Synthetic Thioesters of Thiamine: Promising Tools for Slowing Progression of Neurodegenerative Diseases †
Abstract
1. Introduction



2. Transport and Metabolism of Thiamine Derivatives
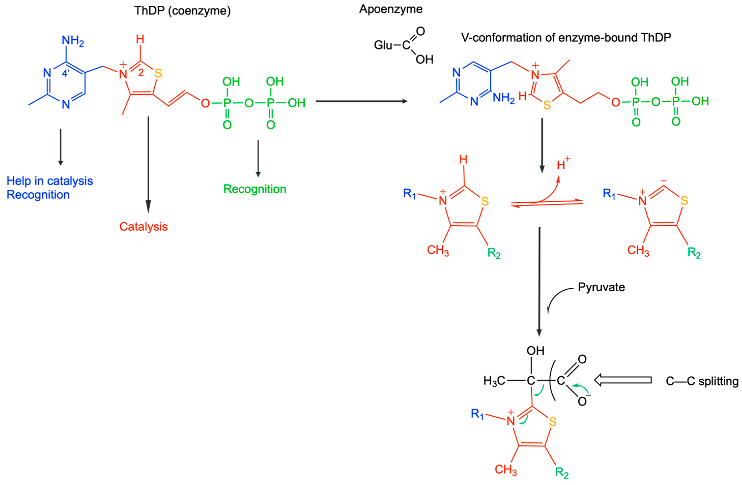
3. Coenzyme Function of Thiamine Diphosphate
3.1. ThDP-Dependent Enzymes in Mammals
3.2. ThDP Mediated Catalysis
4. Thiamine Status in Humans and Inter-Organ Homeostasis
4.1. Thiamine Status in Humans
4.2. Thiamine Transport across the Blood–Brain Barrier Is Limited by Trans-Stimulation
4.3. TPK Is Regulated by Retroinhibition of ThDP
5. Development of Synthetic Thiamine Derivatives with High Bioavailability
- Disulfides, among which the most prominent representative is SuBT and its product of hydrolysis thiamine disulfide [63];
6. BFT in Animal Studies
6.1. Administration of BFT in Mice Does Not Significantly Increase Brain ThDP Levels
6.2. BFT Has Beneficial Effects in Animal Models of Neurodegenerative Diseases, Stress, and Anxiety
- The administration of BFT decreased aggression, reversed ultrasound-induced changes in GluA1 and GluA2 subunit expression, and reversed the decreased expression of plasticity markers [74];
- BFT (more efficiently than thiamine) counteracted the predator stress-induced decrease in the proliferation and survival of newborn immature neurons in the subgranular zone of the dentate gyrus [75].
6.3. BFT Has Coenzyme-Independent Antioxidant and Anti-Inflammatory Properties
7. BFT in Human Clinical Studies
7.1. Thiamine Homeostasis Is Disrupted in Patients with Alzheimer’s Disease
7.2. Therapeutic Effects of BFT on Patients with Alzheimer’s Disease
8. O,S-Dibenzoylthiamine, a Promising New Thiamine Prodrug
8.1. DBT Has Strong Antioxidant and Anti-Inflammatory Properties in Cultured Cells
8.1.1. DBT Has Powerful Antioxidant Effects Mediated by Glutathione
8.1.2. DBT Has Powerful Anti-Inflammatory Effects Mediated by NF-κB
8.2. DBT Protects from Motor Neuron Degeneration in a Transgenic Mouse Model of ALS
9. Hypotheses on the Mechanisms of Action of Synthetic Thiamine Derivatives
9.1. The Pharmacological Effects of BFT and DBT Are Most Probably ThDP-Independent
- Most of the studies were conducted in non-deficient cells or animals. Normal chow is rich in thiamine, and it must be understood that thiamine prodrugs are administered under conditions of thiamine saturation, where thiamine-dependent enzymes are saturated with ThDP. Indeed, when tested, ThDP-dependent enzymes are not or, at best, minimally increased [15,93];
- Many studies claim that BFT activates TK [67,99,100]. It is not clear how this could happen in the absence of a thiamine deficiency as, under normal conditions, TK is close to saturation with ThDP (see point 1). One possibility is that TK expression is upregulated at the mRNA level. Such mechanisms cannot be excluded as TK expression is controlled by Nrf2 [101]. However, using cultured neuroblastoma cells, we observed antioxidant effects of BFT and DBT, though neither TK activity nor expression was increased [93].
9.2. If Not ThDP, What Is the Active Metabolite of BFT and DBT?
- BFT requires extracellular dephosphorylation to S-BT (occurring in the intestine in vivo). S-BT, as well as DBT and SuBT, cross plasma membranes by simple diffusion. Intracellular S-BT is subject to the action of thioesterases to yield the open thiol form of thiamine [77]. In an aqueous medium, S-BT spontaneously undergoes an intramolecular rearrangement to O-BT, probably as a result of acyl-migration from sulfur to oxygen [10]. O-BT is then spontaneously converted to thiamine. The conversion of S-BT to O-BT is favored by alkaline pH. Though O-BT can be enzymatically converted to thiamine in most tissues, it does not seem to be more efficient than thiamine in raising tissue thiamine content [102]. O-BT has not been pharmacologically tested, but its spontaneous synthesis from BFT has been reported [10], and docking studies suggested that O-BT might be a good ligand for Keap1, competing for Nrf2 and favoring the translocation of Nrf2 to the nucleus [15]. Therefore, it is not excluded that O-BT might be pharmacologically active. Thiochrome, an oxidized form of thiamine present in small amounts in cells, was not increased by treatment of Neuro2a cells with BFT [77];
- DBT can either be hydrolyzed to S-BT or yield O-BT through the action of thioesters. O-BT might be transformed to S-BT by acyl migration from an O to an S atom [10]. S-BT can then proceed further to the open thiol form;
- SuBT, which was not discussed here as it has not been tested in neurodegenerative diseases [63], requires hydrolysis to thiamine disulfide, which must be reduced to the open thiol form. The reductant could be reduced glutathione (GSH) which is the most abundant intracellular thiol [103], or NADPH in a reaction of the type catalyzed by glutathione reductase [104]. SuBT has antioxidant [77] and weak anti-inflammatory [93] properties at a level similar to BFT but, for the latter, did not match DBT;
- All three thiamine prodrugs considered here will ultimately yield an open thiol form before being processed into thiamine [66]. The formation of the open thiol form from thiamine is unlikely under physiological conditions, but it is a thermodynamically stable form at alkaline pH (pH > 10) [105]. Nevertheless, a challenging hypothesis would be that there exist enzymes able to catalyze the formation of the open form from thiamine [105,106].
9.3. Which Are the Targets of BFT and DBT?
- BFT and DBT (and, to a lesser extent, SuBT and thiamine) have strong antioxidant properties both in vitro [75,77,93] and in vivo [15,17,79]. In cultured neuroblastoma cells, thiamine prodrugs normalized paraquat reduced NADPH and GSH levels in cultured neuroblastoma cells but were independent of TK activity and expression or Nrf2/ARE signaling. These prodrugs clearly seem to be involved in maintaining a high [GSH]/[GSSG] ratio and high NADPH concentrations. These results might be explained by an effect on glucose 6-phosphate dehydrogenase (G6PD). Indeed, this rate-limiting enzyme of the PPP is highly regulated, both at the level of transcription and post-translation [108,109]. However, it must be kept in mind that in addition to the oxidative part of the PPP, other sources of NADPH, such as cytosolic dehydrogenases and mitochondrial trans-hydrogenase, exist [103,109];
- Decreases in GSK-3β expression or activity regularly turn out after BFT or DBT treatment, in particular in in vivo studies [74,75,76,110] (but [15]). GSK-3β is a pleiotropic serine-threonine protein kinase able to phosphorylate over 100 substrates and play a role in numerous cellular functions affected in Alzheimer’s disease [111]. Decreased activity of GSK-3β activity by phosphorylation on Ser 9 may be responsible for changes in brain plasticity observed [17,74,77]. In addition, GSK-3β might be involved in the antioxidant response by activating Nrf2, an upstream regulator of G6PD and TK [112,113];
- BFT and, in particular DBT, have strong anti-inflammatory properties that seem to be mediated by NF-κB. Indeed, these compounds block the translocation of its p65 subunit to the nucleus and suppress LPS-induced iNOS expression and cytokine release [79,93]. This is of particular interest in view of the recent results showing that cytokines decrease thiamine transporter expression and activity and that the expression of these transporters is reduced in the brains of Alzheimer’s disease patients [89]. According to our data, DBT is a much more potent anti-inflammatory agent than BFT (and SuBT) in cultured BV-2 cells. We have no explanation for this difference, especially as it does not seem to be more efficient in raising intracellular thiamine concentrations. The differences may be related to different metabolization schemes with different proportions of intermediates O-BT, open thiol form) generated (Figure 9). This might also suggest that antioxidant and anti-inflammatory properties are mediated via different molecular targets;
- A significant amount of prodrug is already transformed into thiamine in the intestine, thereby affecting the gut microbiome. This might affect the enteric nervous system and, indirectly, the central nervous system. Indeed, thiamine affects the relative abundance of bacterial populations favoring those producing short-chain fatty acids [114]. A very appealing hypothesis would be that BFT corrects gut dysbiosis in Alzheimer’s patients, reducing inflammation and oxidative stress in the brain through the microbiota-gut-brain axis [115,116]. Interestingly NF-κB and Nrf2, both potential targets of BFT, seem to be involved in these processes. However, the gut microbiome hypothesis alone is not sufficient to explain the antioxidant and anti-inflammatory properties of BFT and DBT, as such effects were also observed in cell cultures, suggesting that other mechanisms coexist, as illustrated in Figure 10.
10. Conclusions
Funding
Institutional Review Board Statement
Informed Consent Statement
Data Availability Statement
Acknowledgments
Conflicts of Interest
Abbreviations
| AGE | Advanced Glycation end products |
| ALS | Amyotrophic lateral sclerosis |
| BBB | Blood–brain barrier |
| BFT | Benfotiamine |
| DBT | O,S-Dibenzoylthiamine |
| GSH | Reduced glutathione |
| G6PD | Glucose 6-phosphate dehydrogenase |
| O-BT | O-Benzoylthiamine |
| OGDHC | 2-Oxoglutarate dehydrogenase complex |
| PDHC | Pyruvate dehydrogenase complex |
| PPP | Pentose phosphate pathway |
| S-BT | S-Benzoylthiamine |
| SuBT | Sulbutiamine |
| ThDP | Thiamine diphosphate |
| ThMP | Thiamine monophosphate |
| TK | Transketolase |
| TPK | Thiamine pyrophosphokinase |
References
- Bettendorff, L. The Chemistry, Biochemistry and Metabolism of Thiamin (Vitamin B1). In B Vitamins and Folate; Preedy, V.R., Ed.; Food and Nutritional Components in Focus; RSC Publishing: Cambridge, UK, 2012; pp. 71–92. [Google Scholar]
- Lakaye, B.; Wirtzfeld, B.; Wins, P.; Grisar, T.; Bettendorff, L. Thiamine Triphosphate, a New Signal Required for Optimal Growth of Escherichia coli during Amino Acid Starvation. J. Biol. Chem. 2004, 279, 17142–17147. [Google Scholar] [CrossRef] [PubMed]
- Gigliobianco, T.; Gangolf, M.; Lakaye, B.; Pirson, B.; von Ballmoos, C.; Wins, P.; Bettendorff, L. An Alternative Role of FoF1-ATP Synthase in Escherichia coli: Synthesis of Thiamine Triphosphate. Sci. Rep. 2013, 3, 1071. [Google Scholar] [CrossRef] [PubMed]
- Bettendorff, L. Update on Thiamine Triphosphorylated Derivatives and Metabolizing Enzymatic Complexes. Biomolecules 2021, 11, 1645. [Google Scholar] [CrossRef]
- Bettendorff, L.; Lakaye, B.; Kohn, G.; Wins, P. Thiamine Triphosphate: A Ubiquitous Molecule in Search of a Physiological Role. Metab. Brain Dis. 2014, 29, 1069–1082. [Google Scholar] [CrossRef]
- Bettendorff, L.; Wins, P. Thiamin Diphosphate in Biological Chemistry: New Aspects of Thiamin Metabolism, Especially Triphosphate Derivatives Acting Other than as Cofactors. FEBS J. 2009, 276, 2917–2925. [Google Scholar] [CrossRef] [PubMed]
- Bettendorff, L.; Wirtzfeld, B.; Makarchikov, A.F.; Mazzucchelli, G.; Frédérich, M.; Gigliobianco, T.; Gangolf, M.; De Pauw, E.; Angenot, L.; Wins, P. Discovery of a Natural Thiamine Adenine Nucleotide. Nat. Chem. Biol. 2007, 3, 211–212. [Google Scholar] [CrossRef]
- Bettendorff, L.; Wins, P.; Lesourd, M. Subcellular Localization and Compartmentation of Thiamine Derivatives in Rat Brain. Biochim. Biophys. Acta 1994, 1222, 1–6. [Google Scholar] [CrossRef]
- Bettendorff, L. The Compartmentation of Phosphorylated Thiamine Derivatives in Cultured Neuroblastoma Cells. Biochim. Biophys. Acta 1994, 1222, 7–14. [Google Scholar] [CrossRef] [PubMed]
- Hurt, J.K.; Coleman, J.L.; Fitzpatrick, B.J.; Taylor-Blake, B.; Bridges, A.S.; Vihko, P.; Zylka, M.J. Prostatic Acid Phosphatase Is Required for the Antinociceptive Effects of Thiamine and Benfotiamine. PLoS ONE 2012, 7, e48562. [Google Scholar] [CrossRef]
- Wu, C.-C.; Ekanem, T.I.; Phan, N.N.; Loan, D.T.T.; Hou, S.-Y.; Lee, K.-H.; Wang, C.-Y. Gene Signatures and Prognostic Analyses of the Tob/BTG Pituitary Tumor-Transforming Gene (PTTG) Family in Clinical Breast Cancer Patients. Int. J. Med. Sci. 2020, 17, 3112–3124. [Google Scholar] [CrossRef]
- Sambon, M.; Wins, P.; Bettendorff, L. Neuroprotective Effects of Thiamine and Precursors with Higher Bioavailability: Focus on Benfotiamine and Dibenzoylthiamine. Int. J. Mol. Sci. 2021, 22, 5418. [Google Scholar] [CrossRef] [PubMed]
- Pan, X.; Chen, Z.; Fei, G.; Pan, S.; Bao, W.; Ren, S.; Guan, Y.; Zhong, C. Long-Term Cognitive Improvement after Benfotiamine Administration in Patients with Alzheimer’s Disease. Neurosci. Bull. 2016, 32, 591–596. [Google Scholar] [CrossRef] [PubMed]
- Gibson, G.E.; Luchsinger, J.A.; Cirio, R.; Chen, H.; Franchino-Elder, J.; Hirsch, J.A.; Bettendorff, L.; Chen, Z.; Flowers, S.; Gerber, L.; et al. Benfotiamine and Cognitive Decline in Alzheimer’s Disease: Results of a Randomized Placebo-Controlled Phase IIa Clinical Trial. J. Alzheimers Dis. 2020, 78, 989–1010. [Google Scholar] [CrossRef]
- Tapias, V.; Jainuddin, S.; Ahuja, M.; Stack, C.; Elipenahli, C.; Vignisse, J.; Gerges, M.; Starkova, N.; Xu, H.; Starkov, A.A.; et al. Benfotiamine Treatment Activates the Nrf2/ARE Pathway and Is Neuroprotective in a Transgenic Mouse Model of Tauopathy. Hum. Mol. Genet. 2018, 27, 2874–2892. [Google Scholar] [CrossRef] [PubMed]
- Pan, X.; Gong, N.; Zhao, J.; Yu, Z.; Gu, F.; Chen, J.; Sun, X.; Zhao, L.; Yu, M.; Xu, Z.; et al. Powerful Beneficial Effects of Benfotiamine on Cognitive Impairment and Beta-Amyloid Deposition in Amyloid Precursor Protein/Presenilin-1 Transgenic Mice. Brain 2010, 133, 1342–1351. [Google Scholar] [CrossRef]
- Probert, F.; Gorlova, A.; Deikin, A.; Bettendorff, L.; Veniaminova, E.; Nedorubov, A.; Chaprov, K.D.; Ivanova, T.A.; Anthony, D.C.; Strekalova, T. In FUS [1−359]-tg Mice O,S-Dibenzoyl Thiamine Reduces Muscle Atrophy, Decreases Glycogen Synthase Kinase 3 Beta, and Normalizes the Metabolome. Biomed. Pharmacother. 2022, 156, 113986. [Google Scholar] [CrossRef] [PubMed]
- Lakaye, B.; Makarchikov, A.F.; Antunes, A.F.; Zorzi, W.; Coumans, B.; De Pauw, E.; Wins, P.; Grisar, T.; Bettendorff, L. Molecular Characterization of a Specific Thiamine Triphosphatase Widely Expressed in Mammalian Tissues. J. Biol. Chem. 2002, 277, 13771–13777. [Google Scholar] [CrossRef]
- Delvaux, D.; Kerff, F.; Murty, M.R.; Lakaye, B.; Czerniecki, J.; Kohn, G.; Wins, P.; Herman, R.; Gabelica, V.; Heuze, F.; et al. Structural Determinants of Specificity and Catalytic Mechanism in Mammalian 25-kDa Thiamine Triphosphatase. Biochim. Biophys. Acta 2013, 1830, 4513–4523. [Google Scholar] [CrossRef] [PubMed]
- Makarchikov, A.F.; Brans, A.; Bettendorff, L. Thiamine Diphosphate Adenylyl Transferase from E. Coli: Functional Characterization of the Enzyme Synthesizing Adenosine Thiamine Triphosphate. BMC Biochem. 2007, 8, 17. [Google Scholar] [CrossRef]
- Jankowska-Kulawy, A.; Klimaszewska-Łata, J.; Gul-Hinc, S.; Ronowska, A.; Szutowicz, A. Metabolic and Cellular Compartments of Acetyl-CoA in the Healthy and Diseased Brain. Int. J. Mol. Sci. 2022, 23, 10073. [Google Scholar] [CrossRef]
- Begley, T.P.; Ealick, S.E.; McLafferty, F.W. Thiamin Biosynthesis: Still Yielding Fascinating Biological Chemistry. Biochem. Soc. Trans. 2012, 40, 555–560. [Google Scholar] [CrossRef] [PubMed]
- Goyer, A. Thiamine in Plants: Aspects of Its Metabolism and Functions. Phytochemistry 2010, 71, 1615–1624. [Google Scholar] [CrossRef] [PubMed]
- Liu, Z.; Farkas, P.; Wang, K.; Kohli, M.-O.; Fitzpatrick, T.B. B Vitamin Supply in Plants and Humans: The Importance of Vitamer Homeostasis. Plant J. Cell Mol. Biol. 2022, 111, 662–682. [Google Scholar] [CrossRef]
- Said, H.M. Intestinal Absorption of Water-Soluble Vitamins in Health and Disease. Biochem. J. 2011, 437, 357–372. [Google Scholar] [CrossRef] [PubMed]
- Bettendorff, L. 10. Thiamine. In Present Knowledge in Nutrition, 11th ed.; Marriott, B., Birt, D.F., Stalling, V., Yates, A., Eds.; Basic Nutrition and Metabolism; Academic Press: Cambridge, MA, USA, 2020; Volume 1, p. 676. ISBN 978-0-323-66162-1. [Google Scholar]
- Bettendorff, L.; Wins, P. Mechanism of Thiamine Transport in Neuroblastoma Cells. Inhibition of a High Affinity Carrier by Sodium Channel Activators and Dependence of Thiamine Uptake on Membrane Potential and Intracellular ATP. J. Biol. Chem. 1994, 269, 14379–14385. [Google Scholar] [CrossRef]
- Dutta, B.; Huang, W.; Molero, M.; Kekuda, R.; Leibach, F.H.; Devoe, L.D.; Ganapathy, V.; Prasad, P.D. Cloning of the Human Thiamine Transporter, a Member of the Folate Transporter Family. J. Biol. Chem. 1999, 274, 31925–31929. [Google Scholar] [CrossRef]
- Said, H.M.; Balamurugan, K.; Subramanian, V.S.; Marchant, J.S. Expression and Functional Contribution of hTHTR-2 in Thiamin Absorption in Human Intestine. Am. J. Physiol. Gastrointest. Liver Physiol. 2004, 286, G491–G498. [Google Scholar] [CrossRef]
- Kevelam, S.H.; Bugiani, M.; Salomons, G.S.; Feigenbaum, A.; Blaser, S.; Prasad, C.; Haberle, J.; Baric, I.; Bakker, I.M.; Postma, N.L.; et al. Exome Sequencing Reveals Mutated SLC19A3 in Patients with an Early-Infantile, Lethal Encephalopathy. Brain 2013, 136, 1534–1543. [Google Scholar] [CrossRef]
- Nosaka, K.; Onozuka, M.; Kakazu, N.; Hibi, S.; Nishimura, H.; Nishino, H.; Abe, T. Isolation and Characterization of a Human Thiamine Pyrophosphokinase cDNA. Biochim. Biophys. Acta 2001, 1517, 293–297. [Google Scholar] [CrossRef]
- Sambon, M.; Pavlova, O.; Alhama-Riba, J.; Wins, P.; Brans, A.; Bettendorff, L. Product Inhibition of Mammalian Thiamine Pyrophosphokinase Is an Important Mechanism for Maintaining Thiamine Diphosphate Homeostasis. Biochim. Biophys. Acta Gen. Subj. 2022, 1866, 130071. [Google Scholar] [CrossRef]
- Lindhurst, M.J.; Fiermonte, G.; Song, S.; Struys, E.; De Leonardis, F.; Schwartzberg, P.L.; Chen, A.; Castegna, A.; Verhoeven, N.; Mathews, C.K.; et al. Knockout of Slc25a19 Causes Mitochondrial Thiamine Pyrophosphate Depletion, Embryonic Lethality, CNS Malformations, and Anemia. Proc. Natl. Acad. Sci. USA 2006, 103, 15927–15932. [Google Scholar] [CrossRef] [PubMed]
- Zhao, R.; Gao, F.; Goldman, I.D. Reduced Folate Carrier Transports Thiamine Monophosphate: An Alternative Route for Thiamine Delivery into Mammalian Cells. Am. J. Physiol. Cell Physiol. 2002, 282, C1512–C1517. [Google Scholar] [CrossRef] [PubMed]
- Gangolf, M.; Wins, P.; Thiry, M.; El Moualij, B.; Bettendorff, L. Thiamine Triphosphate Synthesis in Rat Brain Occurs in Mitochondria and Is Coupled to the Respiratory Chain. J. Biol. Chem. 2010, 285, 583–594. [Google Scholar] [CrossRef]
- Gangolf, M.; Czerniecki, J.; Radermecker, M.; Detry, O.; Nisolle, M.; Jouan, C.; Martin, D.; Chantraine, F.; Lakaye, B.; Wins, P.; et al. Thiamine Status in Humans and Content of Phosphorylated Thiamine Derivatives in Biopsies and Cultured Cells. PLoS ONE 2010, 5, e13616. [Google Scholar] [CrossRef]
- Ben-Yoseph, O.; Camp, D.M.; Robinson, T.E.; Ross, B.D. Dynamic Measurements of Cerebral Pentose Phosphate Pathway Activity in Vivo Using [1,6-13C2,6,6-2H2]Glucose and Microdialysis. J. Neurochem. 1995, 64, 1336–1342. [Google Scholar] [CrossRef] [PubMed]
- Foulon, V.; Antonenkov, V.D.; Croes, K.; Waelkens, E.; Mannaerts, G.P.; Van Veldhoven, P.P.; Casteels, M. Purification, Molecular Cloning, and Expression of 2-Hydroxyphytanoyl- CoA Lyase, a Peroxisomal Thiamine Pyrophosphate-Dependent Enzyme That Catalyzes the Carbon-Carbon Bond Cleavage during Alpha-Oxidation of 3- Methyl-Branched Fatty Acids. Proc. Natl. Acad. Sci. USA 1999, 96, 10039–10044. [Google Scholar] [CrossRef]
- Hamel, E.; Butterworth, R.F.; Barbeau, A. Effect of Thiamine Deficiency on Levels of Putative Amino Acid Transmitters in Affected Regions of the Rat Brain. J. Neurochem. 1979, 33, 575–577. [Google Scholar] [CrossRef] [PubMed]
- Kochetov, G.A.; Solovjeva, O.N. Structure and Functioning Mechanism of Transketolase. Biochim. Biophys. Acta 2014, 1844, 1608–1618. [Google Scholar] [CrossRef]
- Bettendorff, L.; Wins, P. Cofactors and Coenzymes|Biochemistry of Thiamine and Thiamine Phosphate Compounds. In Encyclopedia of Biological Chemistry; Elsevier: Oxford, UK, 2021; Volume 1, pp. 302–313. [Google Scholar]
- Jordan, F.; Nemeria, N.; Gerfen, G. Human 2-Oxoglutarate Dehydrogenase and 2-Oxoadipate Dehydrogenase Both Generate Superoxide/H2O2 in a Side Reaction and Each Could Contribute to Oxidative Stress in Mitochondria. Neurochem. Res. 2019, in press. [Google Scholar] [CrossRef]
- Bunik, V.I.; Degtyarev, D. Structure-Function Relationships in the 2-Oxo Acid Dehydrogenase Family: Substrate-Specific Signatures and Functional Predictions for the 2-Oxoglutarate Dehydrogenase-like Proteins. Proteins 2007, 71, 874–890. [Google Scholar] [CrossRef]
- Navarro, D.; Zwingmann, C.; Butterworth, R.F. Impaired Oxidation of Branched-Chain Amino Acids in the Medial Thalamus of Thiamine-Deficient Rats. Metab. Brain Dis. 2008, 23, 445–455. [Google Scholar] [CrossRef] [PubMed]
- Breslow, R. On the Mechanism of Thiamine Action. IV.1 Evidence from Studies on Model Systems. J. Am. Chem. Soc. 1958, 80, 3719–3726. [Google Scholar] [CrossRef]
- Prajapati, S.; Rabe von Pappenheim, F.; Tittmann, K. Frontiers in the Enzymology of Thiamin Diphosphate-Dependent Enzymes. Curr. Opin. Struct. Biol. 2022, 76, 102441. [Google Scholar] [CrossRef] [PubMed]
- Voet, D.; Voet, J.G.; Pratt, C.W. Principles of Biochemistry; John Wiley & Sons: Singapore, 2013. [Google Scholar]
- Whitfield, K.C.; Smith, G.; Chamnan, C.; Karakochuk, C.D.; Sophonneary, P.; Kuong, K.; Dijkhuizen, M.A.; Hong, R.; Berger, J.; Green, T.J.; et al. High Prevalence of Thiamine (Vitamin B1) Deficiency in Early Childhood among a Nationally Representative Sample of Cambodian Women of Childbearing Age and Their Children. PLoS Negl. Trop. Dis. 2017, 11, e0005814. [Google Scholar] [CrossRef]
- Whitfield, K.C.; Bourassa, M.W.; Adamolekun, B.; Bergeron, G.; Bettendorff, L.; Brown, K.H.; Cox, L.; Fattal-Valevski, A.; Fischer, P.R.; Frank, E.L.; et al. Thiamine Deficiency Disorders: Diagnosis, Prevalence, and a Roadmap for Global Control Programs. Ann. N. Y. Acad. Sci. 2018, 1430, 3–43. [Google Scholar] [CrossRef]
- Johnson, C.R.; Fischer, P.R.; Thacher, T.D.; Topazian, M.D.; Bourassa, M.W.; Combs, G.F. Thiamin Deficiency in Low- and Middle-Income Countries: Disorders, Prevalences, Previous Interventions and Current Recommendations. Nutr. Health 2019, 25, 127–151. [Google Scholar] [CrossRef]
- Balaghi, M.; Pearson, W.N. Tissue and Intracellular Distribution of Radioactive Thiamine in Normal and Thiamine-Deficient Rats. J. Nutr. 1966, 89, 127–132. [Google Scholar] [CrossRef]
- Harata, N.; Iwasaki, Y.; Ohara, Y. Reappraisal of Regional Thiamine Content in the Central Nervous System of the Normal and Thiamine-Deficient Mice. Metab. Brain Dis. 1993, 8, 45–59. [Google Scholar] [CrossRef]
- McCandless, D.W.; Schenker, S.; Cook, M. Encephalopathy of Thiamine Deficiency: Studies of Intracerebral Mechanisms. J. Clin. Investig. 1968, 47, 2268–2280. [Google Scholar] [CrossRef]
- Tallaksen, C.M.; Bohmer, T.; Karlsen, J.; Bell, H. Determination of Thiamin and Its Phosphate Esters in Human Blood, Plasma, and Urine. Methods Enzymol. 1997, 279, 67–74. [Google Scholar]
- Nunes, P.T.; da Silva Oliveira, P.; Ferraz, V.; Ribeiro, A.M. Validation of a HPLC Method for Quantification of Thiamine and Its Phosphate Esters in Rat Brain Tissue. J. Behav. Brain Sci. 2017, 7, 79–93. [Google Scholar] [CrossRef]
- Volvert, M.L.; Seyen, S.; Piette, M.; Evrard, B.; Gangolf, M.; Plumier, J.C.; Bettendorff, L. Benfotiamine, a Synthetic S-Acyl Thiamine Derivative, Has Different Mechanisms of Action and a Different Pharmacological Profile than Lipid-Soluble Thiamine Disulfide Derivatives. BMC Pharmacol. 2008, 8, 10. [Google Scholar] [CrossRef] [PubMed]
- Bettendorff, L.; Schoffeniels, E.; Naquet, R.; Silva-Barrat, C.; Riche, D.; Menini, C. Phosphorylated Thiamine Derivatives and Cortical Activity in the Baboon Papio Papio: Effect of Intermittent Light Stimulation. J. Neurochem. 1989, 53, 80–87. [Google Scholar] [CrossRef] [PubMed]
- Bettendorff, L.; Peeters, M.; Jouan, C.; Wins, P.; Schoffeniels, E. Determination of Thiamin and Its Phosphate Esters in Cultured Neurons and Astrocytes Using an Ion-Pair Reversed-Phase High-Performance Liquid Chromatographic Method. Anal. Biochem. 1991, 198, 52–59. [Google Scholar] [CrossRef]
- Makarchikov, A.F.; Lakaye, B.; Gulyai, I.E.; Czerniecki, J.; Coumans, B.; Wins, P.; Grisar, T.; Bettendorff, L. Thiamine Triphosphate and Thiamine Triphosphatase Activities: From Bacteria to Mammals. Cell. Mol. Life Sci. 2003, 60, 1477–1488. [Google Scholar] [CrossRef]
- Bettendorff, L. Thiamine Homeostasis in Neuroblastoma Cells. Neurochem. Int. 1995, 26, 295–302. [Google Scholar] [CrossRef]
- Lockman, P.R.; Mumper, R.J.; Allen, D.D. Evaluation of Blood-Brain Barrier Thiamine Efflux Using the in Situ Rat Brain Perfusion Method. J. Neurochem. 2003, 86, 627–634. [Google Scholar] [CrossRef]
- Thornalley, P.J.; Babaei-Jadidi, R.; Al Ali, H.; Rabbani, N.; Antonysunil, A.; Larkin, J.; Ahmed, A.; Rayman, G.; Bodmer, C.W. High Prevalence of Low Plasma Thiamine Concentration in Diabetes Linked to a Marker of Vascular Disease. Diabetologia 2007, 50, 2164–2170. [Google Scholar] [CrossRef]
- Starling-Soares, B.; Carrera-Bastos, P.; Bettendorff, L. Role of the Synthetic B1 Vitamin Sulbutiamine on Health. J. Nutr. Metab. 2020, 2020, 9349063. [Google Scholar] [CrossRef]
- Raj, V.; Ojha, S.; Howarth, F.C.; Belur, P.D.; Subramanya, S.B. Therapeutic Potential of Benfotiamine and Its Molecular Targets. Eur. Rev. Med. Pharmacol. Sci. 2018, 22, 3261–3273. [Google Scholar]
- Sheng, L.; Cao, W.; Lin, P.; Chen, W.; Xu, H.; Zhong, C.; Yuan, F.; Chen, H.; Li, H.; Liu, C.; et al. Safety, Tolerability and Pharmacokinetics of Single and Multiple Ascending Doses of Benfotiamine in Healthy Subjects. Drug Des. Devel. Ther. 2021, 15, 1101–1110. [Google Scholar] [CrossRef] [PubMed]
- Loew, D. Pharmacokinetics of Thiamine Derivatives Especially of Benfotiamine. Int. J. Clin. Pharmacol. Ther. 1996, 34, 47–50. [Google Scholar] [PubMed]
- Hammes, H.P.; Du, X.; Edelstein, D.; Taguchi, T.; Matsumura, T.; Ju, Q.; Lin, J.; Bierhaus, A.; Nawroth, P.; Hannak, D.; et al. Benfotiamine Blocks Three Major Pathways of Hyperglycemic Damage and Prevents Experimental Diabetic Retinopathy. Nat. Med. 2003, 9, 294–299. [Google Scholar] [CrossRef] [PubMed]
- Rindi, G.; Patrini, C.; Comincioli, V.; Reggiani, C. Thiamine Content and Turnover Rates of Some Rat Nervous Regions, Using Labeled Thiamine as a Tracer. Brain Res. 1980, 181, 369–380. [Google Scholar] [CrossRef] [PubMed]
- Koepsell, H. Organic Cation Transporters in Health and Disease. Pharmacol. Rev. 2020, 72, 253–319. [Google Scholar] [CrossRef]
- Kato, K.; Moriyama, C.; Ito, N.; Zhang, X.; Hachiuma, K.; Hagima, N.; Iwata, K.; Yamaguchi, J.; Maeda, K.; Ito, K.; et al. Involvement of Organic Cation Transporters in the Clearance and Milk Secretion of Thiamine in Mice. Pharm. Res. 2015, 32, 2192–2204. [Google Scholar] [CrossRef]
- Meyer, M.J.; Tuerkova, A.; Römer, S.; Wenzel, C.; Seitz, T.; Gaedcke, J.; Oswald, S.; Brockmöller, J.; Zdrazil, B.; Tzvetkov, M.V. Differences in Metformin and Thiamine Uptake between Human and Mouse Organic Cation Transporter OCT1:Structural Determinants and Potential Consequences for Intrahepatic Concentrations. Drug Metab. Dispos. Biol. Fate Chem. 2020, 48, 1380–1392. [Google Scholar] [CrossRef]
- Yoshioka, K. Some Properties of the Thiamine Uptake System in Isolated Rat Hepatocytes. Biochim. Biophys. Acta 1984, 778, 201–209. [Google Scholar] [CrossRef]
- Lumeng, L.; Edmondson, J.W.; Schenker, S.; Li, T.K. Transport and Metabolism of Thiamin in Isolated Rat Hepatocytes. J. Biol. Chem. 1979, 254, 7265–7268. [Google Scholar] [CrossRef]
- Gorlova, A.; Pavlov, D.; Anthony, D.C.; Ponomarev, E.; Sambon, M.; Proshin, A.; Shafarevich, I.; Babaevskaya, D.; Lesch, K.-P.; Bettendorff, L.; et al. Thiamine and Benfotiamine Counteract Ultrasound-Induced Aggression, Normalize AMPA Receptor Expression and Plasticity Markers, and Reduce Oxidative Stress in Mice. Neuropharmacology 2019, 156, 107543. [Google Scholar] [CrossRef]
- Vignisse, J.; Sambon, M.; Gorlova, A.; Pavlov, D.; Caron, N.; Malgrange, B.; Shevtsova, E.; Svistunov, A.; Anthony, D.C.; Markova, N.; et al. Thiamine and Benfotiamine Prevent Stress-Induced Suppression of Hippocampal Neurogenesis in Mice Exposed to Predation without Affecting Brain Thiamine Diphosphate Levels. Mol. Cell. Neurosci. 2017, 82, 126–136. [Google Scholar] [CrossRef] [PubMed]
- Markova, N.; Bazhenova, N.; Anthony, D.C.; Vignisse, J.; Svistunov, A.; Lesch, K.-P.; Bettendorff, L.; Strekalova, T. Thiamine and Benfotiamine Improve Cognition and Ameliorate GSK-3β-Associated Stress-Induced Behaviours in Mice. Prog. Neuropsychopharmacol. Biol. Psychiatry 2017, 75, 148–156. [Google Scholar] [CrossRef] [PubMed]
- Sambon, M.; Napp, A.; Demelenne, A.; Vignisse, J.; Wins, P.; Fillet, M.; Bettendorff, L. Thiamine and Benfotiamine Protect Neuroblastoma Cells against Paraquat and β-Amyloid Toxicity by a Coenzyme-Independent Mechanism. Heliyon 2019, 5, e01710. [Google Scholar] [CrossRef] [PubMed]
- Culbreth, M.; Aschner, M. GSK-3β, a Double-Edged Sword in Nrf2 Regulation: Implications for Neurological Dysfunction and Disease. F1000Research 2018, 7, 1043. [Google Scholar] [CrossRef] [PubMed]
- Bozic, I.; Savic, D.; Stevanovic, I.; Pekovic, S.; Nedeljkovic, N.; Lavrnja, I. Benfotiamine Upregulates Antioxidative System in Activated BV-2 Microglia Cells. Front. Cell. Neurosci. 2015, 9, 351. [Google Scholar] [CrossRef]
- Hansen, D.V.; Hanson, J.E.; Sheng, M. Microglia in Alzheimer’s Disease. J. Cell Biol. 2018, 217, 459–472. [Google Scholar] [CrossRef]
- Allowitz, K.V.; Yoo, J.J.; Taylor, J.R.; Baloch, O.A.; Harames, K.; Ramana, K.V. Therapeutic Potential of Vitamin B1 Derivative Benfotiamine from Diabetes to COVID-19. Future Med. Chem. 2022, 14, 809–826. [Google Scholar] [CrossRef]
- Bozic, I.; Savic, D.; Laketa, D.; Bjelobaba, I.; Milenkovic, I.; Pekovic, S.; Nedeljkovic, N.; Lavrnja, I. Benfotiamine Attenuates Inflammatory Response in LPS Stimulated BV-2 Microglia. PLoS ONE 2015, 10, e0118372. [Google Scholar] [CrossRef]
- Mastrogiacomo, F.; Bettendorff, L.; Grisar, T.; Kish, S.J. Brain Thiamine, Its Phosphate Esters, and Its Metabolizing Enzymes in Alzheimer’s Disease. Ann. Neurol. 1996, 39, 585–591. [Google Scholar] [CrossRef]
- Bettendorff, L.; Mastrogiacomo, F.; Wins, P.; Kish, S.J.; Grisar, T.; Ball, M.J. Low Thiamine Diphosphate Levels in Brains of Patients with Frontal Lobe Degeneration of the Non-Alzheimer’s Type. J. Neurochem. 1997, 69, 2005–2010. [Google Scholar] [CrossRef]
- Pan, X.; Fei, G.; Lu, J.; Jin, L.; Pan, S.; Chen, Z.; Wang, C.; Sang, S.; Liu, H.; Hu, W.; et al. Measurement of Blood Thiamine Metabolites for Alzheimer’s Disease Diagnosis. EBioMedicine 2016, 3, 155–162. [Google Scholar] [CrossRef] [PubMed]
- Chen, Z.; Pan, X.; Fei, G.; Pan, S.; Bao, W.; Ren, S.; Guan, Y.; Zhong, C. Diagnostic Value of Blood Thiamine Metabolites in Alzheimer’s Disease Examined by 11C-PiB PET Scanning. Future Sci. OA 2017, 3, FSO172. [Google Scholar] [CrossRef] [PubMed]
- Pan, X.; Sang, S.; Fei, G.; Jin, L.; Liu, H.; Wang, Z.; Wang, H.; Zhong, C. Enhanced Activities of Blood Thiamine Diphosphatase and Monophosphatase in Alzheimer’s Disease. PLoS ONE 2017, 12, e0167273. [Google Scholar] [CrossRef] [PubMed]
- Sang, S.; Pan, X.; Chen, Z.; Zeng, F.; Pan, S.; Liu, H.; Jin, L.; Fei, G.; Wang, C.; Ren, S.; et al. Thiamine Diphosphate Reduction Strongly Correlates with Brain Glucose Hypometabolism in Alzheimer’s Disease, Whereas Amyloid Deposition Does Not. Alzheimer’s Res. Ther. 2018, 10, 26. [Google Scholar] [CrossRef]
- Ramamoorthy, K.; Yoshimura, R.; Al-Juburi, S.; Anandam, K.Y.; Kapadia, R.; Alachkar, A.; Abbott, G.W.; Said, H.M. Alzheimer’s Disease Is Associated with Disruption in Thiamin Transport Physiology: A Potential Role for Neuroinflammation. Neurobiol. Dis. 2022, 171, 105799. [Google Scholar] [CrossRef]
- Bhawal, R.; Fu, Q.; Anderson, E.T.; Gibson, G.E.; Zhang, S. Serum Metabolomic and Lipidomic Profiling Reveals Novel Biomarkers of Efficacy for Benfotiamine in Alzheimer’s Disease. Int. J. Mol. Sci. 2021, 22, 13188. [Google Scholar] [CrossRef]
- Wada, T.; Takagi, H.; Minakami, H.; Hamanaka, W.; Okamoto, K.; Ito, A.; Sahashi, Y. A New Thiamine Derivative, S-Benzoylthiamine O-Monophosphate. Science 1961, 134, 195–196. [Google Scholar] [CrossRef]
- Heywood, R.; Wood, J.D.; Majeed, S.K. Tumorigenic and Toxic Effect of O,S-Dibenzoyl Thiamine Hydrochloride in Prolonged Dietary Administration to Rats. Toxicol. Lett. 1985, 26, 53–58. [Google Scholar] [CrossRef]
- Sambon, M.; Gorlova, A.; Demelenne, A.; Alhama-Riba, J.; Coumans, B.; Lakaye, B.; Wins, P.; Fillet, M.; Anthony, D.C.; Strekalova, T.; et al. Dibenzoylthiamine Has Powerful Antioxidant and Anti-Inflammatory Properties in Cultured Cells and in Mouse Models of Stress and Neurodegeneration. Biomedicines 2020, 8, 361. [Google Scholar] [CrossRef]
- Ketola, H.G.; Isaacs, G.R.; Robins, J.S.; Lloyd, R.C. Effectiveness and Retention of Thiamine and Its Analogs Administered to Steelhead and Landlocked Atlantic Salmon. J. Aquat. Anim. Health 2008, 20, 29–38. [Google Scholar] [CrossRef]
- Mann, R.H. Impaired Thiamine Metabolism in Amyotrophic Lateral Sclerosis and Its Potential Treatment With Benfotiamine: A Case Report and a Review of the Literature. Cureus 2023, 15, e40511. [Google Scholar] [CrossRef] [PubMed]
- Bettendorff, L. Thiamine in Excitable Tissues: Reflections on a Non-Cofactor Role. Metab. Brain Dis. 1994, 9, 183–209. [Google Scholar] [CrossRef]
- Mkrtchyan, G.; Aleshin, V.; Parkhomenko, Y.; Kaehne, T.; Luigi Di Salvo, M.; Parroni, A.; Contestabile, R.; Vovk, A.; Bettendorff, L.; Bunik, V. Molecular Mechanisms of the Non-Coenzyme Action of Thiamin in Brain: Biochemical, Structural and Pathway Analysis. Sci. Rep. 2015, 5, 12583. [Google Scholar] [CrossRef]
- Aleshin, V.A.; Mkrtchyan, G.V.; Bunik, V.I. Mechanisms of Non-Coenzyme Action of Thiamine: Protein Targets and Medical Significance. Biochemistry 2019, 84, 829–850. [Google Scholar] [CrossRef] [PubMed]
- Katare, R.; Caporali, A.; Emanueli, C.; Madeddu, P. Benfotiamine Improves Functional Recovery of the Infarcted Heart via Activation of Pro-Survival G6PD/Akt Signaling Pathway and Modulation of Neurohormonal Response. J. Mol. Cell. Cardiol. 2010, 49, 625–638. [Google Scholar] [CrossRef]
- Balakumar, P.; Rohilla, A.; Krishan, P.; Solairaj, P.; Thangathirupathi, A. The Multifaceted Therapeutic Potential of Benfotiamine. Pharmacol. Res. 2010, 61, 482–488. [Google Scholar] [CrossRef] [PubMed]
- Xu, I.M.-J.; Lai, R.K.-H.; Lin, S.-H.; Tse, A.P.-W.; Chiu, D.K.-C.; Koh, H.-Y.; Law, C.-T.; Wong, C.-M.; Cai, Z.; Wong, C.C.-L.; et al. Transketolase Counteracts Oxidative Stress to Drive Cancer Development. Proc. Natl. Acad. Sci. USA 2016, 113, E725–E734. [Google Scholar] [CrossRef]
- Inoue, K.; Itokawa, Y. Metabolism of O-Benzoylthiamine in Animal Body. Biochem. Med. 1973, 8, 450–463. [Google Scholar] [CrossRef]
- Bettendorff, L. Reduced Nucleotides, Thiols and O2 in Cellular Redox Balance: A Biochemist’s View. Antioxidants 2022, 11, 1877. [Google Scholar] [CrossRef]
- Couto, N.; Wood, J.; Barber, J. The Role of Glutathione Reductase and Related Enzymes on Cellular Redox Homoeostasis Network. Free. Radic. Biol. Med. 2016, 95, 27–42. [Google Scholar] [CrossRef]
- Hopmann, R.F.W. The Alkali-Induced Transformations of Thiamin. Ann. N. Y. Acad. Sci. 1982, 378, 32–50. [Google Scholar] [CrossRef]
- Brown, R.D. Thiamin as a Catalyst of Chemiosmotoc Energy Transductions. Ann. N. Y. Acad. Sci. 1982, 378, 442–448. [Google Scholar] [CrossRef]
- Pavlova, O.; Stepanenko, S.; Chehivska, L.; Sambon, M.; Bettendorff, L.; Yu, P. Thiamine Deficiency in Rats Affects Thiamine Metabolism Possibly through the Formation of Oxidized Thiamine Pyrophosphate. Biochim. Biophys. Acta Gen. Subj. 2021, 1865, 129980. [Google Scholar] [CrossRef] [PubMed]
- Meng, Q.; Zhang, Y.; Hao, S.; Sun, H.; Liu, B.; Zhou, H.; Wang, Y.; Xu, Z.-X. Recent Findings in the Regulation of G6PD and Its Role in Diseases. Front. Pharmacol. 2022, 13, 932154. [Google Scholar] [CrossRef] [PubMed]
- Stincone, A.; Prigione, A.; Cramer, T.; Wamelink, M.M.C.; Campbell, K.; Cheung, E.; Olin-Sandoval, V.; Grüning, N.-M.; Krüger, A.; Tauqeer Alam, M.; et al. The Return of Metabolism: Biochemistry and Physiology of the Pentose Phosphate Pathway. Biol. Rev. Camb. Philos. Soc. 2015, 90, 927–963. [Google Scholar] [CrossRef] [PubMed]
- Pavlov, D.; Markova, N.; Bettendorff, L.; Chekhonin, V.; Pomytkin, I.; Lioudyno, V.; Svistunov, A.; Ponomarev, E.; Lesch, K.-P.; Strekalova, T. Elucidating the Functions of Brain GSK3α: Possible Synergy with GSK3β Upregulation and Reversal by Antidepressant Treatment in a Mouse Model of Depressive-like Behaviour. Behav. Brain Res. 2017, 335, 122–127. [Google Scholar] [CrossRef]
- Beurel, E.; Grieco, S.F.; Jope, R.S. Glycogen Synthase Kinase-3 (GSK3): Regulation, Actions, and Diseases. Pharmacol. Ther. 2015, 148, 114–131. [Google Scholar] [CrossRef]
- Soni, D.; Kumar, P. GSK-3β-Mediated Regulation of Nrf2/HO-1 Signaling as a New Therapeutic Approach in the Treatment of Movement Disorders. Pharmacol. Rep. 2022, 74, 557–569. [Google Scholar] [CrossRef] [PubMed]
- Tang, Y.-C.; Hsiao, J.-R.; Jiang, S.-S.; Chang, J.-Y.; Chu, P.-Y.; Liu, K.-J.; Fang, H.-L.; Lin, L.-M.; Chen, H.-H.; Huang, Y.-W.; et al. C-MYC-Directed NRF2 Drives Malignant Progression of Head and Neck Cancer via Glucose-6-Phosphate Dehydrogenase and Transketolase Activation. Theranostics 2021, 11, 5232–5247. [Google Scholar] [CrossRef]
- Park, J.; Hosomi, K.; Kawashima, H.; Chen, Y.-A.; Mohsen, A.; Ohno, H.; Konishi, K.; Tanisawa, K.; Kifushi, M.; Kogawa, M.; et al. Dietary Vitamin B1 Intake Influences Gut Microbial Community and the Consequent Production of Short-Chain Fatty Acids. Nutrients 2022, 14, 2078. [Google Scholar] [CrossRef]
- Radford-Smith, D.E.; Anthony, D.C. Prebiotic and Probiotic Modulation of the Microbiota-Gut-Brain Axis in Depression. Nutrients 2023, 15, 1880. [Google Scholar] [CrossRef]
- Das, T.K.; Ganesh, B.P. Interlink between the Gut Microbiota and Inflammation in the Context of Oxidative Stress in Alzheimer’s Disease Progression. Gut Microbes 2023, 15, 2206504. [Google Scholar] [CrossRef] [PubMed]
- Gibson, G.E.; Feldman, H.H.; Zhang, S.; Flowers, S.A.; Luchsinger, J.A. Pharmacological Thiamine Levels as a Therapeutic Approach in Alzheimer’s Disease. Front. Med. 2022, 9, 1033272. [Google Scholar] [CrossRef] [PubMed]
- Zheng, X.; Tang, Y.; Yang, Q.; Wang, S.; Chen, R.; Tao, C.; Zhang, P.; Fan, B.; Zhan, J.; Tang, C.; et al. Effectiveness and Safety of Anti-Tau Drugs for Alzheimer’s Disease: Systematic Review and Meta-Analysis. J. Am. Geriatr. Soc. 2022, 70, 3281–3292. [Google Scholar] [CrossRef] [PubMed]
- Florian, H.; Wang, D.; Arnold, S.E.; Boada, M.; Guo, Q.; Jin, Z.; Zheng, H.; Fisseha, N.; Kalluri, H.V.; Rendenbach-Mueller, B.; et al. Tilavonemab in Early Alzheimer’s Disease: Results from a Phase 2, Randomized, Double-Blind Study. Brain 2023, 145, 2275–2284. [Google Scholar] [CrossRef] [PubMed]







| Species (Tissue) | Thiamine | ThMP | ThDP |
|---|---|---|---|
| Plasma (nmol/L) | |||
| Human 1 | 7.1 ± 1.6 | 5.8 ± 0.6 | - |
| Blood (nmol/L) | |||
| Human 2 | 4 ± 3 | 10 ± 4 | 138 ± 33 |
| Rat 3 | 188 ± 72 | 718 ± 90 | 1127 ± 55 |
| Mouse 4 | 73 ± 10 | 103 ± 37 | 737 ± 97 |
| Cerebral cortex (pmol/mg protein) | |||
| Human 2 | 0.2 ± 0.3 | 3.5 ± 2.6 | 21 ± 5 |
| Baboon (P. papio) 5 | 8 ± 2 | 2.6 ± 0.4 | 43 ± 7 |
| Rat 6 | 3.1 ± 1.0 | 4.0 ± 0.4 | 79 ± 5 |
| Mouse 4 | 6 ± 0.8 | 8.1 ± 4.6 | 90 ± 8 |
Disclaimer/Publisher’s Note: The statements, opinions and data contained in all publications are solely those of the individual author(s) and contributor(s) and not of MDPI and/or the editor(s). MDPI and/or the editor(s) disclaim responsibility for any injury to people or property resulting from any ideas, methods, instructions or products referred to in the content. |
© 2023 by the author. Licensee MDPI, Basel, Switzerland. This article is an open access article distributed under the terms and conditions of the Creative Commons Attribution (CC BY) license (https://creativecommons.org/licenses/by/4.0/).
Share and Cite
Bettendorff, L. Synthetic Thioesters of Thiamine: Promising Tools for Slowing Progression of Neurodegenerative Diseases. Int. J. Mol. Sci. 2023, 24, 11296. https://doi.org/10.3390/ijms241411296
Bettendorff L. Synthetic Thioesters of Thiamine: Promising Tools for Slowing Progression of Neurodegenerative Diseases. International Journal of Molecular Sciences. 2023; 24(14):11296. https://doi.org/10.3390/ijms241411296
Chicago/Turabian StyleBettendorff, Lucien. 2023. "Synthetic Thioesters of Thiamine: Promising Tools for Slowing Progression of Neurodegenerative Diseases" International Journal of Molecular Sciences 24, no. 14: 11296. https://doi.org/10.3390/ijms241411296
APA StyleBettendorff, L. (2023). Synthetic Thioesters of Thiamine: Promising Tools for Slowing Progression of Neurodegenerative Diseases. International Journal of Molecular Sciences, 24(14), 11296. https://doi.org/10.3390/ijms241411296

