Next Article in Journal
Human Prune Regulates the Metabolism of Mammalian Inorganic Polyphosphate and Bioenergetics
Next Article in Special Issue
Astrochemically Relevant Radicals and Radical–Molecule Complexes: A New Insight from Matrix Isolation
Previous Article in Journal
The Presence of Pre-Existing Endometriotic Lesions Promotes the Growth of New Lesions in the Peritoneal Cavity
Previous Article in Special Issue
Preparation of Xanthene-TEMPO Dyads: Synthesis and Study of the Radical Enhanced Intersystem Crossing
 
 
Font Type:
Arial Georgia Verdana
Font Size:
Aa Aa Aa
Line Spacing:
Column Width:
Background:
Article

Marcus Cross-Relationship Probed by Time-Resolved CIDNP

by
Maksim P. Geniman
1,2,
Olga B. Morozova
1,
Nikita N. Lukzen
1,2,
Günter Grampp
3 and
Alexandra V. Yurkovskaya
1,2,*
1
International Tomography Center SB RAS, 630090 Novosibirsk, Russia
2
Department of Natural Sciences, Novosibirsk State University, 630090 Novosibirsk, Russia
3
Institute of Physical and Theoretical Chemistry, Graz University of Technology, Stremayrgasse, 9, A-8010 Graz, Austria
*
Author to whom correspondence should be addressed.
Int. J. Mol. Sci. 2023, 24(18), 13860; https://doi.org/10.3390/ijms241813860
Submission received: 9 August 2023 / Revised: 4 September 2023 / Accepted: 5 September 2023 / Published: 8 September 2023
(This article belongs to the Special Issue Recent Advances in Free Radicals, Radical Ions and Radical Pairs)

Abstract

The time-resolved CIDNP method can provide information about degenerate exchange reactions (DEEs) involving short-lived radicals. In the temperature range from 8 to 65 °C, the DEE reactions of the guanosine-5′-monophosphate anion GMP(-H) with the neutral radical GMP(-H), of the N-acetyl tyrosine anion N-AcTyrO with a neutral radical N-AcTyrO, and of the tyrosine anion TyrO with a neutral radical TyrO were studied. In all the studied cases, the radicals were formed in the reaction of quenching triplet 2,2′-dipyridyl. The reorganization energies were obtained from Arrhenius plots. The rate constant of the reductive electron transfer reaction in the pair GMP(-H)/TyrO was determined at T = 25 °C. Rate constants of the GMP(-H) radical reduction reactions with TyrO and N-AcTyrO anions calculated by the Marcus cross-relation differ from the experimental ones by two orders of magnitude. The rate constants of several other electron transfer reactions involving GMP(-H)/GMP(-H), N-AcTyrO/N-AcTyrO, and TyrO/TyrO pairs calculated by cross-relation agree well with the experimental values. The rate of nuclear paramagnetic relaxation was found for the 3,5 and β-protons of TyrO and N-AcTyrO, the 8-proton of GMP(-H), and the 3,4-protons of DPH at each temperature. In all cases, the dependences of the rate of nuclear paramagnetic relaxation on temperature are described by the Arrhenius dependence.

1. Introduction

The kinetics of electron transfer reactions are described by Marcus theory [1]. According to this theory, the rate constant of the electron transfer reaction is expressed as
k 12 = A 12 e x p λ + Δ G 0 2 4 λ R T
where λ is the reorganization energy, and ΔG0 is the driving force of the reaction.
The electron transfer reaction is called degenerate if the donor and acceptor differ by only one electron. Degenerate reactions of electron exchange constitute a special section of Marcus theory, because the rate constant k12 and the reorganization energy λ12 of an arbitrary electron transfer reaction can be estimated through the equilibrium constant of the cross-reaction K12 and the rate constants k11, k22 and the reorganization energies λ11, λ22 of the corresponding degenerate electron exchange (DEE) reactions [1]:
λ 12 = λ 11 + λ 22 2
k 12 = k 11 k 22 K 12 f 12
l n f 12 = l n 2 K 12 4 l n k 11 k 22 A 11 A 22
where A11, A22 are the pre-exponents of the DEE rate constants. If both reactants are charged, the terms should be added to Equations (3) and (4) to account for the work of bringing the charged particles closer together.
Equations (2)–(4) are used to estimate the DEE rate constants if the cross-reaction rate constant and one of the DEE rate constants are known [2,3,4]. When the rate constants are known only at a single temperature, then A11 = A22 = 1011 M−1s−1 is often assumed, which introduces an error in the value being determined.
The purpose of this work is to probe the applicability of the Marcus cross-relation, with better accuracy provided through knowledge of the temperature dependences of the corresponding DEE rate constants. In this case, the value of the rate constant of reductive electron transfer to short-lived radicals calculated from the cross-relation does not contain errors due to the uncertainty of the pre-exponent values of the DEE rate constants, since the latter are determined from the temperature dependences of the rates.
To test the Marcus cross-relation, we chose the reduction reactions of the short-lived radicals of guanosine-5′-monophosphate, GMP(-H), by tyrosine (TyrO) and N-acetyl tyrosine (N-AcTyrO) anions. The DEE reactions cannot be studied using optical methods, since there is no change of reactant concentration in course of the reaction; thus, the total optical density does not change. The methods for studying DEE reactions between stable reactants (transitional metal complexes in different oxidation states; long-lived radicals with the corresponding diamagnetic molecules) usually employ modification one of the reactants. Such methods include the use of deuterated ligands [5], optical isomers [6], and radioactive isotopes [7]. These methods are not suitable for studying DEE involving short-lived radicals. The DEE reactions between stable reagents can also be studied using line broadening in the EPR spectrum [8,9,10,11] or in NMR spectra [12,13,14]. These methods are also not applicable to short-lived radicals, where the lifetime of the radicals is so short that it is impossible to record their EPR or NMR spectra under normal conditions.
The photo-induced time-resolved chemical-induced nuclear polarization (tr-CIDNP) method [15,16,17,18,19,20,21,22,23] fortunately makes it possible to study degenerate exchange reactions involving short-lived radical intermediates [24,25,26]. It is an indirect method of radical intermediate detection using short laser pulses via quantitative analysis of anomalous enhancement or emission of NMR lines of the diamagnetic reaction products and their dependence on time after a laser pulse.
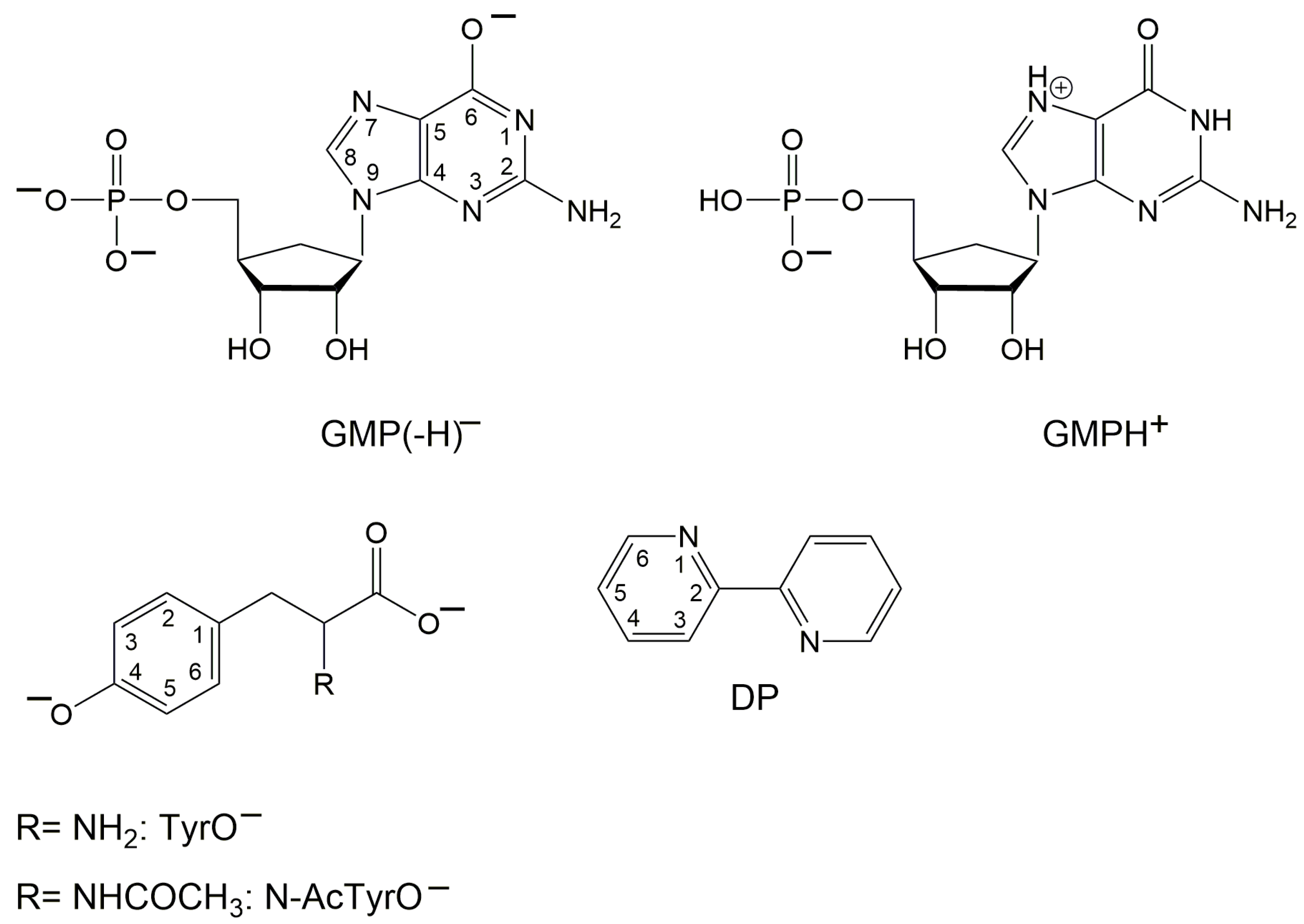
The reduction reaction of the neutral radical GMP(-H) by the anions of tyrosine TyrO and N-acetyltyrosine N-AcTyrO was studied using the tr-CIDNP method; dipyridyl (DP) was used as a dye. The CIDNP kinetics for the systems GMP + DP [27], N-AcTyrOH + DP [28], and GMP + N-AcTyrOH + DP [29] were previously studied at t = 25 °C in a wide pH range. The temperature dependence for the DEE rate constant in the GMPH+/GMPH•++ pair was also measured previously [30]. In the temperature range of 8–65 °C we measured the DEE rate constants in the pairs GMP(-H)/GMP(-H), TyrO/TyrO, and N-AcTyrO/N-AcTyrO. From these temperature dependences of the rate constants, the reorganization energies were determined; with use of these values and the Marcus cross-relation, the rate constants of the GMP(-H) radical reduction reaction by TyrO and N-AcTyrO anions were calculated. We compared the calculated rate constants with the electron transfer reaction rate constant for GMP(-H) + TyrO as measured at t = 25 °C and the previously determined reaction rate constant for the reactants GMP(-H) + N-AcTyrO [29]. The structures of the studied diamagnetic particles GMP(-H), N-AcTyrO, TyrO, and DP as well as the previously studied GMPH+ are shown in Figure 1.

2. Results

2.1. Mechanism of the CIDNP Effect

The CIDNP spectra recorded during irradiation of solutions containing DP + GMP(-H) and DP + TyrO with signal attribution are shown in Figure 2. The spectra were recorded with zero delay after the laser pulse, without an internal standard; the dependence of water chemical shifts on temperature was used δ(HDO) = 5.060 − 0.0122t + (2.11 × 10−5)t2 (t in °C) [31]) to relate the chemical shifts.
The CIDNP signal originates as follows. The dye molecule D absorbs a quantum of light and transitions from the ground singlet state S0 to the excited singlet state S1. Due to intersystem crossing (ISC), the S1 molecule state converts to the triplet electronic state. Then, as a result of diffusion motion, the dye molecule D in the triplet state encounters the quencher Q, which quenches the dye triplet state by means of electron transfer with a rate constant kq. The radical pair formed in the course of this reaction preserves the triplet electron state of the precursor. At the instant of their formation, the radicals are situated in the solvent “cage”. They cannot react back to the ground diamagnetic states due to the conservation of the total electron spin. In order for this to happen, the radical pair must change to the singlet state. Such a transition from the triplet to singlet state (and vice versa) can happen due to the difference of the Larmor frequencies of the radicals in the field of the NMR spectrometer (at different g-factors) and due to hyperfine couplings of electron spins of the radicals with magnetic nuclei. Thus, in the high field of the NMR spectrometer, the rate of singlet–triplet transitions depends, in addition to the g-factor difference, on the nuclear spin projections along the magnetic field and the configuration of nuclei spins (S-T0 mechanism of CIDNP formation in strong magnetic fields). Therefore, the in-cage, geminate, recombination products are enriched in those nuclear spin states that have a higher singlet–triplet interconversion rate. However, the total polarization of nuclear spins does not change, since the geminate reaction gives rise only to the sorting between the nuclear polarization of geminate diamagnetic products and the polarization of the radicals that escaped into the bulk of the solution. Consequently, at the initial instant of time (on the scale of T1 nuclear relaxation time in radicals), the nuclear polarization of the radicals that escaped into the bulk of the solution is equal in magnitude and opposite in sign to the polarization of the diamagnetic products formed in the course of geminate recombination.
The sign of CIDNP signal Г of geminate diamagnetic products is determined by the Kaptein rule [32], Г = μ × sgn(Δg) × sgn(A), where μ = +1 in the case of a triplet precursor and μ = −1 in the case of a singlet one; sgn(Δg) is the sign of the g-factor difference of the radicals; sgn(A) is the sign of the hfi-coupling constant of the corresponding nucleus. The value of the g-factor of the neutral GMP(-H) radical is equal to 2.0034 [33], and the g-factor for tyrosine radicals is 2.0041 [34,35]. The sign of the hfi-coupling constant of the H-8 proton of the GMP(-H) radical is negative [33]; for TyrO and N-AcTyrO, the sign of the hfi-coupling constants of the H-3,5 protons is also negative, and of the H-2,6, β protons it is positive [34,35]. There are no experimental data for the DPH radical, the calculated hfi-coupling constants of the H-3,4,5,6 protons are negative [36], and the value of the g-factor of the DP−• radical anion is equal to 2.0030 [37]. Kaptein’s rule holds for all signals in all 1H CIDNP spectra obtained in this work.

2.2. Experimental Data Processing

Theoretical fitting of the CIDNP kinetics measured for the systems GMP(-H) + DP, N-AcTyrO + DP, and TyrO + DP was performed using the Fisher model [38]. The model takes into account the nuclear polarization transfer from radical into diamagnetic molecules due to the second-order radical recombination, paramagnetic nuclear relaxation in radicals, the arising of polarization within re-contacts of radicals in the bulk, and polarization transfer from radical to molecule as a result of DEE. The system of Equations (5)–(7) describes the time evolution of the radical pair concentration R(t), the nuclear polarization in radicals PR(t), and the experimentally registered nuclear polarization in diamagnetic molecules PPr(t):
R t = R 0 1 + k R R 0 t
d P R t d t = k R R ( t ) P R ( t ) k R β R 2 ( t ) k o b s C q P R ( t ) P R ( t ) T 1
d P P r t d t = k R R ( t ) P R ( t ) + k R β R 2 ( t ) + k o b s C q P R ( t )
with the initial condition of PPr(t = 0) = −PR(t = 0) = PG.
Here, R0 is the initial concentration of radical pairs; kR is the rate constant for the second-order radical recombination; T1 is the nuclear spin relaxation time in radicals; kobs is the rate constant for DEE; Cq is the concentration of diamagnetic quencher molecules; β = γPG/R0, showing the amount of polarization arising in one secondary radical pair (the radical pairs formed by radicals escaped from different geminate pairs, or so-called F-pairs); γ is the ratio of CIDNP polarization formed in the secondary radical pair to the polarization in the geminate pair (in the case of a triplet precursor, γ ≈ 3; usually γ = 2.8 is taken [27]); PG is the geminate polarization.
The system of Equations (5)–(7) is written assuming that the fraction of geminate recombination of radical pairs is negligible and that the radical formation due to quenching of the triplet state of the dye occurs instantaneously. Equation (5) describes the time dependence of the radical concentration, which decreases according to the second-order recombination kinetics. The first terms in Equations (6) and (7) describe the transfer of polarization from radicals to diamagnetic molecules due to the recombination of radicals, and the third terms in both Equations (6) and (7) describe the transfer of polarization from radicals to diamagnetic molecules due to the DEE process. The second terms in Equations (6) and (7) describe the polarization forming as a result of radicals encountered in the bulk, i.e., in F-pairs. The fourth term in Equation (6) describes the decay of nuclear polarization in radicals as a result of nuclear paramagnetic relaxation.
Under experimental conditions, there are DPH/DP pairs (pKa(DPH) > 14, [39]) in which there is no DEE. Therefore, when modeling the kinetic curves for nuclear polarization of DP, we took kobs = 0.
In the system GMP(-H) + TyrO + DP, the kinetics of nuclear polarization are also affected by the reduction reaction of the GMP(-H) radical by the TyrO anion. Then, the time evolution of the concentrations of GMP(-H), TyrO, and DPH radicals and the polarizations of the nuclei in PRGMP and PRTyr radicals and PPrGMP and PPrTyr diamagnetic molecules are described by the following equations:
d R T y r d t = k R T y r R T y r R D P + k o b s r e d R G M P C T y r
d R G M P d t = k R G M P R G M P R D P k o b s r e d R G M P C T y r
R D P = R G M P + R T y r
d P R G M P d t = k R G M P R D P P R G M P k R G M P β G M P R D P R G M P k o b s G M P C G M P P R G M P k o b s r e d P R G M P C T y r P R G M P T 1 G M P
d P P r G M P d t = k R G M P R D P P R G M P + k R G M P β G M P R D P R G M P + k o b s G M P C G M P P R G M P + k o b s r e d P R G M P C T y r
  d P R T y r d t = k R T y r R D P P R T y r k R T y r β T y r R D P R T y r k o b s T y r C T y r P R T y r P R T y r T 1 T y r
d P P r T y r d t = k R T y r R D P P R T y r + k R T y r β T y r R D P R T y r + k o b s T y r C T y r P R T y r
with initial conditions PPrGMP(t = 0) = −PRGMP(t = 0) = PGGMP and PPrTyr(t = 0) = −PRTyr(t = 0) = PGTyr, where kRGMP and kRTyr are the recombination rate constants of the radicals DPH with GMP(-H) and TyrO radicals, respectively; kobsred is the observed rate constant of reduction of the GMP(-H) radical by the tyrosinate-anion; βGMP = γPGGMP/R0GMP and βTyr = γPGTyr/R0Tyr.
In the process of solving this system of equations, the parameters kRGMP/kRTyr and kqGMP/kqTyr are introduced; through the latter, the ratio of initial concentrations of GMP(-H) and TyrO radicals is expressed.
The initial concentration of radical pairs R0 is proportional to the fraction of light absorbed by the dye. The TyrO and N-AcTyrO compounds absorb at λ = 308 nm; as the concentration of tyrosine in the solution increases, the fraction of light absorbed by DP decreases, and accordingly, the initial concentration of radical pairs decreases as well. The ratio of initial concentrations of radical pairs in two experiments with different concentrations of tyrosine is as follows:
R 0 C 1 T y r R 0 C 2 T y r = ε D P C D P + ε T y r C 2 T y r ε D P C D P + ε T y r C 1 T y r
In Equation (15) εDP and εTyr are the extinction coefficients at λ = 308 nm; CDP is the DP concentration; C1Tyr and C2Tyr are tyrosine concentrations; εDP = 1.2 × 103 M−1cm−1 [40] and εTyrO− = εN−AcTyrO− = 790 ± 8 M−1cm−1 were determined in this work. This effect was taken into account when modeling CIDNP kinetics in systems containing TyrO and N-AcTyrO.
The duration of the RF pulse (1–2 μs) is comparable with the characteristic time of the CIDNP decay, so it is necessary to take into account the polarization evolution during the RF pulse. Consideration of the CIDNP kinetics during the RF pulse for the special case of an ideal rectangular pulse is considered in [41]; the case of an RF pulse of arbitrary shape is considered in [42]. A similar approach was used in the works of Morozova and Yurkovskaya [43,44,45,46,47,48,49,50].
To take into account the CIDNP kinetics during the application of the RF pulse along the x-axis, we considered the following system of equations, which takes into account the polarization of the nuclei along the y- and z-axes:
d P P r z d t = d P P r d t w t P P r y
d P P r y d t = w t P P r z
where w(t) is the pulse shape; the equation for dPPr/dt is given by Equation (7); before the pulse, P P r y = 0. The signal observed in the experiment is proportional to the after-pulse value of P P r y . The expression for polarization along the y-axis after the pulse is as follows [41]:
P P r y = 0 T P P r t 0 + t w t c o s t T w z d z d t
where t0 is the start time of the RF pulse, and T is its duration.
The duration of the π pulse is equal to tπ = 12.70 µs. The shapes of RF pulses of 1 and 2 µs duration used in this work were determined using an oscilloscope.

2.3. Results of CIDNP Kinetics Treatment

In the GMP(-H) + DP system, the polarization time dependences were modeled for the 8th GMP proton and 3,4 DP protons. In the TyrO + DP and N-AcTyrO + DP systems, the dependences were modeled for the 3,5 and β-protons of tyrosine and 3,4 protons of DP—the other signals had too-low signal-to-noise ratios. In the GMP(-H) + TyrO + DP system, CIDNP polarization time dependences were modeled for 8th GMP proton and 3,5 tyrosine protons. Values of the degenerate electron exchange rate constants and paramagnetic nuclear relaxation times obtained from the best agreement between the calculated and experimental curves are given in Table 1, Table 2 and Table 3; Figure 3a–c shows examples of simulations of these experimental data.
For the GMP(-H) + DP, we did not determine T1 for 3,4 protons of DP at 65 °C since perdeuterated d8-DP was used to avoid the overlap of the 1H NMR signals of H-8 of GMP and H-3,4 of DP, which occurs at this temperature. For N-AcTyrO + DP at 65 °C and TyrO + DP at 45 °C, we failed to determine T1 for H-β.
For GMP(-H) + DP at 25 °C, the value of the DEE rate constant differs from the literature data, while the paramagnetic relaxation time of the 8th proton in the GMP(-H) radical coincides well with the literature data: kobs = 4.0 × 107 M−1s−1, T1 = 20 μs [27]. Moreover, the T1 for the 8th proton in the GMP(-H) radical coincides with the previously found T1 for the 8th proton in the GMPH•++ radical over the entire temperature range [30]. For the N-AcTyrO + DP at t = 25 °C, the values of the DEE rate constant and paramagnetic relaxation time of 3,5 protons coincide with the literature data: kobs = 6.0 × 107 M−1s−1, T1 = 63 µs [29]; kobs = 4 × 107 M−1s−1, T1 = 60 µs [51]. However, the best fit values of nuclear paramagnetic relaxation times for 3,4 protons of the DPH radical do not coincide with the literature data for T1 = 44 µs [28,40] and T1 = 45 µs [51].
Simulation of the experimental data for DP + GMP(-H) + TyrO is shown in Figure 3d; the parameters found are as follows: kobsred = 1.5 × 108 M−1s−1, kqGMP/kqTyr = 0.3, and kRGMP/kRTyr = 1.3. The parameters kobsGMP, kobsTyr, T1GMP, and T1Tyr found in this work were used in the calculation. There are literature data for the reduction of the GMP(-H) radical by the N-AcTyrO- anion: kobsred = 1.6 × 108 M−1s−1, kqGMP/kqTyr = 0.56, and kRGMP/kRTyr = 0.9 [29].

2.4. Temperature Dependence of the DEE Rate Constants

For the estimation of the effect of diffusion, DEE kinetic scheme (Scheme 1) was considered (using tyrosine as an example).
In Scheme 1, the first-order DEE rate wex is related to the second-order rate constant ket as follows:
w e x = k e t k d k d
kobs is the observable DEE rate constant; kobs is expressed through ket and kd as follows:
k o b s = k e t k d 2 k e t + k d
The diffusion rate constant kd was estimated by the Smoluchowski equation, taking into account the charges of the reactants [52,53]:
k d = 2 3 η · r 1 + r 2 2 r 1 r 2 · w r e x p w r R T 1
where r1 and r2 are the radii of the reagents; w r is the work function of approach-charged reactants to each other:
w r = z 1 z 2 e 2 N A 4 π ε 0 ε r 1 + r 2 f
We assume that the reactants approach to a distance equal to the sum of their radii. The factor f takes into account the ionic strength of the solution:
f = 1 + r 1 + r 2 B μ ε T 1
where B = (2NAe2/(ε0k))1/2 = 50.345 l1/2K1/2Å−1M−1/2.
The viscosity values of D2O were taken from [54,55], and dielectric permittivity from [56]. The average elliptical radii of the reactants were used to estimate r1 and r2. An ellipsoid of the smallest volume was described around the molecule, and the radius was expressed as follows [57]:
1 r = F φ , α a 2 c 2
where F(φ,α) is an elliptic integral of the first kind; φ = arcsin((a2 − c2)1/2/a); α = ((a2 − c2)/(a2 − b2))1/2; a, b, and c are the semiaxes of the ellipsoid, and a ≥ b ≥ c.
The ellipsoid semiaxes were calculated using the N. Shor algorithm [58] with the molecular geometries of the crystal structures of DL-tyrosine [59], N-acetyl-L-tyrosine, and guanosine-5′-monophosphate trihydrate [60]. The molecular radii found were r(GMP(-H)) = 4.18 Å, r(N-AcTyrO) = 3.82 Å, and r(TyrO) = 3.06 Å; we assumed that the radii of the radicals do not differ from those of the corresponding diamagnetic particles.
When calculating wr, the negatively charged carboxyl and phosphate groups in the reactants were taken into account: z(GMP(-H)) = −3, and z(TyrO) = −2.
The ket values calculated by Equation (20) are given in the last columns of Table 1, Table 2 and Table 3.
The first-order DEE rate constant wex depends on temperature, as follows [1]:
w e x T = k 0 T e x p λ 4 R T
The second-order DEE rate constant ket is expressed as follows:
k e t = k d k d k e x = K A w e x
The KA in Equation (26) is the equilibrium constant of the pre-reaction complex formation; it depends on temperature, as follows [61]:
K A = 4 π N A r 1 + r 2 2 δ d · e x p w r R T = K 0 e x p w r R T
where δ d is the reaction zone thickness. Then, the second-order rate constant ket depends on temperature, as follows:
k e t = K 0 k 0 T e x p w r R T λ 4 R T = A T e x p w r R T λ 4 R T
The work function w r depends on the temperature through dependence on temperature of the D2O dielectric permittivity, at each temperature w r ; this can be calculated by Equation (22). To find the pre-exponent A and the reorganization energy λ, we plot the values of ln[ket√Texp( w r /RT)], where the ket values are experimental ones, versus 1/T (Figure 4), and approximated these points by linear dependence. The values of A and λ found from the approximation are given in Table 4.
Previously, we studied [30] the temperature dependence of the DEE rate constant between the GMPH+ cation and the GMPH•++ dication radical; the reorganization energy found for this reaction is λ = 0.79 ± 0.11 eV [30] and coincides with the value for GMP(-H) + GMP(-H) (see Table 4).

2.5. The Marcus Cross-Relation Equation

To account for the effects of diffusion, the kinetic scheme of electron transfer (Scheme 2) was considered (for the radical GMP(-H) reduction by anion TyrO, as an example).
In Scheme 2, the first-order rate w12 is related to the second-order rate constant k12, as follows:
w 12 = k d 12 k d 12 k 12
The observable second-order rate constant k o b s 12 is expressed through k 12 and k d 12 , as follows:
k o b s 12 = k 12 k d 12 k 12 + k d 12
The rate constants k 12 (TyrO) and k 12 (N-AcTyrO) of the GMP(-H) reduction by TyrO and N-AcTyrO, respectively, after correction for diffusion (kd was calculated according Equation (21)) are the following: k 12 (TyrO) = 1.7 × 108 M−1s−1 and k 12 (N-AcTyrO) = 1.8 × 108 M−1s−1 [29]. Thus, the values of the reduction rate constants are very close.
The rate constant w 12   depends on the temperature, as follows:
w 12 = k 0 T e x p Δ G 12 0 + λ 12 2 4 R T λ 12
where Δ G 12 0   is the driving force of the first-order redox reaction.
The equilibrium constant between the initial reactants and reaction products, K 12 ,   is expressed as follows:
K 12 = e x p Δ G 12 0 R T = K A 12 K 12 K A 21 1 = e x p Δ G 12 0 w 12 + w 21 R T
where K A 12 and K A 21 are the equilibrium constants of the formation of pre-reaction and post-reaction complexes, expressed by Equation (27). Assuming the radii of radicals and corresponding diamagnetic particles are the same, the pre-exponents in Equation (32), the factors K A 12 and K A 21 , can be shortened (reduced). The Δ G 12 0 value is expressed through standard electrode potentials; thus, Δ G 12 0 can be calculated.
The expression for the second-order electron transfer rate constant k 12 is given as follows:
k 12 = K A 12 w 12 = A 12 T e x p w 12 R T e x p Δ G 12 0 w 12 + w 21 + λ 12 2 4 R T λ 12
If the electron transfer occurs over a relatively long distance with a weak force interaction between the reactants, then one can assume that λ12 = (λ11 + λ22)/2, that is, the Marcus cross-relation, where λ11 and λ22 are the reorganization energies for the respective DEE reactions.
If we additionally assume the following ratio between the pre-exponents, A 12 = ( A 11 A 22 )1/2, then we can express k 12 through the temperature dependence of parameters of the DEE rate constants. Thus, the cross-reaction rate constant k c a l c 12 was calculated employing the following formula:
k c a l c 12 = A 11 A 22 T e x p w 12 R T e x p Δ G 12 0 w 12 + w 21 + λ 11 + λ 22 / 2 2 2 R T λ 11 + λ 22

Reactant Parameters for the Marcus Cross-Relation Calculations

The cross-relation calculations require the values of the difference of standard electrode potentials, the reorganization energy, and the pre-exponent for the corresponding DEE reactions, as well as the radii of all reactants and products to calculate the work function. In all the cases, we assume that the radii of the radicals and the corresponding diamagnetic particles are the same.
If the DEE rate constant is only known at a certain temperature, we estimate the pre-exponent to be A11 = 1011 M−1s−1 and calculate the reorganization energy using Equation (35).
λ 11 = 4 w r 4 R T × l n k 11 T A 11
All the parameters of the reactants are given in Table 5. The Zred column shows the charge of the reduced form of each reactant. The structures of some reactants are shown in Figure 5.
The TyrO/TyrO case. The standard electrode potential is E0 = 0.72 V [62]. The radius calculation is described above; the pre-exponent and reorganization energy for the DEE reaction were found experimentally in this work.
The N-AcTyrO/N-AcTyrO case. We use the value of the standard electrode potential for N-acetyltyrosine methyl ester at pH = 7, E7 = 0.97 V [63]. If pKa(N-AcTyrOH) = 10.1, then E0 = 0.79 V. The calculation of the radius is described above; the pre-exponent and reorganization energy for the DEE reaction were found experimentally in this work.
The GMP(-H)/GMP(-H) case. The standard electrode potential of GMP at pH = 7, E7 = 1.31 V [64], determined from photoinduced electron transfer reaction rates, agrees well with that of guanosine at pH = 7, E7 = 1.29 V [65], determined by pulsed radiolysis. The acidity constants of GMP [66] and its radical [67,68,69] are shown in Scheme 3. For GMP(-H)/GMP(-H), the calculated potential is E0 = 1.23 V.
The GMPH•++/GMPH+ case. The standard electrode potential E0 = 1.55 V is calculated from E7 = 1.29 V [65]. The pre-exponent and reorganization energies for the DEE reaction were found earlier [30]. The average elliptical radius, r = 4.19 Å, was calculated using the method described above; the geometry was taken from the crystal structure of guanosine-5′-monophosphate trihydrate [60].
The N-AcTrpH+•/N-AcTrpH case. We use the value of the standard electrode potential for tryptophan, E0 = 1.15 V [62]. The DEE rate constant at 25 °C, k11 = 9 × 108 M−1s−1, was determined experimentally by CIDNP with microsecond resolution [40]. After correction for diffusion using Equation (20), one obtains k11 = 1.3 × 109 M−1s−1. The mean elliptical radius, r = 3.83 Å, was calculated using the method described above; the geometry was taken from the N-AcTrpH crystal structure [70]. We assume that A11/√T = 1011 M−1s−1; then, λ = 0.45 eV.
The ClO2/ClO2 case. The standard electrode potential is E0 = 0.934 V [71]. The DEE constant at 25 °C is k11 = 3.3 × 104 M−1s−1, determined from a cross-relation with parameters A11/√T = 1011 M−1s−1 and r = 1.5 Å [72]. Then, λ11 = 1.53 eV.
The N3/N3 case. The standard electrode potential is E0 = 1.33 V [71]. The DEE rate constant at 25 °C is k11 = 3.7 × 106 M−1s−1, determined from a cross-relation with parameters A11/√T = 1011 M−1s−1 and r = 2 Å [72]. Then, λ11 = 1.05 eV.
The NO2/NO2 case. The standard electrode potential is E0 = 1.04 V [71]. The DEE rate constant at 25 °C is k11 = 580 M−1s−1, determined experimentally by isotopic substitution [73]. We assume that A11/√T = 1011 M−1s−1; then, λ = 1.95 eV. The radius is r = 1.9 Å [72].
The [IrCl6]2−/[IrCl6]3− case. The standard electrode potential is E0 = 0.892 V [74]. The DEE constant at 25 °C is k11 = 2.3 × 105 M−1s−1, determined experimentally by isotopic substitution [75]. We assume that A11/√T = 1011 M−1s−1. The radius is r = 4.4 Å [76], and the DEE rate constant measured at μ = 0.1 M. Then, λ = 1.04 eV.
The CysS/CysS case. The standard electrode potential is E0 = 0.76 V [77]. The DEE rate constant at 25 °C is k11 = 5.4 × 103 M−1s−1, determined from the Marcus cross-relation with parameters A11/√T = 1011 M−1s−1 and r = 3.0 Å; the k12 cross-reaction rate constant was measured at μ = 0.1 M [77]. Then, λ = 1.48 eV.
The TEMPO+/TEMPO case. The standard electrode potential is E0 = 0.745 V [78]. The DEE rate constant at 25 °C is kobs = 8.6 × 107 M−1s−1, determined experimentally by line broadening in the EPR spectrum [9]. After correction for diffusion by Equation (20), k11 = 8.8 × 107 M−1s−1. We assume that A11/√T = 1011 M−1s−1. Then, λ = 0.72 eV. The radius is r = 3.67 Å [9].

2.6. The T1 Temperature Dependence

The temperature dependences of the nuclear paramagnetic relaxation times, T1, were obtained by means of the CIDNP kinetics simulation. We assume that the main mechanism of relaxation is modulation of the hyperfine interaction (hfi) tensor due to the stochastic rotation of the molecule as a whole. Then, the nuclear paramagnetic relaxation time T1 should depend on the magnetic field B and the rotational correlation time of the molecule, as follows:
1 T 1 τ M 1 + w 2 τ M 2
If the diffusive stochastic rotation of the radical is fast, γ 2 B 2 τ M 2 1 , then the nuclear paramagnetic relaxation rate, 1/T1, is proportional to τ M ; the value of τ M can be estimated from the Stokes–Einstein–Debye equation:
τ M = 4 π a 3 η 3 k T
According to [54,55], the temperature dependence of D2O viscosity in the temperature range 8–65 °C is well described by the following equation:
η T = η 0 e x p E R T
where E/R = 2059 K, and η0 = 1.14 × 10−6 Pa × s.
Then, the T1 temperature dependence should be described by the following equation:
T 1 T = C T e x p E R T
where C and E/R are parameters; E/R = 2059 K.
The T1 temperature dependence from Equation (39) is linearized in the coordinates ln(T/T1) vs. 1/T (Figure 6).
While fitting using straight lines, we discarded by the dropout values. The values from the slopes of the straight lines, E/R, are summarized in Table 6. For 3,5 N-AcTyrO, 8th GMP(-H), and H3,4 DPH protons, the slopes coincide within an error with the slope from the viscosity dependence. The slope for TyrO 3,5 protons is almost two times lower than the viscosity slope. Earlier, we found the slope for the 8th proton GMPH•++; it also coincides with the slope from viscosity dependence.
For the H-3,5 of N-AcTyrO, H-8 of GMP(-H), and H-3,4 of DPH, the slopes of the fitted straight lines coincide with the slope for viscosity within an error margin, indicating that rotational modulation of the hfi tensor is the main mechanism of nuclear paramagnetic relaxation of these protons.
The defined energy value, E, for the H-3,5 of TyrO protons is notably different from that for the viscosity dependence. This result can be rationalized assuming that for these protons, two mechanisms give rise to paramagnetic relaxation: modulation of the hfi tensor due to stochastic rotation of the molecule as a whole and modulation of the hfi tensor due to stochastic rotation of the phenolic ring. Assuming that the ring rotation has a small activation energy, the temperature dependence of the correlation time τe for this rotation is as follows:
τ e = C T e x p E R T C 2 T
while the temperature dependence of the rotational correlation time τM is as follows:
τ M = C 1 T e x p E R T
Then, the nuclear relaxation time T1 can be expressed by employing the Lipari–Szabo [79,80] equation:
1 T 1 = C × S 2 τ M + 1 S 2 τ
τ = τ M τ e τ M + τ e = C 1 T × e x p E R T × e x p E R T h e x p E R T + e x p E R T h
where S2 is an order parameter, playing the role of the dimensionless amplitude of molecular motion: the smaller the S2, the larger the amplitude; Th is the temperature when the correlation times τe and τM coincide; C2 = C1 × exp(E/(R·Th).
The temperature dependence of the ln(T/T1) on 1/T has the following form:
l n T T 1 = l n C + E n R T + l n S 2 + 1 S 2 × e x p E R T h a l f e x p E R T + e x p E R T h a l f
where E/R = 2059 K is the activation energy for D2O viscosity. There are three fit parameters: C, S2, and Th. The value S2 = 0.01 was taken for the fit. The best fit of the experimental data is then achieved at Th = 850 K; see Figure 7.
The paramagnetic relaxation time T1 of the methylene protons (β-CH2 protons) in the N-AcTyrO and TyrO radicals is almost independent of temperature (Table 2 and Table 3). We assume that the paramagnetic relaxation of β-CH2 protons probably occurs also due to the modulation of the hfi tensor by intramolecular rotations around the aliphatic bonds. These rotations can have low activation energy; so, in a small range of temperatures, the rotational frequency changes weakly, which causes the apparent independence of the relaxation time T1 on the temperature.

3. Discussion

3.1. Comparison of the Calculations and Experiment

There are numerous comparisons between the results of electron transfer theory and experiments [81,82]. We discuss here the comparison of the electron transfer reaction rate constants calculated from the Marcus cross-relation and those found in the experiments, as shown in Table 7. The experimental rate constants were corrected for diffusion using Equation (30).
Rate constants were calculated using Equation (34) with parameters from Table 5. All experimental rate constants were measured at 25 °C. We assume that parameters of the dipeptide Gly-TyrO do not differ from those of N-AcTyrO and parameters of the amide N-acetyltyrosine N-AcTyrO-NH2 differ from those of N-AcTyrO only in charge.
The agreement with the experiment for reactions involving GMPH+/GMPH•++ and GMP(-H)/GMP(-H) is noticeably worse than for reactions involving TyrO/TyrO and N-AcTyrO/N-AcTyrO. When GMP is an oxidizing agent, the calculated rate value is overestimated; when GMP is a reducing agent, the calculated value is underestimated. Perhaps the values of standard potentials for GMPH+/GMPH•++ and GMP(-H)/GMP(-H) are overestimated; if the error is in the pre-exponent or in the reorganization energy of GMP, the values would be overestimated or underestimated in all reactions involving GMP, regardless of whether it involves oxidation or reduction.
For the reactions of TyrO + GMP(-H) and N-AcTyrO + GMP(-H), the calculated rate values notably differ from the experimental values more than in other GMP reactions. This difference can be explained not only by the overestimation of the potential of GMP(-H)−/• but also by other causes.
For the reactions involving TyrO/TyrO and N-AcTyrO/N-AcTyrO, the calculated values agree well with the experimental values. In the case of the reaction of TyrO + N3, the experimental rate constant is close to the diffusion rate constant; the calculation shows that the reaction occurs in the diffusion control limit and shows good agreement with the experiment.

3.2. The Possible Reasons for the Failure of the Marcus Cross-Relation in the Reactions of GMP(-H) Radical Reduction by TyrO and N-AcTyrO Anions

The Marcus cross-relation is fulfilled under the following conditions: the value of ΔG120 is not too large, the reaction is far from the inverted region, the reactants and products are in the ground state, and the electron transfer is adiabatic [1,92]. Also, the size difference of the reactants should not be very large (2λ12 ≈ λ11 + λ22 requires 2(r11r22)1/2 ≈ r11 + r22); otherwise, the expression for the cross-relation should be modified [93].
The Marcus cross-relation for reactions of transition metal complexes was verified in [94,95,96] and for reactions of organic molecules in [97,98]. The Marcus cross-relation for redox reactions between organic TMPPD and various inorganic oxidating ions was tested in [99]. A good linear relation over a range of seven orders of magnitudes was found. As a rule, the calculations according to the cross-relation reaction rate constant turn out to be greater than the experimental ones; the error increases with the growth of K12. In the above-mentioned works, verification of the cross-relation was performed for rate constants measured only at one temperature, with the employment of Equations (2)–(4). In these equations, the parameter ln(f12) = −(ΔG120)2/(2RTλ12), with f12 ≈ 1 at ΔG120 << λ12. However, at large values of ΔG120, this parameter contributes significantly, and its calculation requires values of the pre-exponents for DEE reactions. In these works, estimates in the order of 1011 were taken for the values of the pre-exponents. We believe that this can introduce an error when K12 is large. In this work, the values of the pre-exponents and reorganization energies of DEE were determined experimentally; this allowed us to exclude this error. In particular, it turned out that the pre-exponent in the case of GMP was two orders of magnitude greater than 1011 M−1s−1.
In the course of reactions, no isomer product was formed since, as seen from the CIDNP spectra, the electron was transferred only within the aromatic π-systems of the reactants.
When describing the kinetics of electron transfer, the pre-exponent includes the factor κ, which has the meaning of the probability of electron transfer while passing into the transition state. For adiabatic reactions κ = 1; also, the parameter κ is close to unity if there is substantial overlap of the reactant orbitals [100]. For reactions of organic molecules, κ = 1 is usually assumed [97,101]. In addition, possible nonadiabaticity is taken into account in the cross-relation, as κ12 = (κ11κ22)1/2.
The steric cross-reacting factor is included in the pre-exponent A12 and is estimated as the geometric mean of the steric factors of the DEE, i.e., A12 = (A11A22)1/2.
Another possible reason for the failure of the Marcus cross-relation is the effect of non-electrostatic interactions between the reactants. In the pairs TyrO/TyrO, GMP(-H)/GMP(-H), and TyrO/GMP(-H), the stacking interactions increasing the stability of pre-reaction complexes is possible. Assume that contribution ΔH0 of the stacking interaction to the enthalpy change of the pre-reaction complex formation is independent of temperature and ΔH0 < 0. Then, the expressions for the DEE and cross-reaction rate constants, taking into account the stacking interaction, are as follows:
K A = K 0 e x p Δ H 0 w r R T
k 11 = K A 11 k e x = A 11 T e x p Δ H 11 0 w r R T e x p λ 11 4 R T
k c a l c r e d = A 11 A 22 T e x p Δ H 12 0 w 12 R T e x p Δ G 12 0 w 12 + w 21 + λ 11 + λ 22 / 2 2 2 R T λ 11 + λ 22
In Equation (47), we assume that ΔH120 ≈ ΔH210. Equation (46) shows that when treating the temperature dependence of the DEE rate constants using the method described above (i.e., considering only the electrostatic interactions), the found values of the reorganization energies λ11obs will be underestimated: λ11obs = λ11 + 4ΔH110.
Consideration of the stacking interaction on the one hand increases the calculated cross-reaction rate constant k c a l c r e d due to the factor exp(−ΔH120/RT); on the other hand, it decreases as the calculated reorganization energy increases. The final result depends on the values of ΔH110, ΔH220, and ΔH120. When ΔH110 = ΔH220 = ΔH120 = −RT, the calculated value of k c a l c r e d increases 1.4 times; when ΔH110 = ΔH220 = -RT, ΔH120 = 0, it decreases 2 times.
The Marcus cross-relation fails if the electron transfer reaction produces products in the vibrationally excited state.
When we assume that the overlap of the orbitals in the TyrO/GMP(-H) pair is less than in the TyrO/TyrO and GMP(-H)/GMP(-H) pairs, then the electronic factor of the cross-reaction appears to be less than that calculated from the cross-relation, κ12 < (κ11κ22)1/2. The enthalpy of the stacking interaction for the cross-reaction turns out to be lower than for the DEE reactions. This gives rise to the fact that the cross-reaction rate constant is less than the one we calculated without taking these effects into account.

4. Materials and Methods

The setup for the time-resolved CIDNP experiments was based on a Bruker DRX-200 NMR spectrometer (Bruker Corporation, Billerica, MA, U.S.; magnetic field 4.7 Tesla, resonance frequency of protons 200 MHz). A detailed scheme of the setup and methodology of the experiment was published in a review devoted to the application of time-resolved CIDNP for studying the kinetics and mechanism of reactions of biologically important molecules [102].
The 1H CIDNP spectra were recorded as follows. First, the sample in a standard 5 mm NMR Pyrex ampule was barbotaged with argon for 7 min to remove dissolved oxygen. Then, the sample was placed in the NMR spectrometer sensor, and broadband homonuclear de-coupler pulses were applied for a few seconds on channel 1H to suppress the thermal magnetization of the sample. The pulse sequence WALTZ16 was used. The parameters of the sequence were chosen so that the 1H NMR signals were completely absent from the spectrum without laser irradiation. After that, the sample in the ampoule was irradiated with a single laser pulse of the excimer XeCl-laser COMPEX Lambda Physik (Lambda Physik AG, Göttingen, Germany; wavelength 308 nm, pulse energy up to 120 mJ, pulse duration ~15 ns), and after time interval τ, a registering radiofrequency (RF) pulse with a maximum allowable power of −4 dB and a duration of 1 or 2 μs was applied. After the pulse was applied, the decay of the free induction signal was recorded using the same method as in the conventional NMR experiment. The delay τ was varied in the range from 0 to 100 µs.
The temperature was calibrated using the difference of chemical shifts in the 1H NMR spectrum of methanol; the temperature measurement error was 1 K [103].
The pH of the NMR samples was adjusted by the addition of NaOD. No correction was made for the deuterium isotope effect on the pH. Experiments with TyrO- and N-AcTyrO were performed at pH = 11.7, with GMP(-H) and GMP(-H) + TyrO at pH = 11.3. At t = 25 °C, the pKa of phenol groups TyrOH and N-AcTyrOH were 10.1 and 10.2 [104], pKa(GMP) = 9.4 [66], and pKa(GMP(-H)) = 10.8 [67], but deprotonation was slow, and the GMP(-H) radical was stable at pH = 11.8 for at least 1000 µs [27]. The 2,2′-dipyridyl (DP) was used as a dye (photosensitizer); its concentration was 15 mM in all experiments. The concentrations of quencher Cq were chosen so that the characteristic quenching time kq−1Cq−1 was shorter than the duration of the recording RF pulse (1–2 μs) and so that a rapid decline in polarization due to too high a product of the observed DEE rate constant and the quencher concentration, kobsCq, was avoided. The compositions of all samples are given in the Supplementary Information.
The GMP in the form of sodium salt hydrate (mass fraction of water of 23.4% as determined by 1H NMR), N-AcTyrOH, TyrOH, and D2O from “Sigma-Aldrich, St. Louis, MO, USA” were used without additional purification; DP was recrystallized from hexane. For the experiment, GMP(-H) + DP was tested at 65 °C; d8-DP was used because the signals from DP and GMP overlapped.
At each temperature, two or three kinetic curves differing in the quencher concentration were recorded. To record each kinetic curve, 4 samples were used for the GMP(-H) + DP, N-AcTyrO + DP, and TyrO + DP systems, and 8 samples for the GMP(-H) + TyrO + DP system. Each sample was used twice; the delays were followed in increasing order and in decreasing order to reduce the error from depletion. At each time delay, 4 scans (6 for TyrO + DP at 55 °C and 65 °C) were taken, so that each point of the kinetic curve corresponds to 64 signal accumulations for GMP(-H) + TyrO + DP, 48 signal accumulations for TyrO + DP at T = 55 °C and 65 °C, and 32 signal accumulations for GMP(-H) + DP, N-AcTyrO + DP, and TyrO + DP at T = 8–45 °C. A 2 μs RF pulse was used for GMP(-H) + TyrO + DP and TyrO + DP at T = 55 °C and 65 °C; otherwise, a 1 μs RF pulse was used.
All standard electrode potentials, E0, are reported versus NHE.

5. Conclusions

The CIDNP technique with microsecond time resolution makes it possible to study the kinetics of DEE reactions for the short-lived radicals and determine the DEE reaction rate constant by performing the reaction at different concentrations of the diamagnetic reactant.
The degenerate electron exchange reactions of the neutral radicals GMP(-H), TyrO, and N-AcTyrO with anions GMP(-H), TyrO, and N-AcTyrO in alkaline aqueous media were studied by CIDNP in the temperature range of 8–65 °C.
At each temperature chosen in this range, all parameters of CIDNP kinetics were determined, and the experimental values of reorganization energies for the DEE rate constants were found. At t = 25 °C, the rate constant of GMP(-H) reduction by the TyrO anion was measured.
The agreement of the calculated rate constants employing the Marcus cross-relation approach with the experimental ones for the reactions involving GMPH+/GMPH•++ and GMP(-H)/GMP(-H) is poor; perhaps overestimated values of the standard electrode potentials for GMPH+/GMPH•++ and GMP(-H)/GMP(-H) were used.
The rate constants of GMP(-H) radical reduction by tyrosine and N-acetyltyrosine anions calculated from the cross-relation differ by almost two orders of magnitude from those found experimentally, which is a notably greater difference than that for the other reactions involving GMP(-H)/GMP(-H) species. Possible causes for this difference are not taking into account the nonadiabaticity of the cross-reaction [105] and the enthalpy of the stacking interaction between the reactants in the calculation.
At the same time, the calculated rate constants according to the cross-relation of electron transfer reactions involving TyrO/TyrO and N-AcTyrO/N-AcTyrO coincide well with the literature values.
It was also found that the dependences of the nuclear paramagnetic relaxation rate T1 on temperature are described by the Arrhenius dependence; for the methylene protons of tyrosine and N-acetyltyrosine radicals TyrO and N-AcTyrO, these dependencies are almost activationless, while for the N-AcTyrO 3,5 protons, GMP(-H) 8th proton, and 3,4 protons of DPH, the activation energy value coincides with the solvent (D2O) activation energy. This indicates a difference in relaxation mechanisms for these protons; relaxation of the methylene protons of the TyrO and N-AcTyrO radicals occurs due to the modulation of the hfi tensor due to ring inversion, while relaxation in the 3,5 protons of N-AcTyrO and 8th proton of the GMP(-H) occurs due to modulation of the hfi tensor as a result of stochastic rotation of the molecule as a whole. The intermediate type of the temperature dependence of the nuclear paramagnetic relaxation rate T1 is observed for the 3,5 protons of the TyrO radical; the activation energy was about half the activation energy for the solvent viscosity. We assume that the both relaxation mechanisms manifest themselves in this case.

Supplementary Materials

The following supporting information can be downloaded at: https://www.mdpi.com/article/10.3390/ijms241813860/s1.

Author Contributions

Conceptualization, M.P.G., A.V.Y., G.G. and N.N.L.; validation, M.P.G., A.V.Y., G.G. and N.N.L.; investigation, O.B.M., A.V.Y. and M.P.G.; writing—original draft preparation M.P.G., A.V.Y., G.G. and N.N.L.; writing—review and editing, M.P.G., A.V.Y., G.G. and N.N.L.; project administration, A.V.Y. All authors have read and agreed to the published version of the manuscript.

Funding

This research was funded by Ministry of Science and Higher Education of the Russian Federation, grant 075-15-2020-779.

Institutional Review Board Statement

Not applicable.

Informed Consent Statement

Not applicable.

Data Availability Statement

Not applicable.

Conflicts of Interest

The authors declare no conflict of interest.

References

  1. Marcus, R.A.; Sutin, N. Electron transfers in chemistry and biology. Biochim. Biophys. Acta (BBA)-Rev. Bioenerg. 1985, 811, 265–322. [Google Scholar] [CrossRef]
  2. Zerk, T.J.; Saouma, C.T.; Mayer, J.M.; Tolman, W.B. Low Reorganization Energy for Electron Self-Exchange by a Formally Copper (III, II) Redox Couple. Inorg. Chem. 2019, 58, 14151–14158. [Google Scholar] [CrossRef] [PubMed]
  3. Xie, B.; Wilson, L.J.; Stanbury, D.M. Cross-Electron-Transfer Reactions of the [CuII/I(bite)]2+/+ Redox Couple. Inorg. Chem. 2001, 40, 3606–3614. [Google Scholar] [CrossRef]
  4. Ganesan, M.; Sivasubramanian, V.K.; Rajagopal, S.; Ramaraj, R. Electron transfer reactions of organic sulfoxides with photochemically generated ruthenium(III)–polypyridyl complexes. Tetrahedron 2004, 60, 1921–1929. [Google Scholar] [CrossRef]
  5. Meyer, T.J.; Taube, H. Electron-transfer reactions of ruthenium ammines. Inorg. Chem. 1968, 7, 2369–2379. [Google Scholar] [CrossRef]
  6. Dwyer, F.P.; Sargeson, A.M. The Rate of Electron Transfer Between the Tris-(Ethylenediamine)-Cobalt (II) and Cobalt (III) Ions. J. Phys. Chem. 1961, 65, 1892–1894. [Google Scholar] [CrossRef]
  7. Krishnamurty, K.V.; Waiil, A.C. Kinetics of the Vanadium(II)-Vanadium(III) Isotopic Exchange Reaction. J. Am. Chem. Soc. 1958, 80, 5921–5924. [Google Scholar] [CrossRef]
  8. Grampp, G.; Landgraf, S.; Rasmussen, K. Electron self-exchange kinetics between 2,3-dicyano-5,6-dichloro-p-benzoquinone (DDQ) and its radical anion. Part 1. Solvent dynamical effects. J. Chem. Soc. Perkin Trans. 2 1999, 1897–1899. [Google Scholar] [CrossRef]
  9. Grampp, G.; Rasmussen, K. Solvent dynamical effects on the electron self-exchange rate of the TEMPO/TEMPO+ Couple (TEMPO= 2, 2, 6, 6-Tetramethyl-1-Piperidinyloxy Radical) Part I. ESR-Linebroadening measurements at T = 298 K. Phys. Chem. Chem. Phys. 2002, 4, 5546–5549. [Google Scholar] [CrossRef]
  10. Mladenova, B.; Kattnig, D.R.; Kaiser, C.; Schäfer, J.; Lambert, C.; Grampp, G. Investigations of the Degenerate Intramolecular Charge Exchange in Symmetric Organic Mixed Valence Compounds: Solvent Dynamics of Bis (triarylamine) paracyclophane Redox Systems. J. Phys. Chem. C 2015, 119, 8547–8553. [Google Scholar] [CrossRef]
  11. Grampp, G.; Mladenova, B.Y.; Kattnig, D.; Landgraf, S. ESR and ENDOR investigations of the degenerate electron exchange reactions of various viologens in solution. Solvent dynamical effects. Appl. Magn. Reson. 2006, 30, 145–164. [Google Scholar] [CrossRef]
  12. Chan, M.-S.; Wahl, A.C. Rate of electron exchange between iron, ruthenium, and osmium complexes containing 1, 10-phenanthroline, 2, 2′-bipyridyl, or their derivatives from nuclear magnetic resonance studies. J. Phys. Chem. 1978, 82, 2542–2549. [Google Scholar] [CrossRef]
  13. Koval, C.A.; Margerum, D.W. Determination of the self-exchange electron-transfer rate constant for a copper (III/II) tripeptide complex by proton NMR line broadening. Inorg. Chem. 1981, 20, 2311–2318. [Google Scholar] [CrossRef]
  14. Parker, J.F.; Choi, J.-P.; Wang, W.; Murray, R.W. Electron Self-exchange Dynamics of the Nanoparticle Couple [Au25(SC2Ph)18]0/1− By Nuclear Magnetic Resonance Line-Broadening. J. Phys. Chem. C 2008, 112, 13976–13981. [Google Scholar] [CrossRef]
  15. Closs, G.L.; Miller, R.J. Laser flash photolysis with NMR detection. Microsecond time-resolved CIDNP: Separation of geminate and random-phase processes. J. Am. Chem. Soc. 1979, 101, 1639–1641. [Google Scholar] [CrossRef]
  16. Closs, G.L.; Miller, R.J.; Redwine, O.D. Time-resolved CIDNP: Applications to radical and biradical chemistry. Acc. Chem. Res. 1985, 18, 196–202. [Google Scholar] [CrossRef]
  17. Morozova, O.B.; Yurkovskaya, A.V.; Tsentalovich, Y.P.; Forbes, M.D.E.; Hore, P.J.; Sagdeev, R.Z. Time resolved CIDNP study of electron transfer reactions in proteins and model compounds. Mol. Phys. 2002, 100, 1187–1195. [Google Scholar] [CrossRef]
  18. Morozova, O.B.; Yurkovskaya, A.V.; Tsentalovich, Y.P.; Forbes, M.D.E.; Sagdeev, R.Z. Time-Resolved CIDNP Study of Intramolecular Charge Transfer in the Dipeptide Tryptophan-Tyrosine. J. Phys. Chem. B 2002, 106, 1455–1460. [Google Scholar] [CrossRef]
  19. Goez, M.; Kuprov, I.; Hore, P.J. Increasing the sensitivity of time-resolved photo-CIDNP experiments by multiple laser flashes and temporary storage in the rotating frame. J. Magn. Reson. 2005, 177, 139–145. [Google Scholar] [CrossRef]
  20. Morozova, O.B.; Korchak, S.E.; Sagdeev, R.Z.; Yurkovskaya, A.V. Time-Resolved Chemically Induced Dynamic Nuclear Polarization Studies of Structure and Reactivity of Methionine Radical Cations in Aqueous Solution as a Function of pH. J. Phys. Chem. A 2005, 109, 10459–10466. [Google Scholar] [CrossRef]
  21. Kuprov, I.; Goez, M.; Abbott, P.A.; Hore, P.J. Design and performance of a microsecond time-resolved photo-chemically induced dynamic nuclear polarization add-on for a high-field nuclear magnetic resonance spectrometer. Rev. Sci. Instrum. 2005, 76, 084103/1–084103/7. [Google Scholar] [CrossRef]
  22. Wörner, J.; Chen, J.; Bacher, A.; Weber, S. Non-classical disproportionation revealed by photo-chemically induced dynamic nuclear polarization NMR. Magn. Reson. 2021, 2, 281–290. [Google Scholar] [CrossRef]
  23. Pompe, N.; Illarionov, B.; Fischer, M.; Bacher, A.; Weber, S. Completing the Picture: Determination of 13C Hyperfine Coupling Constants of Flavin Semiquinone Radicals by Photochemically Induced Dynamic Nuclear Polarization Spectroscopy. J. Phys. Chem. Lett. 2022, 13, 5160–5167. [Google Scholar] [CrossRef]
  24. Goez, M. The Degenerate Electron Exchange between N, N-Dimethylanilines and their Radical Cations. Z. Phys. Chem. 1990, 169, 133–145. [Google Scholar] [CrossRef]
  25. Schael, F.; Löhmannsröben, H.-G. The deactivation of singlet excited all-trans-1, 6-diphenylhexa-1, 3, 5-triene by intermolecular charge transfer processes. 1. Mechanisms of fluorescence quenching and of triplet and cation formation. Chem. Phys. 1996, 206, 193–210. [Google Scholar] [CrossRef]
  26. Closs, G.L.; Sitzmann, E.V. Measurements of degenerate radical ion-neutral molecule electron exchange by microsecond time-resolved CIDNP. Determination of relative hyperfine coupling constants of radical cations of chlorophylls and derivatives. J. Am. Chem. Soc. 1981, 103, 3217–3219. [Google Scholar] [CrossRef]
  27. Yurkovskaya, A.V.; Snytnikova, O.A.; Morozova, O.B.; Tsentalovich, Y.P.; Sagdeev, R.Z. Time-resolved CIDNP and laser flash photolysis study of the photoreaction between triplet 2, 2′-dipyridyl and guanosine-5′-monophosphate in water. Phys. Chem. Chem. Phys. 2003, 5, 3653–3659. [Google Scholar] [CrossRef]
  28. Tsentalovich, Y.P.; Morozova, O.B.; Yurkovskaya, A.V.; Hore, P.J.; Sagdeev, R.Z. Time-Resolved CIDNP and Laser Flash Photolysis Study of the Photoreactions of N-Acetyl Histidine with 2,2′-Dipyridyl in Aqueous Solution. J. Phys. Chem. A 2000, 104, 6912–6916. [Google Scholar] [CrossRef]
  29. Morozova, O.B.; Kiryutin, A.S.; Sagdeev, R.Z.; Yurkovskaya, A.V. Electron transfer between guanosine radical and amino acids in aqueous solution. 1. Reduction of guanosine radical by tyrosine. J. Phys. Chem. B 2007, 111, 7439–7448. [Google Scholar] [CrossRef]
  30. Geniman, M.P.; Panov, M.S.; Morozova, O.B.; Kiryutin, A.S.; Fishman, N.N.; Yurkovskaya, A.V. Temperature dependence of the degenerate electron exchange between guanosine-5′-monophosphate cation and its short-lived radical dication in aqueous solution. Russ. Chem. Bull. 2021, 70, 2375–2381. [Google Scholar] [CrossRef]
  31. Gottlieb, H.; Kotlyar, V.; Nudelman, A. NMR Chemical Shifts of Common Laboratory Solvents as Trace Impurities. J. Org. Chem. 1997, 62, 7512–7515. [Google Scholar] [CrossRef] [PubMed]
  32. Kaptein, R. Simple rules for chemically induced dynamic nuclear polarization. J. Chem. Soc. Chem Commun. 1971, 732–733. [Google Scholar] [CrossRef]
  33. Adhikary, A.; Kumar, A.; Becker, D.; Sevilla, M.D. The Guanine Cation Radical:  Investigation of Deprotonation States by ESR and DFT. J. Phys. Chem. B 2006, 110, 24171–24180. [Google Scholar] [CrossRef]
  34. Tomkiewicz, M.; McAlpine, R.D.; Cocivera, M. Photooxidation and Decarboxylation of Tyrosine Studied by E.P.R. and C.I.D.N.P. Techniques. Can. J. Chem. 1972, 50, 3849–3856. [Google Scholar] [CrossRef]
  35. Mezzetti, A.; Maniero, A.L.; Brustolon, M.; Giacometti, G.; Brunel, L.C. A tyrosyl radical in an irradiated single crystal of N-acetyl-L-tyrosine studied by X-band cw-EPR, high-frequency EPR, and ENDOR spectroscopies. J. Phys. Chem. A 1999, 103, 9636–9643. [Google Scholar] [CrossRef]
  36. Saprygina, N.N.; Morozova, O.B.; Gritsan, N.P.; Fedorova, O.S.; Yurkovskaya, A.V. 1H CIDNP study of the kinetics and mechanism of the reversible photoinduced oxidation of tryptophyl-tryptophan dipeptide in aqueous solutions. Russ. Chem. Bull. 2011, 60, 2579–2587. [Google Scholar] [CrossRef]
  37. König, E.; Fischer, H. Elektronenspinresonanzuntersuchungen am Anionradikal des 2, 2′-Dipyridyls. Z. Naturforschung A 1962, 17, 1063–1066. [Google Scholar] [CrossRef]
  38. Vollenweider, J.-K.; Fischer, H.; Hennig, J.; Leuschner, R. Time-resolved CIDNP in laser flash photolysis of aliphatic ketones. A quantitative analysis. Chem. Phys. 1985, 97, 217–234. [Google Scholar] [CrossRef]
  39. Mulazzani, Q.G.; Emmi, S.; Fuochi, P.G.; Venturi, M.; Hoffman, M.Z.; Simic, M.G. One-electron reduction of aromatic nitrogen heterocycles in aqueous solution. 2,2′-Bipyridine and 1,10-phenanthroline. J. Phys. Chem. 1979, 10, 1582–1590. [Google Scholar] [CrossRef]
  40. Tsentalovich, Y.P.; Morozova, O.B.; Yurkovskaya, A.V.; Hore, P. Kinetics and Mechanism of the Photochemical Reaction of 2, 2 ‘-Dipyridyl with Tryptophan in Water: Time-Resolved CIDNP and Laser Flash Photolysis Study. J. Phys. Chem. A 1999, 103, 5362–5368. [Google Scholar] [CrossRef]
  41. Läufer, M. Increasing the time resolution of flash CIDNP by numerical analysis: Photoreduction of anthraquinone by N, N-dimethylaniline. Chem. Phys. Lett. 1986, 127, 136–140. [Google Scholar] [CrossRef]
  42. Goez, M. Evaluation of flash CIDNP experiments by iterative reconvolution. Chem. Phys. Lett. 1990, 165, 11–14. [Google Scholar] [CrossRef]
  43. Morozova, O.B.; Tsentalovich, Y.P.; Yurkovskaya, A.V.; Sagdeev, R.Z. Consecutive biradicals during the photolysis of 2,12-dihydroxy-2,12-dimethylcyclododecanone: Low- and high-field chemically induced dynamic nuclear polarizations (CIDNP) study. J. Phys. Chem. A 1998, 102, 3492–3497. [Google Scholar] [CrossRef]
  44. Morozova, O.B.; Yurkovskaya, A.V.; Tsentalovich, Y.P.; Sagdeev, R.Z.; Wu, T.; Forbes, M.D.E. Study of Consecutive Biradicals from 2-Hydroxy-2,12-dimethylcyclododecanone by TR-CIDNP, TREPR, and Laser Flash Photolysis. J. Phys. Chem. A 1997, 101, 8803–8808. [Google Scholar] [CrossRef]
  45. Morozova, O.B.; Yurkovskaya, A.V.; Tsentalovich, Y.P.; Vieth, H.-M. 1H and 13C Nuclear Polarization in Consecutive Biradicals during the Photolysis of 2,2,12,12-Tetramethylcyclododecanone. J. Phys. Chem. A 1997, 101, 399–406. [Google Scholar] [CrossRef]
  46. Tsentalovich, Y.P.; Forbes, M.D.E.; Morozova, O.B.; Plotnikov, I.A.; McCaffrey, V.P.; Yurkovskaya, A.V. Spin and Molecular Dynamics in Acyl-Containing Biradicals: Time-Resolved Electron Paramagnetic Resonance and Laser Flash Photolysis Study. J. Phys. Chem. A 2002, 106, 7121–7129. [Google Scholar] [CrossRef]
  47. Tsentalovich, Y.P.; Morozova, O.B.; Avdievich, N.I.; Ananchenko, G.S.; Yurkovskaya, A.V.; Ball, J.D.; Forbes, M.D.E. Influence of Molecular Structure on the Rate of Intersystem Crossing in Flexible Biradicals. J. Phys. Chem. A 1997, 101, 8809–8816. [Google Scholar] [CrossRef]
  48. Tsentalovich, Y.P.; Yurkovskaya, A.V.; Sagdeev, R.Z.; Obynochny, A.A.; Purtov, P.A.; Shargorodsky, A.A. Kinetics of Nuclear-Polarization in the Geminate Recombination of Biradicals. Chem. Phys. 1989, 139, 307–315. [Google Scholar] [CrossRef]
  49. Yurkovskaya, A.; Grosse, S.; Dvinskikh, S.; Morozova, O.; Vieth, H.-M. Spin and molecular dynamics of biradicals as studied by low field nuclear polarization at variable temperature. J. Phys. Chem. A 1999, 103, 980–988. [Google Scholar] [CrossRef]
  50. Yurkovskaya, A.V.; Morozova, O.B.; Sagdeev, R.Z.; Dvinskih, S.V.; Buntkowsky, G.; Vieth, H.-M. The influence of scavenging on CIDNP field dependences in biradicals during the photolysis of large-ring cycloalkanones. Chem. Phys. 1995, 197, 157–166. [Google Scholar] [CrossRef]
  51. Babenko, S.V.; Kruppa, A.I. Probing the inclusion complexes of short-lived radicals with β-cyclodextrin by CIDNP. J. Incl. Phenom. Macrocycl. Chem. 2019, 95, 321–330. [Google Scholar] [CrossRef]
  52. Debye, P. Reaction rates in ionic solutions. Trans. Electrochem. Soc. 1942, 82, 265. [Google Scholar] [CrossRef]
  53. Noyes, R.M. Effects of diffusion rates on chemical kinetics. Prog. React. Kinet. 1961, 1, 129–160. [Google Scholar]
  54. Hardy, R.C.; Cottington, R.L. Viscosity of deuterium oxide and water in the range 5 to 125 °C. J. Res. Natl. Bur. Stand 1949, 42, 573. [Google Scholar] [CrossRef]
  55. Nikol’skii, B.P.R.V.A. Spravochnik Khimika [Chemist’s Handbook]; Khimiya: Moscow, Russia; Leningrad, Russia, 1962; Volume 1, p. 1075. [Google Scholar]
  56. Malmberg, C.G. Dielectric constant of deuterium oxide. J. Res. Natl. Bur. Stand. 1958, 60, 609–612. [Google Scholar] [CrossRef]
  57. German, E.; Kuznetsov, A. Outer sphere energy of reorganization in charge transfer processes. Electrochim. Acta 1981, 26, 1595–1608. [Google Scholar] [CrossRef]
  58. Shor, N.; Berezovskii, O. Algorithms to construct a minimum-volume invariant ellipsoid for a stable dynamic system. Cybern. Syst. Anal. 1995, 31, 421–427. [Google Scholar] [CrossRef]
  59. Mostad, A.; Rømming, C.; Graver, H.; Husebye, S.; Klæboe, P.; Swahn, C. Crystal-structure of DL-tyrosine. Acta Chem. Scand 1973, 27, 401–410. [Google Scholar] [CrossRef]
  60. Emerson, J.; Sundaralingam, M. Zwitterionic character of guanosine 5′-monophosphate (5′-GMP): Redetermination of the structure of 5′-GMP trihydrate. Acta Crystallogr. Sect. B Struct. Crystallogr. Cryst. Chem. 1980, 36, 1510–1513. [Google Scholar] [CrossRef]
  61. Brunschwig, B.S.; Creutz, C.; Macartney, D.H.; Sham, T.; Sutin, N. The role of inner-sphere configuration changes in electron-exchange reactions of metal complexes. Faraday Discuss. Chem. Soc. 1982, 74, 113–127. [Google Scholar] [CrossRef]
  62. Harriman, A. Further comments on the redox potentials of tryptophan and tyrosine. J. Phys. Chem. 1987, 91, 6102–6104. [Google Scholar] [CrossRef]
  63. Mahmoudi, L.; Kissner, R.; Nauser, T.; Koppenol, W.H. Electrode Potentials of l-Tryptophan, l-Tyrosine, 3-Nitro-l-tyrosine, 2,3-Difluoro-l-tyrosine, and 2,3,5-Trifluoro-l-tyrosine. Biochemistry 2016, 55, 2849–2856. [Google Scholar] [CrossRef] [PubMed]
  64. Fukuzumi, S.; Miyao, H.; Ohkubo, K.; Suenobu, T. Electron-transfer oxidation properties of DNA bases and DNA oligomers. J. Phys. Chem. A 2005, 109, 3285–3294. [Google Scholar] [CrossRef] [PubMed]
  65. Steenken, S.; Jovanovic, S.V. How Easily Oxidizable Is DNA? One-Electron Reduction Potentials of Adenosine and Guanosine Radicals in Aqueous Solution. J. Am. Chem. Soc. 1997, 119, 617–618. [Google Scholar] [CrossRef]
  66. Asimov, I. Data for Biochemical Research; Dawson, R.M.C., Elliott, D.C., Elliott, W.H., Jones, K.M., Eds.; ACS Publications: Washington, DC, USA, 1960. [Google Scholar]
  67. Candeias, L.; Steenken, S. Structure and acid-base properties of one-electron-oxidized deoxyguanosine, guanosine, and 1-methylguanosine. J. Am. Chem. Soc. 1989, 111, 1094–1099. [Google Scholar] [CrossRef]
  68. Morozova, O.B.; Fishman, N.N.; Yurkovskaya, A.V. Kinetics of reversible protonation of transient neutral guanine radical in neutral aqueous solution. ChemPhysChem 2018, 19, 2696–2702. [Google Scholar] [CrossRef]
  69. Saprygina, N.N.; Morozova, O.B.; Abramova, T.V.; Grampp, G.N.; Yurkovskaya, A.V. Oxidation of Purine Nucleotides by Triplet 3, 3′, 4, 4′-Benzophenone Tetracarboxylic Acid in Aqueous Solution: pH-Dependence. J. Phys. Chem. A 2014, 118, 4966–4974. [Google Scholar] [CrossRef]
  70. Sun, H.; Oldfield, E. Tryptophan Chemical Shift in Peptides and Proteins:  A Solid State Carbon-13 Nuclear Magnetic Resonance Spectroscopic and Quantum Chemical Investigation. J. Am. Chem. Soc. 2004, 126, 4726–4734. [Google Scholar] [CrossRef]
  71. Stanbury, D.M. Reduction Potentials Involving Inorganic Free Radicals in Aqueous Solution. In Advances in Inorganic Chemistry; Sykes, A.G., Ed.; Academic Press: Cambridge, MA, USA, 1989; Volume 33, pp. 69–138. [Google Scholar]
  72. Awad, H.H.; Stanbury, D.M. Electron transfer between azide and chlorine dioxide: The effect of solvent barrier nonadditivity. J. Am. Chem. Soc. 1993, 115, 3636–3642. [Google Scholar] [CrossRef]
  73. Stanbury, D.M.; DeMaine, M.M.; Goodloe, G. Reactive dissolution of nitrogen dioxide in aqueous 15NO2−: The first experimental determination of a main-group electron-exchange rate in solution. J. Am. Chem. Soc. 1989, 111, 5496–5498. [Google Scholar] [CrossRef]
  74. Margerum, D.W.; Chellappa, K.L.; Bossu, F.P.; Burce, G.L. Characterization of a readily accessible copper(III)-peptide complex. J. Am. Chem. Soc. 1975, 97, 6894–6896. [Google Scholar] [CrossRef] [PubMed]
  75. Hurwitz, P.; Kustin, K. Kinetic study of the reaction IrCl62–+ IrBr63– ⇌ IrCl63–+ IrBr62–. Trans. Faraday Soc. 1966, 62, 427–432. [Google Scholar] [CrossRef]
  76. Stanbury, D.M.; Lednicky, L.A. Outer-sphere electron-transfer reactions involving the chlorite/chlorine dioxide couple. Activation barriers for bent triatomic species. J. Am. Chem. Soc. 1984, 106, 2847–2853. [Google Scholar] [CrossRef]
  77. Hung, M.; Stanbury, D.M. Catalytic and Direct Oxidation of Cysteine by Octacyanomolybdate(V). Inorg. Chem. 2005, 44, 3541–3550. [Google Scholar] [CrossRef] [PubMed]
  78. Gerken, J.B.; Pang, Y.Q.; Lauber, M.B.; Stahl, S.S. Structural Effects on the pH-Dependent Redox Properties of Organic Nitroxyls: Pourbaix Diagrams for TEMPO, ABNO, and Three TEMPO Analogs. J. Org. Chem. 2018, 83, 7323–7330. [Google Scholar] [CrossRef]
  79. Lipari, G.; Szabo, A. Model-free approach to the interpretation of nuclear magnetic resonance relaxation in macromolecules. 1. Theory and range of validity. J. Am. Chem. Soc. 1982, 104, 4546–4559. [Google Scholar] [CrossRef]
  80. Lipari, G.; Szabo, A. Model-free approach to the interpretation of nuclear magnetic resonance relaxation in macromolecules. 2. Analysis of experimental results. J. Am. Chem. Soc. 1982, 104, 4559–4570. [Google Scholar] [CrossRef]
  81. Barbara, P.F.; Meyer, T.J.; Ratner, M.A. Contemporary Issues in Electron Transfer Research. J. Phys. Chem. 1996, 100, 13148–13168. [Google Scholar] [CrossRef]
  82. Hsu, C.-P.; Hammarström, L.; Newton, M.D. 65 years of electron transfer. J. Chem. Phys. 2022, 157, 020401. [Google Scholar] [CrossRef]
  83. Morozova, O.B.; Kiryutin, A.S.; Yurkovskaya, A.V. Electron transfer between guanosine radicals and amino acids in aqueous solution. II. Reduction of guanosine radicals by tryptophan. J. Phys. Chem. B 2008, 112, 2747–2754. [Google Scholar] [CrossRef]
  84. Morozova, O.B.; Kaptein, R.; Yurkovskaya, A.V. Reduction of Guanosyl Radical by Cysteine and Cysteine-Glycine Studied by Time-Resolved CIDNP. J. Phys. Chem. B 2012, 116, 8058–8063. [Google Scholar] [CrossRef] [PubMed][Green Version]
  85. Napolitano, M.J.; Stewart, D.J.; Margerum, D.W. Chlorine Dioxide Oxidation of Guanosine 5 ‘-Monophosphate. Chem. Res. Toxicol. 2006, 19, 1451–1458. [Google Scholar] [CrossRef]
  86. Faraggi, M.; Broitman, F.; Trent, J.B.; Klapper, M.H. One-Electron Oxidation Reactions of Some Purine and Pyrimidine Bases in Aqueous Solutions. Electrochemical and Pulse Radiolysis Studies. J. Phys. Chem. 1996, 100, 14751–14761. [Google Scholar] [CrossRef]
  87. Napolitano, M.J.; Green, B.J.; Nicoson, J.S.; Margerum, D.W. Chlorine Dioxide Oxidations of Tyrosine, N-Acetyltyrosine, and Dopa. Chem. Res. Toxicol. 2005, 18, 501–508. [Google Scholar] [CrossRef] [PubMed]
  88. Land, E.J.; Prütz, W. Reaction of azide radicals with amino acids and proteins. Int. J. Radiat. Biol. Relat. Stud. Phys. Chem. Med. 1979, 36, 75–83. [Google Scholar] [CrossRef]
  89. Prütz, W.A.; Mönig, H.; Butler, J.; Land, E.J. Reactions of nitrogen dioxide in aqueous model systems: Oxidation of tyrosine units in peptides and proteins. Arch. Biochem. Biophys. 1985, 243, 125–134. [Google Scholar] [CrossRef]
  90. Song, N. Mechanisms and Kinetics of Proton-Coupled Electron-Transfer Oxidation of Phenols. Ph.D. Thesis, Auburn University, Auburn, AL, USA, 2011. [Google Scholar]
  91. Pattison, D.I.; Lam, M.; Shinde, S.S.; Anderson, R.F.; Davies, M.J. The nitroxide TEMPO is an efficient scavenger of protein radicals: Cellular and kinetic studies. Free Radic. Biol. Med. 2012, 53, 1664–1674. [Google Scholar] [CrossRef]
  92. Marcus, R.A. Electron transfer reactions in chemistry: Theory and experiment (Nobel lecture). Angew. Chem. Int. Ed. Engl. 1993, 32, 1111–1121. [Google Scholar] [CrossRef]
  93. Weinstock, I.A. Outer-Sphere Oxidation of the Superoxide Radical Anion. Inorg. Chem. 2008, 47, 404–406. [Google Scholar] [CrossRef]
  94. Chou, M.; Creutz, C.; Sutin, N. Rate constants and activation parameters for outer-sphere electron-transfer reactions and comparisons with the predictions of Marcus theory. J. Am. Chem. Soc. 1977, 99, 5615–5623. [Google Scholar] [CrossRef]
  95. Weaver, M.J.; Yee, E.L. Activation parameters for homogeneous outer-sphere electron-transfer reactions. Comparisons between self-exchange and cross reactions using Marcus’ theory. Inorg. Chem. 1980, 19, 1936–1945. [Google Scholar] [CrossRef]
  96. Hupp, J.T.; Weaver, M.J. Electrochemical and homogeneous exchange kinetics for transition-metal aqua couples: Anomalous behavior of hexaaquairon(III/II). Inorg. Chem. 1983, 22, 2557–2564. [Google Scholar] [CrossRef]
  97. Eberson, L. Electron-transfer reactions in organic chemistry. In Advances in Physical Organic Chemistry; Elsevier: Amsterdam, The Netherlands, 1982; Volume 18, pp. 79–185. [Google Scholar]
  98. Nelsen, S.F.; Ramm, M.T.; Ismagilov, R.F.; Nagy, M.A.; Trieber, D.A.; Powell, D.R.; Chen, X.; Gengler, J.J.; Qu, Q.; Brandt, J.L.; et al. Estimation of Self-Exchange Electron Transfer Rate Constants for Organic Compounds from Stopped-Flow Studies. J. Am. Chem. Soc. 1997, 119, 5900–5907. [Google Scholar] [CrossRef]
  99. Grampp, G.; Landgraf, S.; Sabou, D.; Dvoranova, D. Application of Marcus cross-relation to mixed inorganic–organic redox couples. A stopped-flow study of the oxidation of N, N, N′, N′-tetramethyl-p-phenylenediamine with various oxidants. J. Chem. Soc. Perkin Trans. 2 2002, 178–180. [Google Scholar] [CrossRef]
  100. Sutin, N. Theory of Electron Transfer Reactions: Insights and Hindsights. Prog. Inorg. Chem. Apprec. Henry Taube 1983, 30, 441–498. [Google Scholar]
  101. Marcus, R. On the theory of oxidation-reduction reactions involving electron transfer. III. Applications to data on the rates of organic redox reactions. J. Chem. Phys. 1957, 26, 872–877. [Google Scholar] [CrossRef]
  102. Morozova, O.B.; Ivanov, K.L. Time-Resolved Chemically Induced Dynamic Nuclear Polarization of Biologically Important Molecules. ChemPhysChem 2019, 20, 197–215. [Google Scholar] [CrossRef]
  103. Raiford, D.S.; Fisk, C.L.; Becker, E.D. Calibration of methanol and ethylene glycol nuclear magnetic resonance thermometers. Anal. Chem. 1979, 51, 2050–2051. [Google Scholar] [CrossRef]
  104. Nelson, D.L.; Lehninger, A.L.; Cox, M.M. Lehninger Principles of Biochemistry; Macmillan: New York, NY, USA, 2008. [Google Scholar]
  105. Piechota, E.J.; Meyer, G.J. Introduction to Electron Transfer: Theoretical Foundations and Pedagogical Examples. J. Chem. Educ. 2019, 96, 2450–2466. [Google Scholar] [CrossRef]
Figure 1. The structures of diamagnetic reactants and products (with proton numbering) and GMPH+.
Figure 1. The structures of diamagnetic reactants and products (with proton numbering) and GMPH+.
Ijms 24 13860 g001
Figure 2. The 1H CIDNP spectra obtained by photo-irradiation of solutions containing (a) 15 mM DP and 9, 7.5, 6.5, and 4 mM GMP(-H) at 8, 25, 45, and 65 °C (at 65 °C, d8-DP was used) and pH = 11.3; (b) 15 mM DP and 6.5, 6, 6, and 2.5 mM TyrO at 8, 25, 45, and 65 °C and pH = 11.7.
Figure 2. The 1H CIDNP spectra obtained by photo-irradiation of solutions containing (a) 15 mM DP and 9, 7.5, 6.5, and 4 mM GMP(-H) at 8, 25, 45, and 65 °C (at 65 °C, d8-DP was used) and pH = 11.3; (b) 15 mM DP and 6.5, 6, 6, and 2.5 mM TyrO at 8, 25, 45, and 65 °C and pH = 11.7.
Ijms 24 13860 g002
Figure 3. Experimental data (symbols) and simulation curves (solid lines) for (a) TyrO + DP at t = 65 °C, kinetics for H-3.5 TyrO, black—C(TyrO) = 1.5 mM, blue—C(TyrO) = 2.5 mM, red—C(TyrO) = 3.5 mM; (b) TyrO + DP at t = 65 °C, kinetics for H-β TyrO, black—C(TyrO) = 1.5 mM, blue—C(TyrO) = 2.5 mM, red—C(TyrO) = 3.5 mM; (c) GMP(-H) + DP at t = 45 °C, kinetics for H-8 GMP(-H), black—C(GMP) = 6.5 mM, red—C(GMP) = 13 mM; (d) GMP(-H) + TyrO + DP at t = 25 °C, kinetics for H-8 GMP(-H), black—C(TyrO) = 1.3 mM, red—C(TyrO) = 2.5 mM; insert—kinetics for H-3.5 TyrO, black—C(TyrO) = 1.3 mM, red—C(TyrO) = 2.5 mM.
Figure 3. Experimental data (symbols) and simulation curves (solid lines) for (a) TyrO + DP at t = 65 °C, kinetics for H-3.5 TyrO, black—C(TyrO) = 1.5 mM, blue—C(TyrO) = 2.5 mM, red—C(TyrO) = 3.5 mM; (b) TyrO + DP at t = 65 °C, kinetics for H-β TyrO, black—C(TyrO) = 1.5 mM, blue—C(TyrO) = 2.5 mM, red—C(TyrO) = 3.5 mM; (c) GMP(-H) + DP at t = 45 °C, kinetics for H-8 GMP(-H), black—C(GMP) = 6.5 mM, red—C(GMP) = 13 mM; (d) GMP(-H) + TyrO + DP at t = 25 °C, kinetics for H-8 GMP(-H), black—C(TyrO) = 1.3 mM, red—C(TyrO) = 2.5 mM; insert—kinetics for H-3.5 TyrO, black—C(TyrO) = 1.3 mM, red—C(TyrO) = 2.5 mM.
Ijms 24 13860 g003
Scheme 1. DEE kinetic scheme.
Scheme 1. DEE kinetic scheme.
Ijms 24 13860 sch001
Figure 4. Temperature dependences of the DEE rate constants ket (black squares) in the coordinates ln[ket√Texp(wr/RT)] vs. 1000/T for (a) GMP(-H) + GMP(-H); (b) N-AcTyrO + N-AcTyrO; (c) TyrO + TyrO.
Figure 4. Temperature dependences of the DEE rate constants ket (black squares) in the coordinates ln[ket√Texp(wr/RT)] vs. 1000/T for (a) GMP(-H) + GMP(-H); (b) N-AcTyrO + N-AcTyrO; (c) TyrO + TyrO.
Ijms 24 13860 g004
Scheme 2. The kinetic scheme of electron transfer.
Scheme 2. The kinetic scheme of electron transfer.
Ijms 24 13860 sch002
Figure 5. Structures of N-acetyltryptophan (N-AcTrpH), cysteine anion (CysS), and stable free radical TEMPO—(2,2,6,6-tetramethylpiperidin-1-yl)oxyl.
Figure 5. Structures of N-acetyltryptophan (N-AcTrpH), cysteine anion (CysS), and stable free radical TEMPO—(2,2,6,6-tetramethylpiperidin-1-yl)oxyl.
Ijms 24 13860 g005
Scheme 3. Acid–base equilibria for GMP and radical GMP(-H).
Scheme 3. Acid–base equilibria for GMP and radical GMP(-H).
Ijms 24 13860 sch003
Figure 6. Temperature dependences of the nuclear relaxation time T1 in coordinates ln(T/T1) vs. 1/T for (a) H-8 in the radical GMP(-H); (b) H-3,5 in the radical N-AcTyrO (black squares) and TyrO (red circles); (c) H-3,4 in the radical DPH according to the data for systems GMP(-H) + DP (black squares), N-AcTyrO + DP (red circles), and TyrO + DP (blue triangles).
Figure 6. Temperature dependences of the nuclear relaxation time T1 in coordinates ln(T/T1) vs. 1/T for (a) H-8 in the radical GMP(-H); (b) H-3,5 in the radical N-AcTyrO (black squares) and TyrO (red circles); (c) H-3,4 in the radical DPH according to the data for systems GMP(-H) + DP (black squares), N-AcTyrO + DP (red circles), and TyrO + DP (blue triangles).
Ijms 24 13860 g006
Figure 7. Fitting of the nuclear paramagnetic relaxation temperature dependence of 3,5 protons of radical TyrO (black squares) according to Equation (44), with a fixed value of S2 = 0.01.
Figure 7. Fitting of the nuclear paramagnetic relaxation temperature dependence of 3,5 protons of radical TyrO (black squares) according to Equation (44), with a fixed value of S2 = 0.01.
Ijms 24 13860 g007
Table 1. Fitting parameters for the GMP(-H) + DP system.
Table 1. Fitting parameters for the GMP(-H) + DP system.
t,°Ckobs, M−1s−1T1(H8), µsT1(H3,4 DP), µsket, M−1s−1
8(3.77 ± 0.11) × 10712.4 ± 0.549 ± 8(4.27 ± 0.14) × 107
25(4.91 ± 0.27) × 10720.4 ± 1.660 ± 10(5.50 ± 0.32) × 107
45(5.78 ± 0.28) × 10726.1 ± 2.2121 ± 34(6.32 ± 0.32) × 107
65(8.12 ± 0.38) × 10755 ± 13--(d8-DP)(9.04 ± 0.45) × 107
Table 2. Fitting parameters for the N-AcTyrO + DP system.
Table 2. Fitting parameters for the N-AcTyrO + DP system.
t, °Ckobs, M−1s−1T1(H3,5), µsT1(Hβ), µsT1(H3,4 DP), µsket, M−1s−1
8(4.46 ± 0.09) × 10734.5 ± 2.3111 ± 1651.1 ± 7(4.71 ± 0.10) × 107
25(5.07 ± 0.18) × 10758 ± 7119 ± 2469.1 ± 15(5.27 ± 0.19) × 107
45(6.95 ± 0.22) × 10775 ± 13129 ± 3573.2 ± 24(7.19 ± 0.23) × 107
65(8.24 ± 0.57) × 10750 ± 9--42.1 ± 19(8.46 ± 0.60) × 107
Table 3. Fitting parameters for the TyrO + DP system.
Table 3. Fitting parameters for the TyrO + DP system.
t, °Ckobs, M−1s−1T1(H3,5), µsT1(Hβ), µsT1(H3,4 DP), µsket, M−1s−1
8(2.81 ± 0.13) × 10741.1 ± 3118 ± 2598 ± 22(2.94 ± 0.14) × 107
15(3.59 ± 0.28) × 10745 ± 6138 ± 2154 ± 10(3.76 ± 0.30) × 107
25(4.78 ± 0.27) × 10750 ± 7139 ± 26199 ± 81(5.02 ± 0.29) × 107
35(5.64 ± 0.36) × 10763 ± 11149 ± 3695 ± 32(5.90 ± 0.39) × 107
45(5.96 ± 0.42) × 10782 ± 19--137 ± 35(6.19 ± 0.45) × 107
55(7.60 ± 0.37) × 10756 ± 10121 ± 3248 ± 16(7.92 ± 0.40) × 107
65(8.53 ± 0.49) × 10765 ± 14106 ± 3067 ± 22(8.87 ± 0.52) × 107
Table 4. The found pre-exponents and reorganization energies for DEE reactions.
Table 4. The found pre-exponents and reorganization energies for DEE reactions.
DEE Reactionln(A)λ, eV
GMP(-H) + GMP(-H)31.7 ± 1.00.82 ± 0.11
N-AcTyrO + N-AcTyrO27.0 ± 0.40.50 ± 0.04
TyrO + TyrO30.2 ± 0.40.81 ± 0.04
Table 5. Parameters of the reactants for the Marcus cross-relation calculations.
Table 5. Parameters of the reactants for the Marcus cross-relation calculations.
DEE ReactionE0, Vln(A)λ, eVr, ÅZred
GMP(-H) + GMP(-H)1.2331.70.824.18−3
GMPH+ + GMPH•++1.5529.20.794.190
N-AcTyrO + N-AcTyrO0.7927.00.503.82−2
TyrO + TyrO0.7230.20.813.06−2
ClO2 + ClO20.93428.21.531.5−1
N3 + N31.3328.21.052.0−1
NO2 + NO21.0428.21.951.9−1
[IrCl6]2− + [IrCl6]3−0.89228.21.044.4−3
TEMPO + TEMPO+0.74528.20.723.670
CysS + CysS0.7628.21.573.0−2
N-AcTrpH + N-AcTrpH+•1.1528.20.453.830
Table 6. The energy (E) values (see Equation (42)) defined from the linear fitting of ln(T/T1) vs. 1/T dependencies.
Table 6. The energy (E) values (see Equation (42)) defined from the linear fitting of ln(T/T1) vs. 1/T dependencies.
Radical, NucleusE/R, K
GMPH•++, H-8 [30]1993 ± 650
GMP(-H), H-81720 ± 270
N-AcTyrO, H-3,51760 ± 370
TyrO, H-3,51130 ± 210
DPH, H-3,41790 ± 300
η(D2O) [54,55]2059 ± 81
Table 7. Comparison of the rate constants calculated from the cross-relation and those found in the experiments.
Table 7. Comparison of the rate constants calculated from the cross-relation and those found in the experiments.
Reactionk12expt, M−1s−1k12calc, M−1s−1Reference
N-AcTrpH + GMPH•++1.2 × 1097.9 × 1010[83]
TyrO + GMP(-H)1.7 × 1083.7 × 1010this work
N-AcTyrO + GMP(-H)1.8 × 1081.6 × 1010[29]
CysS + GMP(-H)1.9 × 1086.4 × 108[84]
GMP(-H) + ClO21.1 × 1055.6 × 103[85]
GMP(-H) + N33.2 × 1092.0 × 108[86]
TyrO + ClO21.8 × 1081.1 × 108[87]
N-AcTyrO + ClO27.6 × 1073.2 × 107[87]
TyrO + N36.7 × 1098.1 × 1010[88]
Gly-TyrO + NO22.0 × 1071.9 × 107[89]
N-AcTyrO-NH2 + [IrCl6]2−3.6 × 1071.2 × 108[90]
TEMPO + N-AcTyrO-NH21.5 × 108 a4.1 × 108[91]
a The rate constant as measured at 22 °C.
Disclaimer/Publisher’s Note: The statements, opinions and data contained in all publications are solely those of the individual author(s) and contributor(s) and not of MDPI and/or the editor(s). MDPI and/or the editor(s) disclaim responsibility for any injury to people or property resulting from any ideas, methods, instructions or products referred to in the content.

Share and Cite

MDPI and ACS Style

Geniman, M.P.; Morozova, O.B.; Lukzen, N.N.; Grampp, G.; Yurkovskaya, A.V. Marcus Cross-Relationship Probed by Time-Resolved CIDNP. Int. J. Mol. Sci. 2023, 24, 13860. https://doi.org/10.3390/ijms241813860

AMA Style

Geniman MP, Morozova OB, Lukzen NN, Grampp G, Yurkovskaya AV. Marcus Cross-Relationship Probed by Time-Resolved CIDNP. International Journal of Molecular Sciences. 2023; 24(18):13860. https://doi.org/10.3390/ijms241813860

Chicago/Turabian Style

Geniman, Maksim P., Olga B. Morozova, Nikita N. Lukzen, Günter Grampp, and Alexandra V. Yurkovskaya. 2023. "Marcus Cross-Relationship Probed by Time-Resolved CIDNP" International Journal of Molecular Sciences 24, no. 18: 13860. https://doi.org/10.3390/ijms241813860

APA Style

Geniman, M. P., Morozova, O. B., Lukzen, N. N., Grampp, G., & Yurkovskaya, A. V. (2023). Marcus Cross-Relationship Probed by Time-Resolved CIDNP. International Journal of Molecular Sciences, 24(18), 13860. https://doi.org/10.3390/ijms241813860

Note that from the first issue of 2016, this journal uses article numbers instead of page numbers. See further details here.

Article Metrics

Back to TopTop