Impact of Induction Immunosuppressants on T Lymphocyte Subsets after Kidney Transplantation: A Prospective Observational Study with Focus on Anti-Thymocyte Globulin and Basiliximab Induction Therapies
Abstract
1. Introduction
2. Results
2.1. Comparison of Baseline Characteristics According to Induction Therapy
2.2. Clinical Outcomes According to Induction Therapy
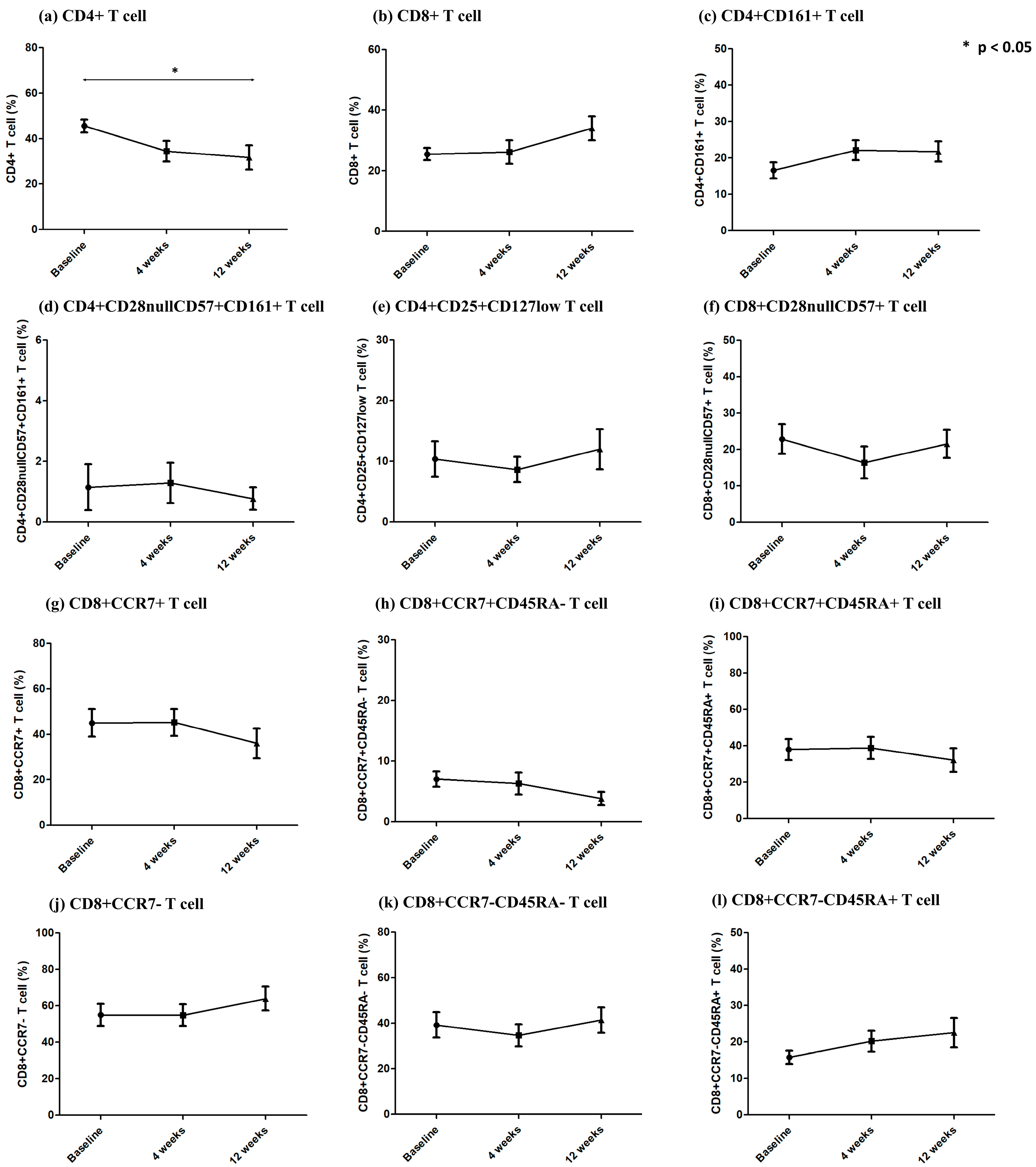
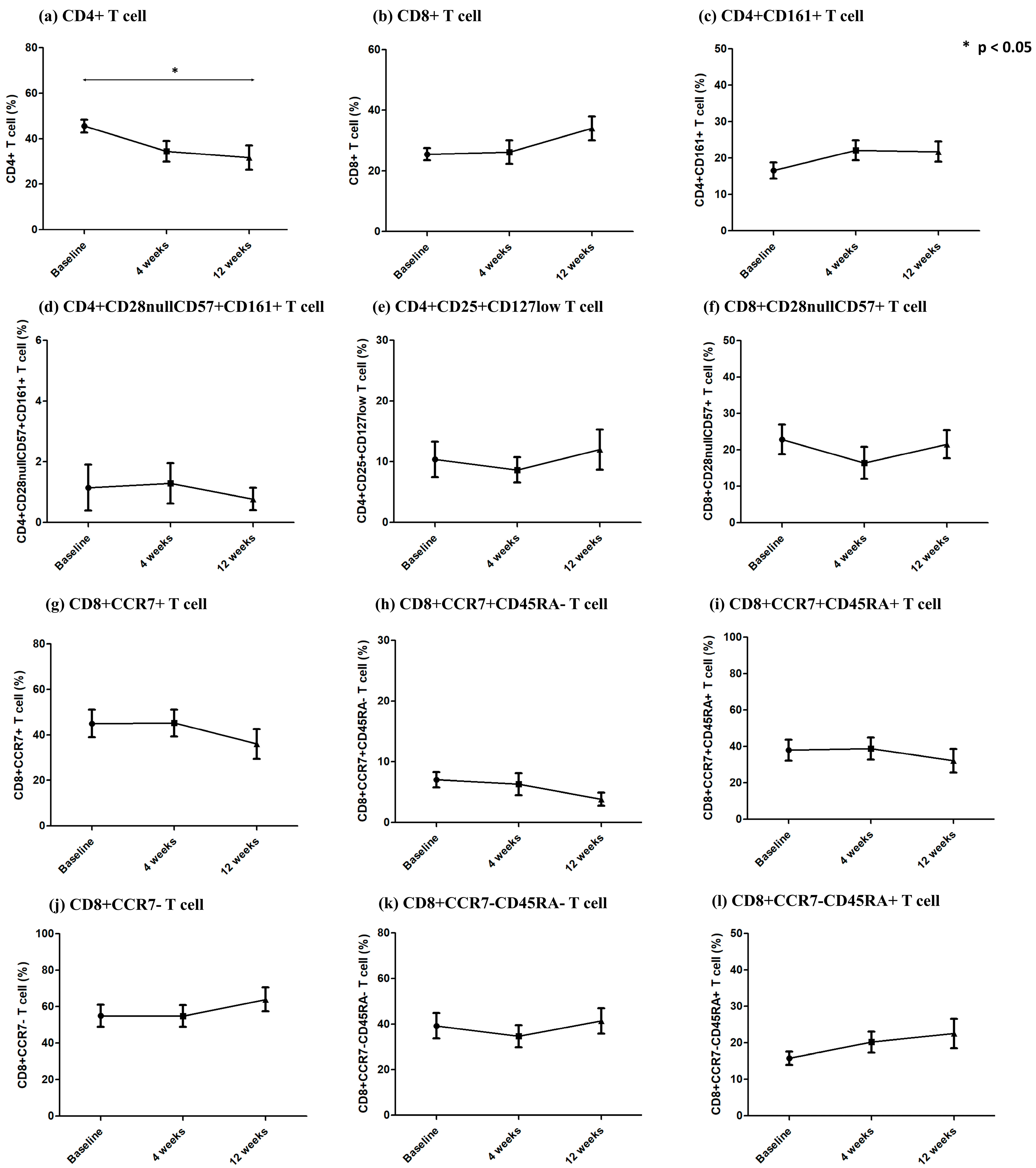
2.3. Comparison of Changes in CD4+ T Cell Subsets according to Induction Therapy
2.4. Comparison of Changes in CD8+ T Cell Subsets according to Induction Therapy
2.5. Changes in T Cell Subsets in Patients with BPAR
3. Discussion
4. Materials and Methods
4.1. Study Population
4.2. Flow-Cytometric Analysis of Peripheral Blood Lymphocytes
4.3. Clinical Parameters
4.4. Statistical Analyses
5. Conclusions
Supplementary Materials
Author Contributions
Funding
Institutional Review Board Statement
Informed Consent Statement
Data Availability Statement
Conflicts of Interest
References
- Kasiske, B.L.; Zeier, M.G.; Chapman, J.R.; Craig, J.C.; Ekberg, H.; Garvey, C.A.; Green, M.D.; Jha, V.; Josephson, M.A.; Kiberd, B.A.; et al. KDIGO clinical practice guideline for the care of kidney transplant recipients: A summary. Kidney Int. 2010, 77, 299–311. [Google Scholar] [CrossRef] [PubMed]
- Wang, K.; Xu, X.; Fan, M. Induction therapy of basiliximab versus antithymocyte globulin in renal allograft: A systematic review and meta-analysis. Clin. Exp. Nephrol. 2018, 22, 684–693. [Google Scholar] [CrossRef] [PubMed]
- Jeong, E.S.; Lee, K.W.; Kim, S.J.; Yoo, H.J.; Kim, K.A.; Park, J.B. Comparison of clinical outcomes of deceased donor kidney transplantations, with a focus on three induction therapies. Korean J. Transplant. 2019, 33, 118–127. [Google Scholar] [CrossRef] [PubMed]
- Park, Y.; Ko, E.J.; Chung, B.H.; Yang, C.W. Kidney transplantation in highly sensitized recipients. Kidney Res. Clin. Pract. 2021, 40, 355–370. [Google Scholar] [CrossRef] [PubMed]
- Lim, J.-H.; Lee, G.Y.; Jeon, Y.; Jung, H.-Y.; Choi, J.-Y.; Cho, J.-H.; Park, S.-H.; Kim, Y.-L.; Kim, H.-K.; Huh, S.; et al. Elderly kidney transplant recipients have favorable outcomes but increased infection-related mortality. Kidney Res. Clin. Pract. 2022, 41, 372–383. [Google Scholar] [CrossRef]
- Lee, H.S.; Kang, M.; Kim, B.; Park, Y. Outcomes of kidney transplantation over a 16-year period in Korea: An analysis of the National Health Information Database. PLoS ONE 2021, 16, e0247449. [Google Scholar] [CrossRef] [PubMed]
- Kapic, E.; Becic, F.; Kusturica, J. Basiliximab, mechanism of action and pharmacological properties. Med. Arh. 2004, 58, 373–376. [Google Scholar] [PubMed]
- Mohty, M. Mechanisms of action of antithymocyte globulin: T-cell depletion and beyond. Leukemia 2007, 21, 1387–1394. [Google Scholar] [CrossRef]
- Choi, B.Y.; Park, S.C. Comparison of prognosis at different level of antithymocyte globulin in kidney transplantation. Korean J. Transplant. 2021, 35, 113. [Google Scholar] [CrossRef]
- Gill, J.; Sampaio, M.; Gill, J.S.; Dong, J.; Kuo, H.T.; Danovitch, G.M.; Bunnapradist, S. Induction immunosuppressive therapy in the elderly kidney transplant recipient in the United States. Clin. J. Am. Soc. Nephrol. 2011, 6, 1168–1178. [Google Scholar] [CrossRef]
- Yang, S.L.; Wang, D.; Wu, W.Z.; Lin, W.H.; Xu, T.Z.; Cai, J.Q.; Tan, J.M. Comparison of single bolus ATG and Basiliximab as induction therapy in presensitized renal allograft recipients receiving tacrolimus-based immunosuppressive regimen. Transpl. Immunol. 2008, 18, 281–285. [Google Scholar] [CrossRef] [PubMed]
- Kim, K.W.; Kim, B.M.; Doh, K.C.; Cho, M.L.; Yang, C.W.; Chung, B.H. Clinical significance of CCR7(+)CD8(+) T cells in kidney transplant recipients with allograft rejection. Sci. Rep. 2018, 8, 8827. [Google Scholar] [CrossRef] [PubMed]
- Kang, H.; Yoo, J.; Lee, S.Y.; Oh, E.J. Causes of Positive Pretransplant Crossmatches in the Absence of Donor-Specific Anti-Human Leukocyte Antigen Antibodies: A Single-Center Experience. Ann. Lab. Med. 2021, 41, 429–435. [Google Scholar] [CrossRef] [PubMed]
- Ko, E.J.; Seo, J.W.; Kim, K.W.; Kim, B.M.; Cho, J.H.; Kim, C.D.; Seok, J.; Yang, C.W.; Lee, S.H.; Chung, B.H. Phenotype and molecular signature of CD8+ T cell subsets in T cell- mediated rejections after kidney transplantation. PLoS ONE 2020, 15, e0234323. [Google Scholar] [CrossRef] [PubMed]
- Shaw, B.I.; Lee, H.J.; Chan, C.; Ettenger, R.; Grimm, P.; Pearl, M.; Reed, E.F.; Robien, M.A.; Sarwal, M.; Stempora, L.; et al. Relationship between antithymocyte globulin, T cell phenotypes, and clinical outcomes in pediatric kidney transplantation. Am. J. Transplant 2021, 21, 766–775. [Google Scholar] [CrossRef] [PubMed]
- Michallet, M.C.; Preville, X.; Flacher, M.; Fournel, S.; Genestier, L.; Revillard, J.P. Functional antibodies to leukocyte adhesion molecules in antithymocyte globulins. Transplantation 2003, 75, 657–662. [Google Scholar] [CrossRef]
- Loong, C.C.; Lin, C.Y.; Lui, W.Y. Expression of interleukin-17 as a predictive parameter in acute renal allograft rejection. Transplant Proc. 2000, 32, 1773. [Google Scholar] [CrossRef]
- Hsieh, H.G.; Loong, C.C.; Lui, W.Y.; Chen, A.; Lin, C.Y. IL-17 expression as a possible predictive parameter for subclinical renal allograft rejection. Transpl. Int. 2001, 14, 287–298. [Google Scholar] [CrossRef]
- Mitchell, P.; Afzali, B.; Lombardi, G.; Lechler, R.I. The T helper 17-regulatory T cell axis in transplant rejection and tolerance. Curr. Opin. Organ Transplant 2009, 14, 326–331. [Google Scholar] [CrossRef]
- Loverre, A.; Tataranni, T.; Castellano, G.; Divella, C.; Battaglia, M.; Ditonno, P.; Corcelli, M.; Mangino, M.; Gesualdo, L.; Schena, F.P.; et al. IL-17 expression by tubular epithelial cells in renal transplant recipients with acute antibody-mediated rejection. Am. J. Transplant 2011, 11, 1248–1259. [Google Scholar] [CrossRef]
- Shimony, O.; Nagler, A.; Gellman, Y.N.; Refaeli, E.; Rosenblum, N.; Eshkar-Sebban, L.; Yerushalmi, R.; Shimoni, A.; Lytton, S.D.; Stanevsky, A.; et al. Anti-T lymphocyte globulin (ATG) induces generation of regulatory T cells, at least part of them express activated CD44. J. Clin. Immunol. 2012, 32, 173–188. [Google Scholar] [CrossRef] [PubMed]
- Huang, D.L.; He, Y.R.; Liu, Y.J.; He, H.Y.; Gu, Z.Y.; Liu, Y.M.; Liu, W.J.; Luo, Z.; Ju, M.J. The immunomodulation role of Th17 and Treg in renal transplantation. Front. Immunol. 2023, 14, 1113560. [Google Scholar] [CrossRef] [PubMed]
- Kim, S.H.; Oh, E.J.; Ghee, J.Y.; Song, H.K.; Han, D.H.; Yoon, H.E.; Choi, B.S.; Yoon, S.K.; Choi, J.Y.; Moon, I.S.; et al. Clinical significance of monitoring circulating CD4+CD25+ regulatory T cells in kidney transplantation during the early posttransplant period. J. Korean Med. Sci. 2009, 24 (Suppl. 1), S135–S142. [Google Scholar] [CrossRef] [PubMed]
- Madhur, M.S.; Harrison, D.G. Senescent T cells and hypertension: New ideas about old cells. Hypertension 2013, 62, 13–15. [Google Scholar] [CrossRef] [PubMed]
- Louis, S.; Audrain, M.; Cantarovich, D.; Schaffrath, B.; Hofmann, K.; Janssen, U.; Ballet, C.; Brouard, S.; Soulillou, J.-P. Long-Term Cell Monitoring of Kidney Recipients after an Antilymphocyte Globulin Induction with and without Steroids. Transplantation 2007, 83, 712–721. [Google Scholar] [CrossRef] [PubMed]
- van de Berg, P.J.; Hoevenaars, E.C.; Yong, S.L.; van Donselaar-van der Pant, K.A.; van Tellingen, A.; Florquin, S.; van Lier, R.A.; Bemelman, F.J.; ten Berge, I.J. Circulating lymphocyte subsets in different clinical situations after renal transplantation. Immunology 2012, 136, 198–207. [Google Scholar] [CrossRef] [PubMed]
- Roufosse, C.; Simmonds, N.; Clahsen-van Groningen, M.; Haas, M.; Henriksen, K.J.; Horsfield, C.; Loupy, A.; Mengel, M.; Perkowska-Ptasińska, A.; Rabant, M.; et al. A 2018 Reference Guide to the Banff Classification of Renal Allograft Pathology. Transplantation 2018, 102, 1795–1814. [Google Scholar] [CrossRef]





| ATG (n = 62) | BXM (n = 95) | p-Value | |
|---|---|---|---|
| Age (years) | 50.1 ± 10.9 | 46.6 ± 11.7 | 0.061 |
| Male, n (%) | 34 (54.8) | 59 (56.3) | 0.408 |
| Donor age (years) | 48.1 ± 11.8 | 47.5 ± 11.5 | 0.748 |
| Donor type (LD), n (%) | 60 (96.8) | 93 (97.9) | 0.663 |
| Primary disease, n (%) | 0.053 | ||
| DM | 12 (19.4) | 30 (31.6) | |
| HTN | 9 (14.5) | 12 (12.6) | |
| CGN | 22 (35.5) | 32 (33.7) | |
| PCKD | 3 (4.8) | 9 (9.5) | |
| Others | 4 (6.5) | 7 (7.4) | |
| Unknown | 12 (19.4) | 5 (5.3) | |
| HLA mismatch number | 3.47 ± 1.65 | 3.15 ± 1.65 | 0.238 |
| PRA-positive, n (%) | 36 (58.1) | 37 (38.9) | 0.022 |
| PRA Class I | 29.1 ± 39.3 | 12.3 ± 26.5 | 0.002 |
| PRA Class II | 38.3 ± 43.9 | 12.0 ± 27.2 | <0.001 |
| DS-HLA antibody, n (%) | 23 (37.1) | 12 (12.6) | <0.001 |
| Rituximab use, n (%) | 58 (93.5) | 28 (29.5) | <0.001 |
| ATG (n = 62) | BXM (n = 95) | p-Value | |
|---|---|---|---|
| BPAR, n (%) | 3 (4.8) | 10 (10.5) | 0.206 |
| ATCMR, n (%) | 2 (3.2) | 10 (10.5) | 0.127 |
| AABMR, n (%) | 2 (3.2) | 0 (0) | 0.154 |
| CMV infection, n (%) | 0 (0) | 0 (0) | N/A |
| BK viremia, n (%) | 2 (3.2) | 11 (11.6) | 0.063 |
| Graft failure, n (%) | 0 (0) | 2 (2.1) | 0.519 |
| ATG (n = 62) | BXM (n = 95) | p-Value | |
|---|---|---|---|
| CD4+ T cell (%) | |||
| Baseline | 47.2 ± 11.7 | 44.4 ± 9.9 | 0.139 |
| 4 weeks after KT | 21.5 ± 17.0 | 41.4 ± 13.1 | <0.001 |
| 12 weeks after KT | 22.3 ± 16.0 | 42.9 ± 14.1 | <0.001 |
| CD8+ T cell (%) | |||
| Baseline | 27.2 ± 10.4 | 24.9 ± 8.7 | 0.171 |
| 4 weeks after KT | 26.8 ± 13.3 | 25.3 ± 9.5 | 0.496 |
| 12 weeks after KT | 38.8 ± 18.2 | 28.0 ± 10.1 | <0.001 |
| CD4+CD161+ T cell (%) | |||
| Baseline | 18.9 ± 8.0 | 16.9 ± 8.6 | 0.167 |
| 4 weeks after KT | 29.0 ± 11.6 | 21.0 ± 8.8 | <0.001 |
| 12 weeks after KT | 25.2 ± 9.8 | 18.8 ± 9.0 | <0.001 |
| CD4+CD28nullCD57+CD161+ T cell (%) | |||
| Baseline | 0.9 ± 1.2 | 1.0 ± 2.3 | 0.704 |
| 4 weeks after KT | 0.5 ± 0.9 | 1.0 ± 1.7 | 0.054 |
| 12 weeks after KT | 1.1 ± 1.9 | 1.0 ± 1.8 | 0.695 |
| CD8+CD28nullCD57+ T cell (%) | |||
| Baseline | 33.4 ± 15.2 | 22.3 ± 15.9 | <0.001 |
| 4 weeks after KT | 26.9 ± 16.2 | 23.9 ± 15.0 | 0.267 |
| 12 weeks after KT | 34.4 ± 17.8 | 22.9 ± 14.4 | <0.001 |
| CD4+CD25+CD127low T cell (%) | |||
| Baseline | 7.8 ± 9.5 | 7.3 ± 8.3 | 0.700 |
| 4 weeks after KT | 10.0 ± 11.0 | 7.5 ± 10.8 | 0.158 |
| 12 weeks after KT | 11.6 ± 9.2 | 9.2 ± 10.8 | 0.160 |
| CD8+CCR7+ T cell (%) | |||
| Baseline | 34.8 ± 20.1 | 42.5 ± 19.5 | 0.018 |
| 4 weeks after KT | 27.1 ± 20.9 | 37.4 ± 21.2 | 0.003 |
| 12 weeks after KT | 20.6 ± 17.3 | 33.6 ± 19.8 | <0.001 |
| CD8+CCR7+CD45RA+ T cell (%) | |||
| Baseline | 26.9 ± 18.0 | 32.6 ± 17.1 | 0.051 |
| 4 weeks after KT | 23.6 ± 18.7 | 28.8 ± 17.7 | 0.082 |
| 12 weeks after KT | 16.8 ± 15.5 | 27.2 ± 17.4 | <0.001 |
| CD8+CCR7+CD45RA- T cell (%) | |||
| Baseline | 7.8 ± 9.9 | 9.9 ± 11.2 | 0.234 |
| 4 weeks after KT | 3.5 ± 3.6 | 8.6 ± 12.5 | <0.001 |
| 12 weeks after KT | 3.8 ± 3.6 | 6.4 ± 10.0 | 0.022 |
| CD8+CCR7- T cell (%) | |||
| Baseline | 65.2 ± 20.1 | 57.4 ± 19.5 | 0.018 |
| 4 weeks after KT | 72.8 ± 20.9 | 63.3 ± 20.7 | 0.006 |
| 12 weeks after KT | 79.3 ± 17.3 | 66.3 ± 19.8 | <0.001 |
| CD8+CCR7-CD45RA+ T cell (%) | |||
| Baseline | 23.3 ± 12.8 | 16.3 ± 10.1 | <0.001 |
| 4 weeks after KT | 29.8 ± 15.6 | 20.1 ± 12.2 | <0.001 |
| 12 weeks after KT | 30.0 ± 16.4 | 22.4 ± 14.6 | 0.003 |
| CD8+CCR7-CD45RA- T cell (%) | |||
| Baseline | 41.8 ± 17.2 | 41.1 ± 17.9 | 0.800 |
| 4 weeks after KT | 42.9 ± 15.9 | 43.2 ± 18.4 | 0.927 |
| 12 weeks after KT | 49.3 ± 18.1 | 43.8 ± 18.8 | 0.074 |
Disclaimer/Publisher’s Note: The statements, opinions and data contained in all publications are solely those of the individual author(s) and contributor(s) and not of MDPI and/or the editor(s). MDPI and/or the editor(s) disclaim responsibility for any injury to people or property resulting from any ideas, methods, instructions or products referred to in the content. |
© 2023 by the authors. Licensee MDPI, Basel, Switzerland. This article is an open access article distributed under the terms and conditions of the Creative Commons Attribution (CC BY) license (https://creativecommons.org/licenses/by/4.0/).
Share and Cite
Kim, H.D.; Bae, H.; Yun, S.; Lee, H.; Eum, S.H.; Yang, C.W.; Oh, E.-J.; Chung, B.H. Impact of Induction Immunosuppressants on T Lymphocyte Subsets after Kidney Transplantation: A Prospective Observational Study with Focus on Anti-Thymocyte Globulin and Basiliximab Induction Therapies. Int. J. Mol. Sci. 2023, 24, 14288. https://doi.org/10.3390/ijms241814288
Kim HD, Bae H, Yun S, Lee H, Eum SH, Yang CW, Oh E-J, Chung BH. Impact of Induction Immunosuppressants on T Lymphocyte Subsets after Kidney Transplantation: A Prospective Observational Study with Focus on Anti-Thymocyte Globulin and Basiliximab Induction Therapies. International Journal of Molecular Sciences. 2023; 24(18):14288. https://doi.org/10.3390/ijms241814288
Chicago/Turabian StyleKim, Hyung Duk, Hyunjoo Bae, Sojeong Yun, Hanbi Lee, Sang Hun Eum, Chul Woo Yang, Eun-Jee Oh, and Byung Ha Chung. 2023. "Impact of Induction Immunosuppressants on T Lymphocyte Subsets after Kidney Transplantation: A Prospective Observational Study with Focus on Anti-Thymocyte Globulin and Basiliximab Induction Therapies" International Journal of Molecular Sciences 24, no. 18: 14288. https://doi.org/10.3390/ijms241814288
APA StyleKim, H. D., Bae, H., Yun, S., Lee, H., Eum, S. H., Yang, C. W., Oh, E.-J., & Chung, B. H. (2023). Impact of Induction Immunosuppressants on T Lymphocyte Subsets after Kidney Transplantation: A Prospective Observational Study with Focus on Anti-Thymocyte Globulin and Basiliximab Induction Therapies. International Journal of Molecular Sciences, 24(18), 14288. https://doi.org/10.3390/ijms241814288

