Next Article in Journal
A C57BL/6J Fancg-KO Mouse Model Generated by CRISPR/Cas9 Partially Captures the Human Phenotype
Next Article in Special Issue
Bioactive Polyketides from the Natural Complex of the Sea Urchin-Associated Fungi Penicillium sajarovii KMM 4718 and Aspergillus protuberus KMM 4747
Previous Article in Journal
The Influence of Nicotine on Trophoblast-Derived Exosomes in a Mouse Model of Pathogenic Preeclampsia
Previous Article in Special Issue
Absolute Stereochemistry and Cytotoxic Effects of Vismione E from Marine Sponge-Derived Fungus Aspergillus sp. 1901NT-1.2.2
 
 
Font Type:
Arial Georgia Verdana
Font Size:
Aa Aa Aa
Line Spacing:
Column Width:
Background:
Article

Djakonoviosides A, A1, A2, B1–B4 — Triterpene Monosulfated Tetra- and Pentaosides from the Sea Cucumber Cucumaria djakonovi: The First Finding of a Hemiketal Fragment in the Aglycones; Activity against Human Breast Cancer Cell Lines

by
Alexandra S. Silchenko
1,*,
Anatoly I. Kalinovsky
1,
Sergey A. Avilov
1,
Roman S. Popov
1,
Pavel S. Dmitrenok
1,
Ekaterina A. Chingizova
1,
Ekaterina S. Menchinskaya
1,
Elena G. Panina
2,
Vadim G. Stepanov
2,
Vladimir I. Kalinin
1,* and
Valentin A. Stonik
1
1
G.B. Elyakov Pacific Institute of Bioorganic Chemistry, Far Eastern Branch of the Russian Academy of Sciences, Pr. 100-letya Vladivostoka 159, 690022 Vladivostok, Russia
2
Kamchatka Branch of Pacific Institute of Geography, Far Eastern Branch of the Russian Academy of Sciences, Partizanskaya st. 6, 683000 Petropavlovsk-Kamchatsky, Russia
*
Authors to whom correspondence should be addressed.
Int. J. Mol. Sci. 2023, 24(13), 11128; https://doi.org/10.3390/ijms241311128
Submission received: 23 June 2023 / Revised: 2 July 2023 / Accepted: 3 July 2023 / Published: 5 July 2023
(This article belongs to the Special Issue The Structures and Biologic Activity of Marine Natural Products)

Abstract

Seven new monosulfated triterpene glycosides, djakonoviosides A (1), A1 (2), A2 (3), and B1–B4 (47), along with three known glycosides found earlier in the other Cucumaria species, namely okhotoside A1-1, cucumarioside A0-1, and frondoside D, have been isolated from the far eastern sea cucumber Cucumaria djakonovi (Cucumariidae, Dendrochirotida). The structures were established on the basis of extensive analysis of 1D and 2D NMR spectra and confirmed by HR-ESI-MS data. The compounds of groups A and B differ from each other in their carbohydrate chains, namely monosulfated tetrasaccharide chains are inherent to group A and pentasaccharide chains with one sulfate group, branched by C-2 Qui2, are characteristic of group B. The aglycones of djakonoviosides A2 (3), B2 (5), and B4 (7) are characterized by a unique structural feature, a 23,16-hemiketal fragment found first in the sea cucumbers’ glycosides. The biosynthetic pathway of its formation is discussed. The set of aglycones of C. djakonovi glycosides was species specific because of the presence of new aglycones. At the same time, the finding in C. djakonovi of the known glycosides isolated earlier from the other species of Cucumaria, as well as the set of carbohydrate chains characteristic of the glycosides of all investigated representatives of the genus Cucumaria, demonstrated the significance of these glycosides as chemotaxonomic markers. The membranolytic actions of compounds 17 and known glycosides okhotoside A1-1, cucumarioside A0-1, and frondoside D, isolated from C. djakonovi against human cell lines, including erythrocytes and breast cancer cells (MCF-7, T-47D, and triple negative MDA-MB-231), as well as leukemia HL-60 and the embryonic kidney HEK-293 cell line, have been studied. Okhotoside A1-1 was the most active compound from the series because of the presence of a tetrasaccharide linear chain and holostane aglycone with a 7(8)-double bond and 16β-O-acetoxy group, cucumarioside A0-1, having the same aglycone, was slightly less active because of the presence of branching xylose residue at C-2 Qui2. Generally, the activity of the djakonoviosides of group A was higher than that of the djakonoviosides of group B containing the same aglycones, indicating the significance of a linear chain containing four monosaccharide residues for the demonstration of membranolytic action by the glycosides. All the compounds containing hemiketal fragments, djakonovioside A2 (3), B2 (5), and B4 (7), were almost inactive. The most aggressive triple-negative MDA-MB-231 breast cancer cell line was the most sensitive to the glycosides action when compared with the other cancer cells. Okhotoside A1-1 and cucumarioside A0-1 demonstrated promising effects against MDA-MB-231 cells, significantly inhibiting the migration, as well as the formation and growth, of colonies.

1. Introduction

Marine invertebrates belonging to the class Holothuroidea are named the “pearls of the sea” because some of them present valuable sea food and almost all, if not all, produce triterpene glycosides, demonstrating various biologic activities. Despite the fact that the number of sea cucumber species whose glycosidic compositions have been studied is steadily growing, the majority of them are still unexplored because of their inaccessibility or the complexity of isolating the individual compounds from the extracts obtained from the producer organisms. Every new investigation of the glycosidic composition of unstudied species of sea cucumbers or the reinvestigation of the glycosidic composition of the species studied earlier, using the modern methods of isolation of individual substances from the multicomponent mixtures, resulted in the finding of dozens of new structural variants of the glycosides, which have unique features [1,2,3,4,5]. The early studies of some representatives of the genus Cucumaria showed the species specificity of glycosidic composition that allowed the use of these compounds for resolving the taxonomic challenges arising because of the high phenotypical polymorphism within one species of Cucumaria, probably because of a long evolutionary history [6]. The comparing of the glycosides from some Cucumaria species revealed they are characterized by significant structural variability of the aglycones [6,7,8,9,10,11,12,13,14], while they shared the same carbohydrate chain structures, including predominant mono-, di-, and trisulfated pentaosides with the branching xylose unit attached to the second monosaccaride (Qui). Tetrasaccharide monosulfated sugar chains are also present in the glycosides of several Cucumaria species [11,15], but these compounds are not so abundant, as a rule.
It is known that the glycosides from Cucumaria possess cytotoxic, proapoptotic, and immunomodulatory properties. The immunomodulatory preparation Cumaside, created on the basis of cucumarioside A2-2 isolated from the sea cucumber Cucumaria japonica, also demonstrating the anticancer action [16]. Nowadays, triterpene glycosides from sea cucumbers attract the attention of scientists worldwide, being potential antitumor agents demonstrating cytotoxic and antiproliferative action against different human cancer cells in vitro, initiating apoptosis, inhibiting tubules formation, adhesion, migration, invasion, and the angiogenesis of cancer cells [17,18,19,20,21,22,23]. Breast cancer (BC) is the mostly widespread (more than 2.2 million of cases were registered in 2020) and leading cause of death from oncologic diseases for women. The treatment for breast cancer is personalized because it depends on the disease’s stage and the molecular-biological type of the cancer, which is determined by the presence in tumor cells of the receptors for estrogen, progesterone, or human epidermal growth factor (HER2) [24]. The described biochemical features of BC give an advantage for the development of a target therapy against each molecular type of BC. Since searching for suppressors of breast cancer cells is an important scientific and medical task, the investigation of cytotoxic action against human breast cancer cell lines MCF-7, T-47D, and triple-negative MDA-MB-231 was undertaken.
The sea cucumber C. djakonovi has limited geographical distribution from the Bering Sea to Avacha Gulf on the eastern coast of Kamchatka Peninsula. This species has been often erroneously identified as C. japonica or C. frondosa when classical taxonomic features were analyzed. Hence, the investigation of the composition of triterpene glycosides of C. djakonovi will be very helpful for resolving taxonomic difficulties. Herein, the isolation, structure elucidation, and biologic activity testing of new monosulfated tetra- and pentaosides djakonoviosides A (1), A1 (2), A2 (3), B1 (4), B2 (5), B3 (6), and B4 (7) are reported. The chemical structures of 17 were elucidated by the analyses of the 1H, 13C NMR, 1D TOCSY, and 2D NMR (1H,1H COSY, HMBC, HSQC, ROESY) spectra, as well as the HR-ESI mass spectra. All the original spectra are displayed in Figures S1–S65 in the Supplementary data. The hemolytic activity against human erythrocytes and cytotoxic activities against human cell lines—breast cancer cells MCF-7, T-47D, and triple-negative MDA-MB-231, as well as leukemia HL-60 and embryonic kidney HEK-293 cells—were tested.

2. Results and Discussion

2.1. Structure Elucidation of the Glycosides

The crude glycosidic sum of Cucumaria djakonovi (13.79 g) was obtained after the hydrophobic chromatography of the concentrated ethanolic extract on a Polychrom-1 column (powdered Teflon, Biolar, Latvia). Its initial separation was achieved using the chromatography on Si gel columns (CC) with the stepped gradient of the eluents system CHCl3/EtOH/H2O in ratios 100:50:4, 100:75:10, 100:100:17, and 100:125:25 resulting in the obtaining of five fractions. The fractions I and II were repeatedly subjected to CC with the system of eluents CHCl3/EtOH/H2O (100:75:10) that resulted in getting subfractions 1 (244 mg) and 2 (640 mg). The individual glycosides 17 (Figure 1), along with three known compounds, have been isolated after HPLC of these subfractions on reversed-phase semipreparative columns Supelco Ascentis RP-Amide (10 × 250 mm) and Phenomenex Synergi Fusion RP (10 × 250 mm).
Three known triterpene glycosides were found in the glycosidic fraction of C. djakonovi. The structures of the known compounds were examined by the analysis of NMR and MS data followed by comparison with the literature data that led to identification of okhotoside A1-1 isolated first from C. okhotensis [10], cucumarioside A0-1 from C. japonica [25], and frondoside D from C. frondosa [26] (Figure S65).
The sugar configurations in glycosides 17 were assigned as D on the basis of the analogy with all other known triterpene glycosides from sea cucumber.
Extensive analysis of the 1H,1H COSY, 1D TOCSY, HSQC, and ROESY spectra of the carbohydrate moieties of compounds 13 (Table 1, Tables S1 and S2; Figures S1–S7, S10–S16 and S18–S24) indicated that the identical monosulfated tetrasaccharide chains are characteristic of these glycosides. The monosaccharide composition was determined as two xylose (Xyl1 and Xyl3), one quinovose (Qui2), and 3-O-methylglucose (MeGlc4). The positions of the glycosidic linkages established by the ROESY and HMBC correlations corresponded to the linear tetrasaccharide chain with β-glycosidic bonds: Xyl1 bonded to C-3 of the aglycone, Qui2 linked to C-2 Xyl1, Xyl3—to C-4 Qui2, and terminal MeGlc4—to C-3 Xyl3 (Table 1). The presence of a sulfate group was established by distinctive values of δC of C-4 Xyl1 observed at δC 75.9 and C-5 Xyl1 observed at δC 64.1 (α- and β-shifting effects of sulfate group) and corroborated by the MS data of each glycoside. Such a structure of sugar moiety is common for the glycosides from the sea cucumbers of different taxa. The glycosides, bearing this carbohydrate chain and isolated from C. djakonovi, were named djakonoviosides of group A.
The molecular formula of djakonovioside A (1) was determined to be C55H87O26SNa from the [MNa–Na] ion peak at m/z 1195.5209 (calc. 1195.5212) in the (−)HR-ESI-MS (Figure S8). The spectra of the aglycone part of 1 (Table 2, Figures S1–S6) demonstrated the signals of 18(20)-lactone at δC 179.7 (C-18) and δC 85.3 (C-20), 7(8)-double bond at δC 120.2 (C-7) and δC 145.7 (C-8), and O-acetyl group δC 169.5 (OCOCH3) and δC 21.3 (OCOCH3), attached to C-16 (δC 75.2) in the polycyclic nucleus. The position of this functionality was corroborated by the cross-peaks between H-15 and C-16 and the methyl group of acetoxy substituent and C-16 in the HMBC spectrum of 1. Common for the glycosides, the β-orientation of the 16-acetoxy group in djakonovioside A (1) was confirmed by ROE correlation H-16/H-32. The protons of the side chain (H-22–H-27) formed an isolated spin system in the COSY spectrum, showing that the signal of H-23 was shifted downfield to δH 4.08. A corresponding carbon signal deduced by the HSQC spectrum was observed at δC 65.9, indicating the presence of a hydroxyl group at this position. The known frondoside D [26], isolated from C. djakonovi along with new compounds, has the same aglycone as djakonovioside A (1). The (23S) configuration was suggested for frondoside D based on the comparison of the δC of C-22–C-24 with those for stichlorogenol—the aglycone of the glycosides from Stichopus chloronotus—the stereochemistry of which had been established by X-ray crystallography [27]. To assign the configuration of the C-23 chiral center in compound 1, the modified Mosher’s method was applied [28]. The treatment of 1 with (R)- and (S)-MTPA chloride gave the 23-S-(−)- and 23-R-(+)-MTPA esters, respectively. The chemical shifts of the protons surrounding chiral center C-23 were found by the 1H,1H COSY spectra of the MTPA esters. The positive values of ΔSR for H-15–H-22 and negative values of ΔSR for H-24–H-27 indicated the 23S configuration in 1 to be the same as in frondoside D (Figure S9).
The (−)ESI-MS/MS of 1 (Figure S8) demonstrated the fragmentation of the [MNa–Na] ion with m/z 1195.5 giving the fragment ion peaks at m/z 1049.4 [MNa–Na–C5H11O–CH3COO] corresponding to the cleavage of a side chain by a C-22/C-23 covalent bond and the loss of the O-acetyl group, 1033 [MNa–Na−CH3COO–SO3Na], and 989 [MNa–Na––CH3COO–SO3Na–CO2], demonstrating the elimination of the CO2 molecule related to the cleavage of the lactone cycle bonds along with the loss of the O-acetyl and sulfo-groups, 975.4 [MNa–Na–CO2–MeGlc], 741.3 [MNa–Na–MeGlc–Xyl–Qui], and 681.2 [MNa–Na–Agl–H], corroborating the whole structure of djakonovioside A (1).
These data indicate that djakonovioside A (1) is 3β-O-[3-O-methyl-β-D-glucopyranosyl-(1→3)-β-D-xylopyranosyl-(1→4)-β-D-quinovopyranosyl-(1→2)-4-O-sodium sulfate-β-D-xylopyranosyl}-16β-acetoxy,23S-hydroxyholost-7-en.
The aglycone moieties of djakonoviosides A1 (2) and B1 (4) were identical to each other, which was deduced from the coincidence of their NMR spectra (Table 3 and Table S3, Figures S10–S15 and S26–S31). The signals corresponding to the polycyclic system of the aglycone part of 2 (Table 3, Figures S10–S15) were close to those of 1, indicating their identity. The signal of C-22 deduced from the common lanostane derivative HMBC correlations H-21/C-22 was observed at δC 78.3. The corresponding proton signal (H-22) was observed at δH 5.71 as a singlet. This proton was correlated in the HMBC spectrum with the signal of a quaternary carbon at δC 213.4 (C-23), corresponding to the oxo group. Therefore, a 22-hydroxy-23-oxo fragment was supposed to be present in the side chain of 2. The coupling patterns of H-22 (s) and H-24 (dd), as well as the MS data of 2, confirmed the supposition.
The attempt to assign a C-22 configuration in compound 2 using the modified Mosher’s method failed because the 22-O-MTPA esters were not formed. However, the analysis of the biogenetic background resulted in the assignment of a 22S configuration in djakonovioside A1 (2). Earlier, the absolute R configuration of the C-22 chiral center was elucidated by Mosher’s method in the glycosides of the holostane type isolated from the sea cucumber Cladolabes schmeltzii [29]. The same 22R configuration was established in the non-holostane aglycone of frondoside C by comparing its NMR data with those of model isomeric derivatives by C-22 [30]. Cucumarioside H8, isolated from Eupentacta fraudatrix and having a 16,22-epoxy fragment in the aglycone, is also characterized by the 22R configuration, which was established based on ROE correlation H-16/H-22 [31]. Hence, all these data suggested the same configuration, but in the case of 2 and 4 were designated as 22S (because of the changing of substituent seniority in comparison with earlier known glycosides). The configuration of the C-22 chiral center should be the same because of the significance of this stereocenter for the enzymatic cleavage of the side chain in the process of the biosynthesis of the nor-lanostane-type aglycones [32]. Moreover, the presence of ROE correlation H-16/H-22 in the spectrum of 4 (Figure S30) confirmed this supposition.
The molecular formula of djakonovioside A1 (2) was determined to be C55H85O27SNa from the [MNa–Na] ion peak at m/z 1209.5028 (calc. 1209.5004) and the [MNa–Na–H]2− ion peak at m/z 604.2462 (calc. 604.2466) in the (−)HR-ESI-MS (Figure S17).
The (−)ESI-MS/MS of 2 (Figure S17) demonstrated the fragmentation of the [MNa–Na] ion with m/z 1209.5 giving the fragment ion peaks at m/z 1149.5 [MNa–Na–CH3COOH] and 1065.4 [MNa–Na–CH3COO–C5H9O], corresponding to the loss of the O-acetyl group and part of the side chain as a result of the cleavage of the C-22–C-23 bond. Fragment ion peaks at m/z 1033.4 [MNa–Na–MeGlc] and 889.3 [MNa–Na–CH3COO–C5H9O–MeGlc] corroborated that 3-O-methylglucose is a terminal residue; the ion peaks at m/z 665.2 [MNa–Na–Agl–H], 489.1 [MNa–Na–Agl–MeGlc], 357.0 [MNa–Na–Agl–MeGlc–Xyl], and 210.99 [MNa–Na–Agl–MeGlc–Xyl–Qui] confirmed the aglycone structure and the sequence of monosaccharide residues in 2.
These data indicate that djakonovioside A1 (2) is 3β-O-[3-O-methyl-β-D-glucopyranosyl-(1→3)-β-D-xylopyranosyl-(1→4)-β-D-quinovopyranosyl-(1→2)-4-O-sodium sulfate-β-D-xylopyranosyl}-16β-acetoxy,22S-hydroxy,23-oxo-holost-7-en.
The molecular formula of djakonovioside A2 (3) was determined to be C53H83O26SNa from the [MNa–Na] ion peak at m/z 1167.4934 (calc. 1167.4899) in the (−)HR-ESI-MS (Figure S25). The aglycone moieties of djakonoviosides A2 (3) and B4 (7) were identical to each other, which was deduced from the coincidence of their NMR spectra (Table 4 and Table S7, Figures S18–S23 and S50–S55). The signals corresponding to 18(20)-lactone at δC 180.3 (C-18) and 82.2 (C-20) indicated that the holostane-type aglycone with a 7(8)-double bond (δC 120.2 (C-7) and 146.4 (C-8)) is inherent to djakonovioside A2 (3). The signals of oxygen-substituted methine group CH-16 at δC 70.2 and δH 4.87 (dd, J = 7.1; 13.1 Hz) were deduced from the 1H,1H COSY spectrum, where the isolated spin system formed by the protons H2-15/H-16/H-17 was found. Its position was corroborated by the HMBC correlation C-15/H-16 observed in the spectrum of 3. The characteristic ROE correlation H3-32/H-16 and the coupling pattern of H-16 (dd, J16/17 = 7.1 Hz) indicated an α-orientation of proton H-16. The signals of side-chain atoms were assigned beginning from C-22 (δC 70.9), deduced by the correlation H-21/C-22 in the HMBC spectrum of 3. The corresponding H-22 signal was assigned at δH 3.96, observed as a singlet (Table 4); because of the vicinity of quaternary carbons C-20 and C-23, the latter signal was observed at δC 96.2. The values of the chemical shifts indicated the presence of a hydroxy group at C-22 along with the hemiketal fragment formed by C-23 and C-16 in the aglycone of 3. The HMBC correlation between H-16 and C-23 observed for 3 confirmed this supposition. Only this structure of the aglycone of 3 corresponded to the chemical formula deduced from HR-ESI-MS data.
The configuration of C-22 in 3 is the same as suggested for 2, which was deduced based on biogenetic background. The configuration of the C-23 chiral center was proposed on the basis of the observed ROE correlations and the evaluation of interatomic distances in the MM2-optimized models of the aglycones of 3 having α- or β-orientation of the hydroxyl group at C-23 (Figure 2). The distances between H-22 and H2-24 in the 23α-OH model were much less than in the 23β-OH model, indicating the probability of the observation of ROE correlations H-22/H-24 only in the case of 23α-OH. Taking into account the fact that the referred cross-peaks were observed in the ROESY spectra of 3 and 7 (Table 4 and Table S7), the configuration of C-23 was assigned as R.
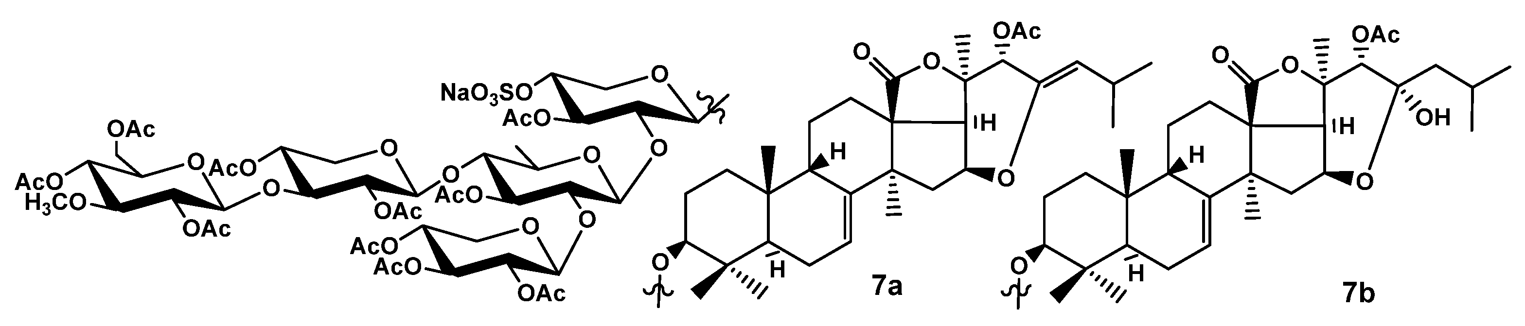
For the additional corroboration of the aglycone structure in djakonoviosides A2 (3) and B4 (7), the latter compound, which was isolated in sufficient amount, was acetylated to give the derivative of 7a (Figure 3), the structure of which was established by extensive analysis of NMR and HR-ESI-MS data. The molecular formula of 7a was determined to be C80H111O40SNa from the [MNa–Na] ion peak at m/z 1743.6353 (calc. 1743.6378) in the (−)HR-ESI-MS and the [MNa+Na]+ ion peak at m/z 1789.6051 (calc. 1789.6162) in the (+)HR-ESI-MS (Figure S64) and corresponded to the peracetylated derivative with 11 acetoxy groups. The signals in the 13C NMR spectrum of the aglycone moiety of 7a (Table S8, Figures S59–S63) corresponded to the holostane-type polycyclic nucleus (18(20)-lactone signals at δC 178.4 (C-18) and 77.4 (C-20)) with a 7(8)-double bond (δC 120.7 (C-7) and 145.6 (C-8)). The signal of C-16 was observed at δC 77.2 being deshielded in comparison with that of the native compound 7 (δC-16 70.2). The signals of an additional double bond were observed at δC 143.2 (C-23), δC 120.6 (C-24), and δH 4.89 (d, J = 8.7 Hz, H-24), indicating the presence of a 16,23-ether bond and 23(24)-double bond. The latter formed as a result of intramolecular dehydratation because of the high reactivity of hemiketal hydroxyl at C-23 through the β-elimination mechanism under the conditions of an acetylation procedure (evaporation at t = 60 °C). The position of the double bond was confirmed by the correlations H-22/C-24, H-24/C: 22, 23, and H-25/C: 23, 24 in the HMBC spectrum of 7a. The signals CH-22 observed at δC 71.0 and δH 5.65 (s, H-22) and the cross-peak H-22/OAc observed in the HMBC spectrum of 7a indicated the presence of an O-acetyl group at this position. The conducting of an acetylation reaction under milder conditions (only at room temperature), followed by the registration of the MS spectra of the reaction products (Figure S64), resulted in the identification of the same compound 7a by the characteristic ion peak at m/z 1789.6109 [MNa+Na]+ (C80H111O40SNa), as well as compound 7b corresponding to molecular formula C80H113O41SNa by the ion peak at m/z 1807.6210 [MNa+Na]+ in the (+) HR-ESI-MS. The derivative 7b has 11 acetoxy groups and one hydroxyl group that is obviously 23-OH because the tertiary hydroxyl is usually not exposed to acetylation. Thus, the structures of 7a and 7b corroborated the presence of a 23,16-hemiketal fragment in the aglycones of djakonoviosides A2 (3) and B4 (7). The triterpene nucleus with a hemiketal fragment was found for the first time among the diversity of known sea cucumber aglycones.
The (−)ESI-MS/MS of 3 (Figure S25) demonstrated the fragmentation of the [MNa–Na] ion with m/z 1167.5 giving the fragment ion peaks at m/z 1149.4 [MNa–Na−H2O], corresponding to the dehydrated derivative obviously formed as a result of the reaction of the β-elimination between C-23 and C-24; the 991.4 [MNa–Na–MeGlc] that confirmed 3-O-methylglucose is a terminal residue in the sugar chain, and 665.2 [MNa–Na–Agl–H] corroborated the aglycone structure of 3.
These data indicate that djakonovioside A2 (3) is 3β-O-[3-O-methyl-β-D-glucopyranosyl-(1→3)-β-D-xylopyranosyl-(1→4)-β-D-quinovopyranosyl-(1→2)-4-O-sodium sulfate-β-D-xylopyranosyl}-22S-hydroxyholost-7-en-23R,16β-hemiketal.
Extensive analysis of the 1H,1H COSY, 1D TOCSY, HSQC, and ROESY spectra of the carbohydrate parts of djakonoviosides B1–B4 (47) (Table 5 and Tables S4–S6; Figures S26–S32, S34–S40, S42–S48 and S50–S56) indicated they contain, identical to each other, monosulphated pentasaccharide chains branched at C-2 Qui2. The monosaccharide composition was determined as three xylose (Xyl1, Xyl3, and Xyl5) residues, one quinovose (Qui2) residue, and one 3-O-methylglucose (MeGlc4) residue. The comparison of the 13C NMR spectra of 4 and 1 showed the similarity of the signals of Xyl1, Xyl3, and MeGlc4, while the signal of C-2 Qui was deshielded to δC 83.1 because of the effect of glycosylation, as well as five additional signals corresponding to xylose unit that were observed in the spectrum of 4. The positions of the glycosidic linkages established by the ROESY and HMBC correlations were the same as in the djakonoviosides of group A with additional correlation corresponding to the β-(1→2) glycosidic bond between C-1 Xyl5 and C-2 Qui2 (Table 5). Such a structure of a carbohydrate chain is characteristic of the cucumariosides of the A0 group found first in Cucumaria japonica [25]. The glycosides, bearing this sugar chain and isolated from C. djakonovi, were named the djakonoviosides of group B.
The molecular formula of djakonovioside B1 (4) was determined to be C60H93O31SNa from the [MNa–Na] ion peak at m/z 1341.5458 (calc. 1341.5427) in the (−)HR-ESI-MS (Figure S33). The (−)ESI-MS/MS of 4 (Figure S33) demonstrated the fragmentation of the [MNa–Na] ion with m/z 1341.5 resulting in the fragment ion peaks’ appearances at m/z 1281.5 [MNa–Na−CH3COO] and 1197.5 [MNa–Na−CH3COO–C5H9O] corresponding to the cleavage of a side chain by a C-22/C-23 covalent bond and the loss of O-acetyl group, 797.2 [MNa–Na–Agl–H] and 755.3 [MNa–Na–MeGlc–Xyl–Xyl]. The fragmentary ion peaks formed out of the [MNa+Na]+ ion with m/z 1387.5 in the (+)ESI-MS/MS of 4 were observed at m/z 1267.5 [MNa+Na–NaHSO4]+, 1195.5 [MNa+Na−MeGlc+H]+, 861.2 [MNa+Na−Agl+H]+, 741.2 [MNa+Na–Agl–NaSO4+H]+, 669.2 [MNa+Na−Agl–MeGlc+H]+, and 549.3 [MNa+Na–Agl–MeGlc–NaSO4+H]+, corroborating the structure of djakonovioside B1 (4) established by the analysis of NMR data.
These data indicate that djakonovioside B1 (4) is 3β-O-{3-O-methyl-β-D-glucopyranosyl-(1→3)-β-D-xylopyranosyl-(1→4)-[(1→2)-β-D-xylopyranosyl]-β-D-quinovopyranosyl-(1→2)-4-O-sodium sulfate-β-D-xylopyranosyl}-16β-acetoxy,22S-hydroxy,23-oxo-holost-7-en.
The molecular formula of djakonovioside B2 (5) was determined to be C58H91O29SNa from the [MNa–Na] ion peak at m/z 1283.5371 (calc. 1283.5372) in the (−)HR-ESI-MS (Figure S41). The signals of the polycyclic system in the aglycone moiety of djakonovioside B2 (5) were close to those in djakonovioside A2 (3) (Table 4 and Table 6), showing the signal of C-16 at δC 69.9, and likewise, the characteristic signal of the quaternary carbon at δC 96.7 observed in the spectrum of 5 indicated the presence of a 23,16-hemiketal fragment. The correlation H-16/C-23 observed in the HMBC spectrum of 5 also corroborated the presence of this structural feature. The signals of methylene group CH2-22 deduced from the cross-peak H-21/C-22 in the HMBC spectrum were observed in the high field regions (δC 42.1, δH 2.39 (brd, J = 15.8 Hz) and 1.95 (brd, J = 15.1 Hz)), indicating the absence of any substituents at this position. The multiplicity of the H-22 signal corroborated its adjacency to the quaternary carbons C-20 and C-23. The α-orientation of H-16 was confirmed by the ROE correlation H3-32/H-16 and the coupling constant J17/16 = 7.0 Hz deduced from the spectra of 5 (Table 6, Figures S34–S39). Hence, the aglycone of djakonovioside B2 (5) differed from that of djakonovioside A2 (3) by the absence of the 22-OH group and was also found for the first time in the holothurious glycosides.
The fragmentation of the [MNa–Na] ion at m/z 1283.5 observed in the (−)ESI-MS/MS of 5 (Figure S41) resulted in the appearance of the ion peak at m/z 1183.4 [MNa–Na–C6H12O] because of the loss of the fragment corresponding to the side chain after the cleavage of the covalent bonds C-20/C-22 and C-23/O. The subsequent fragmentation led to the ion peak at m/z 1007 [MNa–Na−C6H12O–MeGlc]. The ion peak at m/z 1107.4 [MNa–Na–MeGlc] corresponded to the loss of the terminal 3-O-methylglucose unit and at m/z 797.2 [MNa–Na–(C30H45O5) Agl–H] demonstrated the loss of the aglycone moiety. The fragmentary ion peaks, formed as a result of the fragmentation of the [MNa+Na]+ ion with m/z 1329.5 in the (+)ESI-MS/MS of 5, were observed at m/z 1209.6 [MNa+Na–NaHSO4]+, 1137.5 [MNa+Na–MeGlc+H]+, 861.2 [MNa+Na–Agl+H]+, 741.2 [MNa+Na–Agl–NaSO4]+, and 669.2 [MNa+Na–Agl–MeGlc+H]+.
These data indicate that djakonovioside B2 (5) is 3β-O-{3-O-methyl-β-D-glucopyranosyl-(1→3)-β-D-xylopyranosyl-(1→4)-[(1→2)-β-D-xylopyranosyl]-β-D-quinovopyranosyl-(1→2)-4-O-sodium sulfate-β-D-xylopyranosyl}-holost-7-en-23R,16β-hemiketal.
The molecular formula of djakonovioside B3 (6) was determined to be C58H93O29SNa from the [MNa–Na] ion peak at m/z 1285.5520 (calc. 1285.5529) in the (−)HR-ESI-MS (Figure S49). The aglycone moiety of 6—those signals were deduced from the extensive analysis of the NMR spectra (Table 7, Figures S42–S48)—was found to be of the lanostane type, having 18(16)-lactone (from the signals of C-16 at δC 80.0 and C-18 at δC 182.8, as well as from the distinctive signals of H-16 at δH 5.10 and H-17 at δH 2.81, both being singlets [29], and the shielded signal of C-20 (δC 72.8), compared to the same signals in the spectra of compounds 15 (at δC ∼ 82)). The 16β-O configuration was confirmed by the absence of coupling constant J17/16 and by the ROE correlation H-16/H-21 in the spectra of 6. The common lanostane derivative 20S configuration was corroborated by the cross-peaks H-17/H-21 and H-21/H-12 observed in the ROESY spectrum of djakonovioside B3 (6). The hydroxyl group was attached to C-23 (δC 66.5) in the side chain of 6, as in djakonovioside A (1) and frondoside D, which was deduced from the analyses of the COSY (H-22/H-23/H-24/H-25/H-26/H-27 correlations) and HMBC (H-21/C-22, H-22/C-23, H-24/C: 22, 23, 25, 26, 27 correlations) spectra (Table 7). The 23S configuration was determined on a biogenetic base. Hence, the aglycone of glycoside 6 is characterized by the combination of the 18(16)-lactone and 23-hydroxy groups, which is a new structural feature for this class of metabolites.
The (−)ESI-MS/MS of 6 (Figure S49) demonstrated that the fragmentation of the [MNa–Na] ion with m/z 1285.5 resulted in the fragment ion peaks at m/z 1153.5 [MNa–Na–Xyl], 977.4 [MNa–Na–Xyl–MeGlc], and 699.3 [MNa–Na–Xyl–MeGlc–Xyl–Qui], showing the sequential loss of monosaccharide units, confirming the carbohydrate structure. The ion peak at m/z 1141.4 [MNa–Na–C8H17O2+H] corresponded to losing part of the aglycone because of the breaking of covalent bond C-17/C-20. Generally, the MS data corroborated the structure of djakonovioside B3 (5) established by the analysis of NMR data.
These data indicate that djakonovioside B3 (6) is 3β-O-{3-O-methyl-β-D-glucopyranosyl-(1→3)-β-D-xylopyranosyl-(1→4)-[(1→2)-β-D-xylopyranosyl]-β-D-quinovopyranosyl-(1→2)-4-O-sodium sulfate-β-D-xylopyranosyl}-23S-hydroxylanost-7-en-18(16)-lactone.
The molecular formula of djakonovioside B4 (7) was determined to be C58H91O30SNa from the [MNa–Na] ion peak at m/z 1299.5307 (calc. 1299.5321) in the (−)HR-ESI-MS (Figure S57), corroborating the presence of the same aglycone as in djakonovioside A2 (3).
The ion peaks observed in (−)ESI-MS/MS of 7 (Figure S57) were derived from the fragmentation of the [MNa–Na] ion as a result of the cleavage of the side chain by the covalent bonds C-20/C-22 and C-23/O with m/z 1183.5 [MNa–Na–C6H12O2] and as a result of the loss of the terminal 3-O-methylglycose residue with m/z 1105.4 [MNa–Na–MeGlc–H]. The ion peaks at m/z 797.2 [MNa–Na–Agl–H] and 695.3 [MNa–Na–Agl–NaSO3] corroborated the aglycone structure of 7. In the (+)ESI-MS/MS of 7, the fragmentary ion peaks were observed at m/z 1225.5 [MNa+Na–NaHSO4]+, 861.2 [MNa+Na–Agl+H]+, 741.2 [MNa+Na–Agl–NaSO4]+, 669.2 [MNa+Na–Agl–MeGlc+2H]+, corroborating the structure of djakonovioside B4 (7).
These data indicate that djakonovioside B4 (7) is 3β-O-{3-O-methyl-β-D-glucopyranosyl-(1→3)-β-D-xylopyranosyl-(1→4)-[(1→2)-β-D-xylopyranosyl]-β-D-quinovopyranosyl-(1→2)-4-O-sodium sulfate-β-D-xylopyranosyl}-22S-hydroxyholost-7-en-23R,16β-hemiketal.

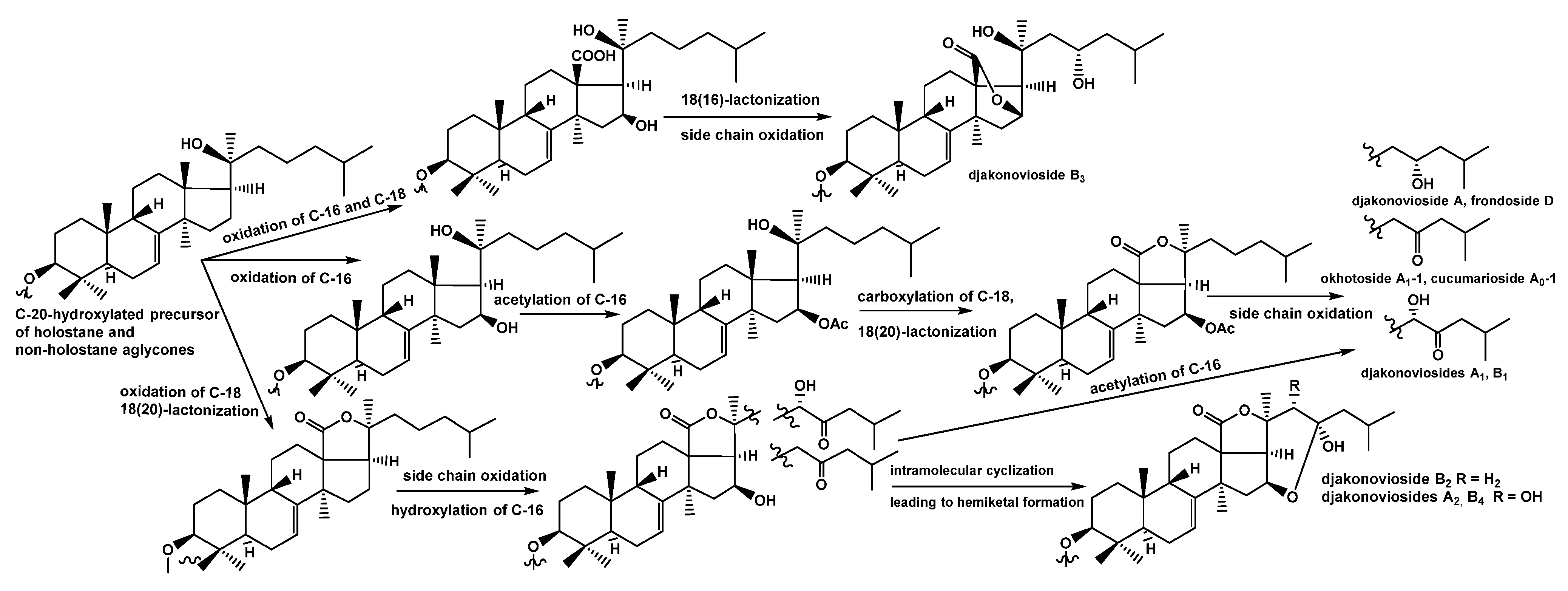
2.2. Biosynthetic Pathways of the Aglycones of the Glycosides from C. djakonovi

It is known that holostane-type aglycones are biosynthesized via the hydroxylation of C-20 in a triterpene precursor followed by C-18 oxidation, resulting in the formation of 18(20)-lactone. When the hydroxyl groups are simultaneously present at C-16 and C-20 of the 18-carboxylated derivative, the formation of 18(16)-lactone occurred [32]. This process takes place during the biosynthesis of djakonovioside B3 (6). The hydroxylation with subsequent acetylation of C-16 preceding the oxidation of C-18 prevents the formation of 18(16)-lactone and leads to the synthesis of holostane-type aglycones in djakonoviosides A (1), A1 (2), B1 (4), okhotoside A1-1, cucumarioside A0-1, and frondoside D.
Taking into account the fact that the glycosides are the products of a mosaic type of biosynthesis, different biosynthetic stages can be shifted in time or change places in the sequence of the enzymatic oxidative reactions. Presumably, this occurred in the processes of formation of the aglycones with hemiketal fragments (compounds 3, 5, and 7). Their precursor probably contains 16-hydroxyl, 18(20)-lactone, and obviously, a highly oxidized side chain with the 23-oxo group that is inherent for the aglycones of okhotoside A1-1, cucumarioside A0-1, djakonoviosides A1 (2), and B1 (4). The obtained data indicate that different aglycones of C. djakonovi glycosides are exposed to the action of the same monooxygenase during their biosynthesis. The intramolecular attack of the hydrogen of the hydroxy group at C-16 to the 23-oxo group leads to the cyclization of a 23,16-hemiketal fragment. The biogenetic network formed as a result of the biosynthesis of the aglycones found in the glycosides isolated from C. djakonovi is illustrated in Figure 4.
In the process of the biosynthesis of compounds 3, 5, and 7, the formation of pyranose hemiketal fragments is realized as quite similar to the formation of the pyranose forms of sugars as a result of ring-chain tautomerism—a non-enzymatic intramolecular reaction occurred in an open-chain isomer, which produces more stable cyclic compounds. In our case, a similar process may lead to the formation of compounds 3, 5, and 7 with alpha-pyranose fragments, as shown in Figure 2. It is considered that the acetate groups are introduced through intermediate hydroxy derivatives at catalysis by O-acetyltransferases. The probable reason for the conversion into 23,16-hemiketals characteristic of C. djakonovi is the retardation of O-acetyltransferase action on an intermediate 16-hydroxylated derivative.

2.3. Bioactivity of the Glycosides and Structure–Activity Relationships

Cytotoxic activity of djakonoviosides A–B4 (17), as well as of known glycosides isolated from C. djakonovi (Figure S65), against erythrocytes and human breast cancer cell lines (MCF-7, T-47D, and triple negative MDA-MB-231), as well as leukemia HL-60 and embryonic kidney HEK-293, has been studied. Chitonoidoside L [33] and cisplatin were used as the positive controls (Table 8). The activity of the glycosides against MCF-7, T-47D, MDA-MB-231, and HEK293 cells were examined by MTT assay and against HL-60 by MTS assay.
Six glycosides from ten tested demonstrated potent hemolytic action, while the rest of the compounds were only moderately hemolytic because of the presence of hydroxy-groups in the side chains along with an additional 23,16-hemiketal cycle, making the aglycone more rigid (compounds 3, 5, and 7), or non-holostane aglycone and hydroxy group in the side chain (glycoside 6). The cancer cells were, as usual, less sensitive to the membranolytic action of the glycosides than of the erythrocytes. It is noticeable that compounds 1 and 2 demonstrated rather high cytotoxic activity despite both bearing the hydroxyl groups in the side chain, whose activity-decreasing action is obviously compensated for by the presence of holostane aglycones and tetrasaccharide linear monosulfated chains [4,34].
Some patterns of the structure–activity relationships were deduced from the analysis of the cytotoxic actions of the tested glycosides against cancer cell lines. Okhotoside A1-1 was the most active compound in the series because of the presence of a tetrasaccharide linear chain and holostane aglycone with a 7(8)-double bond and 16β-O-acetoxy group [11] without any hydroxyl groups. Cucumarioside A0-1 [25], having the same aglycone as okhotoside A1-1 (Figure S65), was slightly less active because of the presence of a branching xylose residue at C-2 Qui, while the activity of frondoside D [26], characterized by the same pentasaccharide sugar chain, was twofold decreased compared with cucumarioside A0-1 because of the presence of the 23-OH group in the aglycone. The possible decrease in the cytotoxicity level of djakonovioside A1 (2), featuring the aglycone identical to frondoside D, was compensated for by the presence of a tetrasaccharide chain identical to that of okhotoside A1-1. Generally, the activity of the djakonoviosides of group A was higher than that of the djakonoviosides of group B containing the same aglycones, indicating the significance of a linear sugar chain containing four monosaccharide residues for the demonstration of membranolytic action by the glycosides. All the compounds containing hemiketal fragments, djakonovioside A2 (3), B2 (5), and B4 (7), were inactive against cancer cells, as was djakonovioside B3 (6), having non-holostane aglycone and a hydroxyl group in the side chain. All these patterns are in good agreement with the structure–activity relationships established earlier for the triterpene glycosides of sea cucumbers [34].
As regards the sensitivity of cancer cell lines to glycoside action, HL-60 and MDA-MB-231 (triple-negative breast cancer) were exposed to cytotoxic action to the greatest extent, while the MCF-7 cell line was more resilient.
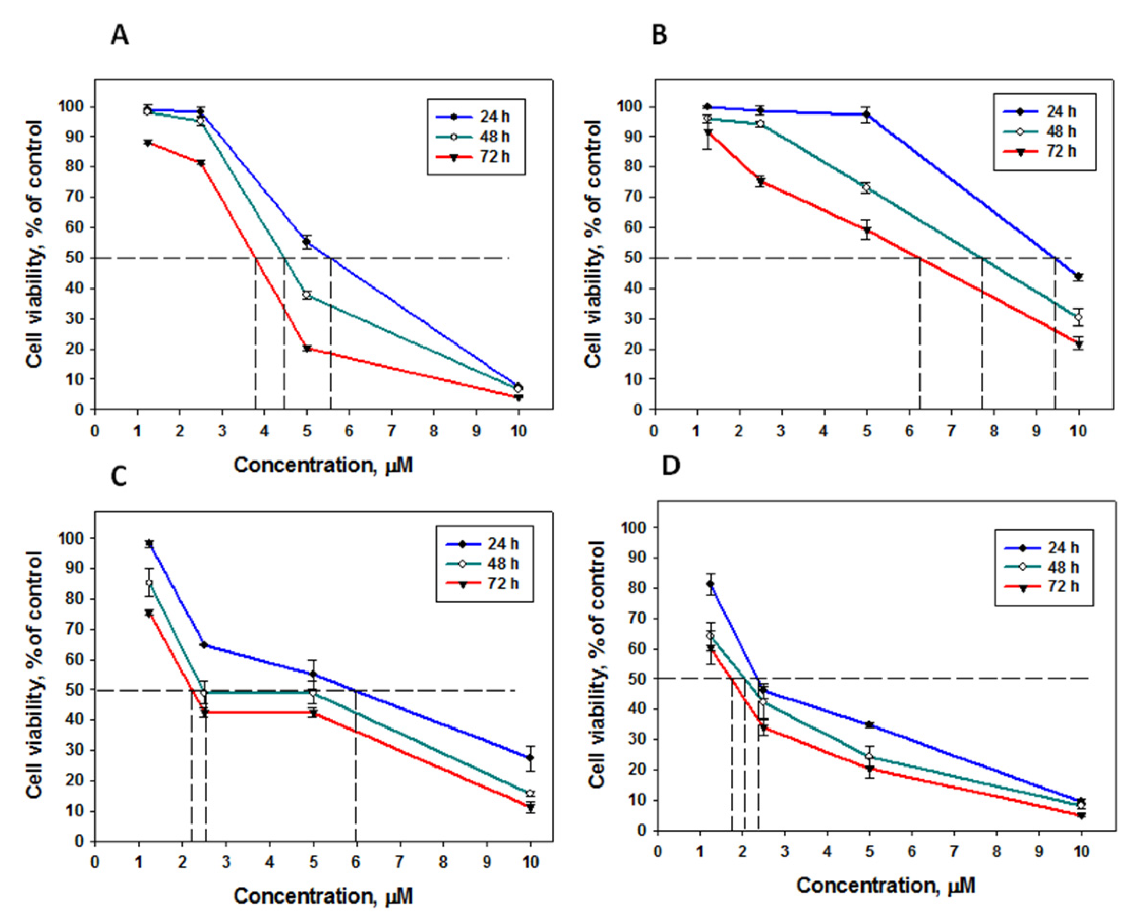
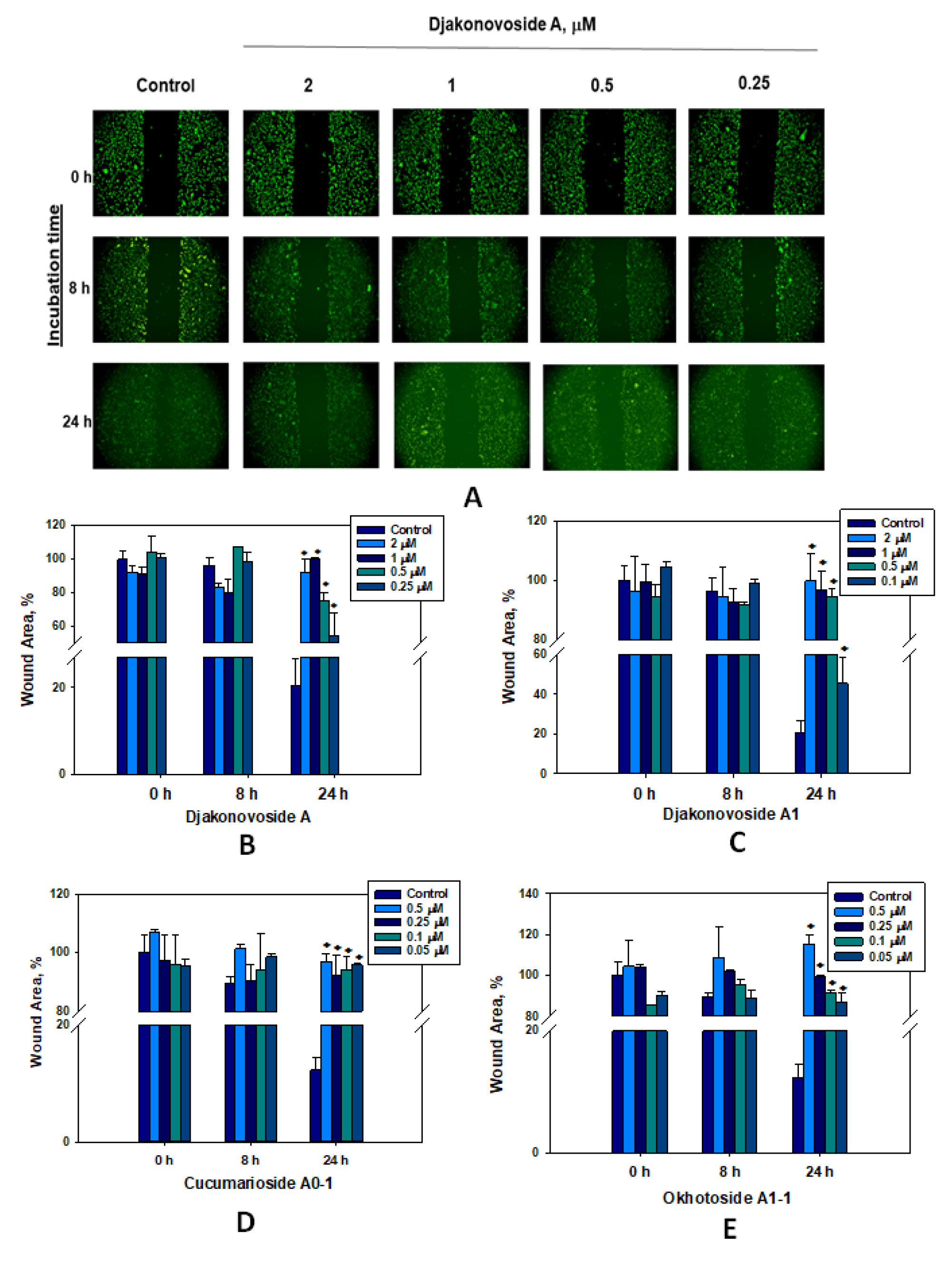
For further investigation of glycoside action on colony formation and migration, the triple-negative breast cancer MDA-MB-231 cells were used, and the most active okhotoside A1-1 and cucumarioside A0-1, as well as djakonoviosides A (1) and A1 (2), were selected. The glycosides did not lose cytotoxicity over time, and their effects increased after 48 and 72 h of incubation with the MDA-MB-231 cells (Figure 5). For example, cucumarioside A0-1 demonstrated an almost twofold increase in the activity (EC50 6.04 2.45 and 2.19 μM) after 48 and 72 h of exposition (Figure 5C).
Clonogenic analysis is commonly used to study the influence of cytotoxic compounds on the survival and division of the cells and their ability to form colonies. The investigation of the action of selected glycosides in non-cytotoxic concentrations on the formation and growth of colonies of MDA-MB-231 cells demonstrated that the maximum inhibitory effect (70.76 ± 0.13% of the control) was observed for okhotoside A1-1 at a concentration of 0.5 μM (Figure 6). Cucumarioside A0-1 significantly inhibited the growth of colonies at all concentrations studied; the maximal blockage of the formation and growth of colonies by 43.54 ± 6.07% of the control was observed at a concentration of 0.5 μM. Djakonovosides A (1) and A1 (2) showed a dose-dependent effect: a statistically significant inhibition of colony growth by 41.39 ± 3.16% and 19.24 ± 0.25% of the control was observed for 1 and 2, respectively, at the maximum concentration of 2 μM.
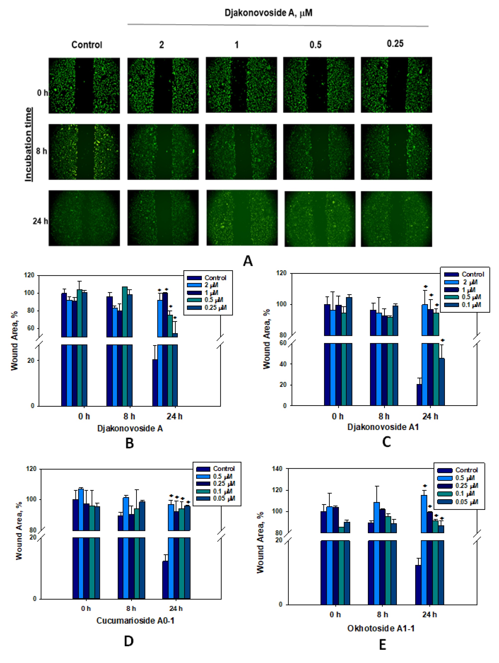
Migration of tumor cells plays a crucial role in the process of metastases growth, so the search for substances capable of inhibiting this process is very important. The ability of the glycosides to inhibit migration of MDA-MB-231 cells was tested in vitro by wound scratch migration assay. In the control group, MDA-MB-231 cells completely close migration to the wound area at 24 h (Figure 7A). The statistically significant effects of the glycosides on migration were also observed after 24 h of incubation.
Compound 1 showed a maximum blockage of the migration by 79.92 ± 0.27% in relation to control at a concentration of 1 μM (Figure 7A,B). A dose-dependent inhibitory effect was observed for 2 and okhotoside A1-1 (Figure 7C,E). Djakonovioside A1 (2) inhibited the migration of tumor cells by 79.52 ± 9.12% as compared to control at a concentration of 2 μM after 24 h incubation, while okhotoside A1-1 inhibited the migration by 74.76 ± 4.41%, already at the minimum studied concentration of 0.05 µM. Cucumarioside A0-1 strongly affected cell migration at all concentrations with approximately equal intensity (Figure 7D). Thus, at the maximum concentration of 0.5 µM, the blocking of migration was 84.62 ± 2.89% in comparison with control, and at the minimum concentration of 0.05 µM, this value was 83.61 ± 0.72%.
Generally, some of the investigated glycosides demonstrated encouraging action against breast cancer cells, suppressing their viability and inhibiting the formation and growth of colonies and the ability of the cells to migrate of the most aggressive triple-negative MDA-MB-231 line of breast cancer.

3. Materials and Methods

3.1. General Experimental Procedures

Specific rotation was measured on a PerkinElmer 343 Polarimeter (PerkinElmer, Waltham, MA, USA); NMR spectra were registered on a Bruker AMX 500 (Bruker BioSpin GmbH, Rheinstetten, Germany) (500.12/125.67 MHz (1H/13C) spectrometer; ESI MS (positive and negative ion modes) spectra were registered on an Agilent 6510 Q-TOF apparatus (Agilent Technology, Santa Clara, CA, USA) with a sample concentration of 0.01 mg/mL; HPLC was conducted on an Agilent 1260 Infinity II equipped with a differential refractometer (Agilent Technology, Santa Clara, CA, USA); columns used Discovery Ascentis RP-Amide (10 × 250 mm, 5 µm) (Supelco, Bellefonte, PA, USA) and Phenomenex Synergi Fusion RP (10 × 250 mm, 5 µm) (Phenomenex, Torrance, CA, USA).

3.2. Animals and Cells

The specimens of sea cucumber Cucumaria djakonovi (family Cucumariidae; order Dendrochirotida) were collected in the Avacha Gulf near Starichkov’s Island in July 2007 by scuba diving from a depth of 14–15 m. The taxonomic identification of the animals was performed by Dr. V.G. Stepanov. A voucher specimen is kept in the Pacific Institute of Geography, Kamchatka Branch, Petropavlovsk-Kamchatsky, Russia.
Human erythrocytes were purchased from the Station of Blood Transfusion in Vladivostok. Human promyeloblast cell line HL-60 CCL-240, human embryonic kidney HEK-293 CRL-1573TM cell line, human breast cancer cell lines T-47D HTB-133TM, MCF-7 HTB-22TM, and MDA-MB-231 CRM-HTB-26TM were received from ATCC (Manassas, VA, USA). HL-60 and T-47D cell lines were cultured in a medium of RPMI with 1% penicillin/streptomycin (Biolot, St. Petersburg, Russia) and 10% fetal bovine serum (FBS) (Biolot, St. Petersburg, Russia). The HEK293 cell line was cultured in a medium of DMEM (Gibco Dulbecco’s modified Eagle medium) with 1% penicillin/streptomycin sulfate (Biolot, St. Petersburg, Russia) and 10% fetal bovine serum (FBS) (Biolot, St. Petersburg, Russia). The cells of the MCF-7 and MDA-MB-231 lines were cultured in MEM (minimum essential medium) with 1% penicillin/streptomycin sulfate (Biolot, St. Petersburg, Russia) and with fetal bovine serum (Biolot, St. Petersburg, Russia) to a final concentration of 10%.

3.3. Extraction and Isolation

The body walls and tentacles of the sea cucumbers were minced and extracted twice with refluxing 70% EtOH. The dry weight of raw material after extraction was 663.5 g. The combined extracts were concentrated to dryness in vacuum, dissolved in H2O, and chromatographed on a Polychrom-1 column (powdered Teflon, Biolar, Latvia). The first elution of the inorganic salts and impurities with H2O, followed by the elution of glycosides with 55% acetone, produced 1379 mg of a crude glycoside fraction. Its initial separation was achieved by using the chromatography on Si gel columns (CC) with the stepped gradient of the system of eluents CHCl3/EtOH/H2O in ratios 100:50:4, 100:75:10, 100:100:17, and 100:125:25 resulting in the obtaining of five fractions. Fractions I and II were repeatedly subjected to CC with the system of eluents CHCl3/EtOH/H2O (100:75:10), each for subsequent purification that resulted in obtaining subfractions 1 (244 mg) and 2 (640 mg), respectively. The HPLC of subfraction 1 on a reversed-phase column, Supelco Ascentis RP-Amide (10 × 250 mm), with MeOH/H2O/NH4OAc (1 M water solution) and ratio (57/42/1), as mobile phase, produced four fractions. The rechromatography of two of them on a Phenomenex Synergi Fusion (10 × 250 mm) column with MeOH/H2O/NH4OAc (1 M water solution) (68/30/2) as the mobile phase resulted in the isolation of djakonoviosides A (1) (5.1 mg, Rt 12.98 min) and A1 (2) (5.2 mg, Rt 14.52 min), as well as of the known okhotoside A1-1 (12.8 mg, Rt 16.36 min). Subfraction 2 was subjected to HPLC on a Phenomenex Synergi Fusion (10 × 250 mm) column with MeOH/H2O/NH4OAc (1 M water solution) (65/33/2) as the mobile phase to produce fractions 2.1–2.5 and individual cucumarioside A0-1 (111.6 mg, Rt 18.45 min). All the subfractions, 2.1–2.5, were repeatedly subjected HPLC on the same column but used different ratios of the CH3CN/H2O/NH4OAc (1 M water solution) solvent system as the mobile phase. The rechromatography of subfraction 2.4 with the ratio of solvents (40/58/2) led to the isolation of 54.0 mg of djakonovioside B1 (4) (Rt 11.52 min). The separation of subfraction 2.3 with the ratio (36/62/2) produced frondoside D (8.0 mg, Rt 16.89 min), djakonovioside B2 (5) (7.0 mg, Rt 15.52 min), and djakonovioside A2 (3) (3.2 mg, Rt 14.03 min). In the same way, the HPLC of subfraction 2.2 resulted in the isolation of djakonovioside B3 (6) (4.6 mg, Rt 12.75 min). Subfraction 2.1 was separated with the mobile phase having the ratio of solvents (35/63/2) that allowed us to obtain 65.4 mg of djakonovioside B4 (7) (Rt 13.02 min).

3.3.1. Djakonovioside A (1)

Colorless powder; [α]D20−19° (c 0.1, H2O). NMR: Table 1 and Table 2, Figures S1–S8. (−)HR-ESI-MS m/z: 1195.5209 (calc. 1195.5212) [MNa–Na]; (−)ESI-MS/MS m/z: 1049.4 [MNa–Na−C5H11O–CH3COO], 1033 [MNa–Na−CH3COO–SO3Na], 989 [MNa–Na−−CH3COO–SO3Na–CO2], 975.4 [MNa–Na−CO2−C7H13O5 (MeGlc)], 741.3 [MNa–Na−C7H13O5 (MeGlc)−C5H8O4 (Xyl)−C6H10O4 (Qui)], 681.2 [MNa–Na−(C32H49O5) Agl−H].

3.3.2. Djakonovioside A1 (2)

Colorless powder; [α]D20−23° (c 0.1, H2O). NMR: Table 3 and Table S1, Figures S10–S17. (−)HR-ESI-MS m/z: 1209.5028 (calc. 1209.5004) [MNa–Na], 604.2462 (calc. 604.2466) [MNa–Na–H]2−; (−)ESI-MS/MS m/z: 1149.5 [MNa–Na−CH3COOH], 1065.4 [MNa–Na−CH3COO–C5H9O], 1033.4 [MNa–Na−C7H13O5 (MeGlc)], 889.3 [MNa–Na−CH3COO–C5H9O–C7H13O5 (MeGlc)], 665.2 [MNa–Na−C32H47O7 (Agl)–H], 489.1 [MNa–Na−C32H47O7 (Agl)–C7H13O5 (MeGlc)], 357.0 [MNa–Na−C32H47O7 (Agl)–C7H13O5 (MeGlc)–C5H8O4 (Xyl)], 210.99 [MNa–Na−C32H47O7 (Agl)–C7H13O5 (MeGlc)–C5H8O4 (Xyl)–C6H10O4 (Qui)].

3.3.3. Djakonovioside A2 (3)

Colorless powder; [α]D20−28° (c 0.1, H2O). NMR: Table 4 and Table S2, Figures S18–S25. (−)HR-ESI-MS m/z: 1167.4934 (calc. 1167.4899) [MNa–Na]; (−)ESI-MS/MS m/z: 1149.4 [MNa–Na−H2O], 991.4 [MNa–Na−C7H12O5 (MeGlc)], 665.2 [MNa–Na−C30H45O6 (Agl)–H].

3.3.4. Djakonovioside B1 (4)

Colorless powder; [α]D20−34° (c 0.1, H2O). NMR: Table 4 and Table S3, Figures S26–S33. (−)HR-ESI-MS m/z: 1341.5458 (calc. 1341.5427) [MNa–Na]; (−)ESI-MS/MS m/z: 1281.5 [MNa–Na−CH3COO], 1197.5 [MNa–Na−CH3COO–C5H9O], 797.2 [MNa–Na−(C32H47O7) Agl–H], 755.3 [MNa–Na−C7H13O5 (MeGlc)–C5H4O8 (Xyl)–C5H4O8 (Xyl)–H]; (+)ESI-MS/MS m/z: 1267.5 [MNa+Na−NaHSO4]+, 1195.5 [MNa+Na−C7H13O6 (MeGlc)+H]+, 861.2 [MNa+Na−C32H47O6 (Agl)+H]+, 741.2 [MNa+Na−C32H47O6 (Agl)–NaSO4+H]+, 669.2 [MNa+Na−C32H47O6 (Agl)–C7H13O6 (MeGlc)+H]+, 549.3 [MNa+Na−C32H47O6 (Agl)–C7H13O6 (MeGlc)–NaSO4+H]+.

3.3.5. Djakonovioside B2 (5)

Colorless powder; [α]D20−29° (c 0.1, H2O). NMR: Table 5 and Table S4, Figures S34–S41. (−)HR-ESI-MS m/z: 1283.5371 (calc. 1283.5372) [MNa–Na]; (−)ESI-MS/MS m/z: 1183.4 [MNa–Na−C6H12O], 1107.4 [MNa–Na–C7H12O5 (MeGlc)], 1007 [MNa–Na−C6H12O–C7H12O5 (MeGlc)], 797.2 [MNa–Na–C30H45O5 (Agl)–H]; (+)ESI-MS/MS m/z: 1329.5 [MNa+Na]+, 1209.6 [MNa+Na−NaHSO4]+, 1137.5 [MNa+Na−C7H13O6 (MeGlc)+H]+, 861.2 [MNa+Na–C30H45O4 (Agl)+H]+, 741.2 [MNa+Na–C30H45O4 (Agl)–NaSO4]+, 669.2 [MNa+Na–C30H45O4 (Agl)–C7H12O6 (MeGlc)+H]+.

3.3.6. Djakonovioside B3 (6)

Colorless powder; [α]D20−31° (c 0.1, H2O). NMR: Table 7 and Table S5, Figures S42–S49. (−)HR-ESI-MS m/z: 1285.5520 (calc. 1285.5529) [MNa–Na]; (−)ESI-MS/MS m/z: 1153.5 [MNa–Na−C5H4O8 (Xyl)], 1141.4 [MNa–Na−C8H17O2+H], 977.4 [MNa–Na−C5H4O8 (Xyl)–C7H13O5 (MeGlc)+H], 699.3 [MNa–Na−C5H4O8 (Xyl)–C7H13O5 (MeGlc)–C5H4O8 (Xyl)–C6H10O4 (Qui)].

3.3.7. Djakonovioside B4 (7)

Colorless powder; [α]D20−36° (c 0.1, H2O). NMR: Tables S6 and S7, Figures S50–S57. (−)HR-ESI-MS m/z: 1299.5307 (calc. 1299.5321) [MNa–Na]; (−)ESI-MS/MS m/z: 1183.5 [MNa–Na−C6H12O2–H], 1105.4 [MNa–Na−C7H13O6 (MeGlc)–H], 797.2 [MNa–Na−C30H45O6 (Agl)–H], 695.3 [MNa–Na−C30H45O6 (Agl)–NaSO3]; (+)ESI-MS/MS m/z: 1225.5 [MNa+Na−NaHSO4]+, 861.2 [MNa+Na−C30H45O5 (Agl)+H]+, 741.2 [MNa+Na−C30H45O5 (Agl)–NaSO4]+, 669.2 [MNa+Na−C30H45O5 (Agl)–C7H13O6 (MeGlc)+2H]+.

3.4. Acetylation of Djakonovioside B4 (7)

Glycoside 7 (4 mg) was dissolved in 1 mL of a mixture of absolute pyridine and acetyl anhydride (1:1) and kept at room temperature for 12 h. The mixture was evaporated in vacuo (at 60 °C) to obtain acetylated derivative 7a and dissolved in C5D5N for NMR spectra registration. Derivative 7b was obtained by the same procedure, excluding the heating.

3.5. Cytotoxic Activity (MTT Assay) (for HEK293, MCF-7, T-47D, and MDA-MB-231 Cells)

All the substances were tested in concentrations from 0.1 µM to 50 µM. Cisplatin was used as positive control. The cell suspension (180 µL) and solutions (20 µL) of tested glycosides in different concentrations were injected in wells of 96-well plates (MCF-7, T-47D, MDA-MB-231, and HEK293—7 × 103 cells/well) and incubated at 37 °C for 24 h in an atmosphere with 5% CO2. Glycosides 1 and 2, cucumarioside A0-1, and okhotoside A1-1 at concentrations of 1.25–10.0 μM were incubated with MDA-MB-231 cells at 37 °C for 24, 48, and 72 h in an atmosphere with 5% CO2. After incubation, the glycosides with medium were replaced by 100 µL of fresh medium. Then, 10 µL of MTT (3-(4,5-dimethylthiazol-2-yl)-2,5-diphenyltetrazolium bromide) (Sigma-Aldrich, St. Louis, MO, USA) stock solution (5 mg/mL) was added to each well, followed by incubation of the microplate for 4 h. After this procedure, 100 µL of SDS-HCl solution (1 g SDS/10 mL d-H2O/17 µL 6 N HCl) was added to each well and incubated for 18 h. The absorbance of the converted dye formazan was determined with a Multiskan FC microplate photometer (Thermo Fisher Scientific, Waltham, MA, USA) at 570 nm. Cytotoxic activity of the tested glycosides was calculated as a concentration that caused 50% cell metabolic activity inhibition (IC50). The experiments were conducted in triplicate; p < 0.05.

3.6. Cytotoxic Activity (MTS Assay) (for HL-60)

The cells of the HL-60 line (10 × 103/200 µL) were placed in 96-well plates at 37 °C for 24 h in a 5% CO2 incubator and, then, treated with tested glycosides and cisplatin as positive control at concentrations between 0.1 and 50 µM for an additional 24 h of incubation. Then, the cells were incubated with 10 µL MTS ([3-(4,5-dimethylthiazol-2-yl)-5-(3-carboxymethoxyphenyl)-2-(4-sulfophenyl)-2H-tetrazolium) for 4 h, and the absorbance in each well was determined at 490/630 nm with a PHERA star FS plate reader (BMG Labtech, Ortenberg, Germany). The experiments were conducted in triplicate. The results were presented as the percentage of inhibition that produced a reduction in absorbance after tested glycosides treatment compared to the nontreated cells (negative control); p < 0.01.

3.7. Hemolytic Activity

Erythrocytes were obtained from human blood (AB(IV) Rh+) by centrifugation with phosphate-buffered saline (PBS) (pH 7.4) at 4 °C for 5 min by 450 g on a LABOFUGE 400R centrifuge (Heraeus, Hanau, Germany) three times. Then, the erythrocytes residue was resuspended in ice cold phosphate saline buffer (pH 7.4) to a final optical density of 1.5 at 700 nm and kept on ice. For the hemolytic assay, 180 µL of erythrocyte suspension was mixed with 20 µL of test compound solution, as well as control, chitonoidoside L [33], in V-bottom 96-well plates. After 1 h of incubation at 37 °C, the plates were exposed to centrifugation for 10 min at 900 g in a laboratory LMC-3000 centrifuge (Biosan, Riga, Latvia). Then, 100 µL of supernatant was carefully decanted and transferred into new flat plates. The values of the lysis of the erythrocytes were found by measuring the concentration of hemoglobin in the supernatant with a Multiskan FC microplate photometer (Thermo Fisher Scientific, Waltham, MA, USA); λ = 570 nm. The effective dose causing 50% hemolysis of erythrocytes (ED50) was calculated with a SigmaPlot 10.0 computer program. All the experiments were carried out in triple repetitions; p < 0.01.

3.8. Colony Formation Assay

The influence of glycosides on the proliferation of MDA-MB-231 cells was analyzed by clonogenic assay [35]. Briefly, MDA-MB-231 cells were cultured on 6-well plates at a density of 1 × 103 cells per well in control media (MEM media, 10% FBS, 10,000 U/mL of penicillin and 10,000 μg/mL of streptomycin) or in media supplemented with different concentrations of glycosides. Cells were incubated for one week at 37 °C with 5% CO2 until the cells in the control plates formed colonies that were visible to the eye and were of a substantial size (at least 50 cells per colony). For fixation and staining, the media were removed and the cells were washed twice with PBS. The colonies were fixed with methanol for 25 min, then washed with PBS and stained with 0.5% crystal violet solution for 25 min at room temperature. The plates were then washed with water and air dried.

3.9. Wound Scratch Migration Assay

To analyze the influence of the tested compounds on tumor cell migration, MDA-MB-231 cells attached to the plate’s plastic bottom were separated by a silicone insert from special migration plates (Culture-insert 2 Well 24, ibiTreat); then, the insert was removed, leaving a gap of 500 ± 50 μm (according to the manufacturer’s data) between the cells. The cells were washed twice by PBS to remove cell debris and floating cells and loaded with a fluorescent probe, a (5,6)-carboxyfluorescein succinimidyl ester (CFDA SE) dye (LumiTrace CFDA SE kit, Lumiprobe, Moscow, Russia). The initial solution of CFDA SE at a concentration of 5 mM in DMSO was dissolved in PBS to prepare a 10 μM solution and was added to the cells for 5 min at 37 °C; then, the cells were washed twice with PBS, and fresh culture medium was added. After that, the cells were treated with various concentrations of glycosides and left for 8 and 24 h. Cells treated with culture medium only were used as control. Cell migration into the wound area was then observed under a fluorescence microscope (MIB-2-FL, LOMO, Saint Peterburg, Russia) with an objective ×10 magnification.

4. Conclusions

At the first stage of investigation of the glycosidic composition of the sea cucumber Cucumaria djakonovi, two fewer polar fractions containing monosulfated tetra- and pentaosides have been studied that resulted in the isolation of seven new djakonoviosides, A–B4 (17), and three known glycosides found earlier in other representatives of the Cucumaria genus. The analysis of the structural peculiarities of isolated compounds revealed five different aglycones, four of them found for the first time, and two types of carbohydrate chains common for the glycosides of the Cucumaria species. Therefore, the trend that was disclosed earlier concerning the species specificity of the set of aglycones, as well as the genus-specific raw carbohydrate chains of the glycosides of the sea cucumbers belonging to genus Cucumaria [6], was confirmed by the structures of compounds from C. djakonovi. Unprecedented structural features of the glycosides 3, 5, and 7 consist of the presence of a pyranose 23,16-hemiketal cycle, formed similarly to the appearance of pyranose forms of sugars. Probably, it is connected with the retardation of acylation of a free hydroxyl at C-16 by the corresponding O-acetyltransferases in Cucumaria djakonovi.
Noticeably, the known okhotoside A1-1 and cucumarioside A0-1 isolated earlier from C. djakonovi demonstrated promising effects against the most aggressive triple-negative MDA-MB-231 cell line of breast cancer, significantly inhibiting the formation and growth of colonies and the migration of cells.

Supplementary Materials

The supporting information can be downloaded at: https://www.mdpi.com/article/10.3390/ijms241311128/s1.

Author Contributions

Conceptualization, A.S.S. and V.I.K.; methodology, A.S.S., S.A.A. and E.S.M.; investigation, A.S.S., S.A.A., A.I.K., R.S.P., P.S.D., E.A.C., E.G.P. and V.G.S.; writing—original draft preparation, A.S.S., V.I.K. and V.A.S.; writing—review and editing, A.S.S. and V.I.K. All authors have read and agreed to the published version of the manuscript.

Funding

The investigation was conducted with the financial support of a grant from the Russian Science Foundation, No. 23-13-00078.

Institutional Review Board Statement

Ethical review and approval were waived for this study due to absence of humans and laboratory animals in the experiments.

Informed Consent Statement

Not applicable.

Data Availability Statement

Not applicable.

Acknowledgments

The study was carried out on the equipment of the Collective Facilities Center, “The Far Eastern Center for Structural Molecular Research (NMR/MS) PIBOC FEB RAS”.

Conflicts of Interest

The authors declare no conflict of interest.

References

  1. Kalinin, V.I.; Silchenko, A.S.; Avilov, S.A.; Stonik, V.A. Progress in the studies of triterpene glycosides from sea cucumbers (Holothuroidea, Echinodermata) between 2017 and 2021. Nat. Prod. Commun. 2021, 16, 1934578X211053934. [Google Scholar] [CrossRef]
  2. Mondol, M.A.M.; Shin, H.J.; Rahman, M.A. Sea cucumber glycosides: Chemical structures, producing species and important biological properties. Mar. Drugs 2017, 15, 317. [Google Scholar] [CrossRef] [PubMed]
  3. Park, J.-I.; Bae, H.-R.; Kim, C.G.; Stonik, V.A.; Kwak, J.Y. Relationships between chemical structures and functions of triterpene glycosides isolated from sea cucumbers. Front. Chem. 2014, 2, 77. [Google Scholar] [CrossRef] [PubMed]
  4. Silchenko, A.S.; Avilov, S.A.; Popov, R.S.; Dmitrenok, P.S.; Chingizova, E.A.; Grebnev, B.B.; Rasin, A.B.; Kalinin, V.I. Chilensosides E, F, and G—New Tetrasulfated Triterpene Glycosides from the Sea Cucumber Paracaudina chilensis (Caudinidae, Molpadida): Structures, Activity, and Biogenesis. Mar. Drugs 2023, 21, 114. [Google Scholar] [CrossRef]
  5. Silchenko, A.S.; Kalinovsky, A.I.; Avilov, S.A.; Andrijaschenko, P.V.; Popov, R.S.; Dmitrenok, P.S.; Chingizova, E.A.; Kalinin, V.I. Kurilosides A1, A2, C1, D, E and F—Triterpene Glycosides from the Far Eastern Sea Cucumber Thyonidium (= Duasmodactyla) kurilensis (Levin): Structures with Unusual Non-Holostane Aglycones and Cytotoxicities. Mar. Drugs 2020, 18, 551. [Google Scholar] [CrossRef]
  6. Avilov, S.A.; Kalinin, V.I.; Smirnov, A.V. Use of triterpene glycosides for resolving taxonomic problems in the sea cucumber genus Cucumaria (Holothorioidea, Echinodermata). Biochem. Syst. Ecol. 2004, 32, 715–733. [Google Scholar] [CrossRef]
  7. Silchenko, A.S.; Kalinovsky, A.I.; Avilov, S.A.; Adnryjaschenko, P.V.; Dmitrenok, P.S.; Kalinin, V.I.; Martyyas, E.A.; Minin, K.V. Fallaxosides C1, C2, D1 and D2, unusual oligosulfated triterpene glycosides from the sea cucumber Cucumaria fallax (Cucumariidae, Dendrochirotida, Holothurioidea) and a taxonomic stratus of this animal. Nat. Prod. Commun. 2016, 11, 939–945. [Google Scholar] [CrossRef]
  8. Silchenko, A.S.; Kalinovsky, A.I.; Avilov, S.A.; Andryjaschenko, P.V.; Dmitrenok, P.S.; Kalinin, V.I.; Chingizova, E.A.; Minin, K.V.; Stonik, V.A. Structures and biogenesis of fallaxosides D4, D5, D6 and D7, trisulfated non-holostane triterpene glycosides from the sea cucumber Cucumaria fallax. Molecules 2016, 21, 939. [Google Scholar] [CrossRef]
  9. Silchenko, A.S.; Kalinovsky, A.I.; Avilov, S.A.; Dmitrenok, P.S.; Kalinin, V.I.; Berdyshev, D.V.; Chingizova, E.A.; Andryjaschenko, P.V.; Minin, K.V.; Stonik, V.A. Fallaxosides B1 and D3, triterpene glycosides with novel skeleton types of aglycones from the sea cucumber Cucumaria fallax. Tetrahedron 2017, 73, 2335–2341. [Google Scholar] [CrossRef]
  10. Silchenko, A.S.; Avilov, S.A.; Kalinin, V.I.; Stonik, V.A.; Kalinovsky, A.I.; Dmitrenok, P.S.; Stepanov, V.G. Monosulfated triterpene glycosides of Cucumaria okhotensis Levin et Stepanov—New species of the sea cucumbers from the sea of Okhotsk. Russ. J. Bioorg. Chem. 2007, 33, 73–82. [Google Scholar] [CrossRef]
  11. Silchenko, A.S.; Avilov, S.A.; Kalinin, V.I.; Kalinovsky, A.I.; Dmitrenok, P.S.; Fedorov, S.N.; Stepanov, V.G.; Dong, Z.; Stonik, V.A. Constituents of the Sea Cucumber Cucumaria okhotensis. Structures of okhotosides B1–B3 and cytotoxic activities of some glycosides from this species. J. Nat. Prod. 2008, 71, 351–356. [Google Scholar] [CrossRef]
  12. Silchenko, A.S.; Avilov, S.A.; Antonov, A.S.; Kalinovsky, A.I.; Dmitrenok, P.S.; Kalinin, V.I.; Stonik, V.A.; Woodward, C.; Collin, P. Glycosides from the sea cucumber Cucumaria frondosa III. Structures of frondosides A2-1, A2-2, A2-3 and A2-6, four new minor monosulfated triterpene glycosides. Can. J. Chem. 2005, 83, 21–27. [Google Scholar] [CrossRef]
  13. Silchenko, A.S.; Avilov, S.A.; Antonov, A.S.; Kalinovsky, A.I.; Dmitrenok, P.S.; Kalinin, V.I.; Woodward, C.; Collin, P.D. Glycosides from the sea cucumber Cucumaria frondosa. IV. Structure of frondosides A2-4, A2-7, and A2-8, three new minor monosulfaed triterpene glycosides. Can. J. Chem. 2005, 83, 2120–2126. [Google Scholar] [CrossRef]
  14. Silchenko, A.S.; Avilov, S.A.; Kalinovsky, A.I.; Dmitrenok, P.S.; Kalinin, V.I.; Morre, J.; Deinzer, M.L.; Woodward, C.; Collin, P.D. Glycosides from the North Atlantic sea cucumber Cucumaria frondosa V—Structures of five new minor trisulfated triterpene oligoglycosides, frondosides A7-1, A7-3, A7-4, and isofrondoside C. Can. J. Chem. 2007, 85, 626–636. [Google Scholar] [CrossRef]
  15. Avilov, S.A.; Kalinin, V.I.; Drozdova, O.A.; Kalinovsky, A.I.; Stonik, V.A.; Gudimova, E.N. Triterpene glycosides of the holothurian Cucumaria frondosa. Chem. Nat. Compd. 1993, 29, 216–218. [Google Scholar] [CrossRef]
  16. Aminin, D.L.; Chaykina, E.L.; Agafonova, I.G.; Avilov, S.A.; Kalinin, V.I.; Stonik, V.A. Antitumor activity of the immunomodulatory lead Cumaside. Intern. Immunopharm. 2010, 10, 648–654. [Google Scholar] [CrossRef]
  17. Aminin, D.L.; Menchinskaya, E.S.; Pisliagin, E.A.; Silchenko, A.S.; Avilov, S.A.; Kalinin, V.I. Sea Cucumber Triterpene Glycosides as Anticancer Agents. In Studies in Natural Product Chemistry; Rahman, A.U., Ed.; Elsevier B.V.: Amsterdam, The Netherlands, 2016; Volume 49, pp. 55–105. [Google Scholar]
  18. Careaga, V.P.; Maier, M.S. Cytotoxic Triterpene Glycosides from Sea Cucumbers. In Handbook of Anticancer Drugs from Marine Origin; Kim, S.K., Ed.; Springer International Publishing: Cham, Switzerland, 2015; pp. 515–528. [Google Scholar]
  19. Dyshlovoy, S.A.; Menchinskaya, E.S.; Venz, S.; Rast, S.; Amann, K.; Hauschild, J.; Otte, K.; Kalinin, V.I.; Silchenko, A.S.; Avilov, S.A.; et al. The marine triterpene glycoside frondoside A exhibits activity in vitro and in vivo in prostate cancer. Intern. J. Cancer 2016, 138, 2450–2465. [Google Scholar] [CrossRef]
  20. Dyshlovoy, S.A.; Madanchi, R.; Hauschild, J.; Otte, K.; Alsdorf, W.H.; Schumacher, U.; Kalinin, V.I.; Silchenko, A.S.; Avilov, S.A.; Honecker, F.; et al. The marine triterpene glycoside frondoside A induces p53-independent apoptosis and inhibits autophage in urothelial carcinoma cells. BMC Cancer 2017, 17, 93. [Google Scholar] [CrossRef]
  21. Dyshlovoy, S.A.; Rast, S.; Hauschild, J.; Otte, K.; Alsdorf, W.H.; Madanchi, R.; Kalinin, V.I.; Silchenko, A.S.; Avilov, S.A.; Dierlamn, J.; et al. Frondoside A induces AIF-associated caspase independent apoptosis in Burkitt’s lymphoma cells. Leuk. Limphoma 2017, 58, 2905–2915. [Google Scholar] [CrossRef]
  22. Yun, S.-H.; Sim, E.-H.; Han, S.-H.; Han, J.-Y.; Kim, S.-H.; Silchenko, A.S.; Stonik, V.A.; Park, J.-I. Holotoxin A1 induces apoptosis by activating acid sphingomyelinase and neutral sphingomyelinase in K562 and human primary leukemia cells. Mar. Drugs 2018, 16, 123. [Google Scholar] [CrossRef]
  23. Yun, S.-H.; Sim, E.-H.; Han, S.-H.; Kim, T.-R.; Ju, M.-H.; Han, J.-Y.; Jeong, J.-S.; Kim, S.-H.; Silchenko, A.S.; Stonik, V.A.; et al. In vitro and in vivo anti-leukemic effects of cladoloside C2 are mediated by activation of Fas/ceramide syntase 6/P38 kinase/C-Jun NH2-terminal kinase/caspase-8. Oncotarget 2018, 9, 495–511. [Google Scholar] [CrossRef] [PubMed]
  24. Jin, Y.; Huynh, D.T.N.; Nguyen, T.L.L.; Jeon, H.; Heo, K.S. Therapeutic effects of ginsenosides on breast cancer growth and metastasis. Arch. Pharm. Res. 2020, 43, 773–787. [Google Scholar] [CrossRef] [PubMed]
  25. Drozdova, O.A.; Avilov, S.A.; Kalinovskii, A.I.; Stonik, V.A.; Mil’grom, Y.M.; Rashkes, Y.V. New glycosides from the holothurian Cucumaria japonica. Chem. Nat. Compd. 1993, 29, 200–205. [Google Scholar] [CrossRef]
  26. Yayli, N.; Findlay, J.A. A triterpenoid saponin from Cucumaria frondosa. Phytochemistry 1999, 50, 135–138. [Google Scholar] [CrossRef]
  27. Kitagawa, I.; Kobayashi, M.; Inamoto, T.; Yasuzawa, T.; Kyogoku, Y.; Kido, M. Stichlorogenol and Dehydrostichlorogenol, Genuine Aglycones of Stichlorosides A1, B1, C1 and A2, B2, C2, from the Sea Cucumber Stichopus Chloronotus (BRANDT). Chem. Pharm. Bull. 1981, 29, 1189–1192. [Google Scholar] [CrossRef]
  28. Seco, J.M.; Quinoa, E.; Riguera, R. The assignment of absolute configuration by NMR. Chem. Rev. 2004, 104, 17–118. [Google Scholar] [CrossRef]
  29. Kalinovsky, A.I.; Silchenko, A.S.; Avilov, S.A.; Kalinin, V.I. The assignment of the absolute configuration of C-22 chiral center in the aglycones of triterpene glycosides from the sea cucumber Cladolabes schmeltzii and chemical transformations of cladoloside C. Nat. Prod. Commun. 2015, 10, 1167–1170. [Google Scholar] [CrossRef]
  30. Avilov, S.A.; Drozdova, O.A.; Kalinin, V.I.; Kalinovsky, A.I.; Stonik, V.A.; Gudimova, E.N.; Riguera, R.; Jimenez, C. Frondoside C, a new nonholostane triterpene glycoside from the sea cucumber Cucumaria frondosa: Structure and cytotoxicity of its desulfated derivative. Can. J. Chem. 1998, 76, 137–141. [Google Scholar] [CrossRef]
  31. Silchenko, A.S.; Kalinovsky, A.I.; Avilov, S.A.; Andryjaschenko, P.V.; Dmitrenok, P.S.; Yurchenko, E.A.; Kalinin, V.I. Structure of cucumariosides H5, H6, H7 and H8. Glycosides from the sea cucumber Eupentacta fraudatrix and unprecedented aglycone with 16,22-epoxy-group. Nat. Prod. Commun. 2011, 6, 1075–1082. [Google Scholar] [CrossRef]
  32. Silchenko, A.S.; Avilov, S.A.; Kalinin, V.I. Separation Procedures for Complicated Mixtures of Sea Cucumber Triterpene Glycosides with Isolation of Individual Glycosides, Their Comparison with HPLC/MS Metabolomic Approach, and Biosynthetic Interpretation of the Obtained Structural Data. In Studies in Natural Product Chemistry; Rahman, A.U., Ed.; Elsevier B.V.: Amsterdam, The Netherlands, 2022; Volume 72, pp. 103–146. [Google Scholar] [CrossRef]
  33. Silchenko, A.S.; Avilov, S.A.; Andrijaschenko, P.V.; Popov, R.S.; Chingizova, E.A.; Dmitrenok, P.S.; Kalinovsky, A.I.; Rasin, A.B.; Kalinin, V.I. Structures and biologic activity of chitonoidosides I, J, K, K1 and L, triterpene di-, tri- and tetrasulfated hexaosides from the sea cucumber Psolus chitonoides. Mar. Drugs 2022, 20, 369. [Google Scholar] [CrossRef]
  34. Zelepuga, E.A.; Silchenko, A.S.; Avilov, S.A.; Kalinin, V.I. Structure-activity relationships of holothuroid’s triterpene glycosides and some in silico insights obtained by molecular dynamics study on the mechanisms of their membranolytic action. Mar. Drugs 2021, 19, 604. [Google Scholar] [CrossRef]
  35. Zhu, P.; Zhao, N.; Sheng, D.; Hou, J.; Hao, C.; Yang, X.; Zhu, B.; Zhang, S.; Han, Z.; Wei, L.; et al. Inhibition of growth and metastasis of colon cancer by delivering 5-fluorouracil-loaded pluronic P85 copolymer micelles. Sci. Rep. 2016, 6, 20896. [Google Scholar] [CrossRef]
Figure 1. Chemical structures of glycosides isolated from Cucumaria djakonovi: 1—djakonovioside A; 2—djakonovioside A1; 3—djakonovioside A2; 4—djakonovioside B1; 5—djakonovioside B2; 6—djakonovioside B3; and 7—djakonovioside B4.
Figure 1. Chemical structures of glycosides isolated from Cucumaria djakonovi: 1—djakonovioside A; 2—djakonovioside A1; 3—djakonovioside A2; 4—djakonovioside B1; 5—djakonovioside B2; 6—djakonovioside B3; and 7—djakonovioside B4.
Ijms 24 11128 g001
Figure 2. MM2-optimized models of the aglycone of djakonoviosides A2 (3) and B4 (7) with 23α-OH (A) and 23β-OH (B) and interatomic distances between H-22 and H2-24 in Å.
Figure 2. MM2-optimized models of the aglycone of djakonoviosides A2 (3) and B4 (7) with 23α-OH (A) and 23β-OH (B) and interatomic distances between H-22 and H2-24 in Å.
Ijms 24 11128 g002
Figure 3. Chemical structure of acetylated derivatives 7a and 7b of djakonovioside B4 (7).
Figure 3. Chemical structure of acetylated derivatives 7a and 7b of djakonovioside B4 (7).
Ijms 24 11128 g003
Figure 4. The scheme of biosynthesis of holostane and non-holostane aglycones of the glycosides of C. djakonovi.
Figure 4. The scheme of biosynthesis of holostane and non-holostane aglycones of the glycosides of C. djakonovi.
Ijms 24 11128 g004
Figure 5. Cytotoxic effect of the glycosides: (A)—djakonovioside A (1) (EC50 5.89, 4.45, and 3.77 μM for 24, 48, and 72 h, respectively); (B)—djakonovioside A1 (2) (9.64, 7.33, and 6.25 μM for 24, 48, and 72 h, respectively), (C)—cucumarioside A0-1 (EC50 6.04, 2.45, and 2.19 μM for 24, 48, and 72 h, respectively), and (D)—okhotoside A1-1 (2.34, 2.05, and 1.73 μM for 24, 48, and 72 h, respectively) on breast cancer cells MDA-MB-231 for 24 h, 48 h, and 72 h. All experiments were carried out in triplicate. The data are presented as mean ± SEM.
Figure 5. Cytotoxic effect of the glycosides: (A)—djakonovioside A (1) (EC50 5.89, 4.45, and 3.77 μM for 24, 48, and 72 h, respectively); (B)—djakonovioside A1 (2) (9.64, 7.33, and 6.25 μM for 24, 48, and 72 h, respectively), (C)—cucumarioside A0-1 (EC50 6.04, 2.45, and 2.19 μM for 24, 48, and 72 h, respectively), and (D)—okhotoside A1-1 (2.34, 2.05, and 1.73 μM for 24, 48, and 72 h, respectively) on breast cancer cells MDA-MB-231 for 24 h, 48 h, and 72 h. All experiments were carried out in triplicate. The data are presented as mean ± SEM.
Ijms 24 11128 g005
Figure 6. The number of MDA-MB-231 cell colonies under treatment with different concentrations of cucumarioside A0-1, okhotoside A1-1, and djakonoviosides A (1) and A1 (2). Image J 1.52 software was used to count the cell colonies. Data are presented as means ± SEM. * p value ≤ 0.05 considered significant.
Figure 6. The number of MDA-MB-231 cell colonies under treatment with different concentrations of cucumarioside A0-1, okhotoside A1-1, and djakonoviosides A (1) and A1 (2). Image J 1.52 software was used to count the cell colonies. Data are presented as means ± SEM. * p value ≤ 0.05 considered significant.
Ijms 24 11128 g006
Figure 7. Migration of MDA-MB-231 cells into wound areas observed with an MIB-2-FL fluorescence microscope of ten-fold magnification: (A)—0, 8, and 24 h after treatment with different concentrations of djakonovioside A (1). Cell migration into wound areas processed by Image J 1.52 software: (B)—0, 8, and 24 h after treatment with 0.25, 0.5, 1.0, and 2.0 μM of djakonovioside A (1); (C)—0, 8, and 24 h after treatment with 0.1, 0.5, 1.0, and 2.0 μM of djakonovioside A1 (2); (D)—0, 8, and 24 h after treatment with 0.05, 0.1, 0.25, and 0.5 μM of cucumarioside A0-1; (E)—0, 8, and 24 h after treatment with 0.05, 0.1, 0.25, and 0.5 μM of okhotoside A1-1. Data are presented as means ± SEM. * p value ≤ 0.05 considered significant.
Figure 7. Migration of MDA-MB-231 cells into wound areas observed with an MIB-2-FL fluorescence microscope of ten-fold magnification: (A)—0, 8, and 24 h after treatment with different concentrations of djakonovioside A (1). Cell migration into wound areas processed by Image J 1.52 software: (B)—0, 8, and 24 h after treatment with 0.25, 0.5, 1.0, and 2.0 μM of djakonovioside A (1); (C)—0, 8, and 24 h after treatment with 0.1, 0.5, 1.0, and 2.0 μM of djakonovioside A1 (2); (D)—0, 8, and 24 h after treatment with 0.05, 0.1, 0.25, and 0.5 μM of cucumarioside A0-1; (E)—0, 8, and 24 h after treatment with 0.05, 0.1, 0.25, and 0.5 μM of okhotoside A1-1. Data are presented as means ± SEM. * p value ≤ 0.05 considered significant.
Ijms 24 11128 g007
Table 1. 13C and 1H NMR chemical shifts, HMBC and ROESY correlations of carbohydrate moiety of djakonovioside A (1).
Table 1. 13C and 1H NMR chemical shifts, HMBC and ROESY correlations of carbohydrate moiety of djakonovioside A (1).
AtomδC mult. a, b, cδH mult. (J in Hz) dHMBCROESY
Xyl1 (1→C-3)
1105.0 CH4.75 d (6.9)C: 3H-3; H-3, 5 Xyl1
283.3 CH4.05 t (8.2)C: 1 Qui2; C: 1 Xyl1H-1 Qui2
375.6 CH4.34 t (8.2)C: 2, 4 Xyl1
475.9 CH5.15 m
564.1 CH24.83 brdd (5.7; 11.4)C: 1 Xyl1
3.79 t (11.4)C: 1, 4 Xyl1
Qui2 (1→2Xyl1)
1105.2 CH5.13 d (7.6)C: 2 Xyl1H-2 Xyl1; H-3, 5 Qui2
276.3 CH4.02 t (8.8)C: 1, 3 Qui2
375.4 CH4.11 t (8.8)C: 2, 4 Qui2
485.7 CH3.65 t (8.8)C: 1 Xyl3; C: 3, 5 Qui2H-1 Xyl3
571.6 CH3.77 mC: 4 Qui2H-1 Qui2
617.8 CH31.73 d (5.8)C: 4, 5 Qui2H-4 Qui2
Xyl3 (1→4Qui2)
1105.0 CH4.86 d (7.5)C: 4 Qui2H-4 Qui2; H-3, 5 Xyl3
273.2 CH3.99 t (8.2)C: 1, 3 Xyl3
387.3 CH4.13 t (8.2)C: 1 MeGlc4; C: 2, 4 Xyl3H-1 MeGlc4; H-1, 5 Xyl3
468.9 CH4.04 mC: 5 Xyl3
566.3 CH24.21 dd (5.4; 11.5)C: 1, 3, 4 Xyl3
3.63 t (11.5)C: 3, 4 Xyl3
MeGlc4 (1→3Xyl3)
1105.3 CH5.28 d (8.1)C: 3 Xyl3H-3 Xyl3; H-3, 5 MeGlc4
274.9 CH4.00 t (8.8)C: 1 MeGlc4
387.8 CH3.72 t (8.8) H-1, 5 MeGlc4; OMe
470.5 CH4.14 t (8.8)C: 3, 5, 6 MeGlc4
578.1 CH3.95 mC: 6 MeGlc4H-1, 3 MeGlc4
662.0 CH24.45 dd (3.4; 11.5)C: 4, 5 MeGlc4
4.26 dd (5.4; 11.5)C: 4, 5 MeGlc4
OMe60.5 CH33.87 sC: 3 MeGlc4
a Recorded at 125.67 MHz in C5D5N. b Bold = interglycosidic positions. c Italic = sulfate position. d Recorded at 500.12 MHz in C5D5N. Multiplicity by 1D TOCSY. The original spectra of 1 are provided as Figures S1–S7.
Table 2. 13C and 1H NMR chemical shifts, HMBC and ROESY correlations of aglycone moiety of djakonovioside A (1).
Table 2. 13C and 1H NMR chemical shifts, HMBC and ROESY correlations of aglycone moiety of djakonovioside A (1).
PositionδC mult. aδH mult. (J in Hz) bHMBCROESY
136.0 CH21.44 m
1.40 m
226.9 CH22.10 m
1.89 m
389.0 CH3.27 dd (4.0; 11.6)C: 4, 30, 31, C:1 Xyl1H-1, H-5, H-31, H1-Xyl1
439.4 C
547.7 CH1.03 mC: 4, 6, 10, 30, 31H-3, H-31
623.2 CH22.06 mC: 7, 8
7120.2 CH5.65 mC: 5H-15, H-32
8145.7 C
947.1 CH2.48 brd (14.1)
1035.4 C
1122.6 CH21.80 mC: 10
1.50 mC: 10
1231.5 CH22.22 brdd (5.5; 8.6)C: 9, 13, 18H-21
2.02 d (8.6; 14.1)C: 9, 11, 13, 17, 18
1358.9 C
1448.5 C
1544.1 CH22.70 dd (6.7; 12.3)C: 13, 14, 17, 32H-7, H-32
1.75 d (6.1)C: 14, 16, 32
1675.2 CH5.96 dd (7.8; 16.8)C: 13, 20, OAcH-32
1755.4 CH2.93 d (8.9)C: 12, 13, 18, 21H-21, H-32
18179.7 C
1923.8 CH31.24 sC: 1, 5, 9H-1, H-6, H-9, H-30
2085.3 C
2130.0 CH31.96 sC: 17, 20, 22H-12, H-17, H-22, H-23
2247.0 CH22.67 d (14.5)C: 20, 21
2.28 dd (10.2; 14.3)C: 17, 20, 21, 23, 24H-21
2365.9 CH4.08 m
2448.9 CH21.67 m H-26
1.23 m
2524.3 CH2.16 m
2623.9 CH30.96 d (6.6)C: 24, 25, 27H-24
2721.5 CH31.01 d (6.6)C: 24, 25, 26H-23
3017.1 CH31.15 sC: 3, 4, 5, 31H-2, H-6, H-19, H-31
3128.5 CH31.30 sC: 3, 4, 5, 30H-3, H-5, H-6, H-30, H-1 Xyl1
3232.4 CH31.10 sC: 8, 13, 14, 15H-7, H-12, H-15, H-16, H-17
OCOCH3169.5 C
OCOCH321.3 CH32.04 sC: 16, OAc
a Recorded at 125.67 MHz in C5D5N. b Recorded at 500.12 MHz in C5D5N. The original spectra of 1 are provided as Figures S1–S6.
Table 3. 13C and 1H NMR chemical shifts, HMBC and ROESY correlations of aglycone moiety of djakonovioside A1 (2).
Table 3. 13C and 1H NMR chemical shifts, HMBC and ROESY correlations of aglycone moiety of djakonovioside A1 (2).
PositionδC mult. aδH mult. (J in Hz) bHMBCROESY
135.8 CH21.31 m
226.8 CH21.98 m
1.78 m
389.1 CH3.19 mC: 1 Xyl1H-5, H-31, H1-Xyl1
439.3 C
547.7 CH0.91 m H-3, H-31
623.1 CH21.94 m H-19, H-30
7120.3 CH5.58 m H-15, H-32
8145.5 C
947.0 CH3.27 brd (14.7) H-19
1035.653 C
1122.4 CH21.73 m
1.44 m
1231.2 CH22.08 mC: 11, 13, 14, 18H-21
1358.3 C
1447.5 C
1543.4 CH22.61 dd (7.4; 12.3)C: 13, 14, 17, 32H-7
1.55 t (7.4)
1676.7 CH5.85 dd (8,5; 16.6)C: 13, OAcH-32
1756.8 CH3.19 d (9.0)C: 12, 13, 18, 20, 21H-12, H-21, H-32
18180.4 C
1923.7 CH31.10 sC: 1, 5, 9H-1, H-6, H-9
2087.3 C
2122.4 CH31.71 sC: 17, 20, 22H-12, H-17
2278.3 CH5.71 sC: 20, 21, 23H-24, OAc
23213.4 CH
2448.5 CH22.92 dd (6.3; 17.3)C: 23, 25, 26, 27
2.73 dd (6.3; 17.3)C: 23, 25, 26, 27
2523.6 CH2.18 dd (6.3; 13.4)C: 23, 24, 26, 27
2622.1 CH30.85 d (6.6)C: 24, 27H-25
2722.5 CH30.89 d (6.6)C: 24, 26H-25
3017.2 CH31.01 sC: 3, 4, 5, 31H-2, H-6, H-31
3128.5 CH31.17 sC: 3, 4, 5, 30H-3, H-5, H-6, H-30, H-1 Xyl1
3232.0 CH31.08 sC: 8, 13, 14, 15H-7, H-15, H-16, H-17
OCOCH3169.7 C
OCOCH321.0 CH31.86 sC: 16, OAcH-17, H-22
a Recorded at 125.67 MHz in C5D5N/D2O (4/1). b Recorded at 500.12 MHz in C5D5N/D2O (4/1). The original spectra of 2 are provided as Figures S10–S16.
Table 4. 13C and 1H NMR chemical shifts, HMBC and ROESY correlations of aglycone moiety of djakonovioside A2 (3).
Table 4. 13C and 1H NMR chemical shifts, HMBC and ROESY correlations of aglycone moiety of djakonovioside A2 (3).
PositionδC mult. aδH mult. (J in Hz) bHMBCROESY
136.0 CH21.33 mC: 31H-3, H-11, H-19
226.8 CH21.98 m
1.79 m H-19, H-30
389.1 CH3.19 dd (3.6; 11.6)C: 4, 30, 31, C: 1 Xyl1H-1, H-5, H-31, H1-Xyl1
439.3 C
547.5 CH0.92 mC: 1, 4, 30H-3, H-31
623.1 CH21.92 m H-19, H-30, H-31
7120.2 CH5.59 m H-15, H-32
8146.4 C
947.3 CH3.37 brd (14.3) H-19
1035.3 C
1122.3 CH21.73 m
1.41 m H-32
1229.7 CH21.97 mC: 11, 13, 14, 18H-17
1356.9 C
1448.6 C
1543.9 CH22.42 dd (7.1; 12.9)C: 13, 14, 17, 32H-7, H-32
1.83 mC: 14, 16, 32
1670.2 CH4.87 dd (6.6; 13.3)C: 13, 14, 23 (weak) H-32
1750.2 CH2.48 d (7.1)C: 12, 13, 18, 21H-12, H-21, H-32
18180.3 C
1923.7 CH31.10 sC: 1, 9, 10H-1, H-2, H-9
2082.2 C
2124.9 CH31.78 sC: 17, 20, 22H-17, H-22
2270.9 CH3.96 sC: 17, 20, 21H-21, H-24, H-27
2396.2 C
2450.4 CH21.87 mC: 22, 23, 25, 26, 27H-22
1.73 dd (5.7; 14.3)C: 22, 23, 25, 26, 27H-22, H-27
2523.4 CH2.15 ddd (6.1; 6.8; 13.6)C: 23, 24, 26, 27
2624.5 CH30.92 d (6.5)C: 24, 25, 27H-25
2724.5 CH30.89 d (6.5)C: 24, 25, 26H-25
3017.3 CH31.01 sC: 3, 4, 5, 31H-2, H-6, H-31
3128.6 CH31.17 sC: 3, 4, 5, 30H-3, H-5, H-6, H-30, H-1 Xyl1
3233.5 CH31.05 sC: 8, 13, 14, 15H-7, H-11, H-12, H-15, H-16, H-17
a Recorded at 125.67 MHz in C5D5N/D2O (4/1). b Recorded at 500.12 MHz in C5D5N/D2O (4/1). The original spectra of 3 are provided as Figures S18–S24.
Table 5. 13C and 1H NMR chemical shifts, HMBC and ROESY correlations of carbohydrate moiety of djaronovioside B1 (4).
Table 5. 13C and 1H NMR chemical shifts, HMBC and ROESY correlations of carbohydrate moiety of djaronovioside B1 (4).
AtomδC mult. a, b, cδH mult. (J in Hz) dHMBCROESY
Xyl1 (1→C-3)
1105.3 CH4.72 d (7.0)C: 3; C: 5 Xyl1H-3; H-3, 5 Xyl1
282.0 CH3.98 dd (7.0; 9.5)C: 1 Qui2; C: 1, 3 Xyl1H-1 Qui2; H-4 Xyl1
376.0 CH4.30 t (8.9)C: 2, 4 Xyl1H-1, 5 Xyl1
476.8 CH4.99 dd (5.7; 8.9; 13.8)C: 3 Xyl1H-2 Xyl1
564.8 CH24.77 dd (5.7; 13.8)C: 1, 3 Xyl1
3.83 m H-1, 3 Xyl1
Qui2 (1→2Xyl1)
1105.2 CH5.21 d (7.3)C: 2 Xyl1H-2 Xyl1; H-3, 5 Qui2
283.1 CH3.93 t (8.7)C: 3 Qui2; C: 1 Xyl5H-4 Qui2
375.8 CH3.98 t (8.7)C: 2, 4 Qui2H-1, 5 Qui2
485.9 CH3.47 t (8.7)C: 3, 5, 6 Qui2; C: 1 Xyl3H-1 Xyl3; H-2 Qui2
571.7 CH3.57 dd (6.0; 8.7)C: 4 Qui2H-1 Qui2
618.5 CH31.56 d (6.0)C: 4, 5 Qui2
Xyl3 (1→4Qui2)
1105.1 CH4.75 d (7.7)C: 4 Qui2H-4 Qui2; H-3, 5 Xyl3
274.1 CH3.86 t (8.9)C: 1 Xyl3
387.0 CH4.12 t (8.9)C: 2, 4 Xyl3H-1 MeGlc4; H-1 Xyl3
469.5 CH3.94 t (8.9)
566.6 CH24.13 mC: 1, 3 Xyl3
3.59 t (10.8)C: 1, 4 Xyl3H-1, 3 Xyl3
MeGlc4 (1→3Xyl3)
1105.9 CH5.21 d (8.3)C: 3 Xyl3H-3 Xyl3; H-3, 5 MeGlc4
275.3 CH3.87 t (8.9)
387.7 CH3.66 t (8.9)C: 2, 4 MeGlc4; OMeH-1, 5 MeGlc4
471.1 CH3.87 t (8.9)C: 3, 5, 6 MeGlc4
578.3 CH3.90 mC: 6 MeGlc4H-1 MeGlc4
662.5 CH24.37 dd (1.8; 11.7)
4.04 dd (5.8; 11.7)C: 5 MeGlc4
OMe61.5 CH33.79 sC: 3 MeGlc4
Xyl5 (1→2Qui2)
1102.6 CH5.21 d (6.9)C: 2 Qui2; X: 5Xyl5H-2 Qui2
275.4 CH3.96 t (8.3)C: 3 Xyl5
377.1 CH4.05 t (8.3)C: 2, 4 Xyl5H-1, 5 Xyl5
470.8 CH4.10 mC: 3 Xyl5
567.1 CH24.32 dd (5.0; 11.0)C: 3, 4 Xyl5
3.61 mC: 3, 4 Xyl5H-1 Xyl5
a Recorded at 125.67 MHz in C5D5N. b Bold = interglycosidic positions. c Italic = sulfate position. d Recorded at 500.12 MHz in C5D5N. Multiplicity by 1D TOCSY. The original spectra of 4 are provided as Figures S26–S32.
Table 6. 13C and 1H NMR chemical shifts, HMBC and ROESY correlations of aglycone moiety of djakonovioside B2 (5).
Table 6. 13C and 1H NMR chemical shifts, HMBC and ROESY correlations of aglycone moiety of djakonovioside B2 (5).
PositionδC mult. aδH mult. (J in Hz) bHMBCROESY
136.0 CH21.31 m H-3, H-5, H-11, H-19
226.7 CH21.93 m
1.76 m H-19, H-30
389.0 CH3.17 dd (4.0; 11.8)C: 4, 30, 31, C: 1 Xyl1H-1, H-5, H-31, H1-Xyl1
439.3 C
547.6 CH0.91 mC: 4, 10, 30H-3, H-31
623.1 CH21.90 m H-19, H-30, H-31
7120.2 CH5.60 mC: 9H-15, H-32
8146.4 C
947.3 CH3.40 brd (14.0) H-19
1035.3 C
1122.3 CH21.71 m H-1
1.42 m H-32
1229.8 CH21.98 mC: 11, 13, 18
1358.0 C
1448.5 C
1543.3 CH22.43 dd (7.0; 12.7)C: 13, 14, 17, 32H-7, H-17, H-32
1.83 dd (7.5; 12.7)C: 8, 14, 16, 32
1669.9 CH5.03 mC: 13, 23H-32
1751.0 CH2.43 d (7.0)C: 12, 13, 18, 21H-15, H-21, H-32
18180.7 C
1923.7 CH31.08 sC: 1, 5, 9, 10H-1, H-2, H-6, H-9
2080.0 C
2128.7 CH31.54 sC: 17, 20, 22H-17, H-22
2242.1 CH2.39 brd (15.8)C: 17, 20, 21, 24, 23H-21, H-24
1.95 brd (15.1)C: 21, 23H-17, H-21, H-24
2396.7 C
2451.9 CH21.74 dd (2.5; 6.3)C: 22, 23, 25, 26, 27H-22, H-26, H-27
2523.7 CH21.98 mC: 23, 24, 26, 27
2624.4 CH30.91 d (6.5)C: 24, 25, 27H-24, H-25
2724.4 CH30.87 d (6.5)C: 24, 25, 26H-24, H-25
3017.3 CH31.01 sC: 3, 4, 5, 31H-2, H-6, H-31
3128.6 CH31.17 sC: 3, 4, 5, 30H-3, H-5, H-6, H-30, H-1 Xyl1
3233.0 CH31.06 sC: 8, 13, 14, 15H-7, H-11, H-12, H-16, H-17
a Recorded at 125.67 MHz in C5D5N/D2O (4/1). b Recorded at 500.12 MHz in C5D5N/D2O (4/1). The original spectra of 5 are provided as Figures S34–S40.
Table 7. 13C and 1H NMR chemical shifts, HMBC and ROESY correlations of aglycone moiety of djakonovioside B3 (6).
Table 7. 13C and 1H NMR chemical shifts, HMBC and ROESY correlations of aglycone moiety of djakonovioside B3 (6).
PositionδC mult. aδH mult. (J in Hz) bHMBCROESY
135.6 CH21.32 m H-3
226.7 CH21.89 m
1.71 m
388.9 CH3.15 dd (4.1; 11.8)C: 4, 30, 31, C: 1 Xyl1H-1, H-5, H-31, H1-Xyl1
439.3 C
547.6 CH0.85 mC: 4, 10, 30H-3, H-31
622.9 CH21.89 m H-31
1.80 m H-19, H-30
7122.4 CH5.57 mC: 9H-15, H-32
8147.7 C
946.1 CH3.03 brd (13.6) H-19
1035.4 C
1121.8 CH21.94 m
1.44 m
1220.2 CH22.49 dd (8.8; 13.0)C: 13, 14, 18
2.24 dd (3.6; 13.0)C: 13, 14, 18H-21, H-32
1354.8 C
1445.9 C
1544.3 CH22.10 mC: 14, 16, 17, 32H-7, H-17, H-32
2.06 mC: 14, 32
1680.0 CH5.10 brsC: 13, 14, 18H-21, H-22
1763.5 CH2.81 sC: 13, 14, 18, 20, 21, 22H-12, H-15, H-21, H-22, H-23, H-32
18182.8 C
1923.9 CH30.91 sC: 1, 5, 9, 10H-1, H-2, H-6, H-9, H-30
2072.8 C
2126.4 CH31.58 sC: 17, 20, 22H-12, H-16, H-17, H-23
2246.7 CH1.97 mC: 20, 21, 23, 27H-16
1.78 m H-16, H-17, H-21, H-24
2366.5 CH4.34 m H-21, H-27
2448.0 CH21.61 mC: 22, 23, 25, 26, 27H-22, H-27
1.26 ddd (4.7; 8.3; 13.0)C: 22, 23, 25, 26, 27H-22, H-26, H-27
2524.3 CH1.90 mC: 24, 25, 26, 27
2623.2 CH30.84 d (6.5)C: 24, 25, 27H-24, H-25
2722.2 CH30.88 d (6.5)C: 24, 25, 26H-23, H-24, H-25
3017.2 CH30.99 sC: 3, 4, 5, 31H-2, H-6, H-31
3128.6 CH31.16 sC: 3, 4, 5, 30H-3, H-5, H-6, H-30, H-1 Xyl1
3234.3 CH31.45 sC: 8, 13, 14, 15H-7, H-12, H-15, H-17
a Recorded at 125.67 MHz in C5D5N/D2O (4/1). b Recorded at 500.12 MHz in C5D5N/D2O (4/1). The original spectra of 5 are provided as Figures S42–S48.
Table 8. The cytotoxic activities of glycosides 17, cucumarioside A0-1, frondoside D, okhotoside A1-1, and cisplatin (positive control) against human erythrocytes, HL-60, HEK293, MCF-7, T-47D, and MDA-MB-231 human cell lines.
Table 8. The cytotoxic activities of glycosides 17, cucumarioside A0-1, frondoside D, okhotoside A1-1, and cisplatin (positive control) against human erythrocytes, HL-60, HEK293, MCF-7, T-47D, and MDA-MB-231 human cell lines.
GlycosidesED50, µM, ErythrocytesCytotoxicity, IC50 µM
HL-60HEK293MCF-7T-47DMDA-MB-231
djakonovioside A (1)2.46 ± 0.226.05 ± 0.176.36 ± 0.1712.94 ± 0.5311.84 ± 0.545.89 ± 0.11
djakonovioside A1 (2)2.26 ± 0.254.44 ± 0.3710.22 ± 1.6726.85 ± 0.3014.79 ± 1.739.64 ± 0.17
djakonovioside A2 (3)30.86 ± 0.97>50.0>50.0>50.0>50.0>50.0
djakonovioside B1 (4)6.03 ± 0.4720.06 ± 0.8015.76 ± 0.9122.75 ± 0.6724.73 ± 0.2012.43 ± 0.59
djakonovioside B2 (5)16.34 ± 0.3438.64 ± 1.0525.35 ± 1.0049.35 ± 1.1237.68 ± 1.5340.78 ± 0.60
djakonovioside B3 (6)17.77 ± 0.9149.31 ± 4.1348.55 ± 2.15>50.0>50.0>50.0
djakonovioside B4 (7)17.07 ± 1.15>50.0>50.0>50.0>50.0>50.0
cucumarioside A0-11.58 ± 0.5610.99 ± 1.144.52 ± 0.1212.77 ± 0.804.51 ± 0.936.04 ± 0.47
frondoside D9.22 ± 0.1018.08 ± 0.089.45 ± 0.7823.18 ± 0.9211.85 ± 1.1012.03 ± 1.28
okhotoside A1-10.75 ± 0.092.52 ± 0.263.17 ± 0.708.34 ± 0.128.46 ± 0.652.34 ± 0.53
chitonoidoside L1.16 ± 0.10-----
cisplatin-10.32 ± 1.65151.77 ± 2.13116.48 ± 3.15>160.080.64 ± 4.12
Disclaimer/Publisher’s Note: The statements, opinions and data contained in all publications are solely those of the individual author(s) and contributor(s) and not of MDPI and/or the editor(s). MDPI and/or the editor(s) disclaim responsibility for any injury to people or property resulting from any ideas, methods, instructions or products referred to in the content.

Share and Cite

MDPI and ACS Style

Silchenko, A.S.; Kalinovsky, A.I.; Avilov, S.A.; Popov, R.S.; Dmitrenok, P.S.; Chingizova, E.A.; Menchinskaya, E.S.; Panina, E.G.; Stepanov, V.G.; Kalinin, V.I.; et al. Djakonoviosides A, A1, A2, B1–B4 — Triterpene Monosulfated Tetra- and Pentaosides from the Sea Cucumber Cucumaria djakonovi: The First Finding of a Hemiketal Fragment in the Aglycones; Activity against Human Breast Cancer Cell Lines. Int. J. Mol. Sci. 2023, 24, 11128. https://doi.org/10.3390/ijms241311128

AMA Style

Silchenko AS, Kalinovsky AI, Avilov SA, Popov RS, Dmitrenok PS, Chingizova EA, Menchinskaya ES, Panina EG, Stepanov VG, Kalinin VI, et al. Djakonoviosides A, A1, A2, B1–B4 — Triterpene Monosulfated Tetra- and Pentaosides from the Sea Cucumber Cucumaria djakonovi: The First Finding of a Hemiketal Fragment in the Aglycones; Activity against Human Breast Cancer Cell Lines. International Journal of Molecular Sciences. 2023; 24(13):11128. https://doi.org/10.3390/ijms241311128

Chicago/Turabian Style

Silchenko, Alexandra S., Anatoly I. Kalinovsky, Sergey A. Avilov, Roman S. Popov, Pavel S. Dmitrenok, Ekaterina A. Chingizova, Ekaterina S. Menchinskaya, Elena G. Panina, Vadim G. Stepanov, Vladimir I. Kalinin, and et al. 2023. "Djakonoviosides A, A1, A2, B1–B4 — Triterpene Monosulfated Tetra- and Pentaosides from the Sea Cucumber Cucumaria djakonovi: The First Finding of a Hemiketal Fragment in the Aglycones; Activity against Human Breast Cancer Cell Lines" International Journal of Molecular Sciences 24, no. 13: 11128. https://doi.org/10.3390/ijms241311128

APA Style

Silchenko, A. S., Kalinovsky, A. I., Avilov, S. A., Popov, R. S., Dmitrenok, P. S., Chingizova, E. A., Menchinskaya, E. S., Panina, E. G., Stepanov, V. G., Kalinin, V. I., & Stonik, V. A. (2023). Djakonoviosides A, A1, A2, B1–B4 — Triterpene Monosulfated Tetra- and Pentaosides from the Sea Cucumber Cucumaria djakonovi: The First Finding of a Hemiketal Fragment in the Aglycones; Activity against Human Breast Cancer Cell Lines. International Journal of Molecular Sciences, 24(13), 11128. https://doi.org/10.3390/ijms241311128

Note that from the first issue of 2016, this journal uses article numbers instead of page numbers. See further details here.

Article Metrics

Back to TopTop