The Effect of Metal Ions (Fe, Co, Ni, and Cu) on the Molecular-Structural, Protein Binding, and Cytotoxic Properties of Metal Pyridoxal-Thiosemicarbazone Complexes
Abstract
1. Introduction
2. Results
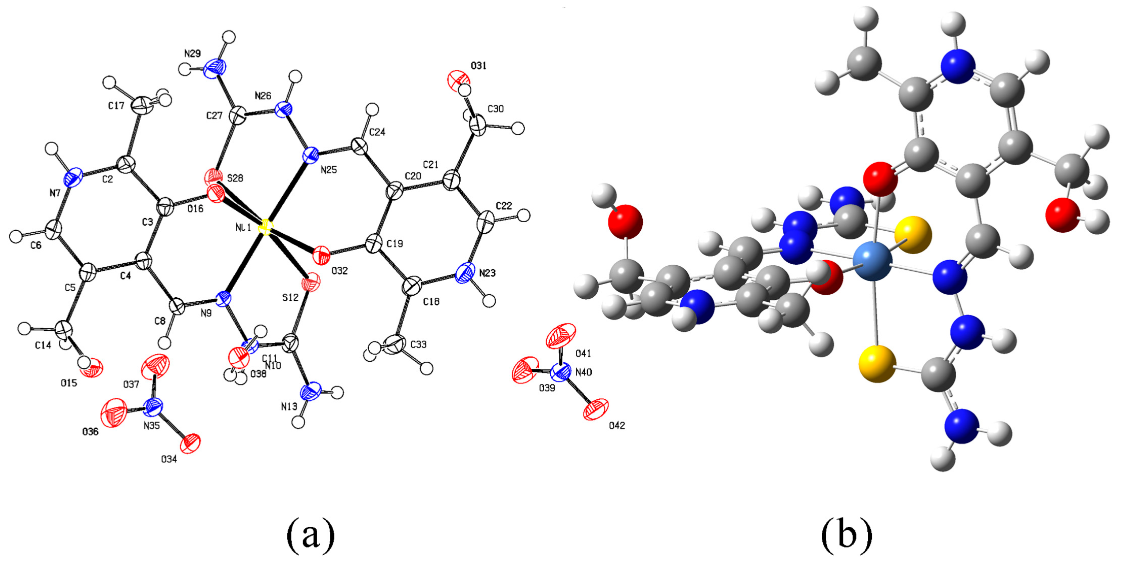
2.1. Crystal Structure of Ni-PLTSC Analysis
2.2. Hirshfeld Surface Analysis
2.3. Structure Optimization and NBO Analysis
2.4. Spectrofluorometric Investigation of the Binding to BSA and HSA
2.5. Molecular Docking Investigation of the Binding Process between Investigated Complexes and BSA, HSA, and DNA
2.6. Cytotoxicity Studies
3. Materials and Methods
3.1. Chemicals
3.2. Synthesis of Investigated Compounds
3.3. X-ray Analysis
3.4. Hirshfeld Surface Analysis
3.5. Theoretical Calculations
3.6. Spectrofluorometric Measurements
3.7. Molecular Docking
3.8. Cells
3.9. Viability Assays (MTT and CV)
4. Conclusions
Supplementary Materials
Author Contributions
Funding
Institutional Review Board Statement
Informed Consent Statement
Data Availability Statement
Acknowledgments
Conflicts of Interest
References
- Oun, R.; Moussa, Y.E.; Wheate, N.J. The side effects of platinum-based chemotherapy drugs: A review for chemists. Dalt. Trans. 2018, 47, 6645–6653. [Google Scholar] [CrossRef]
- Yu, C.; Wang, Z.; Sun, Z.; Zhang, L.; Zhang, W.; Xu, Y.; Zhang, J.-J. Platinum-Based Combination Therapy: Molecular Rationale, Current Clinical Uses, and Future Perspectives. J. Med. Chem. 2020, 63, 13397–13412. [Google Scholar] [CrossRef]
- Jamieson, E.R.; Lippard, S.J. Structure, Recognition, and Processing of Cisplatin−DNA Adducts. Chem. Rev. 1999, 99, 2467–2498. [Google Scholar] [CrossRef]
- Todd, R.C.; Lippard, S.J. Inhibition of transcription by platinum antitumor compounds. Metallomics 2009, 1, 280. [Google Scholar] [CrossRef]
- Wang, D.; Lippard, S.J. Cellular processing of platinum anticancer drugs. Nat. Rev. Drug Discov. 2005, 4, 307–320. [Google Scholar] [CrossRef]
- Eichhorn, T.; Kolbe, F.; Mišić, S.; Dimić, D.; Morgan, I.; Saoud, M.; Milenković, D.; Marković, Z.; Rüffer, T.; Dimitrić Marković, J.; et al. Synthesis, Crystallographic Structure, Theoretical Analysis, Molecular Docking Studies, and Biological Activity Evaluation of Binuclear Ru(II)-1-Naphthylhydrazine Complex. Int. J. Mol. Sci. 2023, 24, 689. [Google Scholar] [CrossRef]
- Lobana, T.S.; Sharma, R.; Bawa, G.; Khanna, S. Bonding and structure trends of thiosemicarbazone derivatives of metals—An overview. Coord. Chem. Rev. 2009, 253, 977–1055. [Google Scholar] [CrossRef]
- Ozturk, I.I. Synthesis, Characterization and Hirshfeld Surface Analysis of Some Thiosemicarbazones Containing a Five-Membered Ring. J. Struct. Chem. 2023, 64, 743–756. [Google Scholar] [CrossRef]
- Prajapati, N.P.; Patel, H.D. Novel thiosemicarbazone derivatives and their metal complexes: Recent developments. Synth. Commun. 2019, 49, 2767–2804. [Google Scholar] [CrossRef]
- Venkatraman, R.; Ameera, H.; Sitole, L.; Ellis, E.; Fronczek, F.R.; Valente, E.J. Structures of Eight Thio(semi)carbazones Derived from 2-Acetylpyrazine, 2-Acetythiazole and Acetophenone. J. Chem. Crystallogr. 2009, 39, 711–718. [Google Scholar] [CrossRef]
- Casas, J.S.; García-Tasende, M.S.; Sordo, J. Main group metal complexes of semicarbazones and thiosemicarbazones. A structural review. Coord. Chem. Rev. 2000, 209, 197–261. [Google Scholar] [CrossRef]
- Rani, M.; Devi, J.; Kumar, B. Thiosemicarbazones—Based Co (II), Ni (II), Cu (II) and Zn (II) complexes: Synthesis, structural elucidation, biological activities and molecular docking. Chem. Pap. 2023, 2. [Google Scholar] [CrossRef]
- Tido, E.W.Y.; Faulmann, C.; Roswanda, R.; Meetsma, A.; van Koningsbruggen, P.J. Tuning of the charge in octahedral ferric complexes based on pyridoxal-N-substituted thiosemicarbazone ligands. Dalt. Trans. 2010, 39, 1643–1651. [Google Scholar] [CrossRef][Green Version]
- Lobana, T.S.; Butcher, R.J. Metal—Thiosemicarbazone interactions. Synthesis of an iodo-bridged dinuclear [diiodobis (pyrrole-2-carbaldehydethiosemicarbazone) dicopper (I)] complex. Transit. Met. Chem. 2004, 29, 291–295. [Google Scholar] [CrossRef]
- Hidalgo, T.; Fabra, D.; Allende, R.; Matesanz, A.I.; Horcajada, P.; Biver, T.; Quiroga, A.G. Two novel Pd thiosemicarbazone complexes as efficient and selective antitumoral drugs. Inorg. Chem. Front. 2023, 10, 1986–1998. [Google Scholar] [CrossRef]
- Minh Quang, N.; Tran Thai, H.; Le Thi, H.; Duc Cuong, N.; Hien, N.Q.; Hoang, D.; Ngoc, V.T.B.; Ky Minh, V.; Van Tat, P. Novel Thiosemicarbazone Quantum Dots in the Treatment of Alzheimer’s Disease Combining In Silico Models Using Fingerprints and Physicochemical Descriptors. ACS Omega 2023, 8, 11076–11099. [Google Scholar] [CrossRef]
- Khan, M.; Gohar, H.; Alam, A.; Wadood, A.; Shareef, A.; Ali, M.; Khalid, A.; Abdalla, A.N.; Ullah, F. Para-Substituted Thiosemicarbazones as Cholinesterase Inhibitors: Synthesis, In Vitro Biological Evaluation, and In Silico Study. ACS Omega 2023, 8, 5116–5123. [Google Scholar] [CrossRef]
- Belicchi-Ferrari, M.; Bisceglie, F.; Casoli, C.; Durot, S.; Morgenstern-Badarau, I.; Pelosi, G.; Pilotti, E.; Pinelli, S.; Tarasconi, P. Copper(II) and Cobalt(III) Pyridoxal Thiosemicarbazone Complexes with Nitroprusside as Counterion: Syntheses, Electronic Properties, and Antileukemic Activity. J. Med. Chem. 2005, 48, 1671–1675. [Google Scholar] [CrossRef]
- Leovac, V.M.; Jovanović, L.S.; Jevtović, V.S.; Pelosi, G.; Bisceglie, F. Transition metal complexes with thiosemicarbazide-based ligand—Part LV: Synthesis and X-ray structural study of novel Ni(II) complexes with pyridoxal semicarbazone and pyridoxal thiosemicarbazone. Polyhedron 2007, 26, 2971–2978. [Google Scholar] [CrossRef]
- Leovac, V.M.; Jevtović, V.S.; Jovanović, L.S.; Bogdanović, G.A. Metal complexes with schiff-base ligands—Pyridoxal and semicarbazide-based derivatives. J. Serbian Chem. Soc. 2005, 70, 393–422. [Google Scholar] [CrossRef]
- Aly, A.A.; Abdallah, E.M.; Ahmed, S.A.; Rabee, M.M.; Bräse, S. Transition Metal Complexes of Thiosemicarbazides, Thiocarbohydrazides, and Their Corresponding Carbazones with Cu(I), Cu(II), Co(II), Ni(II), Pd(II), and Ag(I)—A Review. Molecules 2023, 28, 1808. [Google Scholar] [CrossRef]
- Lobana, T.S.; Bawa, G.; Butcher, R.J.; Liaw, B.J.; Liu, C.W. Thiosemicarbazonates of ruthenium(II): Crystal structures of [bis(diphenylphosphino)butane][bis(pyridine-2-carbaldehydethiosemicarbazonato)] ruthenium(II) and [bis(triphenylphosphine)][bis(benzaldehydethiosemicarbazonato)] ruthenium(II). Polyhedron 2006, 25, 2897–2903. [Google Scholar] [CrossRef]
- Fuior, A.; Cebotari, D.; Garbuz, O.; Calancea, S.; Gulea, A.; Floquet, S. Biological properties of a new class of [Mo2O2S2]-based thiosemicarbazone coordination complexes. Inorganica Chim. Acta 2023, 548, 121372. [Google Scholar] [CrossRef]
- Ali, M.S.; El-Saied, F.A.; Shakdofa, M.M.; Karnik, S.; Jaragh-Alhadad, L.A. Synthesis and characterization of thiosemicarbazone metal complexes: Crystal structure, and antiproliferation activity against breast (MCF7) and lung (A549) cancers. J. Mol. Struct. 2023, 1274, 134485. [Google Scholar] [CrossRef]
- Savir, S.; Wei, Z.J.; Liew, J.W.K.; Vythilingam, I.; Lim, Y.A.L.; Saad, H.M.; Sim, K.S.; Tan, K.W. Synthesis, cytotoxicity and antimalarial activities of thiosemicarbazones and their nickel (II) complexes. J. Mol. Struct. 2020, 1211, 128090. [Google Scholar] [CrossRef]
- Leovac, V.M.; Jevtović, V.S.; Bogdanovic, G.A. Transition metal complexes with thio-semicarbazide-based ligands. XLIV1. Aqua(3-hydroxy-5-hydroxymethyl-2-methylpyridine-4- carboxaldehyde 3-methylisothiosemicarbazone-κ3O, N1, N4)nitratocopper(II) nitrate. Acta Crystallogr. Sect. C Cryst. Struct. Commun. 2002, 58, m514–m516. [Google Scholar] [CrossRef]
- Rodić, M.V.; Radanović, M.M.; Vojinović-Ješić, L.S.; Belošević, S.K.; Jaćimović, Ž.K.; Leovac, V.M. Synthesis and crystal structure of copper(II) complexes with pyridoxal S-methylisothiosemicarbazone bearing a new coordination mode. J. Serbian Chem. Soc. 2019, 84, 467–476. [Google Scholar] [CrossRef]
- Ivković, S.A.; Vojinović-Ješić, L.S.; Leovac, V.M.; Rodić, M.V.; Novaković, S.B.; Bogdanović, G.A. Transition metal complexes with thiosemicarbazide-based ligands. Part 61. Comparative analysis of structural properties of the pyridoxal thiosemicarbazone ligands. Crystal structure of PLTSC·HCl·2H2O and its complex [Fe(PLTSC)Cl2(H2O)]Cl. Struct. Chem. 2015, 26, 269–277. [Google Scholar] [CrossRef]
- Altamimi, A.S.; Al-zahrani, S.A.; Jevtovic, V. Synthesis, Structure Analysis and Antibacterial Activity of Zn (II) and Co (III) Complexes. Am. J. Chem. 2021, 11, 43–48. [Google Scholar] [CrossRef]
- Avdović, E.H.; Milanović, Ž.B.; Molčanov, K.; Roca, S.; Vikić-Topić, D.; Mrkalić, E.M.; Jelić, R.M.; Marković, Z.S. Synthesis, characterization and investigating the binding mechanism of novel coumarin derivatives with human serum albumin: Spectroscopic and computational approach. J. Mol. Struct. 2022, 1254, 132366. [Google Scholar] [CrossRef]
- Fasano, M.; Curry, S.; Terreno, E.; Galliano, M.; Fanali, G.; Narciso, P.; Notari, S.; Ascenzi, P. The extraordinary ligand binding properties of human serum albumin. IUBMB Life (Int. Union Biochem. Mol. Biol. Life) 2005, 57, 787–796. [Google Scholar] [CrossRef] [PubMed]
- Fanali, G.; di Masi, A.; Trezza, V.; Marino, M.; Fasano, M.; Ascenzi, P. Human serum albumin: From bench to bedside. Mol. Aspects Med. 2012, 33, 209–290. [Google Scholar] [CrossRef]
- Liu, T.; Liu, M.; Guo, Q.; Liu, Y.; Zhao, Y.; Wu, Y.; Sun, B.; Wang, Q.; Liu, J.; Han, J. Investigation of binary and ternary systems of human serum albumin with oxyresveratrol/piceatannol and/or mitoxantrone by multipectroscopy, molecular docking and cytotoxicity evaluation. J. Mol. Liq. 2020, 311, 113364. [Google Scholar] [CrossRef]
- Chugh, H.; Kumar, P.; Tomar, V.; Kaur, N.; Sood, D.; Chandra, R. Interaction of noscapine with human serum albumin (HSA): A spectroscopic and molecular modelling approach. J. Photochem. Photobiol. A Chem. 2019, 372, 168–176. [Google Scholar] [CrossRef]
- Bagheri, M.; Fatemi, M.H. Fluorescence spectroscopy, molecular docking and molecular dynamic simulation studies of HSA-Aflatoxin B1 and G1 interactions. J. Lumin. 2018, 202, 345–353. [Google Scholar] [CrossRef]
- Palchaudhuri, R.; Hergenrother, P.J. DNA as a target for anticancer compounds: Methods to determine the mode of binding and the mechanism of action. Curr. Opin. Biotechnol. 2007, 18, 497–503. [Google Scholar] [CrossRef] [PubMed]
- Vojinović-Ješić, L.S.; Rodić, M.V.; Barta Holló, B.; Ivković, S.A.; Leovac, V.M.; Mészáros Szécsényi, K. Synthesis, characterization and thermal behavior of copper(II) complexes with pyridoxal thiosemi (PLTSC)- and S-methylisothiosemicarbazone (PLITSC). J. Therm. Anal. Calorim. 2016, 123, 2069–2079. [Google Scholar] [CrossRef]
- Danac, R.; Pui, A.; Corja, I.; Amarandi, R.M.; Ciobanu, C.I.; Apostu, M.O.; Palamarciuc, O. New M(II) (M=Mn, Co, Ni, Cu, Zn, Pd) coordinative compounds with 2-formylpyridine S-methyl-isothiosemicarbazide. J. Mol. Struct. 2020, 1207, 127747. [Google Scholar] [CrossRef]
- Graur, V.; Chumakov, Y.; Garbuz, O.; Hureau, C.; Tsapkov, V.; Gulea, A. Synthesis, Structure, and Biologic Activity of Some Copper, Nickel, Cobalt, and Zinc Complexes with 2-Formylpyridine N4-Allylthiosemicarbazone. Bioinorg. Chem. Appl. 2022, 2022, 1–18. [Google Scholar] [CrossRef]
- Gak Simić, K.; Đorđević, I.; Lazić, A.; Radovanović, L.; Petković-Benazzouz, M.; Rogan, J.; Trišović, N.; Janjić, G. On the supramolecular outcomes of fluorination of cyclohexane-5-spirohydantoin derivatives. Cryst. Eng. Comm. 2021, 23, 2606–2622. [Google Scholar] [CrossRef]
- Janjić, G.V.; Jelić, S.T.; Trišović, N.P.; Popović, D.M.; Dordević, I.S.; Milčić, M.K. New Theoretical Insight into Fluorination and Fluorine-Fluorine Interactions as a Driving Force in Crystal Structures. Cryst. Growth Des. 2020, 20, 2943–2951. [Google Scholar] [CrossRef]
- Jevtović, V.; Hamoud, H.; Al-zahrani, S.; Alenezi, K.; Latif, S.; Alanazi, T.; Abdulaziz, F.; Dimić, D. Synthesis, Crystal Structure, Quantum Chemical Analysis, Electrochemical Behavior, and Antibacterial and Photocatalytic Activity of Co Complex with. Molecules 2022, 27, 4809. [Google Scholar] [CrossRef]
- Jevtovic, V.; Alshammari, N.; Latif, S.; Alsukaibi, A.K.D.; Humaidi, J.; Alanazi, T.Y.A.; Abdulaziz, F.; Matalka, S.I.; Pantelić, N.Đ.; Marković, M.; et al. Synthesis, Crystal Structure, Theoretical Calculations, Antibacterial Activity, Electrochemical Behavior, and Molecular Docking of Ni(II) and Cu(II) Complexes with Pyridoxal-Semicarbazone. Molecules 2022, 27, 6322. [Google Scholar] [CrossRef] [PubMed]
- Aly, S.A.; Eldourghamy, A.; El-Fiky, B.A.; Megahed, A.A.; El-Sayed, W.A.; Abdalla, E.M.; Elganzory, H.H. Synthesis, spectroscopic characterization, thermal studies, and molecular docking of novel Cr(III), Fe(III), and Co(II) complexes based on Schiff base: In vitro antibacterial and antitumor activities. J. Appl. Pharm. Sci. 2022, 13, 196–210. [Google Scholar] [CrossRef]
- Ibrahim, M.M.; El-Kemary, M.A.; Al-Harbi, S.A.; Al-Saidi, H.M.; Sallam, S.A.; Ramadan, A.E.-M.M. Synthesis and structural characterization of Pyridine-based Mn(II), Fe(III), and Co(III) complexes as SOD mimics and BSA binding studies. J. Mol. Struct. 2021, 1228, 129706. [Google Scholar] [CrossRef]
- Rudra, S.; Dasmandal, S.; Patra, C.; Kundu, A.; Mahapatra, A. Binding affinities of Schiff base Fe(II) complex with BSA and calf-thymus DNA: Spectroscopic investigations and molecular docking analysis. Spectrochim. Acta-Part A Mol. Biomol. Spectrosc. 2016, 166, 84–94. [Google Scholar] [CrossRef]
- Guo, J.-L.; Liu, G.-Y.; Wang, R.-Y.; Sun, S.-X. Synthesis and structure elucidation of two essential metal complexes: In-vitro studies of their BSA/HSA-binding properties, docking simulations, and anticancer activities. Molecules 2022, 27, 1886. [Google Scholar] [CrossRef]
- Zhang, Y.-Z.; Li, H.-R.; Dai, J.; Chen, W.-J.; Zhang, J.; Liu, Y. Spectroscopic studies on the binding of cobalt(II) 1,10-phenanthroline complex to Bovine Serum Albumin. Biol. Trace Elem Res. 2010, 135, 136–152. [Google Scholar] [CrossRef]
- Ray, A.; Seth, B.K.; Pal, U.; Basu, S. Nickel(II)-Schiff base complex recognizing domain II of bovine and humane serum albumin: Spectroscopic and docking studies. Spectrochim. Acta-Part A Mol. Biomol. Spectrosc. 2012, 92, 164–174. [Google Scholar] [CrossRef]
- Duru Kamaci, U.; Kamaci, M.; Peksel, A. Thermally Stable Schiff Base and its Metal Complexes: Molecular Docking and Protein Binding Studies. J. Fluoresc. 2017, 27, 805–817. [Google Scholar] [CrossRef]
- Bera, M.; Das, M.; Dolai, M.; Laha, S.; Islam, M.M.; Samanta, B.C.; Das, A.; Choudhuri, I.; Bhattacharyya, N.; Maity, T. DNA/Protein Binding and Apoptotic-Induced Anticancer Property of a First Time Reported Quercetin–Iron(III) Complex Having a Secondary Anionic Residue: A Combined Experimental and Theoretical Approach. ACS Omega 2023, 8, 636–647. [Google Scholar] [CrossRef] [PubMed]
- Bai, H.; Shi, J.; Guo, Q.; Wang, W.; Zhang, Z.; Li, Y.; Vennampalli, M.; Zhao, X.; Wang, H. Spectroscopy, Structure, Biomacromolecular Interactions, and Antiproliferation Activity of a Fe(II) Complex With DPA-Bpy as Pentadentate Ligand. Front. Chem. 2022, 10, 888693. [Google Scholar] [CrossRef]
- De Simone, G.; di Masi, A.; Ascenzi, P. Serum Albumin: A Multifaced Enzyme. Int. J. Mol. Sci. 2021, 22, 10086. [Google Scholar] [CrossRef] [PubMed]
- Behnamfar, M.T.; Hadadzadeh, H.; Simpson, J.; Darabi, F.; Shahpiri, A.; Khayamian, T.; Ebrahimi, M.; Amiri Rudbari, H.; Salimi, M. Experimental and molecular modeling studies of the interaction of the polypyridyl Fe(II) and Fe(III) complexes with DNA and BSA. Spectrochim. Acta-Part A Mol. Biomol. Spectrosc. 2015, 134, 502–516. [Google Scholar] [CrossRef] [PubMed]
- Li, Y.; Qian, C.; Li, Y.; Yang, Y.; Lin, D.; Liu, X.; Chen, C. Syntheses, crystal structures of two Fe(III) Schiff base complexes with chelating o-vanillin aroylhydrazone and exploration of their bio-relevant activities. J. Inorg. Biochem. 2021, 218, 111405. [Google Scholar] [CrossRef] [PubMed]
- Hassani Moghadam, F.; Taher, M.A.; Karimi-Maleh, H. Doxorubicin Anticancer Drug Monitoring by ds-DNA-Based Electrochemical Biosensor in Clinical Samples. Micromachines 2021, 12, 808. [Google Scholar] [CrossRef]
- Shamsi, F.; Aneja, B.; Hasan, P.; Zeya, B.; Zafaryab, M.; Mehdi, S.H.; Rizvi, M.M.A.; Patel, R.; Rana, S.; Abid, M. Synthesis, Anticancer Evaluation and DNA-Binding Spectroscopic Insights of Quinoline-Based 1,3,4-Oxadiazole-1,2,3-triazole Conjugates. Chem. Sel. 2019, 4, 12176–12182. [Google Scholar] [CrossRef]
- Predarska, I.; Saoud, M.; Drača, D.; Morgan, I.; Komazec, T.; Eichhorn, T.; Mihajlović, E.; Dunđerović, D.; Mijatović, S.; Maksimović-Ivanić, D.; et al. Mesoporous Silica Nanoparticles Enhance the Anticancer Efficacy of Platinum(IV)-Phenolate Conjugates in Breast Cancer Cell Lines. Nanomaterials 2022, 12, 3767. [Google Scholar] [CrossRef]
- CrysAlisPRO; Oxford Diffraction/Agilent Technologies UK Ltd.: Yarnton, UK, 2017.
- Turner, M.J.; McKinnon, J.J.; Wolff, S.K.; Grimwood, D.J.; Spackman, P.R.; Jayatilaka, D.; Spackman, M.A. CrystalExplorer17; University of Western Australia: Perth, Australia, 2017. [Google Scholar]
- Karrouchi, K.; Brandán, S.A.; Sert, Y.; El Karbane, M.; Radi, S.; Ferbinteanu, M.; Garcia, Y.; Ansar, M. Synthesis, structural, molecular docking and spectroscopic studies of (E)-N′-(4-methoxybenzylidene)-5-methyl-1H-pyrazole-3-carbohydrazide. J. Mol. Struct. 2021, 1225, 129072. [Google Scholar] [CrossRef]
- Spackman, M.A.; Jayatilaka, D. Hirshfeld surface analysis. CrystEngComm 2009, 11, 19–32. [Google Scholar] [CrossRef]
- Spackman, M.A.; Byrom, P.G. A novel definition of a molecule in a crystal. Chem. Phys. Lett. 1997, 267, 215–220. [Google Scholar] [CrossRef]
- Frisch, M.J.; Trucks, G.W.; Schlegel, J.; Scuseria, G.E.; Robb, M.A.; Cheeseman, J.R.; Schlegel, H.B.; Scalmani, G.; Barone, V.; Mennucci, B.; et al. Gaussian 09, Revision C.01; Gaussian, Inc.: Wallingford, CT, USA, 2009. [Google Scholar]
- Becke, A.D. Density-functional thermochemistry. III. The role of exact exchange. J. Chem. Phys. 1993, 98, 5648. [Google Scholar] [CrossRef]
- Dunning, T.H. Gaussian basis sets for use in correlated molecular calculations. I. The atoms boron through neon and hydrogen. J. Chem. Phys. 1989, 90, 1007. [Google Scholar] [CrossRef]
- Hay, P.J.; Wadt, W.R. Ab initio effective core potentials for molecular calculations. Potentials for the transition metal atoms Sc to Hg. J. Chem. Phys. 1985, 82, 270–283. [Google Scholar] [CrossRef]
- Hay, P.J.; Wadt, W.R. Ab initio effective core potentials for molecular calculations. Potentials for K to Au including the outermost core orbitale. J. Chem. Phys. 1985, 82, 299–310. [Google Scholar] [CrossRef]
- Dennington, R.; Todd, K.; Millam, J. GausView 2009; Semichem Inc.: Shawnee, MI, USA, 2009. [Google Scholar]
- Reed, A.E.; Weinstock, R.B.; Weinhold, F. Natural population analysis. J. Chem. Phys. 1985, 83, 735–746. [Google Scholar] [CrossRef]
- Behjatmanesh-Ardakani, R. NBO–NEDA, NPA, and QTAIM studies on the interactions between aza-, diaza-, and triaza-12-crown-4 (An-12-crown-4, n=1, 2, 3) and Li+, Na+, and K+ ions. Comput. Theor. Chem. 2015, 1051, 62–71. [Google Scholar] [CrossRef]
- Valdés-Tresanco, M.S.; Valdés-Tresanco, M.E.; Valiente, P.A.; Moreno, E. AMDock: A versatile graphical tool for assisting molecular docking with Autodock Vina and Autodock4. Biol. Direct 2020, 15, 12. [Google Scholar] [CrossRef]
- Wang, J.; Wolf, R.M.; Caldwell, J.W.; Kollman, P.A.; Case, D.A. Development and testing of a general amber force field. J. Comput. Chem. 2004, 25, 1157–1174. [Google Scholar] [CrossRef] [PubMed]
- Milanović, Ž.B.; Antonijević, M.R.; Amić, A.D.; Avdović, E.H.; Dimić, D.S.; Milenković, D.A.; Marković, Z.S. Inhibitory activity of quercetin, its metabolite, and standard antiviral drugs towards enzymes essential for SARS-CoV-2: The role of acid–base equilibria. RSC Adv. 2021, 11, 2838–2847. [Google Scholar] [CrossRef]
- Amić, A.; Dimitrić Marković, J.M.; Marković, Z.; Milenković, D.; Milanović, Ž.; Antonijević, M.; Mastiľák Cagardová, D.; Rodríguez-Guerra Pedregal, J. Theoretical Study of Radical Inactivation, LOX Inhibition, and Iron Chelation: The Role of Ferulic Acid in Skin Protection against UVA Induced Oxidative Stress. Antioxidants 2021, 10, 1303. [Google Scholar] [CrossRef] [PubMed]
- Ghuman, J.; Zunszain, P.A.; Petitpas, I.; Bhattacharya, A.A.; Otagiri, M.; Curry, S. Structural Basis of the Drug-binding Specificity of Human Serum Albumin. J. Mol. Biol. 2005, 353, 38–52. [Google Scholar] [CrossRef] [PubMed]
- Dassault Systèmes BIOVIA. Discovery Studio Modeling Environment (Release 2017); BIOVIA: San Diego, CA, USA, 2016. [Google Scholar]
- Canals, A.; Purciolas, M.; Aymamí, J.; Coll, M. The anticancer agent ellipticine unwinds DNA by intercalative binding in an orientation parallel to base pairs. Acta Crystallogr. Sect. D Biol. Crystallogr. 2005, 61, 1009–1012. [Google Scholar] [CrossRef]
- Drewt, H.R.; Wingtt, R.M.; Takanot, T.; Brokat, C.; Tanakat, S.; Itakuraii, K.; Dickersont, R.E. Structure of a B-DNA dodecamer: Conformation and dynamics. Proc. Natl. Acad. Sci. USA 1981, 78, 2179–2183. [Google Scholar] [CrossRef]
- Dimić, D.S.; Kaluđerović, G.N.; Avdović, E.H.; Milenković, D.A.; Živanović, M.N.; Potočňák, I.; Samoľová, E.; Dimitrijević, M.S.; Saso, L.; Marković, Z.S.; et al. Synthesis, Crystallographic, Quantum Chemical, Antitumor, and Molecular Docking/Dynamic Studies of 4-Hydroxycoumarin-Neurotransmitter Derivatives. Int. J. Mol. Sci. 2022, 23, 1001. [Google Scholar] [CrossRef] [PubMed]









| Compound | T [K] | Kb [M−1] | n | R2 | ΔHb [kJ mol−1] | ΔSb [J mol−1 K−1] | ΔGb [kJ mol−1] |
|---|---|---|---|---|---|---|---|
| Fe-PLTSC | 300 | 1.32 × 105 | 1.1 | 0.997 | 15.5 | 149 | −29.4 |
| 305 | 1.48 × 105 | 1.1 | 0.997 | −30.2 | |||
| 310 | 1.61 × 105 | 1.1 | 0.993 | −30.9 | |||
| Co-PLTSC | 300 | 2.14 × 105 | 1.1 | 0.986 | 70.3 | 33.7 | −30.7 |
| 305 | 4.07 × 105 | 1.1 | 0.999 | −32.4 | |||
| 310 | 5.29 × 105 | 1.1 | 0.997 | −34.1 | |||
| Ni-PLTSC | 300 | 1.71 × 107 | 1.2 | 0.962 | −79.4 | −126 | −41.7 |
| 305 | 1.11 × 107 | 1.2 | 0.996 | −41.0 | |||
| 310 | 6.13 × 106 | 1.2 | 0.991 | −40.4 | |||
| Cu-PLTSC | 300 | 6.24 × 106 | 1.3 | 0.996 | 67.4 | 355 | −38.9 |
| 305 | 9.19 × 106 | 1.2 | 0.997 | −40.7 | |||
| 310 | 1.49 × 107 | 1.2 | 0.995 | −42.5 |
| Compound | T [K] | Kb [M−1] | n | R2 | ΔHb [kJ mol−1] | ΔSb [J mol−1 K−1] | ΔGb [kJ mol−1] |
|---|---|---|---|---|---|---|---|
| Fe-PLTSC | 300 | 7.55 × 105 | 1.2 | 0.999 | 58.3 | 307 | −33.8 |
| 305 | 1.26 × 106 | 1.2 | 0.999 | −35.4 | |||
| 310 | 1.65 × 106 | 1.1 | 0.998 | −36.9 | |||
| Co-PLTSC | 300 | 8.07 × 104 | 1.0 | 0.999 | 12.7 | 136 | −28.2 |
| 305 | 8.79 × 104 | 1.0 | 0.996 | −28.9 | |||
| 310 | 9.50 × 104 | 1.0 | 0.999 | −29.5 | |||
| Ni-PLTSC | 300 | 2.67 × 106 | 1.2 | 0.991 | −31.4 | 15.5 | −37.1 |
| 305 | 2.57 × 106 | 1.2 | 0.993 | −37.2 | |||
| 310 | 1.75 × 106 | 1.2 | 0.994 | −37.2 | |||
| Cu-PLTSC | 300 | 3.04 × 107 | 1.2 | 0.991 | 69.1 | 372 | −42.6 |
| 305 | 3.40 × 107 | 1.2 | 0.993 | −44.5 | |||
| 310 | 7.46 × 107 | 1.2 | 0.994 | −46.3 |
| Conformation | ΔGbind | Ki (µM) | ΔGinter | ΔGvdw+hbond+desolv | ΔGelec | ΔGtotal | ΔGtor | ΔGunb |
|---|---|---|---|---|---|---|---|---|
| BSA-Cu-PLTSC-IIA | −22.8 | 99.2 | −27.4 | −27.0 | −0.5 | −2.2 | 4.6 | −2.2 |
| BSA-Cu-PLTSC-IIIA | −24.6 | 48.8 | −29.2 | −29.0 | −0.2 | −2.1 | 4.6 | −2.1 |
| BSA-Fe-PLTSC-IIA | −24.4 | 53.1 | −29.0 | −28.6 | −0.4 | −1.5 | 4.6 | −1.5 |
| BSA-Fe-PLTSC-IIIA | −20.3 | 0.3 | −24.9 | −23.7 | −1.2 | −1.4 | 4.6 | −1.4 |
| BSA-Co-PLTSC-IIA | −19.9 | 319.2 | −26.8 | −25.8 | −1.0 | 1.0 | 6.9 | 1.0 |
| BSA-Co-PLTSC-IIIA | −17.0 | 0.1 | −24.5 | −21.5 | −3.0 | 1.0 | 7.5 | 1.0 |
| BSA-Ni-PLTSC-IIA | −20.5 | 0.25 | −25.1 | −23.5 | −1.6 | 0.1 | 4.6 | 0.1 |
| BSA-Ni-PLTSC-IIIA | −18.0 | 699.9 | −22.6 | −21.7 | −0.9 | 0.2 | 4.6 | 0.2 |
| Cell Line | Assay | Fe-PLTSC | Co-PLTSC | Cu-PLTSC | Ni-PLTSC | |
|---|---|---|---|---|---|---|
| HCT116 | Colorectal carcinoma | MTT | >100 | >100 | 17.5 ± 1.8 | >100 |
| CV | >100 | >100 | 18.9 ± 0.6 | >100 | ||
| A375 | melanoma | MTT | >100 | >100 | 74.6 ± 2.3 | >100 |
| CV | >100 | >100 | 98.7 ± 1.9 | >100 | ||
| MCF-7 | Breast cancer | MTT | >100 | >100 | 25.4 ± 0.6 | >100 |
| CV | >100 | >100 | 41.3 ± 3.3 | >100 | ||
| A2780 | Ovarian cancer | MTT | 86.3 ± 13.1 | >100 | 1.8 ± 0.1 | >100 |
| CV | 93.5 ± 9.2 | >100 | 1.7 ± 0.1 | >100 | ||
| MRC5 | Lung fibroblasts | MTT | >100 | >100 | 4.9 ± 0.1 | >100 |
| CV | >100 | >100 | 5.2 ± 0.4 | >100 | ||
| Empirical Formula | C18H26N10NiO11S2 |
|---|---|
| Molecular mass | 681.32 |
| Crystal system | triclinic |
| Space group | P-1 |
| a (A) | 8.0150 (2) |
| b (A) | 10.9287 (3) |
| c (A) | 16.5250 (4) |
| α (°) | 102.013 (2) |
| β (°) | 98.858 (2) |
| Γ (°) | 105.418 (2) |
| V (A3) | 1330.78 (6) |
| Z | 2 |
| F(000) | 704.0 |
| Dx, g cm−3 | 1.700 |
| Theta (max) | 79.852 |
| hkl Ranges | 10, 13, 21 |
| T (K) | 173 |
Disclaimer/Publisher’s Note: The statements, opinions and data contained in all publications are solely those of the individual author(s) and contributor(s) and not of MDPI and/or the editor(s). MDPI and/or the editor(s) disclaim responsibility for any injury to people or property resulting from any ideas, methods, instructions or products referred to in the content. |
© 2023 by the authors. Licensee MDPI, Basel, Switzerland. This article is an open access article distributed under the terms and conditions of the Creative Commons Attribution (CC BY) license (https://creativecommons.org/licenses/by/4.0/).
Share and Cite
Jevtovic, V.; Alshamari, A.K.; Milenković, D.; Dimitrić Marković, J.; Marković, Z.; Dimić, D. The Effect of Metal Ions (Fe, Co, Ni, and Cu) on the Molecular-Structural, Protein Binding, and Cytotoxic Properties of Metal Pyridoxal-Thiosemicarbazone Complexes. Int. J. Mol. Sci. 2023, 24, 11910. https://doi.org/10.3390/ijms241511910
Jevtovic V, Alshamari AK, Milenković D, Dimitrić Marković J, Marković Z, Dimić D. The Effect of Metal Ions (Fe, Co, Ni, and Cu) on the Molecular-Structural, Protein Binding, and Cytotoxic Properties of Metal Pyridoxal-Thiosemicarbazone Complexes. International Journal of Molecular Sciences. 2023; 24(15):11910. https://doi.org/10.3390/ijms241511910
Chicago/Turabian StyleJevtovic, Violeta, Asma K. Alshamari, Dejan Milenković, Jasmina Dimitrić Marković, Zoran Marković, and Dušan Dimić. 2023. "The Effect of Metal Ions (Fe, Co, Ni, and Cu) on the Molecular-Structural, Protein Binding, and Cytotoxic Properties of Metal Pyridoxal-Thiosemicarbazone Complexes" International Journal of Molecular Sciences 24, no. 15: 11910. https://doi.org/10.3390/ijms241511910
APA StyleJevtovic, V., Alshamari, A. K., Milenković, D., Dimitrić Marković, J., Marković, Z., & Dimić, D. (2023). The Effect of Metal Ions (Fe, Co, Ni, and Cu) on the Molecular-Structural, Protein Binding, and Cytotoxic Properties of Metal Pyridoxal-Thiosemicarbazone Complexes. International Journal of Molecular Sciences, 24(15), 11910. https://doi.org/10.3390/ijms241511910

