IL-6 and Neutrophil/Lymphocyte Ratio as Markers of ICU Admittance in SARS-CoV-2 Patients with Diabetes
Abstract
:1. Introduction
2. Results
2.1. Demographic and Baseline Characteristics of ICU Patients and Those Who Did Not Require ICU Admittance
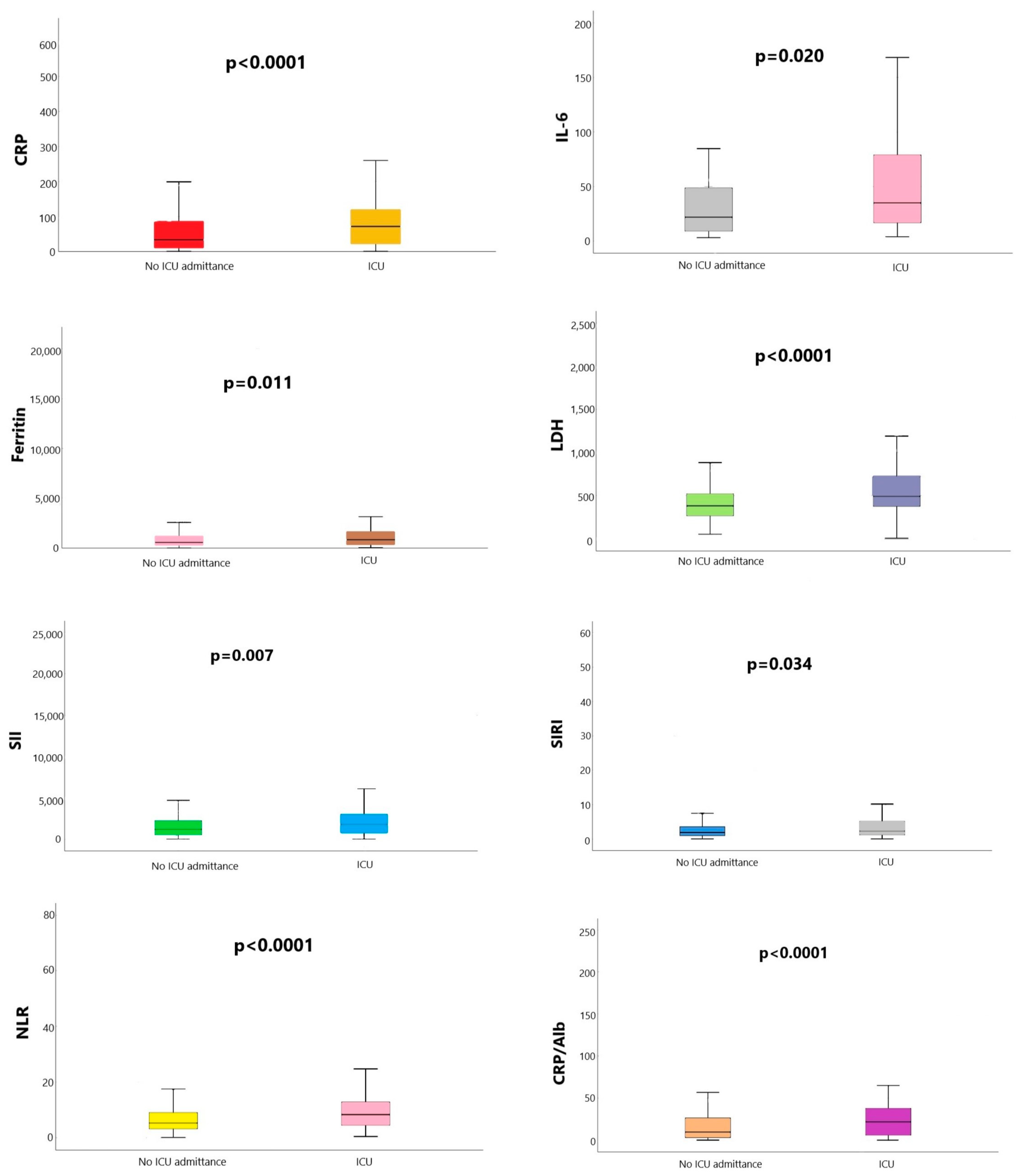
2.2. Potential Markers for Identifying Severe Cases with Need of ICU Admittance
2.3. Predictors of Severity Correlated with Diabetic Status
2.3.1. Predictors of ICU Admittance in DM Patients
2.3.2. Predictors for ICU Admittance among Patients without DM
3. Discussion
4. Materials and Methods
4.1. Study Design and Participants
4.2. Ethics Consideration
4.3. Statistical Analysis
5. Conclusions
Author Contributions
Funding
Institutional Review Board Statement
Informed Consent Statement
Data Availability Statement
Conflicts of Interest
References
- Jesenak, M.; Brndiarova, M.; Urbancikova, I.; Rennerova, Z.; Vojtkova, J.; Bobcakova, A.; Ostro, R.; Banovcin, P. Immune Parameters and COVID-19 Infection—Associations with Clinical Severity and Disease Prognosis. Front. Cell. Infect. Microbiol. 2020, 10, 364. [Google Scholar] [CrossRef] [PubMed]
- Chen, N.; Zhou, M.; Dong, X.; Qu, J.; Gong, F.; Han, Y.; Qiu, Y.; Wang, J.; Liu, Y.; Wei, Y.; et al. Epidemiological and Clinical Characteristics of 99 Cases of 2019 Novel Coronavirus Pneumonia in Wuhan, China: A Descriptive Study. Lancet 2020, 395, 507–513. [Google Scholar] [CrossRef] [PubMed]
- Richardson, S.; Hirsch, J.S.; Narasimhan, M.; Crawford, J.M.; McGinn, T.; Davidson, K.W.; The Northwell COVID-19 Research Consortium; Barnaby, D.P.; Becker, L.B.; Chelico, J.D.; et al. Presenting Characteristics, Comorbidities, and Outcomes Among 5700 Patients Hospitalized With COVID-19 in the New York City Area. JAMA 2020, 323, 2052. [Google Scholar] [CrossRef] [PubMed]
- Wu, Z.; McGoogan, J.M. Characteristics of and Important Lessons from the Coronavirus Disease 2019 (COVID-19) Outbreak in China: Summary of a Report of 72 314 Cases from the Chinese Center for Disease Control and Prevention. JAMA 2020, 323, 1239. [Google Scholar] [CrossRef] [PubMed]
- Hodgson, K.; Morris, J.; Bridson, T.; Govan, B.; Rush, C.; Ketheesan, N. Immunological Mechanisms Contributing to the Double Burden of Diabetes and Intracellular Bacterial Infections. Immunology 2015, 144, 171–185. [Google Scholar] [CrossRef]
- Erickson, J.R.; Pereira, L.; Wang, L.; Han, G.; Ferguson, A.; Dao, K.; Copeland, R.J.; Despa, F.; Hart, G.W.; Ripplinger, C.M.; et al. Diabetic Hyperglycaemia Activates CaMKII and Arrhythmias by O-Linked Glycosylation. Nature 2013, 502, 372–376. [Google Scholar] [CrossRef]
- Wang, T.T. IgG Fc Glycosylation in Human Immunity. In Fc Mediated Activity of Antibodies; Ravetch, J.V., Nimmerjahn, F., Eds.; Current Topics in Microbiology and Immunology; Springer International Publishing: Cham, Switzerland, 2019; Volume 423, pp. 63–75. [Google Scholar] [CrossRef]
- Muller, L.M.A.J.; Gorter, K.J.; Hak, E.; Goudzwaard, W.L.; Schellevis, F.G.; Hoepelman, A.I.M.; Rutten, G.E.H.M. Increased Risk of Common Infections in Patients with Type 1 and Type 2 Diabetes Mellitus. Clin. Infect. Dis. 2005, 41, 281–288. [Google Scholar] [CrossRef] [PubMed]
- De Lucena, T.M.C.; Da Silva Santos, A.F.; De Lima, B.R.; De Albuquerque Borborema, M.E.; De Azevêdo Silva, J. Mechanism of Inflammatory Response in Associated Comorbidities in COVID-19. Diabetes Metab. Syndr. Clin. Res. Rev. 2020, 14, 597–600. [Google Scholar] [CrossRef]
- Ragnoli, B.; Da Re, B.; Galantino, A.; Kette, S.; Salotti, A.; Malerba, M. Interrelationship between COVID-19 and Coagulopathy: Pathophysiological and Clinical Evidence. Int. J. Mol. Sci. 2023, 24, 8945. [Google Scholar] [CrossRef]
- CRICS TRIGGERSEP Group (Clinical Research in Intensive Care and Sepsis Trial Group for Global Evaluation and Research in Sepsis); Helms, J.; Tacquard, C.; Severac, F.; Leonard-Lorant, I.; Ohana, M.; Delabranche, X.; Merdji, H.; Clere-Jehl, R.; Schenck, M.; et al. High Risk of Thrombosis in Patients with Severe SARS-CoV-2 Infection: A Multicenter Prospective Cohort Study. Intensive Care Med. 2020, 46, 1089–1098. [Google Scholar] [CrossRef]
- Abou-Ismail, M.Y.; Diamond, A.; Kapoor, S.; Arafah, Y.; Nayak, L. The Hypercoagulable State in COVID-19: Incidence, Pathophysiology, and Management. Thromb. Res. 2020, 194, 101–115. [Google Scholar] [CrossRef] [PubMed]
- Broman, N.; Rantasärkkä, K.; Feuth, T.; Valtonen, M.; Waris, M.; Hohenthal, U.; Rintala, E.; Karlsson, A.; Marttila, H.; Peltola, V.; et al. IL-6 and Other Biomarkers as Predictors of Severity in COVID-19. Ann. Med. 2021, 53, 410–412. [Google Scholar] [CrossRef] [PubMed]
- Tomo, S.; Kiran Kumar, P.; Yadav, D.; Sankanagoudar, S.; Charan, J.; Purohit, A.; Nag, V.L.; Bhatia, P.K.; Singh, K.; Dutt, N.; et al. Association of Serum Complement C3 Levels with Severity and Mortality in COVID-19. Indian J. Clin. Biochem. 2023, 38, 447–456. [Google Scholar] [CrossRef] [PubMed]
- Lim, Z.J.; Subramaniam, A.; Ponnapa Reddy, M.; Blecher, G.; Kadam, U.; Afroz, A.; Billah, B.; Ashwin, S.; Kubicki, M.; Bilotta, F.; et al. Case Fatality Rates for Patients with COVID-19 Requiring Invasive Mechanical Ventilation. A Meta-Analysis. Am. J. Respir. Crit. Care Med. 2021, 203, 54–66. [Google Scholar] [CrossRef] [PubMed]
- Merad, M.; Martin, J.C. Pathological Inflammation in Patients with COVID-19: A Key Role for Monocytes and Macrophages. Nat. Rev. Immunol. 2020, 20, 355–362. [Google Scholar] [CrossRef]
- Liu, B.; Li, M.; Zhou, Z.; Guan, X.; Xiang, Y. Can We Use Interleukin-6 (IL-6) Blockade for Coronavirus Disease 2019 (COVID-19)-Induced Cytokine Release Syndrome (CRS)? J. Autoimmun. 2020, 111, 102452. [Google Scholar] [CrossRef]
- Fujino, M.; Ishii, M.; Taniguchi, T.; Chiba, H.; Kimata, M.; Hitosugi, M. The Value of Interleukin-6 among Several Inflammatory Markers as a Predictor of Respiratory Failure in COVID-19 Patients. Diagnostics 2021, 11, 1327. [Google Scholar] [CrossRef]
- Tomo, S.; Banerjee, M.; Karli, S.; Purohit, P.; Mitra, P.; Sharma, P.; Garg, M.K.; Kumar, B. Assessment of DHEAS, Cortisol, and DHEAS/Cortisol Ratio in Patients with COVID-19: A Pilot Study. Hormones 2022, 21, 515–518. [Google Scholar] [CrossRef]
- Yan, Y.; Yang, Y.; Wang, F.; Ren, H.; Zhang, S.; Shi, X.; Yu, X.; Dong, K. Clinical Characteristics and Outcomes of Patients with Severe COVID-19 with Diabetes. BMJ Open Diabetes Res. Care 2020, 8, e001343. [Google Scholar] [CrossRef]
- Akácsos-Szász, O.-Z.; Pál, S.; Nyulas, K.-I.; Nemes-Nagy, E.; Fárr, A.-M.; Dénes, L.; Szilveszter, M.; Bán, E.-G.; Tilinca, M.C.; Simon-Szabó, Z. Pathways of Coagulopathy and Inflammatory Response in SARS-CoV-2 Infection among Type 2 Diabetic Patients. Int. J. Mol. Sci. 2023, 24, 4319. [Google Scholar] [CrossRef]
- Yang, A.-P.; Liu, J.; Tao, W.; Li, H. The Diagnostic and Predictive Role of NLR, d-NLR and PLR in COVID-19 Patients. Int. Immunopharmacol. 2020, 84, 106504. [Google Scholar] [CrossRef] [PubMed]
- Chan, A.S.; Rout, A. Use of Neutrophil-to-Lymphocyte and Platelet-to-Lymphocyte Ratios in COVID-19. J. Clin. Med. Res. 2020, 12, 448–453. [Google Scholar] [CrossRef] [PubMed]
- Novida, H.; Soelistyo, S.; Cahyani, C.; Siagian, N.; Hadi, U.; Pranoto, A. Factors Associated with Disease Severity of COVID-19 in Patients with Type 2 Diabetes Mellitus. Biomed. Rep. 2022, 18, 8. [Google Scholar] [CrossRef]
- Moghaddam Tabrizi, F.; Rasmi, Y.; Hosseinzadeh, E.; Rezaei, S.; Balvardi, M.; Kouchari, M.R.; Ebrahimi, G. Diabetes Is Associated with Increased Mortality and Disease Severity in Hospitalized Patients with COVID-19. EXCLI J. 2021, 20, 444–453. [Google Scholar] [CrossRef]
- Guo, W.; Li, M.; Dong, Y.; Zhou, H.; Zhang, Z.; Tian, C.; Qin, R.; Wang, H.; Shen, Y.; Du, K.; et al. Diabetes Is a Risk Factor for the Progression and Prognosis of COVID-19. Diabetes Metab. Res. Rev. 2020, 36, e3319. [Google Scholar] [CrossRef] [PubMed]
- Hussain, M.; Babar, M.Z.M.; Akhtar, L.; Hussain, M.S. Neutrophil Lymphocyte Ratio (NLR): A Well Assessment Tool of Glycemic Control in Type-2 Diabetic Patients. Pak. J. Med. Sci. 2017, 33, 1366–1370. [Google Scholar] [CrossRef]
- Rathore, S.S.; Oberoi, S.; Iqbal, K.; Bhattar, K.; Benítez-López, G.A.; Nieto-Salazar, M.A.; Velasquez-Botero, F.; Moreno Cortes, G.A.; Hilliard, J.; Madekwe, C.C.; et al. Prognostic Value of Novel Serum Biomarkers, Including C-reactive Protein to Albumin Ratio and Fibrinogen to Albumin Ratio, in COVID-19 Disease: A Meta-analysis. Rev. Med. Virol. 2022, 32, e2390. [Google Scholar] [CrossRef]
- Kuluöztürk, M.; Deveci, F.; Turgut, T.; Öner, Ö. The Glasgow Prognostic Score and Fibrinogen to Albumin Ratio as Prognostic Factors in Hospitalized Patients with COVID-19. Expert Rev. Respir. Med. 2021, 15, 1061–1068. [Google Scholar] [CrossRef]
- Henry, B.M.; Aggarwal, G.; Wong, J.; Benoit, S.; Vikse, J.; Plebani, M.; Lippi, G. Lactate Dehydrogenase Levels Predict Coronavirus Disease 2019 (COVID-19) Severity and Mortality: A Pooled Analysis. Am. J. Emerg. Med. 2020, 38, 1722–1726. [Google Scholar] [CrossRef]
- Wang, D.; Hu, B.; Hu, C.; Zhu, F.; Liu, X.; Zhang, J.; Wang, B.; Xiang, H.; Cheng, Z.; Xiong, Y.; et al. Clinical Characteristics of 138 Hospitalized Patients With 2019 Novel Coronavirus–Infected Pneumonia in Wuhan, China. JAMA 2020, 323, 1061. [Google Scholar] [CrossRef]
- Martinez Mesa, A.; Cabrera César, E.; Martín-Montañez, E.; Sanchez Alvarez, E.; Lopez, P.M.; Romero-Zerbo, Y.; Garcia-Fernandez, M.; Velasco Garrido, J.L. Acute Lung Injury Biomarkers in the Prediction of COVID-19 Severity: Total Thiol, Ferritin and Lactate Dehydrogenase. Antioxidants 2021, 10, 1221. [Google Scholar] [CrossRef] [PubMed]
- Făgărășan, I.; Rusu, A.; Cristea, M.; Bala, C.-G.; Vulturar, D.-M.; Cristea, C.; Todea, D.-A. Predictors of New-Onset Diabetes in Hospitalized Patients with SARS-CoV-2 Infection. Int. J. Environ. Res. Public Health 2022, 19, 13230. [Google Scholar] [CrossRef] [PubMed]
- Moline, H.L.; Whitaker, M.; Deng, L.; Rhodes, J.C.; Milucky, J.; Pham, H.; Patel, K.; Anglin, O.; Reingold, A.; Chai, S.J.; et al. Effectiveness of COVID-19 Vaccines in Preventing Hospitalization Among Adults Aged ≥ 65 Years—COVID-NET, 13 States, February–April 2021. MMWR Morb. Mortal. Wkly. Rep. 2021, 70, 1088–1093. [Google Scholar] [CrossRef]
- Usul, E.; Şan, İ.; Bekgöz, B.; Şahin, A. Role of Hematological Parameters in COVID-19 Patients in the Emergency Room. Biomark. Med. 2020, 14, 1207–1215. [Google Scholar] [CrossRef] [PubMed]
- Tomo, S.; Kumar, K.P.; Roy, D.; Sankanagoudar, S.; Purohit, P.; Yadav, D.; Banerjee, M.; Sharma, P.; Misra, S. Complement Activation and Coagulopathy—An Ominous Duo in COVID-19. Expert Rev. Hematol. 2021, 14, 155–173. [Google Scholar] [CrossRef]
- Xu, P.; Zhou, Q.; Xu, J. Mechanism of Thrombocytopenia in COVID-19 Patients. Ann. Hematol. 2020, 99, 1205–1208. [Google Scholar] [CrossRef]
- Tang, N.; Li, D.; Wang, X.; Sun, Z. Abnormal Coagulation Parameters Are Associated with Poor Prognosis in Patients with Novel Coronavirus Pneumonia. J. Thromb. Haemost. 2020, 18, 844–847. [Google Scholar] [CrossRef]
- Zhang, L.; Yan, X.; Fan, Q.; Liu, H.; Liu, X.; Liu, Z.; Zhang, Z. D-dimer Levels on Admission to Predict In-hospital Mortality in Patients with COVID-19. J. Thromb. Haemost. 2020, 18, 1324–1329. [Google Scholar] [CrossRef]
- Bellos, I.; Tavernaraki, K.; Stefanidis, K.; Michalopoulou, O.; Lourida, G.; Korompoki, E.; Thanou, I.; Thanos, L.; Pefanis, A.; Argyraki, A. Chest CT Severity Score and Radiological Patterns as Predictors of Disease Severity, ICU Admission, and Viral Positivity in COVID-19 Patients. Respir. Investig. 2021, 59, 436–445. [Google Scholar] [CrossRef]
- Liao, X.; Wang, B.; Kang, Y. Novel Coronavirus Infection during the 2019–2020 Epidemic: Preparing Intensive Care Units—The Experience in Sichuan Province, China. Intensive Care Med. 2020, 46, 357–360. [Google Scholar] [CrossRef]


| Characteristics | Total Patients n = 366 | ICU n = 90 | No ICU Admittance n = 276 | |||||
|---|---|---|---|---|---|---|---|---|
| No. | % | No. | % | No. | % | p-Value | ||
| Age, years (median; Q1, Q3) | 68.5 | [23–99] | 69 | [63–75] | 68 | [60–77] | 0.627 | |
| Men, n % | 228 | 62.29 | 51 | 56.66 | 177 | 64.13 | 0.205 | |
| Comorbidities, n (%) | Obesity (BMI ≥ 30 kg/m2) | 153 | 41.8 | 83 | 92.22 | 227 | 82.24 | 0.001 |
| Hypertension | 133 | 75.4 | 70 | 77.8 | 206 | 74.6 | 0.548 | |
| Cardiovascular disease | 24 | 56.6 | 54 | 60 | 153 | 55.4 | 0.448 | |
| Diabetes mellitus | 177 | 48.4 | 44 | 48.9 | 133 | 48.2 | 0.908 | |
| Respiratory disease | 135 | 18.6 | 19 | 21.1 | 49 | 17.8 | 0.477 | |
| Disease severity | <0.0001 | |||||||
| -mild | 36 | 9.8 | 2 | 2.2 | 34 | 12.3 | ||
| -moderate | 63 | 17.2 | 4 | 4.4 | 59 | 21.4 | ||
| -severe | 266 | 72.7 | 84 | 93.4 | 182 | 65.6 | ||
| Ground-glass opacity (n, %) | 198 | 54.1 | 63 | 70.0 | 135 | 48.9 | <0.0001 | |
| TSS | <0.0001 | |||||||
| 1 | 181 | 49.6 | 31 | 34.4 | 150 | 54.5 | ||
| 2 | 82 | 22.5 | 11 | 12.2 | 71 | 25.8 | ||
| 3 | 60 | 16.4 | 23 | 25.6 | 37 | 13.5 | ||
| 4 | 42 | 11.5 | 25 | 27.8 | 17 | 6.2 | ||
| Vaccinated | 34 | 9.3 | 7 | 7.8 | 27 | 9.8 | 0.569 | |
| Mechanical ventilation | 52 | 14.2 | 49 | 54.4 | 3 | 1.1 | <0.0001 | |
| Mortality | 98 | 26.8 | 56 | 62.2 | 42 | 15.2 | <0.0001 | |
| Parameters | Total Patients n = 366 | ICU n = 90 | No ICU Admittance n = 276 | p Value | |||
|---|---|---|---|---|---|---|---|
| White blood cells ×103/L | 8.24 | [1.81–39.69] | 8.62 | [5.39–11.24] | 7.06 | [5.29–10.01] | 0.023 |
| Neutrophil count, ×103/L | 6.87 | [0.18–102.3] | 6.79 | [4.47–9.65] | 5.43 | [3.73–8.12] | 0.007 |
| Monocyte count ×103/L | 0.42 | [0.01–1.37] | 0.35 | [0.21–0.51] | 0.37 | [0.26–0.59] | 0.084 |
| Lymphocyte count, ×103/L | 1.35 | [0.1–54] | 0.84 | [0.64–1.15] | 1.02 | [0.74–1.51] | 0.001 |
| Eosinophil count, ×103/L | 0.17 | [0–1.98] | 0 | [0–0.01] | 0.005 | [0–0.107] | 0.001 |
| Platelets count, ×103/L | 245.7 | [34.7–634] | 205 | [159.75–282.25] | 230.50 | [174.25–308.25] | 0.049 |
| D-dimer, µg/mL | 1429.79 | [0.08–39698] | 807 | [434.5–1852.5] | 539.5 | [321–940] | 0.001 |
| Fibrinogen, mg/dL | 412.65 | [317.77–507.95] | 415 | [314.5–496.25] | 412.65 | [318.05–513.07] | 0.323 |
| Albumin, g/mL | 3.30 | [3.06–3.69] | 3.27 | [3.14–3.72] | 3.33 | [2.96–3.67] | 0.262 |
| Troponin, ng/mL | 0.85 | [0.05–5.70] | 0.50 | [0.05–1.20] | 1.03 | [0.06–1.30] | 0.011 |
| NT-proBNP | 2148.36 | [50–12931] | 941 | [50–4253] | 742 | [112.25–3082.75] | 0.945 |
| INR | 1.06 | [0.82–1.65] | 1.01 | [0.93–1.14] | 1.01 | [0.91–1.16] | 0.613 |
| aPTT (s) | 24.02 | [17.2–34.9] | 27 | [22.1–29.2] | 22.1 | [18.85–25.25] | 0.110 |
| Prothrombin time (s) | 11.4 | [8.1–17.2P] | 11.8 | [9.3–17.1] | 11.3 | [8.1–17.2] | 0.842 |
| PLR | 281.58 | [4.82–1754.54] | 253.9 | [164.05–345.1] | 214.96 | [143.26–356.78] | 0.098 |
| Fbg/Alb | 131.17 | [48.23–342.58] | 120.08 | [90.29–149.44] | 123.36 | [96.51–163.51] | 0.265 |
| P/Alb | 66.66 | [50.33–98.05] | 60.99 | [47.98–85.24] | 67.77 | [51.81–103.09] | 0.031 |
| Model 1 a | Model 2 b | |||||
|---|---|---|---|---|---|---|
| Variables | Univariable OR (95%CI) | p-Value | Multivariable OR (95% CI) | p-Value | Multivariable OR (95% CI) | p-Value |
| CRP | 1.006 (1.003–1.009) | <0.0001 | 1.010 (0.985–1.035) | 0.427 | 0.096 (0.965–1.027) | 0.794 |
| IL-6 | 1.013 (1.002–1.023) | 0.017 | 1.014 (1.000–1.027) | 0.044 | 1.014 (0.999–1.030) | 0.070 |
| Ferritin | 1.000 (1.000–1.000) | 0.006 | 1.000 (0.999–1.000) | 0.348 | 1.000 (0.999–1.000) | 0.328 |
| LDH | 1.002 (1.001–1.002) | <0.0001 | 1.002 (1.000–1.003) | 0.083 | 1.002 (1.000–1.005) | 0.044 |
| D-dimer | 1.000 (1.000–1.000) | 0.091 | - | - | - | - |
| SII | 1.000 (1.000–1.000) | 0.007 | 1.000 (1.000–1.001) | 0.347 | 1.000 (0.999–1.001) | 0.572 |
| SIRI | 1.053 (1.006–1.103) | 0.028 | 0.950 (0.752–1.199) | 0.666 | 1.073 (0.807–1.428) | 0.628 |
| NLR | 1.074 (1.036–1.112) | <0.0001 | 1.052 (0.881–1.255) | 0.576 | 1.062 (0.864–1.305) | 0.569 |
| CRP/Alb | 1.014 (1.004–1.024) | 0.008 | 0.988 (0.921–1.060) | 0.735 | 1.035 (0.945–1.135) | 0.457 |
| P/Alb | 0.993 (0.986–1.000) | 0.044 | 0.979 (0.951–1.008) | 0.161 | 0.973 (0.939–1.009) | 0.136 |
| Model 1 a | Model 2 b | |||||
|---|---|---|---|---|---|---|
| Variables | Univariable OR (95%CI) | p-Value | Multivariable OR (95%CI) | p-Value | Multivariable OR (95% CI) | p-Value |
| CRP | 1.007 (1.001–1.012) | 0.014 | 1.003 (0.996–1.010) | 0.376 | 1.000 (0.989–1.011) | 0.976 |
| IL-6 | 1.022 (1.004–1.041) | 0.019 | 1.016 (0.996–1.036) | 0.118 | 1.028 (1.002–1.055) | 0.034 |
| Ferritin | 1.000 (1.000–1.001) | 0.011 | 1.000 (0.999–1.001) | 0.938 | 1.000 (0.999–1.001) | 0.908 |
| LDH | 1.002 (1.001–1.004) | <0.0001 | 1.002 (0.999–1.004) | 0.147 | 1.003 (0.999–1.006) | 0.128 |
| D-dimer | 1.000 (1.000–1.000) | 0.297 | - | - | - | - |
| SII | 1.000 (1.000–1.000) | 0.061 | - | - | - | - |
| SIRI | 1.026 (0.968–1.088) | 0.383 | - | - | - | - |
| NLR | 1.070 (1.015–1.128) | 0.011 | 1.120 (1.011–1.241) | 0.029 | 1.228 (1.045–1.443) | 0.013 |
| CRP/Alb | 1.011 (0.998–1.024) | 0.091 | - | - | - | - |
| P/Alb | 0.993 (0.984–1.002) | 0.134 | - | - | - | - |
| Model 1 a | Model 2 b | |||||
|---|---|---|---|---|---|---|
| Variables | Univariable OR (95%CI) | p-Value | Multivariable OR (95%CI) | p-Value | Multivariable OR (95% CI) | p-Value |
| CRP | 1.005 (1.001–1.010) | 0.017 | 1.015 (0.986–1.045) | 0.318 | 1.026 (0.987–1.067) | 0.193 |
| IL-6 | 1.006 (0.994–1.019) | 0.323 | - | - | - | - |
| Ferritin | 1.000 (1.000–1.000) | 0.059 | - | - | - | - |
| LDH | 1.001 (1.000–1.002) | 0.149 | - | - | - | - |
| D-dimer | 1.000 (1.000–1.000) | 0.033 | 1.000 (1.000–1.000) | 0.246 | 1.000 (1.000–1.001) | 0.113 |
| SII | 1.000 (1.000–1.000) | 0.049 | 1.000 (0.999–1.000) | 0.281 | 1.000 (0.999–1.000) | 0.459 |
| SIRI | 1.092 (1.012–1.179) | 0.024 | 1.071 (0.908–1.265) | 0.414 | 1.088 (0.889–1.332) | 0.412 |
| NLR | 1.076 (1.026–1.129) | 0.003 | 1.090 (0.998–1.190) | 0.056 | 1.080 (0.967–1.206) | 0.172 |
| CRP/Alb | 1.017 (1.002–1.033) | 0.028 | 0.962 (0.869–1.065) | 0.457 | 0.932 (0.812–1.069) | 0.315 |
| P/Alb | 0.991 (0.980–1.002) | 0.123 | - | - | - | - |
Disclaimer/Publisher’s Note: The statements, opinions and data contained in all publications are solely those of the individual author(s) and contributor(s) and not of MDPI and/or the editor(s). MDPI and/or the editor(s) disclaim responsibility for any injury to people or property resulting from any ideas, methods, instructions or products referred to in the content. |
© 2023 by the authors. Licensee MDPI, Basel, Switzerland. This article is an open access article distributed under the terms and conditions of the Creative Commons Attribution (CC BY) license (https://creativecommons.org/licenses/by/4.0/).
Share and Cite
Făgărășan, I.; Rusu, A.; Comșa, H.; Simu, T.-D.; Vulturar, D.-M.; Todea, D.-A. IL-6 and Neutrophil/Lymphocyte Ratio as Markers of ICU Admittance in SARS-CoV-2 Patients with Diabetes. Int. J. Mol. Sci. 2023, 24, 14908. https://doi.org/10.3390/ijms241914908
Făgărășan I, Rusu A, Comșa H, Simu T-D, Vulturar D-M, Todea D-A. IL-6 and Neutrophil/Lymphocyte Ratio as Markers of ICU Admittance in SARS-CoV-2 Patients with Diabetes. International Journal of Molecular Sciences. 2023; 24(19):14908. https://doi.org/10.3390/ijms241914908
Chicago/Turabian StyleFăgărășan, Iulia, Adriana Rusu, Horațiu Comșa, Tudor-Dan Simu, Damiana-Maria Vulturar, and Doina-Adina Todea. 2023. "IL-6 and Neutrophil/Lymphocyte Ratio as Markers of ICU Admittance in SARS-CoV-2 Patients with Diabetes" International Journal of Molecular Sciences 24, no. 19: 14908. https://doi.org/10.3390/ijms241914908
APA StyleFăgărășan, I., Rusu, A., Comșa, H., Simu, T.-D., Vulturar, D.-M., & Todea, D.-A. (2023). IL-6 and Neutrophil/Lymphocyte Ratio as Markers of ICU Admittance in SARS-CoV-2 Patients with Diabetes. International Journal of Molecular Sciences, 24(19), 14908. https://doi.org/10.3390/ijms241914908

