Synthesis, Characterization and Cytotoxic Evaluation of New Pyrrolo[1,2-b]pyridazines Obtained via Mesoionic Oxazolo-Pyridazinones
Abstract
1. Introduction
2. Results and Discussion
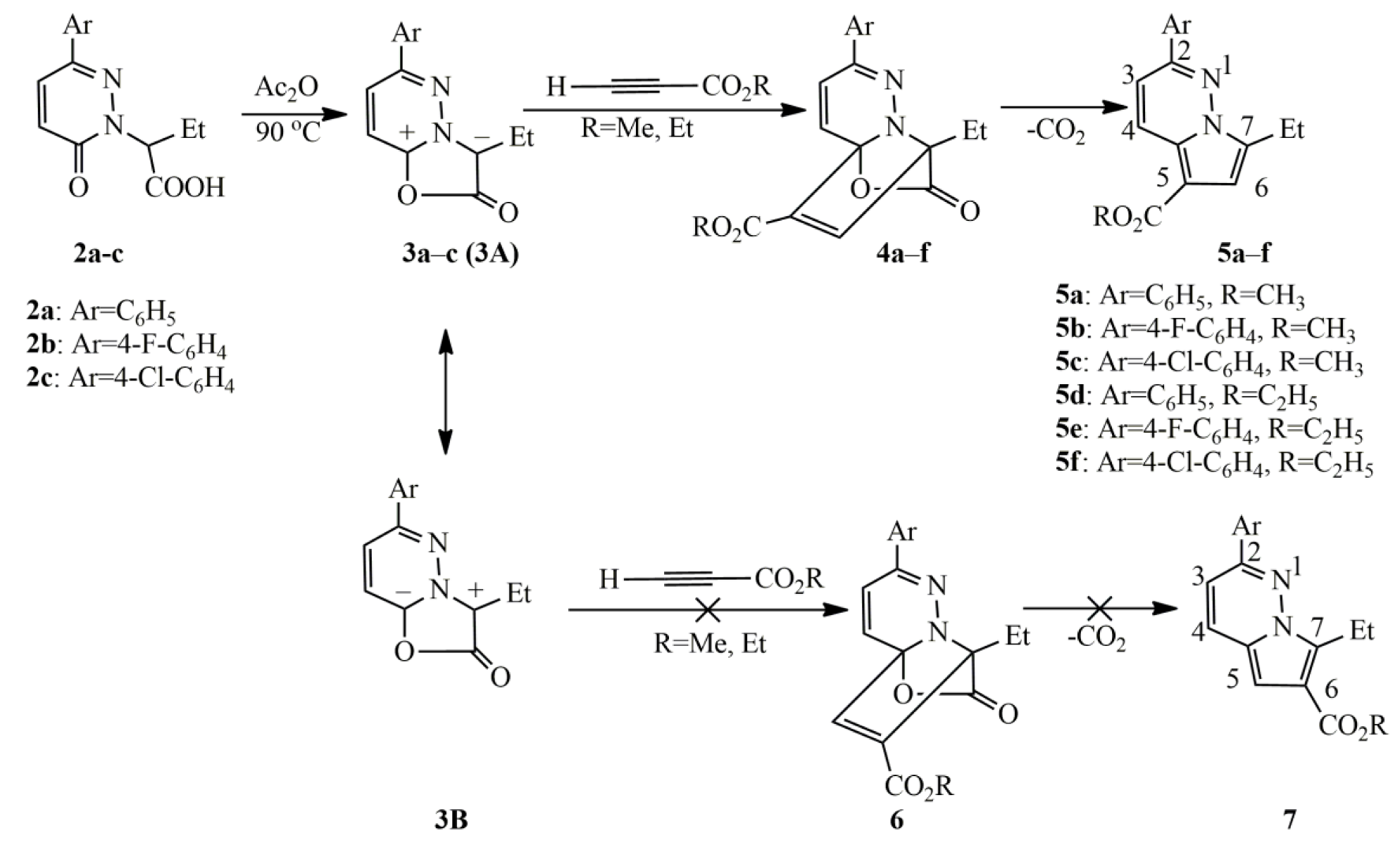
2.1. Chemistry
2.2. Toxicity Evaluation
2.2.1. Plant Toxicity Assay
2.2.2. Animal Toxicity Assay
Artemia franciscana Toxicity Assay
Daphnia magna Toxicity Assay
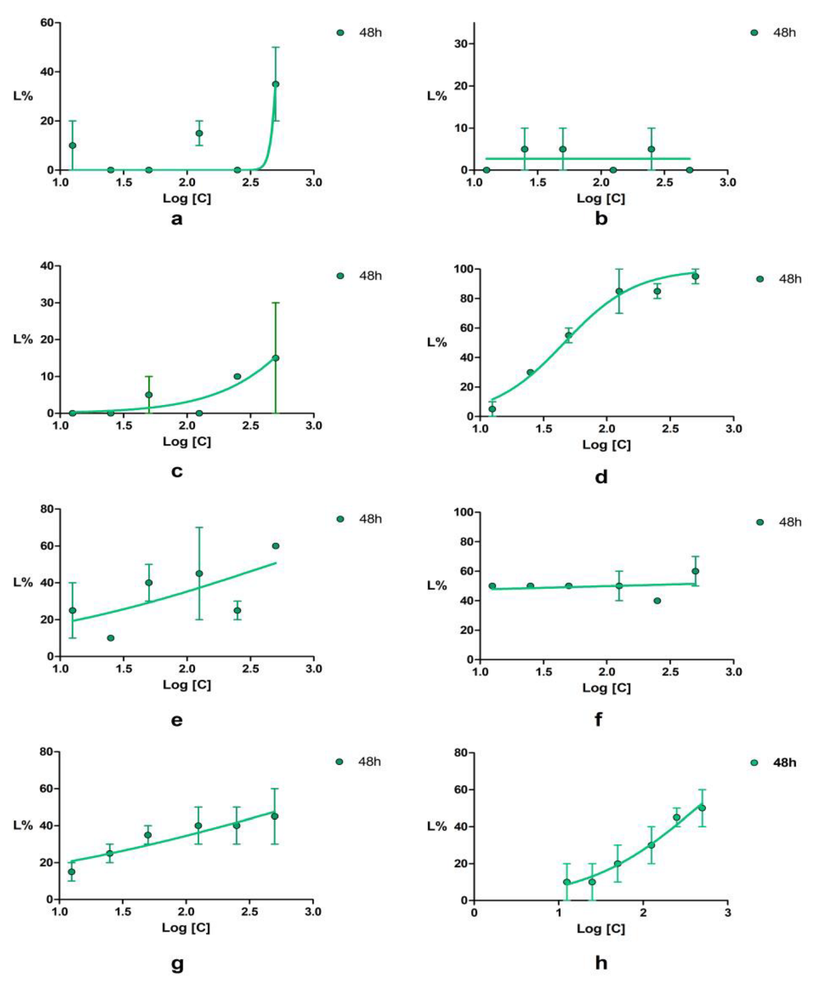
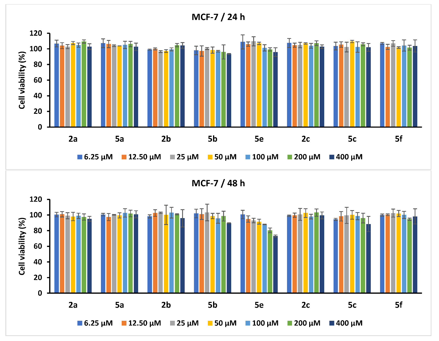
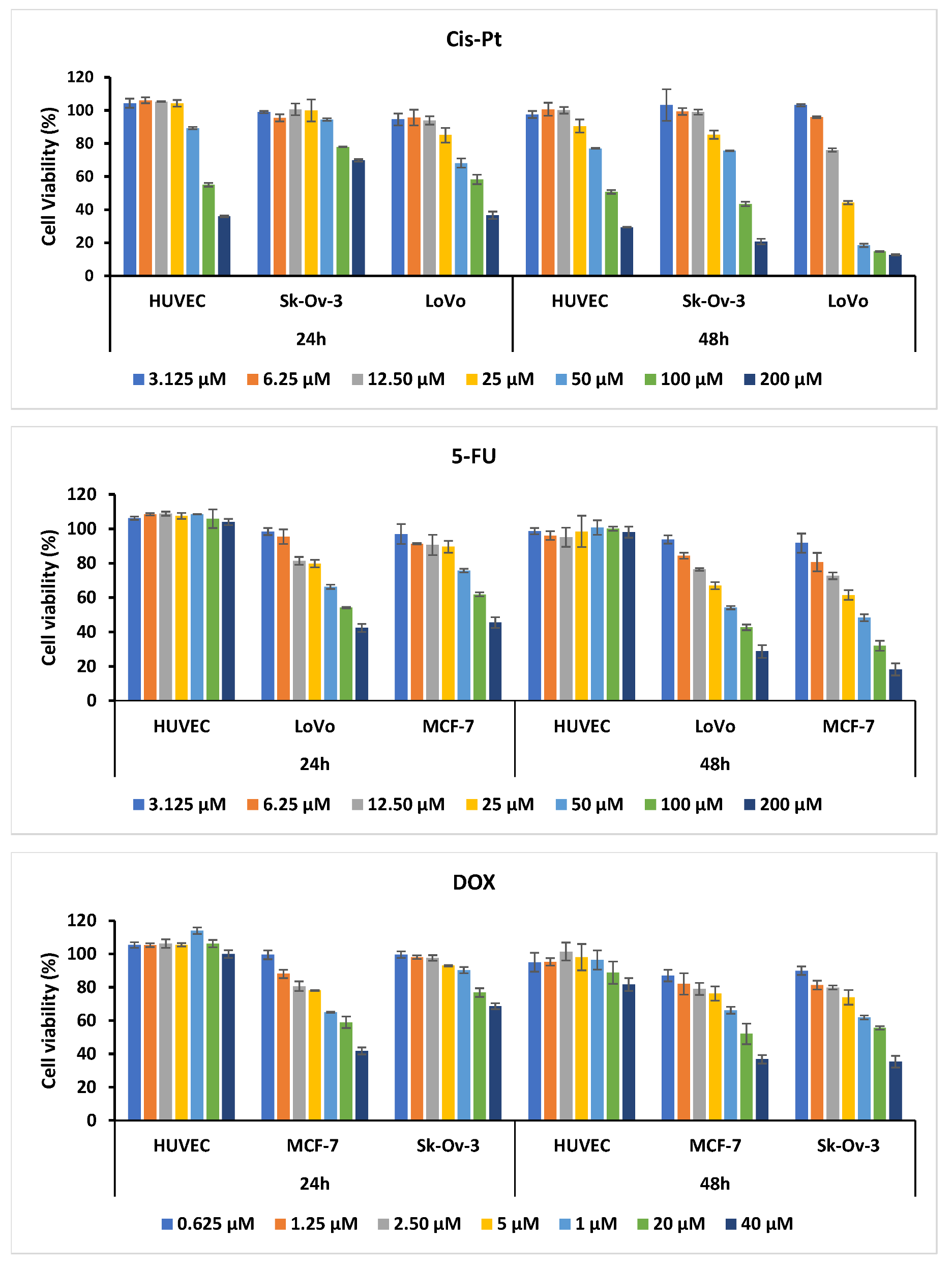
2.2.3. Compound-Mediated Cytotoxicity Assays
2.3. Prediction of the Molecular Mechanism of Action
3. Materials and Methods
3.1. Chemistry
3.1.1. General Procedure for the Synthesis of Esters 1a–c
3.1.2. General Procedure for the Synthesis of Acids 2a–c
3.1.3. General Procedure for the Synthesis of New Methyl/Ethyl 7-Ethyl-2-arylpyrolo[1,2-b]pyridazine-5-carboxylate 5a–f
3.2. Toxicity Evaluation
3.2.1. Phytotoxicity Evaluation
3.2.2. Animal Toxicity Assay
Artemia franciscana Toxicity Assay
Daphnia magna Toxicity Assay
3.3. Prediction of the Molecular Mechanism of Action
3.4. Statistical Analyses
3.5. Cell Cytotoxicity
3.5.1. Cell Cultures and Treatments
3.5.2. MTS Cytotoxicity Assay
3.5.3. Statistical Analysis
4. Conclusions
Supplementary Materials
Author Contributions
Funding
Informed Consent Statement
Data Availability Statement
Acknowledgments
Conflicts of Interest
References
- Wu, Y.-J. Chapter 1—Heterocycles and Medicine: A Survey of the Heterocyclic Drugs Approved by the U.S. FDA from 2000 to Present. In Progress in Heterocyclic Chemistry; Gribble, G.W., Joule, J.A., Eds.; Elsevier: Amsterdam, The Netherlands, 2012; Volume 24, pp. 1–53. ISBN 0959-6380. [Google Scholar]
- Gomtsyan, A. Heterocycles in Drugs and Drug Discovery. Chem. Heterocycl. Compd. 2012, 48, 7–10. [Google Scholar] [CrossRef]
- Zhang, T.Y. Chapter One—The Evolving Landscape of Heterocycles in Drugs and Drug Candidates. In Advances in Heterocyclic Chemistry; Scriven, E.F.V., Ramsden, C.A., Eds.; Academic Press: Cambridge, MA, USA, 2017; Volume 121, pp. 1–12. ISBN 0065-2725. [Google Scholar]
- Li Petri, G.; Spanò, V.; Spatola, R.; Holl, R.; Raimondi, M.V.; Barraja, P.; Montalbano, A. Bioactive Pyrrole-Based Compounds with Target Selectivity. Eur. J. Med. Chem. 2020, 208, 112783. [Google Scholar] [CrossRef]
- Jeelan Basha, N.; Basavarajaiah, S.M.; Shyamsunder, K. Therapeutic Potential of Pyrrole and Pyrrolidine Analogs: An Update. Mol. Divers. 2022, 26, 2915–2937. [Google Scholar] [CrossRef]
- Mousavi, H. A Concise and Focused Overview upon Arylglyoxal Monohydrates-Based One-Pot Multi-Component Synthesis of Fascinating Potentially Biologically Active Pyridazines. J. Mol. Struct. 2022, 1251, 131742. [Google Scholar] [CrossRef]
- Daoui, S.; Direkel, Ş.; Ibrahim, M.M.; Tüzün, B.; Chelfi, T.; Al-Ghorbani, M.; Bouatia, M.; Karbane, M.E.; Doukkali, A.; Benchat, N.; et al. Synthesis, Spectroscopic Characterization, Antibacterial Activity, and Computational Studies of Novel Pyridazinone Derivatives. Molecules 2023, 28, 678. [Google Scholar] [CrossRef]
- He, Z.-X.; Gong, Y.-P.; Zhang, X.; Ma, L.-Y.; Zhao, W. Pyridazine as a Privileged Structure: An Updated Review on Anticancer Activity of Pyridazine Containing Bioactive Molecules. Eur. J. Med. Chem. 2021, 209, 112946. [Google Scholar] [CrossRef]
- Kuhla, D.E.; Lombardino, J.O. Pyrrolodiazines with a Bridgehead Nitrogen. In Advances in Heterocyclic Chemistry; Katritzky, A.R., Boulton, A.J., Eds.; Academic Press: Cambridge, MA, USA, 1977; Volume 21, pp. 1–63. ISBN 0065-2725. [Google Scholar]
- Plieva, A.T. Methods for the Synthesis of Pyrrolo[1,2-b]Pyridazine and Pyrrolo[1,2-b]Cinnoline Derivatives (Microreview). Chem. Heterocycl. Compd. 2019, 55, 199–201. [Google Scholar] [CrossRef]
- Dumitrascu, F.; Dumitrescu, D.G. Pyrrolo[1,2-b]Pyridazines. A Revisit. Arkivoc 2008, 1, 232–270. [Google Scholar] [CrossRef]
- Dumitrascu, F.; Draghici, C.; Miron, T.C.; Dumitrescu, D.G.; Popa, M.M. New Pyrrolo[1, 2-b]Pyridazine Derivates. Rev. Roum. Chim. 2009, 54, 923–926. [Google Scholar]
- Popa, M.M.; Georgescu, E.; Draghici, C.; Georgescu, F.; Dumitrascu, F.; Dumitrescu, D. Coumarin Substituted Pyrrolo-Fused Heterocyclic Systems by 1,3-Dipolar Cycloadditon Reactions. Monatsh. Chem. 2015, 146, 2029–2040. [Google Scholar] [CrossRef]
- Moldoveanu, C.; Amariucai-Mantu, D.; Mangalagiu, V.; Antoci, V.; Maftei, D.; Mangalagiu, I.I.; Zbancioc, G. Microwave Assisted Reactions of Fluorescent Pyrrolodiazine Building Blocks. Molecules 2019, 24, 3760. [Google Scholar] [CrossRef] [PubMed]
- Motornov, V.A.; Tabolin, A.A.; Nenajdenko, V.G.; Ioffe, S.L. Copper-Mediated Oxidative [3+2]-Annulation of Nitroalkenes and Ylides of 1,2-Diazines: Assembly of Functionalized Pyrrolo[1,2-b]Pyridazines. ChemistrySelect 2021, 6, 9969–9974. [Google Scholar] [CrossRef]
- Popovici, L.; Amarandi, R.-M.; Mangalagiu, I.I.; Mangalagiu, V.; Danac, R. Synthesis, Molecular Modelling and Anticancer Evaluation of New Pyrrolo[1,2-b]Pyridazine and Pyrrolo[2,1-a]Phthalazine Derivatives. J. Enzyme Inhib. Med. Chem. 2019, 34, 230–243. [Google Scholar] [CrossRef]
- Xiang, H.-Y.; Chen, J.-Y.; Huan, X.-J.; Chen, Y.; Gao, Z.; Ding, J.; Miao, Z.-H.; Yang, C.-H. Identification of 2-Substituted Pyrrolo[1,2-b]Pyridazine Derivatives as New PARP-1 Inhibitors. Bioorg. Med. Chem. Lett. 2021, 31, 127710. [Google Scholar] [CrossRef]
- Chen, Z.; Kim, S.-H.; Barbosa, S.A.; Huynh, T.; Tortolani, D.R.; Leavitt, K.J.; Wei, D.D.; Manne, V.; Ricca, C.S.; Gullo-Brown, J.; et al. Pyrrolopyridazine MEK Inhibitors. Bioorg. Med. Chem. Lett. 2006, 16, 628–632. [Google Scholar] [CrossRef]
- Butnariu, R.M.; Mangalagiu, I.I. New Pyridazine Derivatives: Synthesis, Chemistry and Biological Activity. Bioorg. Med. Chem. 2009, 17, 2823–2829. [Google Scholar] [CrossRef]
- Duan, J.J.-W.; Lu, Z.; Jiang, B.; Yang, B.V.; Doweyko, L.M.; Nirschl, D.S.; Haque, L.E.; Lin, S.; Brown, G.; Hynes, J.; et al. Discovery of Pyrrolo[1,2-b]Pyridazine-3-Carboxamides as Janus Kinase (JAK) Inhibitors. Bioorg. Med. Chem. Lett. 2014, 24, 5721–5726. [Google Scholar] [CrossRef]
- Hynes, J.; Wu, H.; Kempson, J.; Duan, J.J.-W.; Lu, Z.; Jiang, B.; Stachura, S.; Tokarski, J.S.; Sack, J.S.; Khan, J.A.; et al. Discovery of Potent and Efficacious Pyrrolopyridazines as Dual JAK1/3 Inhibitors. Bioorg. Med. Chem. Lett. 2017, 27, 3101–3106. [Google Scholar] [CrossRef]
- Spergel, S.H.; Mertzman, M.E.; Kempson, J.; Guo, J.; Stachura, S.; Haque, L.; Lippy, J.S.; Zhang, R.F.; Galella, M.; Pitt, S.; et al. Discovery of a JAK1/3 Inhibitor and Use of a Prodrug To Demonstrate Efficacy in a Model of Rheumatoid Arthritis. ACS Med. Chem. Lett. 2019, 10, 306–311. [Google Scholar] [CrossRef]
- Fox, B.M.; Iio, K.; Li, K.; Choi, R.; Inaba, T.; Jackson, S.; Sagawa, S.; Shan, B.; Tanaka, M.; Yoshida, A.; et al. Discovery of Pyrrolopyridazines as Novel DGAT1 Inhibitors. Bioorg. Med. Chem. Lett. 2010, 20, 6030–6033. [Google Scholar] [CrossRef]
- Saito, T.; Obitsu, T.; Kohno, H.; Sugimoto, I.; Matsushita, T.; Nishiyama, T.; Hirota, T.; Takeda, H.; Matsumura, N.; Ueno, S.; et al. Pyrrolo[1,2-b]Pyridazines, Pyrrolo[2,1-f]Triazin-4(3H)-Ones, and Related Compounds as Novel Corticotropin-Releasing Factor 1 (CRF1) Receptor Antagonists. Bioorg. Med. Chem. 2012, 20, 1122–1138. [Google Scholar] [CrossRef]
- Vasilescu, M.; Bandula, R.; Cramariuc, O.; Hukka, T.; Lemmetyinen, H.; Rantala, T.T.; Dumitrascu, F. Optical Spectroscopic Characteristics and TD-DFT Calculations of New Pyrrolo[1,2-b]Pyridazine Derivatives. J. Photochem. Photobiol. Chem. 2008, 194, 308–317. [Google Scholar] [CrossRef]
- El Guesmi, N.; Ahmed, S.A.; Althagafi, I.I.; Khairou, K.S. Photochromism of Dihydroindolizines. Part XXI: Multiaddressable Photochromic Performances Based on Pyrrolo[1,2-b]Pyridazine Photochromes: Kinetics, Substituent Effect and Solvatochromism. J. Photochem. Photobiol. Chem. 2017, 346, 287–295. [Google Scholar] [CrossRef]
- Dumitrascu, F.; Georgescu, F.; Georgescu, E.; Caira, M.R. Pyrroloquinolines, Imidazoquinolines, and Pyrroloquinazolines with a Bridgehead Nitrogen. Adv. Heterocycl. Chem. 2019, 129, 155–244. [Google Scholar] [CrossRef]
- Breugst, M.; Reissig, H.-U. The Huisgen Reaction: Milestones of the 1,3-Dipolar Cycloaddition. Angew. Chem. Int. Ed. 2020, 59, 12293–12307. [Google Scholar] [CrossRef]
- Ivan, B.-C.; Dumitrascu, F.; Anghel, A.I.; Ancuceanu, R.V.; Shova, S.; Dumitrescu, D.; Draghici, C.; Olaru, O.T.; Nitulescu, G.M.; Dinu, M.; et al. Synthesis and Toxicity Evaluation of New Pyrroles Obtained by the Reaction of Activated Alkynes with 1-Methyl-3-(Cyanomethyl)Benzimidazolium Bromide. Molecules 2021, 26, 6435. [Google Scholar] [CrossRef]
- Reissig, H.-U.; Zimmer, R. Münchnones-New Facets after 50 Years. Angew. Chem. Int. Ed. 2014, 53, 9708–9710. [Google Scholar] [CrossRef]
- Ramsden, C.; Dumitrascu, F. Type A Mesoionic Compounds (1980–2020). Adv. Heterocycl. Chem. 2022, 137, 71–189. [Google Scholar] [CrossRef]
- Dumitrascu, F.; Caira, M.; Draghici, B.; Caproiu, M.; Dumitrescu, D. A Novel Approach for the Synthesis of Highly Fluorescent Pyrrolo[1,2-b]Pyridazines. Synlett 2008, 2008, 813–816. [Google Scholar] [CrossRef]
- Caproiu, M.T.; Dumitrascu, F.; Caira, M.R. New Pyrrolo[1,2-b]Pyridazine Derivatives by 1,3-Dipolar Cycloaddition of Mesoionic Oxazolopyridazinone. Rev. Chim. 2008, 59, 1242–1244. [Google Scholar] [CrossRef]
- Dubey, S.; Bhosle, P.A. Pyridazinone: An Important Element of Pharmacophore Possessing Broad Spectrum of Activity. Med. Chem. Res. 2015, 24, 3579–3598. [Google Scholar] [CrossRef]
- Singh, J.; Kumar, V.; Silakari, P.; Kumar, S. Pyridazinones: A Versatile Scaffold in the Development of Potential Target-based Novel Anticancer Agents. J. Heterocycl. Chem. 2023, 60, 929–949. [Google Scholar] [CrossRef]
- Cantini, N.; Schepetkin, I.A.; Danilenko, N.V.; Khlebnikov, A.I.; Crocetti, L.; Giovannoni, M.P.; Kirpotina, L.N.; Quinn, M.T. Pyridazinones and Structurally Related Derivatives with Anti-Inflammatory Activity. Molecules 2022, 27, 3749. [Google Scholar] [CrossRef]
- Alagöz, M.A.; Oh, J.M.; Zenni, Y.N.; Özdemir, Z.; Abdelgawad, M.A.; Naguib, I.A.; Ghoneim, M.M.; Gambacorta, N.; Nicolotti, O.; Kim, H.; et al. Development of a Novel Class of Pyridazinone Derivatives as Selective MAO-B Inhibitors. Molecules 2022, 27, 3801. [Google Scholar] [CrossRef]
- Yadav, P.; Verma, A.; Sharma, V.P.; Singh, R.; Yadav, T.; Kumar, R.; Pal, S.; Gupta, H.; Saha, S.; Tewari, A.K. The Development of a Robust Folded Scaffold as a Fluorescent Material Using Butylidine-Linked Pyridazinone-Based Systems via Aromatic Π⋯π Stacking Interactions. New J. Chem. 2022, 46, 5830–5838. [Google Scholar] [CrossRef]
- Yadav, P.; Verma, A.; Sonker, P.; Sharma, V.P.; Kumar, A.; Yadav, T.; Pal, S.; Saha, S.; Tewari, A.K. The Enthralling Effect of Packing on the Light Emission of Pyridazinone Based Luminophore: Crystallographic, Electronic Absorption and Computational Studies. J. Mol. Struct. 2022, 1267, 133513. [Google Scholar] [CrossRef]
- Huisgen, R.; Gotthardt, H.; Bayer, H.O.; Schaefer, F.C. A New Type of Mesoionic Aromatic Compound and Its 1,3-Dipolar Cycloaddition Reactions with Acetylene Derivatives. Angew. Chem. Int. Ed. Engl. 1964, 3, 136–137. [Google Scholar] [CrossRef]
- Ollis, W.D.; Ramsden, C.A. Meso-Ionic Compounds. Adv. Heterocycl. Chem. 2022, 137, 229–347. [Google Scholar] [CrossRef]
- Newton, C.G.; Ramsden, C.A. Meso-Ionic Heterocycles (1976–1980). Adv. Heterocycle Chem. 2022, 137, 351–424. [Google Scholar] [CrossRef]
- Lopchuk, J.M.; Gribble, G.W. Total Synthesis of Atorvastatin via a Late-Stage, Regioselective 1,3-Dipolar Münchnone Cycloaddition. Tetrahedron Lett. 2015, 56, 3208–3211. [Google Scholar] [CrossRef]
- King, J.A.; McMillan, F.H. The Preparation of Some Pyridazonyl Acids. J. Am. Chem. Soc. 1952, 74, 3222–3224. [Google Scholar] [CrossRef]
- McMillan, F.H.; Kun, K.A.; McMillan, C.B.; Schwartz, B.S.; King, J.A. Hydrazides of Some Pyridazonyl Substituted Acids. J. Am. Chem. Soc. 1956, 78, 407–410. [Google Scholar] [CrossRef]
- Özçelik, A.B.; Özdemir, Z.; Sari, S.; Utku, S.; Uysal, M. A New Series of Pyridazinone Derivatives as Cholinesterases Inhibitors: Synthesis, in Vitro Activity and Molecular Modeling Studies. Pharmacol. Rep. 2019, 71, 1253–1263. [Google Scholar] [CrossRef]
- Khabib, M.N.H.; Sivasanku, Y.; Lee, H.B.; Kumar, S.; Kue, C.S. Alternative Animal Models in Predictive Toxicology. Toxicology. 2022, 465, 153053. [Google Scholar] [CrossRef]
- Bartolomé, M.C.; Sánchez-Fortún, S. Effects of Selected Biocides Used in the Disinfection of Cooling Towers on Toxicity and Bioaccumulation in Artemia Larvae. Environ. Toxicol. Chem. Int. J. 2005, 24, 3137–3142. [Google Scholar] [CrossRef]
- Ivan, B.-C.; Barbuceanu, S.-F.; Hotnog, C.M.; Anghel, A.I.; Ancuceanu, R.V.; Mihaila, M.A.; Brasoveanu, L.I.; Shova, S.; Draghici, C.; Olaru, O.T.; et al. New Pyrrole Derivatives as Promising Biological Agents: Design, Synthesis, Characterization, In Silico, and Cytotoxicity Evaluation. Int. J. Mol. Sci. 2022, 23, 8854. [Google Scholar] [CrossRef]
- Hotnog, D.; Mihaila, M.; Botezatu, A.; Matei, G.G.; Hotnog, C.; Anton, G.; Bostan, M.; Brasoveanu, L.I. Genistein Potentiates the Apoptotic Effect of 5-Fluorouracyl in Colon Cancer Ell Lines. Rom Biotechnol. Lett. 2013, 18, 8751–8760. [Google Scholar]
- Munteanu, A.-C.; Badea, M.; Olar, R.; Silvestro, L.; Mihaila, M.; Brasoveanu, L.I.; Musat, M.G.; Andries, A.; Uivarosi, V. Cytotoxicity Studies, DNA Interaction and Protein Binding of New Al (III), Ga (III) and In (III) Complexes with 5-Hydroxyflavone: 5-Hydroxyflavone-Al(III)/Ga(III)/In(III) Complexes Biological Activity. Appl. Organomet. Chem. 2018, 32, e4579. [Google Scholar] [CrossRef]
- Mihaila, M.; Hotnog, C.M.; Bostan, M.; Munteanu, A.C.; Vacaroiu, I.A.; Brasoveanu, L.I.; Uivarosi, V. Anticancer Activity of Some Ruthenium(III) Complexes with Quinolone Antibiotics: In Vitro Cytotoxicity, Cell Cycle Modulation, and Apoptosis-Inducing Properties in LoVo Colon Cancer Cell Line. Appl. Sci. 2021, 11, 8594. [Google Scholar] [CrossRef]
- Hotnog, C.M.; Mihaila, M.; Puiu, L.; Botezatu, A.; Roman, V.; Popescu, I.D.; Bostan, M.; Brasoveanu, L.I. Modulation of the Interplay between P53, ICAM-1 and VEGF in Drug-Treated LoVo Colon Cancer Cells. Rom Biotechnol. Lett. 2019, 24, 261–270. [Google Scholar] [CrossRef]
- Mihaila, M.; Bostan, M.; Hotnog, D.; Ferdes, M.; Brasoveanu, L.I. Real-Time Analysis of Quercetin, Resveratrol and/or Doxorubicin Effects in MCF-7 Cells. Rom Biotechnol. Lett. 2013, 18, 8106–8114. [Google Scholar]
- Munteanu, A.-C.; Musat, M.G.; Mihaila, M.; Badea, M.; Olar, R.; Nitulescu, G.M.; Radulescu, F.S.; Brasoveanu, L.I.; Uivarosi, V. New Heteroleptic Lanthanide Complexes as Multimodal Drugs: Cytotoxicity Studies, Apoptosis, Cell Cycle Analysis, DNA Interactions, and Protein Binding. Appl. Organomet. Chem. 2021, 35, e6062. [Google Scholar] [CrossRef]
- Maciuca, A.-M.; Munteanu, A.-C.; Mihaila, M.; Badea, M.; Olar, R.; Nitulescu, G.M.; Munteanu, C.V.A.; Bostan, M.; Uivarosi, V. Rare-Earth Metal Complexes of the Antibacterial Drug Oxolinic Acid: Synthesis, Characterization, DNA/Protein Binding and Cytotoxicity Studies. Molecules 2020, 25, 5418. [Google Scholar] [CrossRef]
- Sherman, D.J.; Li, J. Proteasome Inhibitors: Harnessing Proteostasis to Combat Disease. Molecules 2020, 25, 671. [Google Scholar] [CrossRef] [PubMed]
- CrysAlis Pro | Rigaku Global Website 2015.
- Sheldrick, G.M. It SHELXT—Integrated Space-Group and Crystal-Structure Determination. Acta Crystallogr. Sect. A 2015, 71, 3–8. [Google Scholar] [CrossRef]
- Sheldrick, G.M. Crystal Structure Refinement with It SHELXL. Acta Crystallogr. Sect. C 2015, 71, 3–8. [Google Scholar] [CrossRef]
- Dolomanov, O.V.; Bourhis, L.J.; Gildea, R.J.; Howard, J.A.K.; Puschmann, H. It OLEX2: A Complete Structure Solution, Refinement and Analysis Program. J. Appl. Crystallogr. 2009, 42, 339–341. [Google Scholar] [CrossRef]
- Anghel, A.I.; Istudor, V. Contributions to The Study Of Some Species In The Portulaca (Portulacaceae) Genus. Preliminary Botanical and Phytobiological Research On Portulaca Oleraceae L And Portulaca Gradiflora Hooker Species. Med. Evol. 2011, 17, 424–429. [Google Scholar]
- Anghel, A.I.; Olaru, O.T.; Gatea, F.; Dinu, M.; Viorel, R.; Istudor, V. Preliminary Research on Portulaca Grandiflora Hook. Species (Portulacaceae) For Therapeutic Use. Farmacia 2013, 61, 694–702. [Google Scholar]
- Ntungwe, N.E.; Domínguez-Martín, E.M.; Roberto, A.; Tavares, J.; Isca, V.M.S.; Pereira, P.; Cebola, M.-J.; Rijo, P. Artemia Species: An Important Tool to Screen General Toxicity Samples. Curr. Pharm. Des. 2020, 26, 2892–2908. [Google Scholar] [CrossRef]
- Gîrd, C.E.; Nencu, I.; Popescu, M.L.; Costea, T.; Duțu, L.E.; Balaci, T.D.; Olaru, O.T. Chemical, Antioxidant and Toxicity Evaluation Of Rosemary Leaves And Its Dry Extract. Farmacia 2017, 65, 978–983. [Google Scholar]
- Gîrd, C.E.; Duțu, L.E.; Costea, T.; Nencu, I.; Popescu, M.L.; Olaru, O.T. Preliminary Research Concerning the Obtaining of Herbal Extracts with Potential Neuroprotective Activity Note I. Obtaining and Characterization of a Selective Origanum vulgare L. Dry Extract. Farmacia 2016, 64, 680–687. [Google Scholar]
- Mihai, D.P.; Trif, C.; Stancov, G.; Radulescu, D.; Nitulescu, G.M. Artificial Intelligence Algorithms for Discovering New Active Compounds Targeting TRPA1 Pain Receptors. AI 2020, 1, 276–285. [Google Scholar] [CrossRef]
- R Core Team. R: A Language and Environment for Statistical Computing. Available online: https://www.r-project.org/ (accessed on 28 May 2023).
- Bates, D.; Mächler, M.; Bolker, B.; Walker, S. Fitting Linear Mixed-Effects Models Using Lme4. J. Stat. Softw. 2015, 67, 1–48. [Google Scholar] [CrossRef]
- Koller, M. Robustlmm: An R Package for Robust Estimation of Linear Mixed-Effects Models. J. Stat. Softw. 2016, 75, 1–24. [Google Scholar] [CrossRef]
- Lüdecke, D. SjPlot: Data Visualization for Statistics in Social Science. Available online: https://CRAN.R-project.org/package=sjPlot (accessed on 28 May 2023).
- Fox, J.; Weisberg, S. An R Companion to Applied Regression, 3rd ed.; Sage: Thousand Oaks, CA, USA, 2019; Available online: https://socialsciences.mcmaster.ca/jfox/Books/Companion/ (accessed on 28 May 2023).
- Venables, W.N.; Ripley, B.D.; Venables, W.N. Modern Applied Statistics with S, 4th ed.; Statistics and Computing; Springer: New York, NY, USA, 2002; ISBN 978-0-387-95457-8. [Google Scholar]
- Pena, E.A.; Slate, E.H. Gvlma: Global Validation of Linear Models Assumptions. 2019. Available online: https://CRAN.R-project.org/package=gvlma (accessed on 28 May 2023).
- Wickham, H. Ggplot2: Create Elegant Data Visualisations Using the Grammar of Graphics. Available online: https://ggplot2.tidyverse.org/ (accessed on 28 May 2023).
- Ritz, C.; Baty, F.; Streibig, J.C.; Gerhard, D. Dose-Response Analysis Using R. PLoS ONE 2015, 10, e0146021. [Google Scholar] [CrossRef]




















| Compound | 1c | 2b | 5a |
|---|---|---|---|
| Emp. formula | C16H17ClN2O3 | C14H13FN2O3 | C34H32N4O4 |
| Fw | 320.76 | 276.26 | 560.63 |
| T (K) | 160 | 160 | 160 |
| space group | P21/c | Cc | P-1 |
| a (Å) | 8.9182(4) | 5.2160(7) | 8.0870(8) |
| b (Å) | 12.6490(6) | 28.809(4) | 12.3024(11) |
| c (Å) | 14.1341(6) | 8.4911(12) | 15.0450(12) |
| α (°) | 90 | 90 | 78.328(7) |
| β (°) | 101.940(5) | 99.957(14) | 84.704(7) |
| γ (°) | 90 | 90 | 70.883(9) |
| V (Å3) | 1559.93(12) | 1256.8(3) | 1384.5(2) |
| Z | 4 | 4 | 2 |
| ρcalcd (g cm−3) | 1.366 | 1.460 | 1.345 |
| μ (mm−1) | 0.259 | 0.114 | 0.089 |
| Crystal size (mm) | 0.20 × 0.20 × 0.15 | 0.20 × 0.10 × 0.04 | 0.25 × 0.2 × 0.1 |
| 2Θ range | 4.364 to 50.038 | 5.632 to 56.462 | 3.564 to 50.052 |
| Refls. collected | 5978 | 4054 | 13,500 |
| Indep. Refls., Rint | 2750, 0.0697 | 1917, 0.1186 | 4897, 0.0526 |
| Data/rests./params. | 2750/0/201 | 1917/2/171 | 4897/0/383 |
| GOF | 1.038 | 1.035 | 1.046 |
| R1,wR2 (all data) | 0.0498, 0.1245 | 0.0853, 0.2328 | 0.0447, 0.1147 |
| CCDC no. | 2,267,177 | 2,267,178 | 2,267,179 |
| Compound | IC50 (μM) | 95% Confidence Interval |
|---|---|---|
| 2a | 213.1 | 129.8–296.4 |
| 2b | 204.3 | 127.4–281.1 |
| 2c | 552.7 | 408.7–696.8 |
| 5e | 606.6 | 472.6–740.7 |
| Compound | LC50 (μM) | 95% Confidence Interval (μM) |
|---|---|---|
| 2a | 521.3 | ND |
| 2b | ND * | ND |
| 2c | ND * | ND |
| 5a | 46.12 | 35.52 to 59.89 |
| 5b | 463.4 | ND |
| 5c | ND ** (~106.8) | ND |
| 5e | 675.3 | ND |
| 5f | 427.9 | 205.4 to 891.7 |
| LoVo | MCF-7 | Sk-OV-3 | ||||
|---|---|---|---|---|---|---|
| Compound | 24 h | 48 h | 24 h | 48 h | 24 h | 48 h |
| 2a | ≥400 µM | ≥400 µM | ND | ≥400 µM | ≥400 µM | ≥400 µM |
| 5a | ≥400 µM | 303.78 ± 4.85 | ND | ND | ND | ND |
| 2b | ≥400 µM | ≥400 µM | ND | ≥400 µM | ≥400 µM | ≥400 µM |
| 5b | ≥400 µM | ≥400 µM | ND | ≥400 µM | ≥400 µM | ≥400 µM |
| 5e | ≥400 µM | ≥400 µM | ≥400 µM | ≥400 µM | ≥400 µM | ≥400 µM |
| 2c | ≥400 µM | 366.84 ± 3.70 | ND | ND | ≥400 µM | ≥400 µM |
| 5c | ≥400 µM | ≥400 µM | ND | ≥400 µM | ≥400 µM | ≥400 µM |
| 5f | ≥400 µM | 353.32 ± 4.10 | ND | ≥400 µM | ≥400 µM | ≥400 µM |
| 5-FU | 76.08 ± 3.09 | 66.25 ± 2.66 | 80.63 ± 4.39 | 60.43 ± 5.04 | NT | NT |
| CisPt | 79.07 ± 4.75 | 57.01 ± 0.95 | NT | NT | 92.19 ± 3.45 | 78.23 ± 4.01 |
| DOX | NT | NT | 14.80 ± 4.00 | 11.60 ± 0.53 | 55.41 ± 2.98 | 12.10 ± 0.32 |
Disclaimer/Publisher’s Note: The statements, opinions and data contained in all publications are solely those of the individual author(s) and contributor(s) and not of MDPI and/or the editor(s). MDPI and/or the editor(s) disclaim responsibility for any injury to people or property resulting from any ideas, methods, instructions or products referred to in the content. |
© 2023 by the authors. Licensee MDPI, Basel, Switzerland. This article is an open access article distributed under the terms and conditions of the Creative Commons Attribution (CC BY) license (https://creativecommons.org/licenses/by/4.0/).
Share and Cite
Ivan, B.-C.; Barbuceanu, S.-F.; Hotnog, C.M.; Olaru, O.T.; Anghel, A.I.; Ancuceanu, R.V.; Mihaila, M.A.; Brasoveanu, L.I.; Shova, S.; Draghici, C.; et al. Synthesis, Characterization and Cytotoxic Evaluation of New Pyrrolo[1,2-b]pyridazines Obtained via Mesoionic Oxazolo-Pyridazinones. Int. J. Mol. Sci. 2023, 24, 11642. https://doi.org/10.3390/ijms241411642
Ivan B-C, Barbuceanu S-F, Hotnog CM, Olaru OT, Anghel AI, Ancuceanu RV, Mihaila MA, Brasoveanu LI, Shova S, Draghici C, et al. Synthesis, Characterization and Cytotoxic Evaluation of New Pyrrolo[1,2-b]pyridazines Obtained via Mesoionic Oxazolo-Pyridazinones. International Journal of Molecular Sciences. 2023; 24(14):11642. https://doi.org/10.3390/ijms241411642
Chicago/Turabian StyleIvan, Beatrice-Cristina, Stefania-Felicia Barbuceanu, Camelia Mia Hotnog, Octavian Tudorel Olaru, Adriana Iuliana Anghel, Robert Viorel Ancuceanu, Mirela Antonela Mihaila, Lorelei Irina Brasoveanu, Sergiu Shova, Constantin Draghici, and et al. 2023. "Synthesis, Characterization and Cytotoxic Evaluation of New Pyrrolo[1,2-b]pyridazines Obtained via Mesoionic Oxazolo-Pyridazinones" International Journal of Molecular Sciences 24, no. 14: 11642. https://doi.org/10.3390/ijms241411642
APA StyleIvan, B.-C., Barbuceanu, S.-F., Hotnog, C. M., Olaru, O. T., Anghel, A. I., Ancuceanu, R. V., Mihaila, M. A., Brasoveanu, L. I., Shova, S., Draghici, C., Nitulescu, G. M., & Dumitrascu, F. (2023). Synthesis, Characterization and Cytotoxic Evaluation of New Pyrrolo[1,2-b]pyridazines Obtained via Mesoionic Oxazolo-Pyridazinones. International Journal of Molecular Sciences, 24(14), 11642. https://doi.org/10.3390/ijms241411642

