Expression Profiling Reveals the Possible Involvement of the Ubiquitin–Proteasome Pathway in Abiotic Stress Regulation in Gracilariopsis lemaneiformis
Abstract
1. Introduction
2. Results
2.1. Identification and Analysis of the Upstream Sequences of UPS-Related Genes
2.2. Changes in Soluble Protein and Ubiquitin (Ub) under Different Stresses
2.2.1. Changes in Soluble Protein and Ubiquitin (Ub) under High Temperature Stress
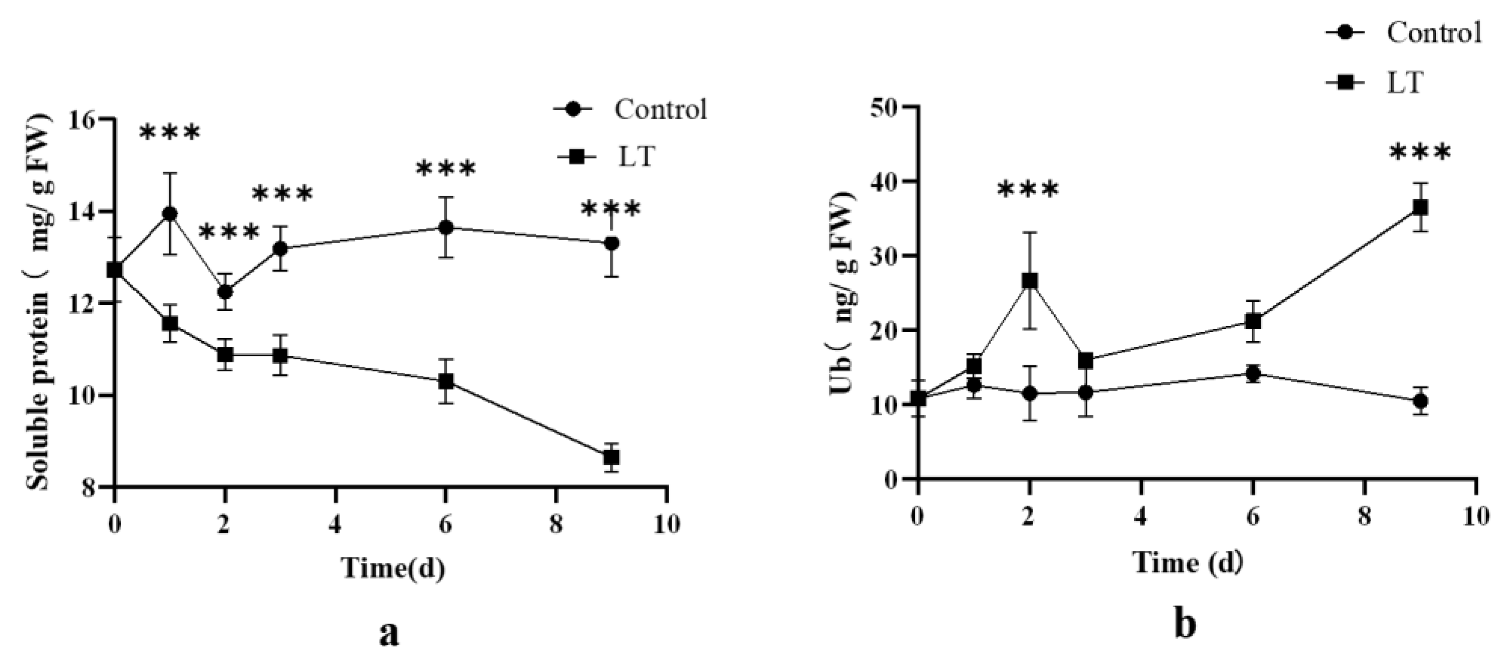
2.2.2. Changes in Soluble Protein and Ubiquitin under Low Temperature Stress
2.2.3. Changes in Soluble Protein and Ubiquitin under O3 Stress
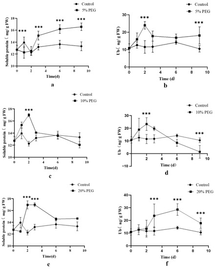
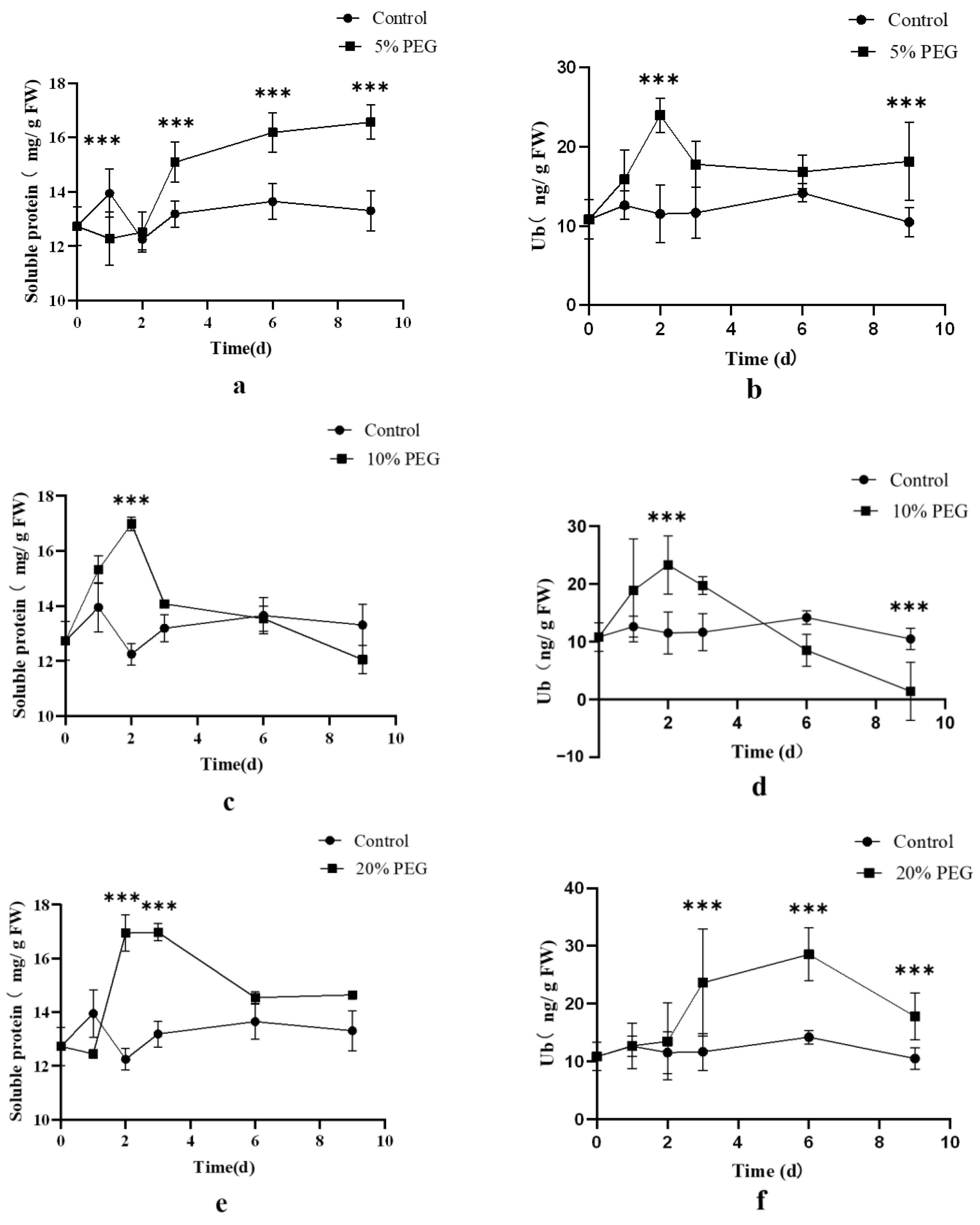
2.2.4. Changes in Soluble Protein and Ubiquitin under PEG Stresses
2.2.5. Changes in Soluble Protein and Ubiquitin under Water Shortage Stress
2.3. Transcriptional Regulation of Genes in Response to Different Stress
3. Discussion
4. Materials and Methods
4.1. Algal Strains and Culture Conditions
4.2. Nucleotide Sequence Retrieval and Putative Promoter Analysis of UPS-Related Genes
4.3. Abiotic Stress Treatments and Tissue Sampling
4.4. The Content of Soluble Protein
4.5. Ubiquitin (Ub) Determination
4.6. RNA Extraction and cDNA Synthesis
4.7. The Transcript Analysis of Genes
4.8. Statistical Analysis
5. Conclusions
Supplementary Materials
Author Contributions
Funding
Institutional Review Board Statement
Informed Consent Statement
Data Availability Statement
Acknowledgments
Conflicts of Interest
References
- Yang, F.F.; Wei, Z.L.; Long, L.J. Transcriptomic and physiological responses of the tropical reef calcified macroalga Amphiroa fragilissima to elevated temperature. J. Phycol. 2021, 57, 1254–1265. [Google Scholar] [CrossRef] [PubMed]
- Roman, M.; Roman, S.; Vazquez, E.; Troncoso, J.; Olabarria, C. Heatwaves during low tide are critical for the physiological performance of intertidal macroalgae under global warming scenarios. Sci. Rep. 2021, 10, 21408. [Google Scholar] [CrossRef] [PubMed]
- Beaulieu, L. Insights into the regulation of algal proteins and bioactive peptides using proteomic and transcriptomic approaches. Molecules 2019, 24, 1708. [Google Scholar] [CrossRef] [PubMed]
- Rathor, P.; Borza, T.; Bahmani, R.; Stone, S.; Tonon, T.; Yurgel, S.; Potin, P.; Prithiviraj, B. Expression of a heat shock protein 70 from the brown alga Ectocarpus sp. Imparts Salinity Stress Tolerance in Arabidopsis thaliana. J. Appl. Phycol. 2023, 35, 803–819. [Google Scholar] [CrossRef]
- Maryam, R.; Vahid, N.; Hassan, E. Oxidative damage and antioxidative system in algae. Toxicol. Rep. 2019, 6, 1309–1313. [Google Scholar] [CrossRef]
- Akakçe, N.; Uğur Görgün, A.; Tuney Kizilkaya, İ.; Öztürk Atay, N. Effect of radionuclides and trace elements on antioxidant system of brown seaweeds. Bull. Environ. Contam. Toxicol. 2023, 110, 51. [Google Scholar] [CrossRef] [PubMed]
- Vinuganesh, A.; Kumar, A.; Prakash, S.; Korany, S.M.; Alsherif, E.A.; Selim, S.; AbdElgawad, H. Evaluation of growth, primary productivity, nutritional composition, redox state, and antimicrobial activity of red seaweeds Gracilaria debilis and Gracilaria foliifera under pCO2-induced seawater acidification. Mar. Pollut. Bull. 2022, 185, 114296. [Google Scholar] [CrossRef] [PubMed]
- Ling, Q.H.; Jarvis, P. Functions of plastid protein import and the ubiquitin-proteasome system in plastid development. BBA Bioenerg. 2015, 1847, 939–948. [Google Scholar] [CrossRef]
- Vallentine, P.; Hung, C.Y.; Xie, J.H.; Van Hoewyk, D. The ubiquitin-proteasome pathway protects Chlamydomonas reinhardtii against selenite toxicity, but is impaired as reactive oxygen species accumulate. AoB Plants 2015, 6, plu062. [Google Scholar] [CrossRef]
- Harmon, F.; Imaizumi, T.; Gray, W.M. CUL1 regulates TOC1 protein stability in the Arabidopsis circadian clock. Plant J. 2008, 55, 568–579. [Google Scholar] [CrossRef]
- Yau, R.; Rape, M. The increasing complexity of the ubiquitin code. Nat. Cell Biol. 2016, 18, 579–586. [Google Scholar] [CrossRef] [PubMed]
- Ligr, M.; Malek, L. Ubiquitin metabolism in chlamydomonas reinhardtii following cold shock. Physiol. Plant. 1997, 101, 865–871. [Google Scholar] [CrossRef]
- Tang, L.; Qiu, L.P.; Liu, C.; Du, G.Y.; Mo, Z.L.; Tang, X.H.; Mao, Y.X. Transcriptomic insights into innate immunity responding to red rot disease in red alga Pyropia yezoensis. Int. J. Mol. Sci. 2020, 20, 5970. [Google Scholar] [CrossRef]
- Zhang, P.Y.; Liu, F.L.; Chen, S.Q.; Liang, Z.R.; Wang, W.J.; Sun, X.T. Comparative ubiquitome analysis under heat stress reveals diverse functions of ubiquitination in Saccharina japonica. Int. J. Mol. Sci. 2020, 21, 8210. [Google Scholar] [CrossRef]
- Niaz, Z.; Sui, Z.H.; Riaz, S.; Khan, S.; Du, Q.W.; Zhou, W.; Wang, J.G. Cloning, sequencing and transcriptional analysis of ubiquitin gene from Alexandrium catenella under different nutrient conditions. Pak. J. Bot. 2021, 53, 461–471. [Google Scholar] [CrossRef]
- Li, G.Q.; Zang, X.N.; Zhang, X.C.; Lu, N.; Ding, Y.; Gong, L.; Chen, W.C. Cloning of ubiquitin-activating enzyme and ubiquitin-conjugating enzyme genes from Gracilaria lemaneiformis and their activity under heat shock. Gene 2014, 538, 155–163. [Google Scholar] [CrossRef] [PubMed]
- Qin, F.; Zang, X.N.; Shui, G.Q. Transcriptome analysis of Gracilariopsis lemaneiformis at low temperature. J. Appl. Phycol. 2021, 33, 4035–4050. [Google Scholar] [CrossRef]
- Ko, J.H.; Yang, S.H.; Han, K.H. Upregulation of an Arabidopsis RING-H2 gene, XERICO, confers drought tolerance through increased abscisic acid biosynthesis. Plant J. 2006, 47, 343–355. [Google Scholar] [CrossRef]
- Kachewar, N.R.; Gupta, V.; Ranjan, A.; Patel, H.K.; Sonti, R.V. Overexpression of OsPUB41, a rice E3 ubiquitin ligase induced by cell wall degrading enzymes, enhances immune responses in Rice and Arabidopsis. BMC Plant Biol. 2019, 19, 530. [Google Scholar] [CrossRef]
- Zong, N.; Zhao, H.L.; Liu, K.; Lu, R.X.; Fan, Y.Z.; Miao, M. Study on tomato USP1 in response to drought and high temperature stress. J. Anhui Agric. Univ. 2022, 49, 916–922. [Google Scholar]
- Min, Y.A.; Dong, H.S.; Kim, W.T. PUB22 and PUB23 U-box E3 ubiquitin ligases negatively regulate 26S proteasome activity under proteotoxic stress conditions. J. Integr. Plant Biol. 2022, 64, 625–631. [Google Scholar] [CrossRef]
- Ramos, A.A.; Polle, J.; Tran, D.; Cushman, J.C.; Jin, E.; Va, J.C. The unicellular green alga Dunaliella salina Teod. as a model for abiotic stress tolerance: Genetic advances and future perspectives. Algae 2011, 26, 3–20. [Google Scholar] [CrossRef]
- Kaur, M.; Saini, K.C.; Ojah, H.; Sahoo, R.; Gupta, K.; Kumar, A.; Bast, F. Abiotic stress in algae: Response, signaling and transgenic approaches. J. Appl. Phycol. 2022, 34, 1843–1869. [Google Scholar] [CrossRef]
- Xu, F.; Huang, X.H.; Li, L.L.; Deng, G.; Cheng, H.; Rong, X.F.; Li, J.B.; Cheng, S.Y. Molecular cloning and characterization of GbDXS and GbGGPPS gene promoters from Ginkgo biloba. Genet. Mol. Res. 2013, 12, 293–301. [Google Scholar] [CrossRef] [PubMed]
- Zhang, X.H.; Qi, Y.X. Analysis on TATA -box, GC-Imx and CAAT.box in eukaryotic promoters. J. Anhui Agric. Sci. 2008, 36, 1380–1381. [Google Scholar]
- Viquez, O.M.; Konan, K.N.; Dodo, H.W. Structure and organization of the genomic clone of a major peanut allergen gene, Ara h 1. Mol. Immunol. 2004, 40, 565–571. [Google Scholar] [CrossRef]
- Hatfield, P.M.; Gosink, M.M.; Carpenter, T.B.; Vierstra, R.D. The ubiquitin-activating enzyme (El) gene family in Arabidopsis thaliana. Plant J. 1997, 11, 213–226. [Google Scholar] [CrossRef]
- Lau, O.; Deng, X. Effect of Arabidopsis COP10 ubiquitin E2 enhancement activity across E2 families and functional conservation among its canonical homologues. Biochem. J. 2009, 418, 683–690. [Google Scholar] [CrossRef]
- Fu, H.; Zhong, H.; Chen, P. Ubiquitin ligase APC/C in ubiquitylation and cell cycle regulation. Chin. J. Biochem. Mol. Biol. 2017, 33, 667–673. [Google Scholar]
- Kaur, G.; Vikal, Y.; Kaur, L.; Kalia, A.; Mittal, A.; Kaur, D.; Yadav, I. Elucidating the morpho-physiological adaptations and molecular responses under long-term waterlogging stress in maize through gene expression analysis. Plant Sci. 2021, 304, 110823. [Google Scholar] [CrossRef]
- Caeiro, A.; Ramos, P.; Teixeira, A.; Ferreira, R. The ubiquitin/proteasome pathway from Lemna minor subjected to heat shock. Biol. Plantarum. 2008, 52, 695–702. [Google Scholar] [CrossRef]
- Cheng, M.C.; Kuo, W.C.; Wang, Y.M.; Chen, H.Y.; Lin, T.P. UBC18 mediates ERF1 degradation under light-dark cycles. New Phytol. 2017, 213, 1156–1167. [Google Scholar] [CrossRef] [PubMed]
- Chung, E.; Cho, C.W.; So, H.A.; Kang, J.S.; Chung, Y.S.; Lee, J.H. Overexpression of VrUBC1, a mung bean E2 ubiquitin-conjugating enzyme, enhances osmotic stress tolerance in Arabidopsis. PLoS ONE 2013, 8, 6. [Google Scholar] [CrossRef] [PubMed]
- Sung, M.S.; Hsu, Y.T.; Ho, K.L.; Lee, T.M. Implications of the up-regulation of genes encoding protein degradation enzymes and heat shock protein 90 for intertidal green macroalga Ulva fasciata Against Hypersalinity-Induced Protein Oxidation. Mar. Biotechnol. 2011, 13, 684–694. [Google Scholar] [CrossRef] [PubMed]
- Shu, K.; Yang, W. E3 ubiquitin ligases: Ubiquitous actors in plant development and abiotic stress responses. Plant Cell Physiol. 2017, 58, 1461–1476. [Google Scholar] [CrossRef]
- Xu, J.N.; Xing, S.S.; Cui, H.R.; Chen, X.S.; Wang, X.Y. Genome-wide identification and characterization of the apple (Malus domestica) HECT ubiquitin-protein ligase family and expression analysis of their responsiveness to abiotic stresses. Mol. Genet. Genom. 2016, 291, 635–646. [Google Scholar] [CrossRef]
- Furniss, J.J.; Grey, H.; Wang, Z.S.; Nomoto, M.; Jackson, L.; Tada, Y.; Spoel, S.H. Proteasome-associated HECT-type ubiquitin ligase activity is required for plant immunity. PLoS Pathog. 2018, 14, e1007447. [Google Scholar] [CrossRef]
- Lan, W.; Miao, Y. New Aspects of HECT-E3 ligases in cell senescence and cell death of plants. Plants 2019, 8, 483. [Google Scholar] [CrossRef]
- Wu, P.; Gao, H.N.; Liu, J.; Kosma, D.K.; Lu, S.Y.; Zhao, H.Y. Insight into the roles of the ER-associated degradation E3 ubiquitin ligase HRD1 in plant cuticular lipid biosynthesis. Plant Physiol. Biochem. 2021, 167, 358–365. [Google Scholar] [CrossRef]
- Liu, L.J.; Cui, F.; Li, Q.L.; Yin, B.J.; Zhang, H.W.; Lin, B.Y.; Wu, Y.R.; Xia, R.; Tang, S.Y.; Xie, Q. The endoplasmic reticulum-associated degradation is necessary for plant salt tolerance. Cell Res. 2010, 21, 957–969. [Google Scholar] [CrossRef]
- Hoewyk, D.V. Defects in endoplasmic reticulum-associated degradation (ERAD) increase selenate sensitivity in Arabidopsis. Plant Signal. Behav. 2018, 13, e1171451. [Google Scholar] [CrossRef] [PubMed]
- Kim, J.Y.; Song, J.T.; Seo, H.S. COP1 regulates plant growth and development in response to light at the post-translational level. J. Exp. Bot. 2017, 68, 4737–4748. [Google Scholar] [CrossRef]
- Jang, K.; Lee, H.G.; Jung, S.J.; Paek, N.C.; Seo, P.J. The E3 ubiquitin ligase COP1 regulates thermosensory flowering by triggering GI degradation in Arabidopsis. Sci. Rep. 2015, 5, 12071. [Google Scholar] [CrossRef] [PubMed]
- Lee, J.; Choi, B.; Yun, A.; Son, N.; Ahn, G.; Cha, J.Y.; Kim, W.Y.; Hwang, I. Long-term abscisic acid promotes golden2-like1 degradation through constitutive photomorphogenic 1 in a light intensity-dependent manner to suppress chloroplast development. Plant Cell Environ. 2021, 44, 3034–3048. [Google Scholar] [CrossRef] [PubMed]
- Kelley, D.R. E3 ubiquitin ligases: Key regulators of hormone signaling in plants. Mol. Cell. Proteom. 2018, 17, 1047–1054. [Google Scholar] [CrossRef]
- Biedermann, S.; Hellmann, H. WD40 and CUL4-based E3 ligases: Lubricating all aspects of life. Trends Plant Sci. 2010, 16, 38–46. [Google Scholar] [CrossRef]
- Biedermann, S.; Hellmann, H. The DDB1a interacting proteins ATCSA-1 and DDB2 are critical factors for UV-B tolerance and genomic integrity in Arabidopsis thaliana. Plant J. 2010, 62, 404–415. [Google Scholar] [CrossRef]
- Bernhardt, A.; Lechner, E.; Hano, P.; Schade, V.; Dieterle, M.; Anders, M.; Dubin, M.J.; Benvenuto, G.; Bowler, C.; Genschik, P.; et al. CUL4 associates with DDB1 and DET1 and its downregulation affects diverse aspects of development in Arabidopsis thaliana. Plant J. 2006, 47, 591–603. [Google Scholar] [CrossRef]
- Wei, L.Z.; Cheng, J.H.; Xiang, J.; Wu, J. Genome-wide identification and characterization of grapevine UFD1 genes during berry development and salt stress response. J. Plant Biochem. Biotechnol. 2022, 31, 592–601. [Google Scholar] [CrossRef]
- Li, J.L.; Yuan, J.R.; Li, Y.H.; Sun, H.L.; Ma, T.T.; Huai, J.L.; Yang, W.Q.; Zhang, W.H.; Lin, R.C. The CDC48 complex mediates ubiquitin-dependent degradation of intra-chloroplast proteins in plants. Cell Rep. 2022, 39, 110664. [Google Scholar] [CrossRef]
- Ma, L.J.; Wang, L.L.; Mei, Y.X.; Zhang, S.W.; Wei, W.; Wang, J.Y.; Zhang, Y.L. Cross adaptation tolerance in rice seedlings exposed to PEG induced salinity and drought Stress. Int. J. Agric. Biol. 2016, 18, 535–541. [Google Scholar] [CrossRef]
- Juarez-Moreno, K.; Ayala, M.; Vazquez-Duhalt, R. Antioxidant Capacity of Poly (Ethylene Glycol) (PEG) as Protection Mechanism Against Hydrogen Peroxide Inactivation of Peroxidases. Appl. Biochem. Biotechnol. 2015, 17, 1364–1373. [Google Scholar] [CrossRef] [PubMed]
- Park, J.B.; Kwon, Y.M.; Lee, T.Y.; Brim, R.; Ko, M.C.; Sunahara, R.K.; Woods, J.H.; Yang, V.C. PEGylation of bacterial cocaine esterase for protection against protease digestion and immunogenicity. J. Control. Release 2010, 142, 174–179. [Google Scholar] [CrossRef]
- Li, C.M.; Huang, M.; Gu, Z.B.; Hong, Y.; Cheng, L.; Li, Z.F. Nanosilica sol leads to further increase in polyethylene glycol (PEG) 1000-enhanced thermostability of β-cyclodextrin glycosyltransferase from Bacillus circulans. J. Agric. Food Chem. 2014, 62, 2919–2924. [Google Scholar] [CrossRef] [PubMed]
- Liu, Y.Q.; Bino, R.J.; vanderBurg, W.J.; Groot, S.P.C.; Hilhorst, H.W.M. Effects of osmotic priming on dormancy and storability of tomato (Lycopersicon esculentum Mill.) seeds. Seed Sci. Res. 1996, 6, 49–55. [Google Scholar] [CrossRef]
- Yao, X.H.; Wu, K.L. Effect of PEG pretreatment on germination, growth and its drought-resistance of hulless barley. J. China Agric. Univ. 2013, 18, 80–87. [Google Scholar]
- Dong, D.Z.; Liu, H.C.; Song, S.W.; Sun, G.W.; Chen, R.Y. Effect of Water Stress Induced by PEG on Growth and Quality of Bunching Onion. Intell. Mater. Appl. Mech. Des. Sci. 2012, 142, 116–119. [Google Scholar] [CrossRef]
- Rombauts, S.; Dehais, P.; Van Montagu, M.; Rouze, P. PlantCARE, a plant cis-acting regulatory element database. Nucleic Acids Res. 1999, 27, 295–296. [Google Scholar] [CrossRef]
- Bradford, M.M. A rapid and sensitive method for the quantitation of microgram quantities of protein utilizing the principle of protein-dye binding. Anal. Biochem. 1976, 72, 248–254. [Google Scholar] [CrossRef]
- He, B.X.; Hou, L.L.; Dong, M.M.; Shi, J.W.; Huang, X.Y.; Ding, Y.T.; Cong, X.M.; Zhang, F.; Zhang, X.C.; Zang, X.N. Transcriptome Analysis in Haematococcus pluvialis: Astaxanthin induction by high light with acetate and Fe2+. Int. J. Mol. Sci. 2018, 19, 175. [Google Scholar] [CrossRef]
- Livak, K.J.; Schmittgen, T.D. Analysis of relative gene expression data using real-time quantitative PCR and the 2−ΔΔCT method. Methods 2001, 25, 402–408. [Google Scholar] [CrossRef] [PubMed]









| Gene Name | Primer |
|---|---|
| ACT (actin) | F: CTACTCGTTTACCACTTCTGCTGA |
| R: TTCCATTCCGACCAACTCTG | |
| E1 (ubiquitin-activating enzyme E1) | F: CACAGTCGTTTGCCATCAGC |
| R: TCTTCCCCACATCCCACCTA | |
| E2 (ubiquitin-conjugating enzyme E2) | F: TTATCCGTTCAAGCCACCG |
| R: GAGCGATTTCAGGCACAAG | |
| UPL1 (E3 ubiquitin-protein ligase UPL1) | F: GCGAAGGGGTTTGGAAATAAT |
| R: TGTCTGTAGACTTGACAGGAGGGAT | |
| HRD1 (E3 ubiquitin-protein ligase HRD1) | F: TTCCTCAGGTATCGCCGTGTT |
| R: GTTGCGGTTGTGCTTGGTTCT | |
| UFD1 (ubiquitin fusion degradation protein 1) | F: CACCTTCAGCACTCGACTCCTT |
| R: CGGCGATAAACTCCTGTACTCC | |
| Cul3 (Cul3) | F: GGATGCTGCGAAATGATAAGGT |
| R: ATTCTTGGGAGATGGGGATGGT | |
| Cul4 (Cul4) | F: GGGATATGGGCTTGCTTCTGTT |
| R: TGCGGTAGTAGGTGTCGGTTGA | |
| DDB2 (DNA damage-binding protein 2) | F: CACAATTCCCCTCCTCAACTC |
| R: TGAACAGACTGACGCTTCCCT | |
| PIAS1 (E3 SUMO-protein ligase PIAS1) | F: CCAGTCAAAGGCAAAAGGTGTC |
| R: CCTCCATATCATCGTCTTCGTCA | |
| FZR1 (cell division cycle 20-like protein 1, cofactor of APC complex) | F: CACATTCTGTCCAACGCCACT |
| R: GTTCCAAGCAACAGAGCATACA | |
| APC8 (anaphase-promoting complex subunit 8) | F: AACGACGAAAAGAAGAAGAGCG |
| R: CCAGTGGTTGTCAATGTCCAAA | |
| COP1 (E3 ubiquitin-protein ligase COP1) | F: TCACGGCATTCATTACTACG |
| R: GCACCAACAAACGCTACTC |
Disclaimer/Publisher’s Note: The statements, opinions and data contained in all publications are solely those of the individual author(s) and contributor(s) and not of MDPI and/or the editor(s). MDPI and/or the editor(s) disclaim responsibility for any injury to people or property resulting from any ideas, methods, instructions or products referred to in the content. |
© 2023 by the authors. Licensee MDPI, Basel, Switzerland. This article is an open access article distributed under the terms and conditions of the Creative Commons Attribution (CC BY) license (https://creativecommons.org/licenses/by/4.0/).
Share and Cite
Qin, F.; Shui, G.; Li, Z.; Tu, M.; Zang, X. Expression Profiling Reveals the Possible Involvement of the Ubiquitin–Proteasome Pathway in Abiotic Stress Regulation in Gracilariopsis lemaneiformis. Int. J. Mol. Sci. 2023, 24, 12313. https://doi.org/10.3390/ijms241512313
Qin F, Shui G, Li Z, Tu M, Zang X. Expression Profiling Reveals the Possible Involvement of the Ubiquitin–Proteasome Pathway in Abiotic Stress Regulation in Gracilariopsis lemaneiformis. International Journal of Molecular Sciences. 2023; 24(15):12313. https://doi.org/10.3390/ijms241512313
Chicago/Turabian StyleQin, Feng, Guangqiang Shui, Zheng Li, Mengge Tu, and Xiaonan Zang. 2023. "Expression Profiling Reveals the Possible Involvement of the Ubiquitin–Proteasome Pathway in Abiotic Stress Regulation in Gracilariopsis lemaneiformis" International Journal of Molecular Sciences 24, no. 15: 12313. https://doi.org/10.3390/ijms241512313
APA StyleQin, F., Shui, G., Li, Z., Tu, M., & Zang, X. (2023). Expression Profiling Reveals the Possible Involvement of the Ubiquitin–Proteasome Pathway in Abiotic Stress Regulation in Gracilariopsis lemaneiformis. International Journal of Molecular Sciences, 24(15), 12313. https://doi.org/10.3390/ijms241512313
