109–115. [Google Scholar] [CrossRef]
- Novak, I.; Šeruga, M.; Komorsky-Lovrić, Š. Square-wave and cyclic voltammetry of epicatechin gallate on glassy carbon electrode. J. Electroanal. Chem. 2009, 631, 71–75. [Google Scholar] [CrossRef]
- Novak, I.; Šeruga, M.; Komorsky-Lovrić, S. Electrochemical Characterization of Epigallocatechin Gallate Using Square-Wave Voltammetry. Electroanalysis 2009, 21, 1019–1025. [Google Scholar] [CrossRef]
- Janeiro, P.; Oliveira Brett, A.M. Redox Behavior of Anthocyanins Present in Vitis vinifera L. Electroanalysis 2007, 19, 1779–1786. [Google Scholar] [CrossRef]
- Fu, L.; Liu, Z.; Huang, Y.; Lai, G.; Zhang, H.; Su, W.; Yu, J.; Wang, A.; Lin, C.-T.; Yu, A. Square wave voltammetric quantitative determination of flavonoid luteolin in peanut hulls and Perilla based on Au NPs loaded boron nitride nanosheets. J. Electroanal. Chem. 2018, 817, 128–133. [Google Scholar] [CrossRef]
- Yiğit, A.; Yardım, Y.; Şentürk, Z. Square-Wave Adsorptive Stripping Voltammetric Determination of Hesperidin Using a Boron-Doped Diamond Electrode. J. Anal. Chem. 2020, 75, 653–661. [Google Scholar] [CrossRef]
- Abdullah, A.A.; Yardım, Y.; Şentürk, Z. The performance of cathodically pretreated boron-doped diamond electrode in cationic surfactant media for enhancing the adsorptive stripping voltammetric determination of catechol-containing flavonoid quercetin in apple juice. Talanta 2018, 187, 156–164. [Google Scholar] [CrossRef] [PubMed]
- Dar, R.A.; Naikoo, G.A.; Hassan, I.U.; Shaikh, A.M. Electrochemical behavior of kaempferol and its determination in presence of quercetin employing multi-walled carbon nanotube modified carbon paste electrode. Anal. Chem. Res. 2016, 7, 1–8. [Google Scholar] [CrossRef]
- Liang, Z.; Zhai, H.; Chen, Z.; Wang, S.; Wang, H.; Wang, S. A sensitive electrochemical sensor for flavonoids based on a multi-walled carbon paste electrode modified by cetyltrimethyl ammonium bromide-carboxylic multi-walled carbon nanotubes. Sens. Actuators B Chem. 2017, 244, 897–906. [Google Scholar] [CrossRef]
- Ganeshpurkar, A.; Saluja, A.K. The Pharmacological Potential of Rutin. Saudi Pharm. J. 2016, 25, 149–164. [Google Scholar] [CrossRef] [PubMed]
- Kocábová, J.; Fiedler, J.; Degano, I.; Sokolová, R. Oxidation mechanism of flavanone taxifolin. Electrochemical and spectroelectrochemical investigation. Electrochim. Acta 2016, 187, 358–363. [Google Scholar] [CrossRef]
- Fernandes, I.P.G.; Oliveira, S.C.B.; Ghalkhani, M.; Shahrokhian, S.; Oliveira-Brett, A.M. Electrochemical Oxidation Mechanisms of the Antioxidants Daidzein and 7-Hydroxy-4-chromone. Electroanalysis 2012, 24, 618–626. [Google Scholar] [CrossRef]
- Chen, G.; Zhang, J.; Ye, J. Determination of puerarin, daidzein and rutin in Pueraria lobata (Wild.) Ohwi by capillary electrophoresis with electrochemical detection. J. Chromatogr. A 2001, 923, 255–262. [Google Scholar] [CrossRef] [PubMed]
- Issaad, F.Z.; Fernandes, I.P.G.; Enache, T.A.; Mouats, C.; Rodrigues, I.A.; Oliveira-Brett, A.M. Flavonoids in Selected Mediterranean Fruits: Extraction, Electrochemical Detection and Total Antioxidant Capacity Evaluation. Electroanalysis 2016, 29, 358–366. [Google Scholar] [CrossRef]
- Lima, A.A.; Sussuchi, E.M.; Giovani, W.F. Electrochemical and antioxidant properties of anthocyanins and anthocyanidins. Croat. Chem. Acta 2007, 80, 29–34. [Google Scholar]
- Amorini, A.M.; Fazzina, G.; Lazzarino, G.; Tavazzi, B.; Di Pierro, D.; Santucci, R.; Sinibaldi, F.; Galvano, F.; Galvano, G. Activity and mechanism of the antioxidant properties of cyanidin-3-O-β-glucopyranoside. Free. Radic. Res. 2001, 35, 953–966. [Google Scholar] [CrossRef]
- Rice-Evans, C.A.; Miller, N.J.; Paganga, G. Structure-antioxidant activity relationships of flavonoids and phenolic acids. Free Radic. Biol. Med. 1996, 20, 933–956. [Google Scholar] [CrossRef]
- Miličević, A. The relationship between antioxidant activity, first electrochemical oxidation potential, and spin population of flavonoid radicals. Arch. Ind. Hyg. Toxicol. 2019, 70, 134–139. [Google Scholar] [CrossRef] [PubMed]
- Jadreško, D.; Jadreško, D.; Miličević, A.; Miličević, A.; Jovanović, I.N.; Jovanović, I.N. Reactivity of flavonoids toward superoxide radical: An electrochemical approach. Electrochim. Acta 2022, 421. [Google Scholar] [CrossRef]
- Ziyatdinova, G.; Kalmykova, A. Electrochemical Characterization of the Antioxidant Properties of Medicinal Plants and Products: A Review. Molecules 2023, 28, 2308. [Google Scholar] [CrossRef] [PubMed]
- Nijveldt, R.J.; van Nood, E.; van Hoorn, D.E.C.; Boelens, P.G.; van Norren, K.; van Leeuwen, P.A.M. Flavonoids: A review of probable mechanisms of action and potential applications. Am. J. Clin. Nutr. 2001, 74, 418–425. [Google Scholar] [CrossRef]
- Lee, M.W.; Lee, Y.A.; Park, H.M.; Toh, S.H.; Lee, E.J.; Jang, H.D.; Kim, Y.H. Antioxidative phenolic compounds from the roots of Rhodiola sachalinensis A. Bor. Arch. Pharmacal Res. 2000, 23, 455–458. [Google Scholar] [CrossRef]
- Yang, B.; Kotani, A.; Arai, K.; Kusu, F. Estimation of the Antioxidant Activities of Flavonoids from Their Oxidation Potentials. Anal. Sci. 2001, 17, 599–604. [Google Scholar] [CrossRef] [PubMed]
- Yakovleva, K.E.; Kurzeev, S.A.; Stepanova, E.V.; Fedorova, T.V.; Kuznetsov, B.A.; Koroleva, O.V. Characterization of plant phenolic compounds by cyclic voltammetry. Appl. Biochem. Microbiol. 2007, 43, 661–668. [Google Scholar] [CrossRef]
- Labuda, J.; Bučková, M.; Heilerová, Ľ.; Šilhár, S.; Štepánek, I. Evaluation of the redox properties and anti/pro-oxidant effects of selected flavonoids by means of a DNA-based electrochemical biosensor. Anal. Bioanal. Chem. 2003, 376, 168–173. [Google Scholar] [CrossRef] [PubMed]
- Eghbaliferiz, S.; Iranshahi, M. Prooxidant Activity of Polyphenols, Flavonoids, Anthocyanins and Carotenoids: Updated Re-view of Mechanisms and Catalyzing Metals. Phyther. Res. 2016, 30, 1379–1391. [Google Scholar] [CrossRef] [PubMed]
- Shi, S.; Wei, Y.; Feng, J.; Zhou, C.; Zuo, J.; Yao, L.; Ding, J.; Li, K.; He, Q. Facile and ultrasensitive electrochemical detection of baicalein on bismuth oxide-carboxylated multi-walled carbon nanotube/glassy carbon electrode. J. Food Compos. Anal. 2023, 123. [Google Scholar] [CrossRef]
- Zhang, L.; Li, J.; Zhao, P.; Wang, C.; Wang, Y.; Yang, Y.; Xie, Y.; Fei, J. Ultrasensitive baicalin electrochemical sensor based on molybdenum trioxide nanowires-poly (3,4-ethylenedioxythiophene)/cobalt-nitrogen co-doped carbon nanotube (Co N C) composites. Microchem. J. 2022, 182. [Google Scholar] [CrossRef]
- Veeramani, V.; Sivakumar, M.; Chen, S.-M.; Madhu, R.; Alamri, H.R.; Alothman, Z.A.; Hossain, S.A.; Chen, C.-K.; Yamauchi, Y.; Miyamoto, N.; et al. Lignocellulosic biomass-derived, graphene sheet-like porous activated carbon for electrochemical supercapacitor and catechin sensing. RSC Adv. 2017, 7, 45668–45675. [Google Scholar] [CrossRef]
- Della Pelle, F.; Rojas, D.; Scroccarello, A.; Del Carlo, M.; Ferraro, G.; Di Mattia, C.; Martuscelli, M.; Escarpa, A.; Compagnone, D. High-performance carbon black/molybdenum disulfide nanohybrid sensor for cocoa catechins determination using an extraction-free approach. Sens. Actuators B Chem. 2019, 296, 126651. [Google Scholar] [CrossRef]
- Ribeiro, G.A.C.; da Rocha, C.Q.; Veloso, W.B.; Fernandes, R.N.; da Silva, I.S.; Tanaka, A.A. Determination of the catechin contents of bioactive plant extracts using disposable screen-printed carbon electrodes in a batch injection analysis (BIA) system. Microchem. J. 2019, 146, 1249–1254. [Google Scholar] [CrossRef]
- Singh, S.; Jain, D.V.S.; Singla, M.L. One step electrochemical synthesis of gold-nanoparticles–polypyrrole composite for application in catechin electrochemical biosensor. Anal. Methods 2013, 5, 1024–1032. [Google Scholar] [CrossRef]
- Wang, X.-G.; Li, J.; Fan, Y.-J. Fast detection of catechin in tea beverage using a poly-aspartic acid film based sensor. Microchim. Acta 2010, 169, 173–179. [Google Scholar] [CrossRef]
- Devadas, B.; Chen, S.-M. Controlled electrochemical synthesis of yttrium (III) hexacyanoferrate micro flowers and their composite with multiwalled carbon nanotubes, and its application for sensing catechin in tea samples. J. Solid State Electrochem. 2014, 19, 1103–1112. [Google Scholar] [CrossRef]
- Şenocak, A.; Basova, T.; Demirbas, E.; Durmuş, M. Direct and Fast Electrochemical Determination of Catechin in Tea Extracts using SWCNT-Subphthalocyanine Hybrid Material. Electroanalysis 2019, 31, 1697–1707. [Google Scholar] [CrossRef]
- Masoum, S.; Behpour, M.; Azimi, F.; Motaghedifard, M.H. Potentiality of chemometric approaches for the determination of (+)-catechin in green tea leaves at the surface of multiwalled carbon nanotube paste electrode. Sens. Actuators B Chem. 2014, 193, 582–591. [Google Scholar] [CrossRef]
- Rahman, A.; Noh, H.-B. Direct Electrochemistry of Laccase Immobilized on Au Nanoparticles Encapsulated-Dendrimer Bonded Conducting Polymer: Application for a Catechin Sensor. Anal. Chem. 2008, 80, 8020–8027. [Google Scholar] [CrossRef]
- Moccelini, S.K.; Fernandes, S.C.; de Camargo, T.P.; Neves, A.; Vieira, I.C. Self-assembled monolayer of nickel(II) complex and thiol on gold electrode for the determination of catechin. Talanta 2009, 78, 1063–1068. [Google Scholar] [CrossRef] [PubMed]
- Duran, S.T.; Ayhan, N.; Aksoy, B.; Köytepe, S.; Paşahan, A. Preparation of triaminotriazine-based polyimide-modified electrodes and their use for selective detection of catechin in green tea samples. Polym. Bull. 2019, 77, 5065–5082. [Google Scholar] [CrossRef]
- Yao, Y.; Zhang, L.; Wen, Y.; Wang, Z.; Zhang, H.; Hu, D.; Xu, J.; Duan, X. Voltammetric determination of catechin using single-walled carbon nanotubes/poly(hydroxymethylated-3,4-ethylenedioxythiophene) composite modified electrode. Ionics 2015, 21, 2927–2936. [Google Scholar] [CrossRef]
- Muguruma, H.; Murakami, S.; Takahashi, S.; Osakabe, N.; Inoue, H.; Ohsawa, T. Separationless and Adsorptionless Quantification of Individual Catechins in Green Tea with a Carbon Nanotube–Carboxymethylcellulose Electrode. J. Agric. Food Chem. 2018, 67, 943–954. [Google Scholar] [CrossRef]
- Fu, Y.; You, Z.; Xiao, A.; Liu, L. Magnetic molecularly imprinting polymers, reduced graphene oxide, and zeolitic imidazolate frameworks modified electrochemical sensor for the selective and sensitive detection of catechin. Microchim. Acta 2021, 188, 1–9. [Google Scholar] [CrossRef]
- Vilian, A.T.E.; Madhu, R.; Chen, S.-M.; Veeramani, V.; Sivakumar, M.; Huh, Y.S.; Han, Y.-K. Facile synthesis of MnO2/carbon nanotubes decorated with a nanocomposite of Pt nanoparticles as a new platform for the electrochemical detection of catechin in red wine and green tea samples. J. Mater. Chem. B 2015, 3, 6285–6292. [Google Scholar] [CrossRef] [PubMed]
- Manasa, G.; Mascarenhas, R.J.; Satpati, A.K.; D’Souza, O.J.; Dhason, A. Facile preparation of poly(methylene blue) modified carbon paste electrode for the detection and quantification of catechin. Mater. Sci. Eng. C 2017, 73, 552–561. [Google Scholar] [CrossRef]
- Pang, J.; Wu, X.; Li, A.; Liu, X.; Li, M. Detection of catechin in Chinese green teas at N-doped carbon-modified electrode. Ionics 2017, 23, 1889–1895. [Google Scholar] [CrossRef]
- Castaignède, V.; Durliat, H.; Comtat, M. Amperometric and Potentiometric Determination of Catechin as Model of Polyphenols in Wines. Anal. Lett. 2003, 36, 1707–1720. [Google Scholar] [CrossRef]
- Yang, Y.; Zeng, H.; Zhang, Q.; Bai, X.; Liu, C.; Zhang, Y. Direct electron transfer and sensing performance for catechin of nano-gold particles-polymer nano-composite with immobilized Laccase. Chem. Phys. Lett. 2016, 658, 259–269. [Google Scholar] [CrossRef]
- Yang, L.-J.; Tang, C.; Xiong, H.-Y.; Zhang, X.-H.; Wang, S.-F. Electrochemical properties of catechin at a single-walled carbon nanotubes–cetylramethylammonium bromide modified electrode. Bioelectrochemistry 2009, 75, 158–162. [Google Scholar] [CrossRef] [PubMed]
- Zou, L.; Xu, Y.; Luo, P.; Zhang, S.; Ye, B. Electrochemical detection of dihydromyricetin using a DNA immobilized ethylenediamine/polyglutamic modified electrode. Analyst 2011, 137, 414–419. [Google Scholar] [CrossRef]
- Allahverdiyeva, S.; Keskin, E.; Yörük, I.; Yardım, Y. Electrochemical Determination of Flavonoid Fisetin in Commercial Dietary Supplements Using a Boron-Doped Diamond Electrode. ChemistrySelect 2023, 8, e202300125. [Google Scholar] [CrossRef]
- Mathad, A.S.; Korgaonkar, K.; Seetharamappa, J.; Kalanur, S.S. 3D porous nanostructured reduced graphene oxide and nafion composite as an ultrasensitive interface for rapid and nanomolar determination of a flavonoid, galangin. Mater. Chem. Phys. 2023, 302, 127682. [Google Scholar] [CrossRef]
- Sun, B.; Hou, X.; Li, D.; Gou, Y.; Hu, F.; Li, W.; Shi, X. Electrochemical Sensing and High Selective Detection of Hesperidin with Molecularly Imprinted Polymer Based on Ultrafine Activated Carbon. J. Electrochem. Soc. 2019, 166, B1644–B1652. [Google Scholar] [CrossRef]
- Xia, H.-Q.; Qiu, D.; Chen, W.; Mao, G.; Zeng, J. In situ formed and fully integrated laser-induced graphene electrochemical chips for rapid and simultaneous determination of bioflavonoids in citrus fruits. Microchem. J. 2023, 188. [Google Scholar] [CrossRef]
- Zhupanova, A.; Guss, E.; Ziyatdinova, G.; Budnikov, H. Simultaneous Voltammetric Determination of Flavanones Using an Electrode Based on Functionalized Single-Walled Carbon Nanotubes and Polyaluminon. Anal. Lett. 2020, 53, 2170–2189. [Google Scholar] [CrossRef]
- Sims, M.J.; Li, Q.; Kachoosangi, R.T.; Wildgoose, G.G.; Compton, R.G. Using multiwalled carbon nanotube modified electrodes for the adsorptive striping voltammetric determination of hesperidin. Electrochim. Acta 2009, 54, 5030–5034. [Google Scholar] [CrossRef]
- Manasa, G.; Mascarenhas, R.J.; Bhakta, A.K.; Mekhalif, Z. Nano-graphene-platelet/Brilliant-green composite coated carbon paste electrode interface for electrocatalytic oxidation of flavanone Hesperidin. Microchem. J. 2020, 160, 105768. [Google Scholar] [CrossRef]
- Sun, D.; Wang, F.; Wu, K.; Chen, J.; Zhou, Y. Electrochemical determination of hesperidin using mesoporous SiO2 modified electrode. Microchim. Acta 2009, 167, 35–39. [Google Scholar] [CrossRef]
- Gao, Y.; Wu, X.; Wang, H.; Lu, W.; Guo, M. Highly sensitive detection of hesperidin using AuNPs/rGO modified glassy carbon electrode. Analyst 2017, 143, 297–303. [Google Scholar] [CrossRef] [PubMed]
- Šafranko, S.; Stanković, A.; Asserghine, A.; Jakovljević, M.; Hajra, S.; Nundy, S.; Medvidović-Kosanović, M.; Jokić, S. Electroactivated Disposable Pencil Graphite Electrode—New, Cost-effective, and Sensitive Electrochemical Detection of Bioflavonoid Hesperidin. Electroanalysis 2020, 33, 1063–1071. [Google Scholar] [CrossRef]
- Zhang, L.; Li, J.; Wang, C.; Tang, J.; Chen, X.; Li, Y.; Shi, J.; Zhao, P.; Xie, Y.; Fei, J. A novel kaempferol electrochemical sensor based on glass carbon electrode modified by poly (3, 4-ethylenedioxythiophene) decorated with green synthesized MIL-100(Fe)-multi- walled carbon nanotubes composites. Colloids Surf. A Physicochem. Eng. Asp. 2022, 649, 129484. [Google Scholar] [CrossRef]
- Cao, M.; Yin, X.; Bo, X.; Guo, L. High-performance electrocatalyst based on metal-organic framework/macroporous carbon composite for efficient detection of luteolin. J. Electroanal. Chem. 2018, 824, 153–160. [Google Scholar] [CrossRef]
- Niu, X.; Huang, Y.; Zhang, W.; Yan, L.; Wang, L.; Li, Z.; Sun, W. Synthesis of gold nanoflakes decorated biomass-derived porous carbon and its application in electrochemical sensing of luteolin. J. Electroanal. Chem. 2020, 880, 114832. [Google Scholar] [CrossRef]
- Liu, H.; Hassan, M.; Bo, X.; Guo, L. Fumarate-based metal-organic framework/mesoporous carbon as a novel electrochemical sensor for the detection of gallic acid and luteolin. J. Electroanal. Chem. 2019, 849, 113378. [Google Scholar] [CrossRef]
- Tang, J.; Jin, B. Electrochemical determination of luteolin in Chrysanthemum using multi-walled carbon nanotubes–ionic liquid composite electrode. Anal. Methods 2014, 7, 894–900. [Google Scholar] [CrossRef]
- Tang, J.; Jin, B. Poly (crystal violet)—Multi-walled carbon nanotubes modified electrode for electroanalytical determination of luteolin. J. Electroanal. Chem. 2016, 780, 46–52. [Google Scholar] [CrossRef]
- Huang, Q.; Lin, X.; Lin, C.; Zhang, Y.; Zhang, H.; Hu, S.; Wei, C.; Tong, Q.-X. Ultrasensitive-electrochemical sensor for the detection of luteolin in Chrysanthemums and Peanut shells using an Au/Pd/reduced graphene oxide nanofilm. Anal. Methods 2016, 8, 6347–6352. [Google Scholar] [CrossRef]
- Xu, B.; Zhang, B.; Yang, L.; Zhao, F.; Zeng, B. Electrochemical determination of luteolin using molecularly imprinted poly-carbazole on MoS2/graphene-carbon nanotubes nanocomposite modified electrode. Electrochim. Acta 2017, 258, 1413–1420. [Google Scholar] [CrossRef]
- Zeng, Q.; Chen, J.; Gao, F.; Tu, X.; Qian, Y.; Yu, Y.; Lu, L.; Wang, W. Development of a new electrochemical sensing platform based on MoO3-polypyrrole nanowires/MWCNTs composite and its application to luteolin detection. Synth. Met. 2020, 271, 116620. [Google Scholar] [CrossRef]
- Chen, X.; Li, J.; Li, J.; Zhang, L.; Zhao, P.; Wang, C.; Fei, J.; Xie, Y. Determination of luteolin in Chrysanthemum tea with a ultra-sensitive electrochemical sensor based on MoO3/poly(3,4-ethylene dioxythiophene)/gama-cyclodextrin metal–organic framework composites. Food Chem. 2022, 397, 133723. [Google Scholar] [CrossRef] [PubMed]
- Wang, Q.; Gu, C.; Fu, Y.; Liu, L.; Xie, Y. Ultrasensitive Electrochemical Sensor for Luteolin Based on Zirconium Metal-Organic Framework UiO-66/Reduced Graphene Oxide Composite Modified Glass Carbon Electrode. Molecules 2020, 25, 4557. [Google Scholar] [CrossRef]
- Hu, Y.; Zhang, L.; Zhao, P.; Wang, C.; Fei, J.; Xie, Y. Ultrasensitive luteolin electrochemical sensor based on zeolitic imidazolate frameworks-derived cobalt trioxide @ nitrogen doped carbon nanotube/amino-functionalized graphene quantum dots composites modified glass carbon electrode. Sens. Actuators B Chem. 2022, 351. [Google Scholar] [CrossRef]
- Hou, X.; Wu, W.; Zhao, F.; Xie, W.; Yang, Q. Construction of an electrochemical sensor with graphene aerogel doped with ZrO2 nanoparticles and chitosan for the selective detection of luteolin. Microchim. Acta 2021, 188, 86. [Google Scholar] [CrossRef]
- Xu, Q.; Chen, S.; Xu, J.; Duan, X.; Lu, L.; Tian, Q.; Zhang, X.; Cai, Y.; Lu, X.; Rao, L.; et al. Facile synthesis of hierarchical MXene/ZIF-67/CNTs composite for electrochemical sensing of luteolin. J. Electroanal. Chem. 2021, 880. [Google Scholar] [CrossRef]
- Liu, J.; Cheng, H.; Xie, H.; Luo, G.; Niu, Y.; Zhang, S.; Li, G.; Sun, W. Platinum nanoparticles decorating a biomass porous carbon nanocomposite-modified electrode for the electrocatalytic sensing of luteolin and application. RSC Adv. 2019, 9, 33607–33616. [Google Scholar] [CrossRef]
- You, Z.; Fu, Y.; Xiao, A.; Liu, L.; Huang, S. Magnetic molecularly imprinting polymers and reduced graphene oxide modified electrochemical sensor for the selective and sensitive determination of luteolin in natural extract. Arab. J. Chem. 2021, 14, 102990. [Google Scholar] [CrossRef]
- Wei, M.; Geng, X.; Liu, Y.; Long, H.; Du, J. A novel electrochemical sensor based on electropolymerized molecularly imprinted polymer for determination of luteolin. J. Electroanal. Chem. 2019, 842, 184–192. [Google Scholar] [CrossRef]
- Gao, F.; Chen, X.; Tanaka, H.; Nishitani, A.; Wang, Q. Alkaline phosphatase mediated synthesis of carbon nanotube–hydroxyapatite nanocomposite and its application for electrochemical determination of luteolin. Adv. Powder Technol. 2016, 27, 921–928. [Google Scholar] [CrossRef]
- Liu, J.; Li, Y.; Wu, X.; Wang, W.; Ye, B. A Simple but Highly Sensitive Graphene Based Voltammetric Sensor for Morin. Sens. Lett. 2013, 11, 1579–1585. [Google Scholar] [CrossRef]
- Cheng, W.; Liu, P.; Zhang, M.; Huang, J.; Cheng, F.; Wang, L. A highly sensitive morin sensor based on PEDT–Au/rGO nanocomposites modified glassy carbon electrode. RSC Adv. 2017, 7, 47781–47788. [Google Scholar] [CrossRef]
- Erady, V.; Mascarenhas, R.J.; Satpati, A.K.; Bhakta, A.K.; Mekhalif, Z.; Delhalle, J. Sensitive voltammetric determination of Morin in leaf extract at Nickel (II) phthalocyanine modified carbon paste electrode. Surf. Interfaces 2020, 19, 100517. [Google Scholar] [CrossRef]
- Sasikumar, R.; Govindasamy, M.; Chen, S.-M.; Chieh-Liu, Y.; Ranganathan, P.; Rwei, S.-P. Electrochemical determination of morin in Kiwi and Strawberry fruit samples using vanadium pentoxide nano-flakes. J. Colloid Interface Sci. 2017, 504, 626–632. [Google Scholar] [CrossRef] [PubMed]
- Kokulnathan, T.; Sakthinathan, S.; Chen, S.-M.; Karthik, R.; Chiu, T.-W. Hexammine cobalt(iii) coordination complex grafted reduced graphene oxide composite for sensitive and selective electrochemical determination of morin in fruit samples. Inorg. Chem. Front. 2018, 5, 1145–1155. [Google Scholar] [CrossRef]
- Sebastian, N.; Yu, W.-C.; Balram, D. Synthesis of amine-functionalized multi-walled carbon nanotube/3D rose flower-like zinc oxide nanocomposite for sensitive electrochemical detection of flavonoid morin. Anal. Chim. Acta 2020, 1095, 71–81. [Google Scholar] [CrossRef]
- Ziyatdinova, G.; Ziganshina, E.; Budnikov, H. Electrooxidation of morin on glassy carbon electrode modified by carboxylated single-walled carbon nanotubes and surfactants. Electrochim. Acta 2014, 145, 209–216. [Google Scholar] [CrossRef]
- Sukanya, R.; Sakthivel, M.; Chen, S.-M.; Chen, T.-W. A new type of terbium diselenide nano octagon integrated oxidized carbon nanofiber: An efficient electrode material for electrochemical detection of morin in the food sample. Sens. Actuators B Chem. 2018, 269, 354–367. [Google Scholar] [CrossRef]
- Akshaya, K.; Varghese, A.; Sudhakar, Y.; George, L. Electrocatalytic oxidation of morin on electrodeposited Ir-PEDOT nanograins. Food Chem. 2018, 270, 78–85. [Google Scholar] [CrossRef] [PubMed]
- Chaitra, P.K.; Bhat, V.S.; Akshaya, K.B.; Maiyalagan, T.; Hegde, G.; Varghese, A.; George, L. Unique Host Matrix to Disperse Pd Nanoparticles for Electrochemical Sensing of Morin: Sustainable Engineering Approach. ACS Biomater. Sci. Eng. 2020, 6, 5264–5273. [Google Scholar] [CrossRef]
- Rison, S.; Akshaya, K.B.; Mathew, A.T.; Joice, E.K.; Varghese, A.; George, L. β-Cyclodextrin-PANI decorated pencil graphite electrode for the electrochemical sensing of morin in almonds and mulberry leaves. SN Appl. Sci. 2020, 2, 1–10. [Google Scholar] [CrossRef]
- Ulbrich, K.d.F.; Winiarski, J.P.; Jost, C.L.; de Campos, C.E.M. Green and facile solvent-free synthesis of NiTe2 nanocrystalline material applied to voltammetric determination of antioxidant morin. Mater. Today Commun. 2020, 25, 101251. [Google Scholar] [CrossRef]
- Mehdipour, S.; Majidi, M.R.; Asadpour-Zeynali, K.; Sohrabi, H. Electrochemical Sensing Platform Based on The Modified Carbon-Ceramic Electrode Using Multiwalled Carbon Nanotubes (MWCNTs) Through The Sol-Gel Process: Application in Sensitive Determination of Morin as A Common Flavonoids. ImmunoAnalysis 2022, 2, 3. [Google Scholar] [CrossRef]
- Temerk, Y.M.; Ibrahim, M.S.; Kotb, M.; Schuhmann, W. Renewable Pencil Electrodes for Highly Sensitive Anodic Stripping Voltammetric Determination of 3-Hydroxyflavone and Morin in Bulk Form and in Biological Fluids. Electroanalysis 2013, 25, 1381–1387. [Google Scholar] [CrossRef]
- Wang, F.; Xu, Y.; Zhao, J.; Hu, S. Electrochemical oxidation of morin and interaction with DNA. Bioelectrochemistry 2007, 70, 356–362. [Google Scholar] [CrossRef]
- Ji, Y.; Wang, G.; Zhang, C.; Fang, B. Electrocatalysis of Puerarin on a Nano-CeO2/MWCNTs Composite Modified Electrode and Its Determination in Pharmaceutical Preparations. Chin. J. Chem. 2011, 29, 1017–1023. [Google Scholar] [CrossRef]
- Nasrollahi, S.; Ghoreishi, S.M.; Khoobi, A. Nanoporous gold film: Surfactant-assisted synthesis, anodic oxidation and sensing application in electrochemical determination of quercetin. J. Electroanal. Chem. 2020, 864, 114097. [Google Scholar] [CrossRef]
- Satpati, A.K.; Sahoo, S.; Dey, M.K.; Reddy, A.V.R.; Mukherjee, T. Electrochemical and spectroelectrochemical investigations of quercetin on unmodified and DNA-modified carbon paste electrode and its determination using voltammetry. Anal. Methods 2011, 3, 1344–1350. [Google Scholar] [CrossRef]
- Xiao, P.; Zhao, F.; Zeng, B. Voltammetric determination of quercetin at a multi-walled carbon nanotubes paste electrode. Microchem. J. 2007, 85, 244–249. [Google Scholar] [CrossRef]
- Kesavan, G.; Chen, S.-M. Carbon-modified kaolin clay using sugar dehydration technique for the electrochemical detection of quercetin. J. Mater. Sci. Mater. Electron. 2020, 31, 21670–21681. [Google Scholar] [CrossRef]
- Zhou, Z.; Gu, C.; Chen, C.; Zhao, P.; Xie, Y.; Fei, J. An ultrasensitive electrochemical sensor for quercetin based on 1-pyrenebutyrate functionalized reduced oxide graphene /mercapto-β-cyclodextrin /Au nanoparticles composite film. Sens. Actuators B Chem. 2019, 288, 88–95. [Google Scholar] [CrossRef]
- Yu, J.; Jin, H.; Gui, R.; Lv, W.; Wang, Z. A facile strategy for ratiometric electrochemical sensing of quercetin in electrolyte solution directly using bare glassy carbon electrode. J. Electroanal. Chem. 2017, 795, 97–102. [Google Scholar] [CrossRef]
- Ibrahim, M.; Ibrahim, H.; Almandil, N.B.; Sayed, M.A.; Kawde, A.-N. A new hybrid nanocomposite electrode based on Au/CeO2-decorated functionalized glassy carbon microspheres for the voltammetric sensing of quercetin and its interaction with DNA. Anal. Methods 2020, 12, 2846–2857. [Google Scholar] [CrossRef] [PubMed]
- Karuppasamy, P.; Karthika, A.; Senthilkumar, S.; Rajapandian, V. An Efficient and Highly Sensitive Amperometric Quercetin Sensor Based on a Lotus Flower Like SeO2-Decorated rGO Nanocomposite Modified Glassy Carbon Electrode. Electrocatalysis 2022, 13, 269–282. [Google Scholar] [CrossRef]
- Selvarajan, S.; Suganthi, A.; Rajarajan, M. Fabrication of g-C3N4/NiO heterostructured nanocomposite modified glassy carbon electrode for quercetin biosensor. Ultrason. Sonochemistry 2018, 41, 651–660. [Google Scholar] [CrossRef] [PubMed]
- Zhang, Z.; Gu, S.; Ding, Y.; Shen, M.; Jiang, L. Mild and novel electrochemical preparation of β-cyclodextrin/graphene nanocomposite film for super-sensitive sensing of quercetin. Biosens. Bioelectron. 2014, 57, 239–244. [Google Scholar] [CrossRef] [PubMed]
- Xu, G.-R.; Kim, S. Selective Determination of Quercetin Using Carbon Nanotube-Modified Electrodes. Electroanalysis 2006, 18, 1786–1792. [Google Scholar] [CrossRef]
- Veerakumar, P.; Rajkumar, C.; Chen, S.-M.; Thirumalraj, B.; Lin, K.-C. Ultrathin 2D graphitic carbon nitride nanosheets decorated with silver nanoparticles for electrochemical sensing of quercetin. J. Electroanal. Chem. 2018, 826, 207–216. [Google Scholar] [CrossRef]
- Saritha, D.; Koirala, A.; Venu, M.; Reddy, G.D.; Reddy, A.V.B.; Sitaram, B.; Madhavi, G.; Aruna, K. A simple, highly sensitive and stable electrochemical sensor for the detection of quercetin in solution, onion and honey buckwheat using zinc oxide supported on carbon nanosheet (ZnO/CNS/MCPE) modified carbon paste electrode. Electrochim. Acta 2019, 313, 523–531. [Google Scholar] [CrossRef]
- Li, J.; Qu, J.; Yang, R.; Qu, L.; Harrington, P.d.B. A Sensitive and Selective Electrochemical Sensor Based on Graphene Quantum Dot/Gold Nanoparticle Nanocomposite Modified Electrode for the Determination of Quercetin in Biological Samples. Electroanalysis 2016, 28, 1322–1330. [Google Scholar] [CrossRef]
- Şenocak, A.; Köksoy, B.; Demirbaş, E.; Basova, T.; Durmuş, M. 3D SWCNTs-coumarin hybrid material for ultra-sensitive determination of quercetin antioxidant capacity. Sens. Actuators B Chem. 2018, 267, 165–173. [Google Scholar] [CrossRef]
- Li, Y.; Huang, W. Electrode modified with porous alumina microfibers as a highly sensitive electrochemical sensor for quercetin. Anal. Methods 2015, 7, 2537–2541. [Google Scholar] [CrossRef]
- Liu, Y.; Xie, R.; Yang, P.; Lu, L.; Shen, L.; Tao, J.; Liu, Z.; Zhao, P. An Excellent Electrochemical Sensor Based on Highly Porous Gold Film Modified Gold Electrode for Detecting Quercetin in Food and Medicine. J. Electrochem. Soc. 2020, 167, 047514. [Google Scholar] [CrossRef]
- Yao, Z.; Yang, X.; Liu, X.; Yang, Y.; Hu, Y.; Zhao, Z. Electrochemical quercetin sensor based on a nanocomposite consisting of magnetized reduced graphene oxide, silver nanoparticles and a molecularly imprinted polymer on a screen-printed electrode. Microchim. Acta 2017, 185, 70. [Google Scholar] [CrossRef] [PubMed]
- Wang, Y.; Qiao, M.; Mamat, X.; Hu, X.; Hu, G. Hierarchically ordered porous nitrogen doped carbon modified a glassy carbon electrode for voltammetry detection of quercetin. Mater. Res. Bull. 2020, 136, 111131. [Google Scholar] [CrossRef]
- Liu, J.; Li, X.; Weng, W.; Xie, H.; Luo, G.; Niu, Y.; Zhang, S.; Li, G.; Sun, W. A biomass-derived porous carbon-based nanocomposite for voltammetric determination of quercetin. Microchim. Acta 2019, 186, 783. [Google Scholar] [CrossRef] [PubMed]
- Zielińska, D.; Nagels, L.; Piskuła, M. Determination of quercetin and its glucosides in onion by electrochemical methods. Anal. Chim. Acta 2008, 617, 22–31. [Google Scholar] [CrossRef] [PubMed]
- He, J.-B.; Lin, X.-Q.; Pan, J. Multi-Wall Carbon Nanotube Paste Electrode for Adsorptive Stripping Determination of Quercetin: A Comparison with Graphite Paste Electrode via Voltammetry and Chronopotentiometry. Electroanalysis 2005, 17, 1681–1686. [Google Scholar] [CrossRef]
- Ponnaiah, S.K.; Periakaruppan, P. A glassy carbon electrode modified with a copper tungstate and polyaniline nanocomposite for voltammetric determination of quercetin. Microchim. Acta 2018, 185, 524. [Google Scholar] [CrossRef] [PubMed]
- Durai, L.; Kong, C.Y.; Badhulika, S. One-step solvothermal synthesis of nanoflake-nanorod WS2 hybrid for non-enzymatic detection of uric acid and quercetin in blood serum. Mater. Sci. Eng. C 2019, 107, 110217. [Google Scholar] [CrossRef]
- Shi, L.; Li, Y.; Rong, X.; Wang, Y.; Ding, S. Facile fabrication of a novel 3D graphene framework/Bi nanoparticle film for ultrasensitive electrochemical assays of heavy metal ions. Anal. Chim. Acta 2017, 968, 21–29. [Google Scholar] [CrossRef] [PubMed]
- Wang, M.; Zhang, D.; Tong, Z.; Xu, X.; Yang, X. Voltammetric behavior and the determination of quercetin at a flowerlike Co3O4 nanoparticles modified glassy carbon electrode. J. Appl. Electrochem. 2010, 41, 189–196. [Google Scholar] [CrossRef]
- Zhou, Z.; Zhao, P.; Wang, C.; Yang, P.; Xie, Y.; Fei, J. Ultra-sensitive amperometric determination of quercetin by using a glassy carbon electrode modified with a nanocomposite prepared from aminated graphene quantum dots, thiolated β-cyclodextrin and gold nanoparticles. Microchim. Acta 2020, 187, 1–9. [Google Scholar] [CrossRef]
- Huang, Y.; Han, Z.; Zhou, X.; Li, J.; Gu, X.; Li, Z.; Sun, W.; Niu, X. Three-dimensional MoS2-graphene aerogel nanocomposites for electrochemical sensing of quercetin. Microchim. Acta 2022, 189, 1–12. [Google Scholar] [CrossRef] [PubMed]
- Lin, X.-Q.; He, J.-B.; Zha, Z.-G. Simultaneous determination of quercetin and rutin at a multi-wall carbon-nanotube paste electrodes by reversing differential pulse voltammetry. Sens. Actuators B Chem. 2006, 119, 608–614. [Google Scholar] [CrossRef]
- Macikova, P.; Halouzka, V.; Hrbac, J.; Bartak, P.; Skopalova, J. Electrochemical Behavior and Determination of Rutin on Modified Carbon Paste Electrodes. Sci. World J. 2012, 2012, 394756. [Google Scholar] [CrossRef] [PubMed]
- Arvand, M.; Farahpour, M.; Ardaki, M.S. Electrochemical characterization of in situ functionalized gold organosulfur self-assembled monolayer with conducting polymer and carbon nanotubes for determination of rutin. Talanta 2018, 176, 92–101. [Google Scholar] [CrossRef]
- Ansari, S.H.; Arvand, M. A magnetic nanocomposite prepared from electrospun CoFe2O4 nanofibers and graphene oxide as a material for highly sensitive determination of rutin. Microchim. Acta 2020, 187, 103. [Google Scholar] [CrossRef]
- D’souza, O.J.; Mascarenhas, R.J.; Satpati, A.K.; Basavaraja, B.M. A novel ZnO/reduced graphene oxide and Prussian blue modified carbon paste electrode for the sensitive determination of Rutin. Sci. China Chem. 2018, 62, 262–270. [Google Scholar] [CrossRef]
- El Jaouhari, A.; Yan, L.; Zhu, J.; Zhao, D.; Khan, Z.H.; Liu, X. Enhanced molecular imprinted electrochemical sensor based on zeolitic imidazolate framework/reduced graphene oxide for highly recognition of rutin. Anal. Chim. Acta 2020, 1106, 103–114. [Google Scholar] [CrossRef]
- Mahmoud, A.M.; Mahnashi, M.H.; Al Fatease, A.; Mostafa, M.A.; El-Wekil, M.M.; Ali, R. Fluorometric and electrochemical dual-mode detection of toxic flavonoid rutin based on new nitrogen and sulfur co-doped carbon dots: Enhanced selectivity based on masking the interfering flavonoids with BSA complexation. J. Food Compos. Anal. 2022, 108, 104428. [Google Scholar] [CrossRef]
- Niu, X.; Wen, Z.; Li, X.; Zhao, W.; Li, X.; Huang, Y.; Li, Q.; Li, G.; Sun, W. Fabrication of graphene and gold nanoparticle modified acupuncture needle electrode and its application in rutin analysis. Sens. Actuators B Chem. 2017, 255, 471–477. [Google Scholar] [CrossRef]
- Wang, Z.; Yu, G.; Xia, J.; Zhang, F.; Liu, Q. One-step synthesis of a Methylene Blue@ZIF-8-reduced graphene oxide nanocomposite and its application to electrochemical sensing of rutin. Microchim. Acta 2018, 185, 279. [Google Scholar] [CrossRef] [PubMed]
- Rohani, T.; Mohammadi, S.; Karimi, M.; Amini, S. Green synthesized silver nanoparticles @ zeolite type A hybridized with carbon ceramic, AgZA-CCE, as a new nano-electrocatalyst for detection of ultra-trace amounts of rutin. Chem. Phys. Lett. 2018, 713, 259–265. [Google Scholar] [CrossRef]
- Oliveira, A.C.; Mascaro, L.H. Characterization of Carbon Nanotubes Paste Electrode and its Application as Rutin Sensor. Curr. Anal. Chem. 2011, 7, 101–109. [Google Scholar] [CrossRef]
- Freitas, K.H.G.; Medeiros, R.A.; Fatibello-Filho, O. Voltammetric Determination of Rutin Using a Carbon Composite Electrode Modified with Copper(II)-Resin. Anal. Lett. 2009, 42, 881–897. [Google Scholar] [CrossRef]
- Rezaei, B.; Majidi, N.; Ensafi, A.A.; Karimi-Maleh, H. Molecularly imprinted-multiwall carbon nanotube paste electrode as a biosensor for voltammetric detection of rutin. Anal. Methods 2011, 3, 2510–2516. [Google Scholar] [CrossRef]
- Karabiberoğlu, Ş.U.; Dursun, Z. Fabrication of nickel coated graphene oxide composite electrode for sensitive determination of Rutin. J. Electroanal. Chem. 2018, 815, 76–85. [Google Scholar] [CrossRef]
- Apetrei, I.M.; Apetrei, C. A modified nanostructured graphene-gold nanoparticle carbon screen-printed electrode for the sensitive voltammetric detection of rutin. Measurement 2018, 114, 37–43. [Google Scholar] [CrossRef]
- Yalikun, N.; Mamat, X.; Li, Y.; Hu, X.; Wang, P.; Hu, G. Taraxacum-like Mg-Al-Si@porous carbon nanoclusters for electrochemical rutin detection. Microchim. Acta 2019, 186, 379. [Google Scholar] [CrossRef] [PubMed]
- Tyszczuk, K. Sensitive voltammetric determination of rutin at an in situ plated lead film electrode. J. Pharm. Biomed. Anal. 2009, 49, 558–561. [Google Scholar] [CrossRef] [PubMed]
- Yang, B.; Bin, D.; Zhang, K.; Du, Y.; Majima, T. A seed-mediated method to design N-doped graphene supported gold-silver nanothorns sensor for rutin detection. J. Colloid Interface Sci. 2017, 512, 446–454. [Google Scholar] [CrossRef] [PubMed]
- Wu, S.-H.; Sun, J.-J.; Zhang, D.-F.; Lin, Z.-B.; Nie, F.-H.; Qiu, H.-Y.; Chen, G.-N. Nanomolar detection of rutin based on adsorptive stripping analysis at single-sided heated graphite cylindrical electrodes with direct current heating. Electrochim. Acta 2008, 53, 6596–6601. [Google Scholar] [CrossRef]
- Niu, X.; Weng, W.; Yin, C.; Niu, Y.; Li, G.; Dong, R.; Men, Y.; Sun, W. Black phosphorene modified glassy carbon electrode for the sensitive voltammetric detection of rutin. J. Electroanal. Chem. 2018, 811, 78–83. [Google Scholar] [CrossRef]
- Wang, J.-X.; Mu, J.-N.; Ma, J.; Yang, Y.; Wang, M.-Q.; Zhu, L.; Du, X.-Y. Determination of rutin and puerarin in teas and pharmaceutical preparations using poly (Evans Blue) film-modified electrodes. J. Food Drug Anal. 2012, 20, 611–616. [Google Scholar] [CrossRef]
- Yang, S.; Qu, L.; Li, G.; Yang, R.; Liu, C. Gold nanoparticles/ethylenediamine/carbon nanotube modified glassy carbon electrode as the voltammetric sensor for selective determination of rutin in the presence of ascorbic acid. J. Electroanal. Chem. 2010, 645, 115–122. [Google Scholar] [CrossRef]
- Chen, X.; Wang, Z.; Zhang, F.; Zhu, L.; Li, Y.; Xia, Y. Determination of Rutin on the Poly(p-aminobenzene sulfonic acid) Modified Glassy Carbon Electrode. Chem. Pharm. Bull. 2010, 58, 475–478. [Google Scholar] [CrossRef]
- Kubendhiran, S.; Sakthivel, R.; Chen, S.-M.; Yeah, Q.-J.; Mutharani, B.; Thirumalraj, B. “Design of novel WO3/CB nanohybrids” An affordable and efficient electrochemical sensor for the detection of multifunctional flavonoid rutin. Inorg. Chem. Front. 2018, 5, 1085–1093. [Google Scholar] [CrossRef]
- Feng, G.; Yang, Y.; Zeng, J.; Zhu, J.; Liu, J.; Wu, L.; Yang, Z.; Yang, G.; Mei, Q.; Chen, Q.; et al. Highly sensitive electrochemical determination of rutin based on the synergistic effect of 3D porous carbon and cobalt tungstate nanosheets. J. Pharm. Anal. 2021, 12, 453–459. [Google Scholar] [CrossRef] [PubMed]
- Li, Y.; Tang, J.; Lin, Y.; Li, J.; Yang, Y.; Zhao, P.; Fei, J.; Xie, Y. Ultrasensitive Determination of Natural Flavonoid Rutin Using an Electrochemical Sensor Based on Metal-Organic Framework CAU−1/Acidified Carbon Nanotubes Composites. Molecules 2022, 27, 7761. [Google Scholar] [CrossRef] [PubMed]
- Şenocak, A.; Khataee, A.; Demirbas, E.; Doustkhah, E. Ultrasensitive detection of rutin antioxidant through a magnetic micro-mesoporous graphitized carbon wrapped Co nanoarchitecture. Sens. Actuators B Chem. 2020, 312, 127939. [Google Scholar] [CrossRef]
- Zhang, J.; Cui, S.; Ding, Y.; Yang, X.; Guo, K.; Zhao, J. Ordered mesoporous Co3O4 nanospheres/reduced graphene oxide composites for rutin detection. Ceram. Int. 2018, 44, 7858–7866. [Google Scholar] [CrossRef]
- Xu, Y.; Dong, C.; Li, D.; Liu, P.; Cao, Q.; Sun, Y.; Wei, Y.; Lu, Y.; Yu, J.; Zhang, X. The sensing performance toward taxifolin and lithium storage property based on nickel-metal organic frameworks and carbon nanotubes composite. Inorg. Chem. Commun. 2021, 126, 108446. [Google Scholar] [CrossRef]
- Wang, F.; Wu, Y.; Lu, K.; Ye, B. A sensitive voltammetric sensor for taxifolin based on graphene nanosheets with certain orientation modified glassy carbon electrode. Sens. Actuators B Chem. 2015, 208, 188–194. [Google Scholar] [CrossRef]
- Wang, Q.; Wang, L.; Li, G.; Ye, B. A simple and sensitive method for determination of taxifolin on palladium nanoparticles supported poly (diallyldimethylammonium chloride) functionalized graphene modified electrode. Talanta 2017, 164, 323–329. [Google Scholar] [CrossRef] [PubMed]
- Huang, D.; Yang, L.; Li, X.L.; Zou, L.; Ye, B. A new electrochemical sensor for Taxifolin based on RGO-Co3S4@MoS2 modified electrode. J. Electroanal. Chem. 2019, 851, 113473. [Google Scholar] [CrossRef]
- Zhang, X.; Li, D.; Dong, C.; Shi, J.; Sun, Y.; Ye, B.; Xu, Y. Molybdenum sulfide-based electrochemical platform for high sensitive detection of taxifolin in Chinese medicine. Anal. Chim. Acta 2019, 1099, 85–93. [Google Scholar] [CrossRef]
- Zhang, X.; Cao, Q.; Guo, Z.; Zhang, M.; Zhou, M.; Zhai, Z.; Xu, Y. Self-assembly of MoS2 nanosheet on functionalized pomelo peel derived carbon and its electrochemical sensor behavior toward taxifolin. Inorg. Chem. Commun. 2021, 129, 108631. [Google Scholar] [CrossRef]
- Bian, Y.; Zhang, Y.; Zhou, Y.; Li, G.-H.; Feng, X.-S. Progress in the Pretreatment and Analysis of Flavonoids: An Update since 2013. Sep. Purif. Rev. 2020, 51, 11–37. [Google Scholar] [CrossRef]
- Rodríguez De Luna, S.L.; Ramírez-Garza, R.E.; Serna Saldívar, S.O. Environmentally Friendly Methods for Flavonoid Extrac-tion from Plant Material: Impact of Their Operating Conditions on Yield and Antioxidant Properties. Sci. World J. 2020, 2020, 6792069. [Google Scholar] [CrossRef] [PubMed]
- Takahashi, S.; Muguruma, H.; Osakabe, N.; Inoue, H.; Ohsawa, T. Electrochemical determination with a long-length carbon nanotube electrode of quercetin glucosides in onion, apple peel, and tartary buckwheat. Food Chem. 2019, 300, 125189. [Google Scholar] [CrossRef] [PubMed]











| FLAVONOID SUBCLASS | FLAVONOIDS EXAMPLES | DIETARY SOURCE |
|---|---|---|
FLAVONES![]() | Apigenin, Baicalein, Chrysin, Diosmin, Diosmetin, Isorhoifolin, Linarin, Luteolin, Orientin, Tricin![]() | celery, olives, onion, lettuce, parsley, oregano, rosemary, thyme, green pepper, red wine, milk, chamomile tea, olive oil, peppermint oil, Ginkgo biloba etc. |
FLAVANONES![]() | Eriodictyol, Hesperitin, Hesperidin, Naringenin, Naringin![]() | apples, lemon, lime orange, orange, grapefruit, tangerine, peppermint, etc. |
FLAVONOLS![]() | Fisetin, Galangin, Isorhamnetin, Kaempferol, Morin, Myricetin, Quercetin, Rhamnetin, Robinin, Rutin![]() | apples, apricots, grapes, plums, blackberries, blueberries, cranberries, currants, cherries, apple juice, Ginkgo biloba, onion, lettuce, capers, celery, dock leaves, fennel, hot peppers, cherry tomatoes, spinach, sweet potato leaves, turnip (green), endive, leek, lettuce, celery, broccoli, red wine, etc. |
FLAVANONOLS![]() | Dihydromyricetin, Taxifolin![]() | apples, citrus, etc. |
FLAVANOLS![]() | Catechin, Gallocatechin, Epicatechin, Epicatechin gallate, Epigallotechin gallate ![]() | apples, apricots, grapes, peaches, nectarines, pears, plums, raisins, raspberries, cherries, blackberries, blueberries, and cranberries, red wine, tea leaves, coffee, cacao beans, etc. |
ISOFLAVONOIDS![]() | Biochanin, Daidzein, Equol, Genistein, Puerarin![]() | soy beans, fava beans, etc. |
ANTHOCYANIDINS![]() | Cyanidin, Delphinidin, Malvidin, Peonidin![]() | blackberries, blackcurrants, blueberries, black grape, elderberries, strawberries, cherries, plums, cranberry, pomegranate juice, and raspberry, red cabbage, red wine, etc. |
ANTHOCYANINS![]() | Cyanin, Kuromanin, Oenin, Malvin, Peonin![]() | red fruits, grapes, red cabbage, purple sweet potato, Tradescantia pallida leaves, wine, etc. |
| FLAVONOIDS | Ep1/V | Ep2/V | pH | SUBSTITUENTS | REF | |||||||
|---|---|---|---|---|---|---|---|---|---|---|---|---|
| 3C | 5A | 7A | 2′ | 3′ | 4′ | 5′ | ||||||
| FLAVONES | Apigenin | 0.68/0.82 | 0.99 | 4.3 | H | OH | OH | H | H | OH | H | [24,25,26,27] |
| Acacetin | – | 0.98 | 4.3 | H | OH | OH | H | H | OCH3 | H | [25] | |
| Luteolin | 0.40 | 1.05 | 4.0 | H | OH | OH | H | OH | OH | H | [28,29,30,31] | |
| Orientin | 0.25 | 0.83 | 7.0 | H | OH | OH | O-sugar | OH | OH | O-sugar | [32] | |
| Diosmin | 0.70 | 1.08 | 4.0 | H | OH | O-sugar | H | OH | OCH3 | H | [33,34] | |
| Diosmetin | 0.68 | 1.06 | 4.0 | H | OH | OH | H | OH | OCH3 | H | [34] | |
| Isorhoifolin | 0.65 | 1.10 | 5.0 | H | OH | O-sugar | H | H | OH | H | [34] | |
| Linarin | – | 1.10 | 5.0 | H | OH | O-sugar | H | H | OCH3 | H | [34] | |
| Chrysin | – | 1.05 | 4.0 | H | OH | OH | H | H | H | H | [24,35,36] | |
| FLAVANONES | Eriodictyol | 0.25 | 0.83 | 7.0 | H | OH | OH | H | OH | OH | H | [32] |
| Hesperitin | 0.52 | 1.00 | 7.0 | H | OH | OH | H | OH | OCH3 | H | [37] | |
| Hesperidin | 0.65 | – | 5.0 | H | OH | O-sugar | H | OH | OCH3 | H | [38] | |
| Naringenin | 0.71 | 0.95 | 7.0 | H | OH | OH | H | H | OH | H | [37] | |
| Naringin | 0.39 | – | 5.0 | H | OH | O-sugar | H | H | OH | H | [38,39] | |
| FLAVONOLS | Myricetin | 0.30 | – | 3.6 | OH | OH | OH | H | OH | OH | OH | [38,40] |
| Quercetin | 0.20 | 0.4 | 7.0 | OH | OH | OH | H | OH | OH | H | [37,38,41,42,43,44] | |
| Rutin | 0.40 | 1.06 | 4.0 | O-sugar | OH | OH | H | OH | OH | H | [24,38,45,46,47] | |
| Quercetrin | 0.32 | – | 5.0 | O-sugar | OH | OH | H | OH | OH | H | [38,48] | |
| Fisetin | 0.35 | – | 5.0 | OH | H | OH | H | OH | OH | H | [38,44,49,50] | |
| Rhamnetin | 0.30 | – | 4.5 | OH | OH | OCH3 | H | OH | OH | H | [38] | |
| Isorhamnetin | 0.36 | 1.15 | 4.0 | OH | OH | OCH3 | H | OH | OH | H | [44,51] | |
| Morin | 0.44 | 0.98 | 4.0 | OH | OH | OH | OH | H | OH | H | [24,44,52,53,54,55] | |
| Kaempferol | 0.45 | – | 3.6 | OH | OH | OH | H | H | OH | H | [40,44,56] | |
| Galangin | 0.50 | – | 5.0 | OH | OH | OH | H | H | H | H | [24,38] | |
| Robinin | 0.75 | 0.95 | 7.0 | O-sugar | OH | O-sugar | H | OH | H | H | [32] | |
| FLAVANONOLS | Taxifolin | 0.39 | 1.03 | 4.0 | OH | OH | OH | H | OH | OH | H | [35] |
| FLAVANOLS | Catechin | 0.28 | 0.61 | 7.0 | OH | OH | OH | H | OH | OH | H | [37,57,58,59] |
| Epicatechin | 0.21 | 0.60 | 7.0 | OH | OH | OH | H | OH | OH | H | [37] | |
| Epicatechin gallate | 0.45 | 0.87 | 2.0 | gall | OH | OH | H | OH | OH | H | [60] | |
| Epigallotechin gallate | 0.38 | 0.89 | 2.0 | gall | OH | OH | H | OH | OH | OH | [61] | |
| ISOFLAVONOIDS | Genistein | 0.48 | 0.67 | 7.0 | H (2C) | OH | OH | H | H | OH | H | [25,26] |
| Biochanin | – | 0.69 | 7.0 | H (2C) | OH | OH | H | H | OCH3 | H | [26] | |
| Daidzein | 0.50 | 0.72 | 7.0 | H (2C) | H | OH | H | H | OH | H | [26] | |
| ANTHOCYANIDINS | Cyanidin | 0.40 | 0.82 | 4.5 | OH | OH | OH | H | OH | OH | H | [62] |
| Malvidin | 0.49 | 0.85 | 4.5 | OH | OH | OH | H | OCH3 | OH | OCH3 | [62] | |
| Peonidin | 0.35 | 0.82 | 4.5 | OH | OH | OH | H | OCH3 | OH | H | [62] | |
| Petunidin | 0.040 | 0.85 | 4.5 | OH | OH | OH | H | OCH3 | OH | OH | [62] | |
| FLAVONOIDS | SENSOR | METHOD | LINEAR RANGE | LOD | MATRIX | REF. |
|---|---|---|---|---|---|---|
| Apigenin | Ni NPs/SPE | 0.9–200 μM | 5 nM | Chinese medicine Lobelia chinensis | [27] | |
| Baicalein | Bi2O3-CMWCNTs/GCE | LSV | 0.01–15 μM | 2.0 nM | Chinese medicine Oroxylum indicum; human urine | [85] |
| Baicalein | MoO3-PEDOT NWs | DPV | 0.005–0.86 μM | 1.5 nM | Chinese medicine Scutellaria baicalensis Georgi | [86] |
| Catechin | GCE | SWV | 6.7–16.7 ppm | 0.84 ppm | C. mellei; C. quadrifidus | [58] |
| Catechin | GPAC/GCE | CV; DPV | 4–368 μM | 0.67 μM | Green tea leaves | [87] |
| Catechin | SPE-CB/MoS2 | DPV | 0.12–25 μM | 0.017 μM | Cocoa powder | [88] |
| Catechin | SPCE | A; BIA | 1–150 μM | 0.021 μM | Bioactive plant extracts | [89] |
| Catechin | Pt/AuNPs–PPy/Tyr | CV; A | 1–10 nM | 1.2 nM | Apple juice | [90] |
| Catechin | β-CD/CPE | SWV | –– | 1.35 mg/mL | Commercial tea | [57] |
| Catechin | pAF-GC | DPV | 0.25 30 μM | 72 nM. | Tea | [91] |
| Catechin | Asp/GC | DPV | 0.25–30 μM | 72 nM | Tea | [91] |
| Catechin | MWCNT/YHCF/GCE | CV | 5–200 | 0.28 μM | Tea | [92] |
| Catechin | SWCNT-SubPc/GCE | DPV | 0.1–1.5 μM | 13 nM | Tea | [93] |
| Catechin | gallic acid/MWCNT/CPE | DPV-MCR-ALS | 0.10–2.69 μM | 0.017 μM | Green tea | [94] |
| Catechin | PDATT/Den(AuNPs)/laccase | CV; CA | 0.1–10 μM | 0.05 μM | Green tea | [95] |
| Catechin | Ni(II) complex–SAM-Au | SWV | 3.31–25.3 μM | 0.83 μM | Green tea | [96] |
| Catechin | TAT-PI-1/1 | DPV | 50–350 μM | 15.2 μM | Green tea | [97] |
| Catechin | SWCNTs/ PEDOTM/GCE | CV; CC | 0.039–40.84 μM | 0.013 μM | Green tea | [98] |
| Catechin | CMC-CNT | CV | 5–194 μM | 0.06–0.12 μM | Green tea | [99] |
| Catechin | mMIPs/rGO-ZIF-8/GCE | DPV | 0.01 nM–10 μM | 0.003 nM | Green tea | [100] |
| Catechin | Pt/MnO2/f-MWCNT/GCE | CV; SWV | 2–950 μM | 0.02 μM | Green tea; black tea; red wine | [101] |
| Catechin | PMB/CPE | CV; DPV | 0.1–1 μM; 1 μM–1.0 mM | 4.9 nM | Green tea; fruit juice | [102] |
| Catechin | N-Gr/GCE | DPV | 1.0–30 μM | 0.088 μM | Chinese green tea | [103] |
| Catechin | I-GCE | Potentiometric titration | 10–600 mM | 0.6 mM | Wine | [104] |
| Catechin | laccase/CTS-g-N-CSIDZ-4- MBA@GNP/GD/GCE | CV; CA | 0.8–16.6 μM | 16 nM | Industrial sewage | [105] |
| Catechin | SWNTs-CTAB/GCE | CV; DPV | 0.4–2.4 nM | 0.1 nM | Standard | [106] |
| Daidzein | MWCNT/GCE | SWV | 0.2–1.25 μM | 80 nM | Standard | [70] |
| Dihydromyricetin | DNA-GCE | DPV, | 0.04–2 μM | 20 nM | Ampelopsis | [107] |
| Diosmin | GCE | AdS-DPV | 0.05–9 μM | 35 nM | Pharmaceutical | [33] |
| Epigallocatechin Gallate | GCE | SWV | 0.1–1 μM | 65.9 nM | Green tea | [61] |
| Fisetin | Au-BMI.PF6/Ni(II) complex/Si | SWV | 0.28–1.39 μM; 2.77–19.50 μM | 0.05 μM | Apple juice | [49] |
| Fisetin | CPT-BDD | SWV | 1.7–6.9 μM | 0.28 μM | Nutritional supplements | [108] |
| Galangin | p-rGO/NAF/GCE | DPV | 0.02–45 μM | 1.11 nM | Pharmaceutical; human urine | [109] |
| Genistein | HMD | SWV | 0.1–1.1 μM | 34 nM | Soy flour; soy supplement | [19] |
| Hesperidin | MIP/AuNPs/UAC@GCE | DPV | 85 nM–30 μM | 45 nM | Tangerine peel | [110] |
| Hesperidin | LIG chip | LSV | 50 nM–0.1 mM | 15 nM | Citrus fruit | [111] |
| Hesperidin | Polyaluminon/f-SWCNT/GCE | DPV | 0.1–2.5 μM; 2.5–25 μM | 20 nM | Orange, grapefruit juices | [112] |
| Hesperidin | MWCNT-BPPGE; MWCNT-SPE | CV; AdSV | up to 30 μM | 0.61 μM; 7 nM | Orange juice; standard | [113] |
| Hesperidin | nGp-Bg/MCPE | DPV | 0.1–7; 7–100 μM | 50 nM | Fortified fruit juice | [114] |
| Hesperidin | BDD | AdSV | 4.1 μM to 0.1 mM | 1.2 μM | Dietary supplements | [64] |
| Hesperidin | SiO2/CPE | DPV | 0.5–25 μM | 0.25 μM | Traditional Chinese medicines | [115] |
| Hesperidin | Au NPs/rGO/GCE | A | 0.005–8.0 μM | 8.2 nM | Traditional Chinese medicines | [116] |
| Hesperidin | ePGE | DPV | 0.5–10 μM | 0.2 μM | Pharmaceutical | [117] |
| Kaempferol | MIL-100(Fe)-MWCNTs/PEDOT/GCE | 50–1950 nM | 13.2 nM | XinDaKang tablets | [118] | |
| Luteolin | MOF-525/MPC/GCE | CV, DPV | 5 nM–0.1 μM; 0.1–5 μM | 0.35 nM | Human serum; urine; tomato, watermelon juices | [119] |
| Luteolin | NAF-AuNFsBPC/GCE | CV, DPV | 0.15–1.8 μM; 1.8–10 μM | 0.07 μM | Human urine | [120] |
| Luteolin | MOF-801/MC-3/GCE | DPV; CV | 0.02–0.2 μM; 0.2–10 μM | 2.90 nM | Urine; green tea | [121] |
| Luteolin | MWCNTs-BMIMPF6/GCE | DPV | 5 nM–1 μM | 0.5 nM | Chrysanthemum | [122] |
| Luteolin | PCV/MWCNTs/GCE | DPV | 0.02–70 μM | 5 nM | Chrysanthemum | [123] |
| Luteolin | Au/Pd/rGO/GCE | DPV | 0.01─80.0 μM | 0.98 nM | Chrysanthemums; peanut shells | [124] |
| Luteolin | MIP/MoS2/GNCNTs/GCE | LSV | 0.04–2.0 μM | 9.0 nM | Carrot; Chrysanthemum tea | [125] |
| Luteolin | MoO3-PPy NWs/ MWCNTs/GCE | DPV | 0.1 nM–10 μM | 0.03 nM | Chrysanthemum tea | [126] |
| Luteolin | MoO3-PEDOT/CD-MOF/GCE | DPV | 0.0004–1.8 μM | 0.1 nM | Chrysanthemum tea | [127] |
| Luteolin | MOF UiO-66/rGO/GCE | DPV | 0.001–20 μM | 0.75 nM | Chrysanthemums, hawthorn extracts | [128] |
| Luteolin | Co3O4@N-CNTs/NH2-GrQDs/GCE | DPV | 0.5–1000 nM | 0.1 nM | Chrysanthemum extracts | [129] |
| Luteolin | ZrO2/CS/rGOA-GCE | DPV; CV | 5–1000 nM | 1 nM | Red wine; peach juice | [130] |
| Luteolin | Ti3C2-MXene/ZIF-67/ CNTs/GCE | DPV | 0.1–1000 nM | 0.03 nM | Grape juice | [131] |
| Luteolin | BNNS-AuNPs/GCE | SWV | 5–1200 pM; 0.02–10 μM | 1.7 pM | Perilla; peanut hulls | [63] |
| Luteolin | Pt–BPC/CILE | CV, DPV | 0.008–100 μM | 2.6 nM | Duyiwei capsules | [132] |
| Luteolin | Fe3O4@MIP/rGO/GCE | CV, DPV | 0.01–1 nM; 1 nM–50 μM | 3 pM | Duyiwei capsules | [133] |
| Luteolin | MIP/ITO | DPV | 0.05–30 μM | 24 nM | Traditional medicine | [134] |
| Luteolin | HAP–CNT/GCE | DPV | 40–12 μM | 0.8 nM | Standard | [135] |
| FLAVONOIDS | SENSOR | METHOD | LINEAR RANGE | LOD | MATRIX | REF. |
|---|---|---|---|---|---|---|
| Morin | Gr/DMF/GCE | voltammetry | 0.008–1 | 8.0 nM | Human serum | [136] |
| Morin | PEDOT–Au/rGO/GCE | SWV | 1–150 mM | 8.3 μM | Human serum | [137] |
| Morin | CPE-NiPc | DPV | 10 μM–2.5 mM | 2.0 nM | Human urine; Psidium guajava; red wine, tea, guava leaf capsules | [138] |
| Morin | V2O5NF/GCE | CV; DPV | 0.05–10.93 μM | 9 nM | Kiwi; Strawberry | [139] |
| Morin | rGO/[Co(NH3)6]3+/GCE | CV; DSP; EIS | 0.008–72.35 μM | 1.0 nM | Fruits | [140] |
| Morin | NH2-MWCNT/ZnO/SPCE | CV; DPV | 0.2–803.4 μM | 2 nM | Strawberry; avocado; mulberry leaves | [141] |
| Morin | CPB/SWNT-COOH/GCE | DPV | 0.1–100; 100–750 μM | 28.9 nM | Mulberry leaves | [142] |
| Morin | f-CNF/Tb2Se2/GCE | CV; DPV | 2.5–158 μM | 0.6 μM | Guava leaves | [143] |
| Morin | Ir–PEDOT/CFP | CV; DPV | 0.12–2.80 nM | 42.18 pM | Guava, mulberry leaves; grape wine | [144] |
| Morin | Pd-TCNSs(1000)/CFP | CV; DPV | 37.5–130 pM | 572 fM | Guava, mulberry leaves | [145] |
| Morin | β-CD-PANI/PGE | DPV | 1.17–32 nM | 0.38 nM | Mulberry leaves; almonds | [146] |
| Morin | NiTe2/CPE | CV; DPV | 0.014–32 μM | 13 nM | Red wines | [147] |
| Morin | MWCNTs/CCE | DPV; ASV | 0.7–3 μM (DPV); 0.6–4 μM (ASV) | 0.27 μM (DPV); 0.3 μM (ASV) | Tea | [148] |
| Morin | PGE | SWASV | 0.1–1.33 μM | 0.2 nM | Standard | [149] |
| Morin | PTFE-DNA/GCE | CV; LSV; CC | –– | –– | Standard | [150] |
| Naringin | LIG chip | LSV | 50 nM–0.1 mM | 11 nM | Citrus fruit | [111] |
| Naringin | Polyaluminon/f-SWCNT/GCE | DPV | 0.1–2.5 μM; 2.5–25 μM | 29 nM | Orange, grapefruit juices | [112] |
| Puerarin | CeO2N/CNT/GCE | A | 0.04–6.0 μM | 8 nM | Pharmaceutical | [151] |
| Quercetin | NPGF | CV | 0.01–12; 12–100 μM | 1.1 nM | Standard | [152] |
| Quercetin | DNA/CPE | DPV | 0.1–3 μM | 3.8 nM | Standard | [153] |
| Quercetin | CNTPE | CC; CV | 2–100 nM; 0.1–20 μM | <2 nM | Rutin hydrolysate product | [154] |
| Quercetin | CTAB/CPT-BDD | SWV; AdSV | 1.7 nM–0.33 μM | 0.44 nM | Apple juice | [65] |
| Quercetin | Carbon-kaolin nanocomposite | CV, DPV | 0.12–182.1 mM | 0.057 mM | Apple juice | [155] |
| Quercetin | PB-rGO/TCD/AuNPs/GCE | DPV | 0.005–0.4 μM | 1.83 nM | Red wine; apple juice; honeysuckle | [156] |
| Quercetin | GCE | DPV | 0.1–15 μM | 3.1 nM | Apple, pear juices; red, green tea | [157] |
| Quercetin | Au/CeO2@FGCM–PE | CV, SWV | 48 nM–1.09 μM | 0.37 nM | Green tea; apple, grape juices; onion; honeysuckle | [158] |
| Quercetin | SeO2/rGO/GCE | A | 0.0–200 μM | 1.6 nM | Grape, apple, pear juices; honey; green, black tea; blood; breast milk; urine | [159] |
| Quercetin | g-C3N4/NiO/GCE | DPV | 0.010–250 μM | 2.0 nM | Green apple; green tea; honeysuckle | [160] |
| Quercetin | E-Gr/HP-β-CD/GCE | DPV | 0.005–20 μM | 1.0 nM | Tea; honeysuckle | [161] |
| Quercetin | NAF-CNT-GCE | O-SWV | 0.02–2 μM | <0.2 μM | Yellow onion | [162] |
| Quercetin | AgNPs@gCN/GCE | DPV | 0.1 nM–0.12 mM | 6 nM | Green apple | [163] |
| Quercetin | ZnO/CNS/MCPE | DPV | 0.17–3.63 μM | 0.04 μM | Onion; honey buckwheat; standard | [164] |
| Quercetin | Au QDs/Au NP/GCE | DPV | 0.01–6.0 μM | 2.0 nM | Peanut hulls | [165] |
| Quercetin | 3D SWCNTs-coumarin/GCE | DPSV | 0.25–3 μM | 20 nM | Tea | [166] |
| Quercetin | CPE/AM | DPV | 0.025–1.5 μM | 10 nM | Tea; honeysuckle | [167] |
| Quercetin | hp-Au/Au | CV; A | 20 nM–100 μM | 3.9 nM | Food; drinks; pharmaceutical | [168] |
| Quercetin | MrGO-MIP/SPE | DPV | 20 nM–250 μM | 13 nM | Pharmaceutical | [169] |
| Quercetin | HOPNC/GCE | DPV | 0.1–20 μM; 20–120 μM | 0.03 μM | Ginkgo tablet | [170] |
| Quercetin | Pt-Au-BPC/CILE | CV; DPV | 0.15–6.0 μM; 10.0–25.0 μM | 50.0 nM | Ginkgo tablet | [171] |
| Quercetin | GCE | CV | –– | <100 nM | Onion bulbs | [172] |
| Quercetin | CNTPE | AdS-CV | 0.1–1 μM | 30 nM | Human serum; urine | [173] |
| Quercetin | CuWO4@PANI/GCE | DPV | 0.001–0.500 μM | 1.2 nM | Human blood; urine | [174] |
| Quercetin | WS2/GCE | DPV | 10 nM–50 μM | 2.4 nM | Human blood | [175] |
| Quercetin | PPy@ZIF-8/GCE | DPV | 0.01–7.0 μM; 7.0–150 μM | 7 nM | Human plasma | [176] |
| Quercetin | CoON-GCE | CC | 0.50–330 μM | 100 nM | Human urine; Ginkgo tablet | [177] |
| Quercetin | Au-b-CDs/NH2-GQDs/GCE | DPV | 1–210 nM | 285 pM | Human serum; honey; tea; honeysuckle | [178] |
| Quercetin | 3D MoS2-GA/GCE | DPV | 0.01–5.0 μM | 2.6 nM | Tablets; urine | [179] |
| Quercetin; Rutin | CNTPE | DPV | 0.05–5 μM; 0.10–10 μM | 0.5 μM; 0.2 μM | Standard mixture | [180] |
| Rutin | IL-CPE | DPV | 5–80 nM | <5 nM | Buckwheat seeds | [181] |
| Rutin | PSSA/MWCNTs/MBT/Au | DPV | 0.01–0.8; 0.8–10 μM | 1.8 nM | Red apple; red onion; oat; orange; strawberry; salvia | [182] |
| Rutin | CoFe2O4/GO/MBCPE | CV; DPV | 0.001–0.1 μM; 1.0–100 nM | 0.94 pM | Red apple, lime, lemon, orange juices | [183] |
| Rutin | ZnO-rGrO-PB/MCPE | CV; DPV | 0.07–7.0 μM; 7.0–100 μM | 20 nM | Fruit juice | [184] |
| Rutin | GCE/rGO/ZIF-8/MIP | DPV | 0.0005–0.05 μM; 0.05–100 μM | 0.1 nM | Orange juice; tablets | [185] |
| Rutin | N, S@C-dots/GCE | DPV | 2–1300 nM | 0.8 nM | Oranges; pharmaceutical tablets; human serum | [186] |
| Rutin | Gr/AuNPs/AN | DPV | 0.08–10 μM; 0.02–20 mM | 25 nM | Human urine; tablets | [187] |
| Rutin | MB@ZIF-8/rGO/GCE | CV; DPV | 0.1–100 μM | 20 nM | Human urine; tablets | [188] |
| Rutin | AgZA-CCE | CV; DPV; CA | 0.005–0.21 μM | 0.47 nM | Capparis spinosa extract; black tea | [189] |
| Rutin | CNTPE | DPV | 0.2–10 μM | 34 nM | Pharmaceutical | [190] |
| Rutin | Cu(II)-resin-carbon composite | CV | 1–8 μM | 26.5 nM | Pharmaceutical | [191] |
| Rutin | CNTPE | SWV | 0.08–1.4 μM; 2.0–160.0 μM | 50 nM | Pharmaceutical | [192] |
| Rutin | NiGO/GCE | CV; SWV | 0.01–1 μM; 2.2–15 μM | 3.2 nM | Pharmaceutical | [193] |
| Rutin | Gr-AuNPs/SPCE | SWV | 0.1–15 μM | 11 nM | Pharmaceutical | [194] |
| Rutin | Mg-Al-Si@PC/GCE | CV; DPV | 1–10 mM | 0.01 μM | Pharmaceutical | [195] |
| Rutin | LF-GCE | SWV | 0.5–10 nM | 0.25 nM | Tablets | [196] |
| Rutin | Au-AgNTs/NG | CV; DPV | 0.1–420 μM | 15 nM | Tablets | [197] |
| Rutin | ss-HGC | SWV | 4 nM–1 μM | 1 nM | Tablets | [198] |
| Rutin | BP–PEDOT: PSS/GCE | DPV | 0.02–15 μM; 15.0–80 μM | 7 nM | Tablets | [199] |
| Rutin | DNA-IL-CP | DPV | 8 nM –10 μM | 1.3 nM | Tablets | [200] |
| Rutin | CNTPE | DPV | 48–960 μM | 33.9 nM | Tablets | [201] |
| Rutin | PABSA-GCE | SWV | 0.25–10 μM | 100 nM | Tablets | [202] |
| Rutin | CB/WO3/SPCE | DPV | 0.01–75.5 μM | 2 nM | Tablets | [203] |
| Rutin | CoWO4/PC | DPV | 5–5000 ng/mL | 0.45 ng/mL | Tablets | [204] |
| Rutin | Al-MOF/MWCNT/GCE | DPV | 1.0 nM–3.0 μM | 0.67 nM | Tablets | [205] |
| Rutin | Co/ZIF-C/GCE | CV; DPV | 0.1–30 μM | 22 nM | Vitamin tablets | [206] |
| Rutin | meso-Co3O4/rGO/GCE | DPV | 0.1–300 μM | 0.03 μM | Standard | [207] |
| Taxifolin | SPE | SWV | 0.05–1 μM | 0.021 μM | Peanut oils | [208] |
| Taxifolin | E-rGO/GCE | AdSV | 10 nM–1 μM | 2 nM | Polygoni Orientalis Fructus | [209] |
| Taxifolin | PDDA-Gr-Pd/GCE | SWV | 40 nM–1 μM | 1 nM | Polygoni Orientalis Fructus | [210] |
| Taxifolin | rGO-Co3S4@MoS2/GCE | DPV | 5 nM–1 μM | 1.67 nM | Polygoni Orientalis Fructus | [211] |
| Taxifolin | MoS2/ANC/GCE | DPV | 1 nM–1 μM | 0.3 nM | Polygoni Orientalis Fructus | [212] |
| Taxifolin | Ni-MOF/CNTs | DPV | 40 nM–10 μM | 13 nM | Polygoni Orientalis Fructus | [208] |
| Taxifolin | MoS2/PPC/GCE | DPV | 70 nM–10 μM | 23 nM | Standard | [213] |
Disclaimer/Publisher’s Note: The statements, opinions and data contained in all publications are solely those of the individual author(s) and contributor(s) and not of MDPI and/or the editor(s). MDPI and/or the editor(s) disclaim responsibility for any injury to people or property resulting from any ideas, methods, instructions or products referred to in the content. |
© 2023 by the author. Licensee MDPI, Basel, Switzerland. This article is an open access article distributed under the terms and conditions of the Creative Commons Attribution (CC BY) license (https://creativecommons.org/licenses/by/4.0/).
Share and Cite
Chiorcea-Paquim, A.-M. Electrochemistry of Flavonoids: A Comprehensive Review. Int. J. Mol. Sci. 2023, 24, 15667. https://doi.org/10.3390/ijms242115667
Chiorcea-Paquim A-M. Electrochemistry of Flavonoids: A Comprehensive Review. International Journal of Molecular Sciences. 2023; 24(21):15667. https://doi.org/10.3390/ijms242115667
Chicago/Turabian StyleChiorcea-Paquim, Ana-Maria. 2023. "Electrochemistry of Flavonoids: A Comprehensive Review" International Journal of Molecular Sciences 24, no. 21: 15667. https://doi.org/10.3390/ijms242115667
APA StyleChiorcea-Paquim, A.-M. (2023). Electrochemistry of Flavonoids: A Comprehensive Review. International Journal of Molecular Sciences, 24(21), 15667. https://doi.org/10.3390/ijms242115667
















