Physical Mapping of QTLs for Root Traits in a Population of Recombinant Inbred Lines of Hexaploid Wheat
Abstract
1. Introduction
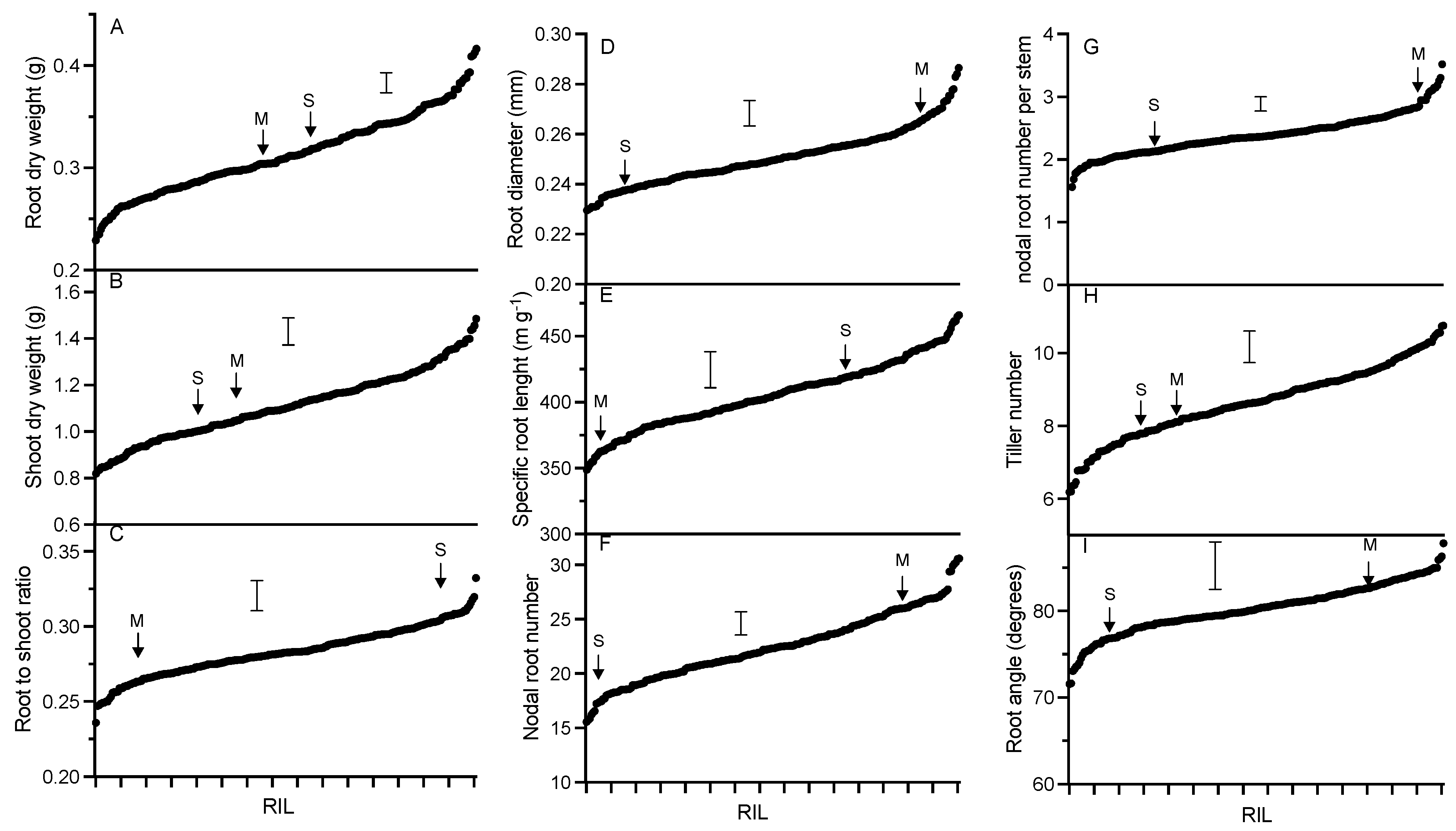
2. Results
3. Discussion
4. Materials and Methods
4.1. Germplasm
4.2. Screening
4.3. QTL Analysis
4.4. Bioinformatics
Supplementary Materials
Author Contributions
Funding
Institutional Review Board Statement
Data Availability Statement
Acknowledgments
Conflicts of Interest
References
- de Dorlodot, S.; Forster, B.; Pagès, L.; Price, A.; Tuberosa, R.; Draye, X. Root system architecture: Opportunities and constraints for genetic improvement of crops. Trends Plant Sci. 2007, 12, 474–481. [Google Scholar] [CrossRef] [PubMed]
- Kenobi, K.; Atkinson, J.A.; Wells, D.; Gaju, O.; De Silva, J.G.; Foulkes, J.; Dryden, I.L.; Wood, A.T.A.; Bennett, M. Linear discriminant analysis reveals differences in root architecture in wheat seedlings related to nitrogen uptake efficiency. J. Exp. Bot. 2017, 68, 4969–4981. [Google Scholar] [CrossRef] [PubMed]
- Shoaib, M.; Banerjee, B.P.; Hayden, M.; Kant, S. Roots’ Drought Adaptive Traits in Crop Improvement. Plants 2022, 11, 2256. [Google Scholar] [CrossRef] [PubMed]
- Viana, W.G.; Scharwies, J.D.; Dinneny, J.R. Deconstructing the root system of grasses through an exploration of development, anatomy and function. Plant Cell Environ. 2022, 45, 602–619. [Google Scholar] [CrossRef]
- Correa, J.; Postma, J.A.; Watt, M.; Wojciechowski, T. Soil compaction and the architectural plasticity of root systems. J. Exp. Bot. 2019, 70, 6019–6034. [Google Scholar] [CrossRef]
- Karlova, R.; Boer, D.; Hayes, S.; Testerink, C. Root plasticity under abiotic stress. Plant Physiol. 2021, 187, 1057–1070. [Google Scholar] [CrossRef]
- Weligama, C.; Wasson, A.; Permalloo, G.; Delhaize, E. Rapid colorimetric methods for analysis of pH, extractable aluminium and Colwell phosphorus in soils. Soil Res. 2022, 61, 126–135. [Google Scholar] [CrossRef]
- Lynch, J.P. Steep, cheap and deep: An ideotype to optimize water and N acquisition by maize root systems. Ann. Bot. 2013, 112, 347–357. [Google Scholar] [CrossRef]
- Shewry, P.R.; Hey, S.J. The contribution of wheat to human diet and health. Food Energy Secur. 2015, 4, 178–202. [Google Scholar] [CrossRef]
- Si, Z.; Delhaize, E.; Hendriks, P.-W.; Li, X. Differences in Root MorSphologies of Contrasting Wheat (Triticum aestivum) Genotypes Are Robust of a Drought Treatment. Plants 2023, 12, 275. [Google Scholar] [CrossRef]
- The International Wheat Genome Sequencing Consortium (IWGSC); Appels, R.; Eversole, K.; Feuillet, C.; Keller, B.; Rogers, J.; Stein, N.; Pozniak, C.J.; Stein, N.; Choulet, F.; et al. Shifting the limits in wheat research and breeding using a fully annotated reference genome. Science 2018, 361, eaar7191. [Google Scholar] [CrossRef]
- Soriano, J.M.; Alvaro, F. Discovering consensus genomic regions in wheat for root-related traits by QTL meta-analysis. Sci. Rep. 2019, 9, 10537. [Google Scholar] [CrossRef] [PubMed]
- Ma, J.; Zhao, D.; Tang, X.; Yuan, M.; Zhang, D.; Xu, M.; Duan, Y.; Ren, H.; Zeng, Q.; Wu, J.; et al. Genome-Wide Association Study on Root System Architecture and Identification of Candidate Genes in Wheat (Triticum aestivum L.). Int. J. Mol. Sci. 2022, 23, 1843. [Google Scholar] [CrossRef] [PubMed]
- Yang, M.; Wang, C.; Hassan, M.A.; Li, F.; Xia, X.; Shi, S.; Xiao, Y.; He, Z. QTL mapping of root traits in wheat under different phosphorus levels using hydroponic culture. BMC Genom. 2021, 22, 174. [Google Scholar] [CrossRef]
- Li, B.; Liu, D.; Li, Q.; Mao, X.; Li, A.; Wang, J.; Chang, X.; Jing, R. Overexpression of wheat gene TaMOR improves root system architecture and grain yield in Oryza sativa. J. Exp. Bot. 2016, 67, 4155–4167. [Google Scholar] [CrossRef]
- Yan, D.-W.; Wang, J.; Yuan, T.-T.; Hong, L.-W.; Gao, X.; Lu, Y.-T. Perturbation of Auxin Homeostasis by Overexpression of Wild-Type IAA15 Results in Impaired Stem Cell Differentiation and Gravitropism in Roots. PLoS ONE 2013, 8, e58103. [Google Scholar] [CrossRef]
- Kitomi, Y.; Ito, H.; Hobo, T.; Aya, K.; Kitano, H.; Inukai, Y. The auxin responsive AP2/ERF transcription factor CROWN ROOTLESS5 is involved in crown root initiation in rice through the induction of OsRR1, a type-A response regulator of cytokinin signaling. Plant J. 2011, 67, 472–484. [Google Scholar] [CrossRef]
- Voss-Fels, K.P.; Robinson, H.; Mudge, S.R.; Richard, C.; Newman, S.; Wittkop, B.; Stahl, A.; Friedt, W.; Frisch, M.; Gabur, I.; et al. VERNALIZATION1 Modulates Root System Architecture in Wheat and Barley. Mol. Plant 2018, 11, 226–229. [Google Scholar] [CrossRef]
- Che, J.; Yamaji, N.; Shen, R.F.; Ma, J.F. An Al-inducible expansin gene, OsEXPA10 is involved in root cell elongation of rice. Plant J. 2016, 88, 132–142. [Google Scholar] [CrossRef]
- Kirschner, G.K.; Rosignoli, S.; Guo, L.; Vardanega, I.; Imani, J.; Altmüller, J.; Milner, S.G.; Balzano, R.; Nagel, K.A.; Pflugfelder, D.; et al. ENHANCED GRAVITROPISM 2 encodes a STERILE ALPHA MOTIF–containing protein that controls root growth angle in barley and wheat. Proc. Natl. Acad. Sci. USA 2021, 118, e2101526118. [Google Scholar] [CrossRef]
- Ryan, P.R.; Liao, M.; Delhaize, E.; Rebetzke, G.J.; Weligama, C.; Spielmeyer, W.; James, R.A. Early vigour improves phosphate uptake in wheat. J. Exp. Bot. 2015, 66, 7089–7100. [Google Scholar] [CrossRef] [PubMed]
- Wojciechowski, T.; Gooding, M.; Ramsay, L.; Gregory, P. The effects of dwarfing genes on seedling root growth of wheat. J. Exp. Bot. 2009, 60, 2565–2573. [Google Scholar] [CrossRef]
- Awad, W.; Byrne, P.F.; Reid, S.D.; Comas, L.H.; Haley, S.D. Great Plains Winter Wheat Varies for Root Length and Diameter under Drought Stress. Agron. J. 2018, 110, 226–235. [Google Scholar] [CrossRef]
- Subira, J.; Ammar, K.; Álvaro, F.; del Moral, L.F.G.; Dreisigacker, S.; Royo, C. Changes in durum wheat root and aerial biomass caused by the introduction of the Rht-B1b dwarfing allele and their effects on yield formation. Plant Soil 2016, 403, 291–304. [Google Scholar] [CrossRef]
- Uga, Y.; Sugimoto, K.; Ogawa, S.; Rane, J.; Ishitani, M.; Hara, N.; Kitomi, Y.; Inukai, Y.; Ono, K.; Kanno, N.; et al. Control of root system architecture by DEEPER ROOTING 1 increases rice yield under drought conditions. Nat. Genet. 2013, 45, 1097–1102. [Google Scholar] [CrossRef]
- Oo, A.Z.; Tsujimoto, Y.; Mukai, M.; Nishigaki, T.; Takai, T.; Uga, Y. Synergy between a shallow root system with a DRO1 homologue and localized P application improves P uptake of lowland rice. Sci. Rep. 2021, 11, 9484. [Google Scholar] [CrossRef] [PubMed]
- El Hassouni, K.; Alahmad, S.; Belkadi, B.; Filali-Maltouf, A.; Hickey, L.T.; Bassi, F.M. Root System Architecture and Its Association with Yield under Different Water Regimes in Durum Wheat. Crop. Sci. 2018, 58, 2331–2346. [Google Scholar] [CrossRef]
- Manske, G.; Ortiz-Monasterio, J.; van Ginkel, R.; Rajaram, S.; Vlek, P. Phosphorus use efficiency in tall, semi-dwarf and dwarf near-isogenic lines of spring wheat. Euphytica 2002, 125, 113–119. [Google Scholar] [CrossRef]
- Barrero, J.M.; Mrva, K.; Talbot, M.J.; White, R.G.; Taylor, J.; Gubler, F.; Mares, D.J. Genetic, Hormonal, and Physiological Analysis of Late Maturity α-Amylase in Wheat. Plant Physiol. 2013, 161, 1265–1277. [Google Scholar] [CrossRef]
- Wang, S.; Wong, D.; Forrest, K.; Allen, A.; Chao, S.; Huang, B.E.; Maccaferri, M.; Salvi, S.; Milner, S.G.; Cattivelli, L.; et al. Characterization of polyploid wheat genomic diversity using a high-density 90 000 single nucleotide polymorphism array. Plant Biotechnol. J. 2014, 12, 787–796. [Google Scholar] [CrossRef]
- Verbyla, A.P.; George, A.W.; Cavanagh, C.R.; Verbyla, K.L. Whole-genome QTL analysis for MAGIC. Theor. Appl. Genet. 2014, 127, 1753–1770. [Google Scholar] [CrossRef] [PubMed]
- R_Core_Team. R: A Language and Environment for Statistical Computing; R Foundation for Statistical Computing: Vienna, Austria, 2020. [Google Scholar]
- Butler, D.G.; Gilmour, A.R.; Gogel, B.G.; Cullis, B.R.; Thompson, R. ASReml User Guide Release 3.0; VSN International Ltd.: Hemel Hempstead, UK, 2009. [Google Scholar]
- Li, L.; Liu, Z.; Wu, J. Genetic mapping of QTL for three root-related traits in wheat (Triticum aestivum). Biotechnol. Biotechnol. Equip. 2022, 36, 513–519. [Google Scholar] [CrossRef]
- Ren, Y.; Liu, J.; Zhang, J.; Dreisigacker, S.; Xia, X.; Geng, H. QTL mapping of drought tolerance at germination stage in wheat using the 50 K SNP array. Plant Genet. Resour. Charact. Util. 2021, 19, 453–460. [Google Scholar] [CrossRef]
- Li, C.; Wang, J.; Li, L.; Li, J.; Zhuang, M.; Li, B.; Li, Q.; Huang, J.; Du, Y.; Wang, J.; et al. TaMOR is essential for root initiation and improvement of root system architecture in wheat. Plant Biotechnol. J. 2022, 20, 862–875. [Google Scholar] [CrossRef] [PubMed]
- Ashraf, A.; Rehman, O.U.; Muzammil, S.; Leon, J.; Naz, A.A.; Rasool, F.; Ali, G.M.; Zafar, Y.; Khan, M.R. Evolution of Deeper Rooting 1-like homoeologs in wheat entails the C-terminus mutations as well as gain and loss of auxin response elements. PLoS One 2019, 14, e0214145. [Google Scholar] [CrossRef] [PubMed]
- Wang, J.; Wang, R.; Mao, X.; Li, L.; Chang, X.; Zhang, X.; Jing, R. TaARF4 genes are linked to root growth and plant height in wheat. Ann. Bot. 2019, 124, 903–915. [Google Scholar] [CrossRef]
- Singh, A.; Khurana, P. Ectopic expression of Triticum aestivum SERK genes (TaSERKs) control plant growth and development in Arabidopsis. Sci. Rep. 2017, 7, 12368. [Google Scholar] [CrossRef]
- Singh, A.; Breja, P.; Khurana, J.P.; Khurana, P. Wheat Brassinosteroid-Insensitive1 (TaBRI1) interacts with members of TaSERK gene family and cause early flowering and seed yield enhancement in Arabidopsis. PLoS ONE 2016, 11, e0153273. [Google Scholar] [CrossRef]
- Wang, Y.; Xu, H.; Zhang, G.; Zhu, H.; Zhang, L.; Zhang, Z.; Zhang, C.; Ma, Z. Expression and responses to dehydration and salinity stresses of V-PPase gene members in wheat. J. Genet. Genom. 2009, 36, 711–720. [Google Scholar] [CrossRef]
- Milner, M.J.; Howells, R.M.; Craze, M.; Bowden, S.; Graham, N.; Wallington, E.J. A PSTOL-like gene, TaPSTOL, controls a number of agronomically important traits in wheat. BMC Plant Biol. 2018, 18, 115. [Google Scholar] [CrossRef]
- Liu, G.; Li, X.; Jin, S.; Liu, X.; Zhu, L.; Nie, Y.; Zhang, X. Overexpression of rice NAC gene SNAC1 improves drought and salt tolerance by enhancing root development and reducing transpiration rate in transgenic cotton. PLoS ONE 2014, 9, e86895. [Google Scholar] [CrossRef]
- Chen, H.; Ma, B.; Zhou, Y.; He, S.J.; Tang, S.Y.; Lu, X.; Xie, Q.; Chen, S.Y.; Zhang, J.S. E3 ubiquitin ligase SOR1 regulates ethylene response in rice root by modulating stability of Aux/IAA protein. Proc. Natl. Acad. Sci. USA 2018, 115, 4513–4518. [Google Scholar] [CrossRef] [PubMed]
- von Behrens, I.; Komatsu, M.; Zhang, Y.; Berendzen, K.W.; Niu, X.; Sakai, H.; Taramino, G.; Hochholdinger, F. Rootless with undetectable meristem 1 encodes a monocot-specific AUX/IAA protein that controls embryonic seminal and post-embryonic lateral root initiation in maize. Plant J. 2011, 66, 341–353. [Google Scholar] [CrossRef] [PubMed]
- Xu, M.; Zhu, L.; Shou, H.; Wu, P. A PIN1 family gene, OsPIN1, involved in auxin-dependent adventitious root emergence and tillering in rice. Plant Cell Physiol. 2005, 46, 1674–1681. [Google Scholar] [CrossRef] [PubMed]
- Zhao, Y.; Hu, Y.; Dai, M.; Huang, L.; Zhou, D.X. The WUSCHEL-related homeobox gene WOX11 is required to activate shoot-borne crown root development in rice. Plant Cell 2009, 21, 736–748. [Google Scholar] [CrossRef]
- Jiang, H.; Wang, S.; Dang, L.; Wang, S.; Chen, H.; Wu, Y.; Jiang, X.; Wu, P. A novel short-root gene encodes a glucosamine-6-phosphate acetyltransferase required for maintaining normal root cell shape in rice. Plant Physiol. 2005, 138, 232–242. [Google Scholar] [CrossRef]
- Jia, L.; Wu, Z.; Hao, X.; Carrie, C.; Zheng, L.; Whelan, J.; Wu, Y.; Wang, S.; Wu, P.; Mao, C. Identification of a novel mitochondrial protein, short postembryonic roots 1 (SPR1), involved in root development and iron homeostasis in Oryza sativa. New Phytol. 2011, 189, 843–855. [Google Scholar] [CrossRef]
- Woo, Y.M.; Park, H.J.; Su’udi, M.; Yang, J.I.; Park, J.J.; Back, K.; Park, Y.M.; An, G. Constitutively wilted 1, a member of the rice YUCCA gene family, is required for maintaining water homeostasis and an appropriate root to shoot ratio. Plant Mol. Biol. 2007, 65, 125–136. [Google Scholar] [CrossRef]
- Kaur, R.; Singh, K.; Singh, J. A root-specific wall-associated kinase gene, HvWAK1, regulates root growth and is highly divergent in barley and other cereals. Funct. Integr. Genom. 2013, 13, 167–177. [Google Scholar] [CrossRef]
- Hou, J.; Zheng, X.; Ren, R.; Shi, Q.; Xiao, H.; Chen, Z.; Yue, M.; Wu, Y.; Hou, H.; Li, L. The histone deacetylase 1/GSK3/SHAGGY-like kinase 2/BRASSINAZOLE-RESISTANT 1 module controls lateral root formation in rice. Plant Physiol. 2022, 189, 858–873. [Google Scholar] [CrossRef]
- Zhu, J.; Li, Y.; Lin, J.; Wu, Y.; Guo, H.; Shao, Y.; Wang, F.; Wang, X.; Mo, X.; Zheng, S.; et al. CRD1, an Xpo1 domain protein, regulates miRNA accumulation and crown root development in rice. Plant J. 2019, 100, 328–342. [Google Scholar] [CrossRef] [PubMed]
- Fusi, R.; Rosignoli, S.; Lou, H.; Sangiorgi, G.; Bovina, R.; Pattem, J.K.; Borkar, A.N.; Lombardi, M.; Forestan, C.; Milner, S.G.; et al. Root angle is controlled by EGT1 in cereal crops employing an antigravitropic mechanism. Proc. Natl. Acad. Sci. USA 2022, 119, e2201350119. [Google Scholar] [CrossRef] [PubMed]
- Zhu, Z.X.; Liu, Y.; Liu, S.J.; Mao, C.Z.; Wu, Y.R.; Wu, P. A gain-of-function mutation in OsIAA11 affects lateral root development in rice. Mol. Plant 2012, 5, 154–161. [Google Scholar] [CrossRef] [PubMed]
- Kitomi, Y.; Inahashi, H.; Takehisa, H.; Sato, Y.; Inukai, Y. OsIAA13-mediated auxin signaling is involved in lateral root initiation in rice. Plant Sci. 2012, 190, 116–122. [Google Scholar] [CrossRef]
- Luo, S.; Li, Q.; Liu, S.; Pinas, N.M.; Tian, H.; Wang, S. Constitutive Expression of OsIAA9 affects starch granules accumulation and root gravitropic response in Arabidopsis. Front. Plant Sci. 2015, 6, 1156. [Google Scholar] [CrossRef]
- Nakamura, A.; Umemura, I.; Gomi, K.; Hasegawa, Y.; Kitano, H.; Sazuka, T.; Matsuoka, M. Production and characterization of auxin-insensitive rice by overexpression of a mutagenized rice IAA protein. Plant J. 2006, 46, 297–306. [Google Scholar] [CrossRef]
- Wang, L.; Guo, M.; Li, Y.; Ruan, W.; Mo, X.; Wu, Z.; Sturrock, C.J.; Yu, H.; Lu, C.; Peng, J.; et al. LARGE ROOT ANGLE1, encoding OsPIN2, is involved in root system architecture in rice. J. Exp. Bot. 2018, 69, 385–397. [Google Scholar] [CrossRef]
- Kang, B.; Zhang, Z.; Wang, L.; Zheng, L.; Mao, W.; Li, M.; Wu, Y.; Wu, P.; Mo, X. OsCYP2, a chaperone involved in degradation of auxin-responsive proteins, plays crucial roles in rice lateral root initiation. Plant J. 2013, 74, 86–97. [Google Scholar] [CrossRef]
- Ren, W.; Zhao, L.; Liang, J.; Wang, L.; Chen, L.; Li, P.; Liu, Z.; Li, X.; Zhang, Z.; Li, J.; et al. Genome-wide dissection of changes in maize root system architecture during modern breeding. Nat. Plants 2022, 8, 1408–1422. [Google Scholar] [CrossRef]
- Schneider, H.M.; Lor, V.S.N.; Hanlon, M.T.; Perkins, A.; Kaeppler, S.M.; Borkar, A.N.; Bhosale, R.; Zhang, X.; Rodriguez, J.; Bucksch, A.; et al. Root angle in maize influences nitrogen capture and is regulated by calcineurin B-like protein (CBL)-interacting serine/threonine-protein kinase 15 (ZmCIPK15). Plant Cell Environ. 2022, 45, 837–853. [Google Scholar] [CrossRef]
- Suzuki, M.; Sato, Y.; Wu, S.; Kang, B.H.; McCarty, D.R. Conserved functions of the MATE transporter BIG EMBRYO1 in regulation of lateral organ size and initiation rate. Plant Cell 2015, 27, 2288–2300. [Google Scholar] [CrossRef] [PubMed]
- Hochholdinger, F.; Yu, P.; Marcon, C. Genetic control of root system development in maize. Trends Plant Sci. 2018, 23, 79–88. [Google Scholar] [CrossRef] [PubMed]
- Li, F.; Yan, D.; Gao, L.; Liu, P.; Zhao, G.; Jia, J.; Ren, Z. TaIAA15 genes regulate plant architecture in wheat. J. Integr. Agric. 2022, 21, 1243–1252. [Google Scholar] [CrossRef]


| Trait | Heritability |
|---|---|
| Root dry weight | 0.71 |
| Root diameter | 0.71 |
| Total nodal root number | 0.80 |
| Nodal root number per stem | 0.80 |
| Root angle | 0.33 |
| Specific root length | 0.63 |
| Root-to-shoot ratio | 0.62 |
| Shoot dry weight | 0.80 |
| Tiller number | 0.77 |
| Trait | Total # of QTLs | # of QTLs with LOD > 3.0 | # of QTLs with LOD < 3.0 | % Variation Explained |
|---|---|---|---|---|
| Root dry weight | 12 | 3 | 9 | 54.9 |
| Root diameter | 10 | 7 | 3 | 72.5 |
| Total nodal root number | 6 | 5 | 1 | 43.9 |
| Nodal root number per stem | 8 | 5 | 3 | 54.4 |
| Root angle | 5 | 1 | 4 | 66.4 |
| Specific root length | 7 | 2 | 5 | 52.7 |
| Root-to-shoot ratio | 6 | 1 | 5 | 44.6 |
| Shoot dry weight | 9 | 3 | 6 | 46.2 |
| Tiller number | 4 | 0 | 4 | 22.7 |
| QTL: Name, Trait, and Chromosome | Left Marker | Physical Location Mb | Right Marker | Physical Location Mb | Interval Mb |
|---|---|---|---|---|---|
| Root dry weight | |||||
| Qrdw-2A | wsnp_Ra_c66636_64922359 * | 740.37 | RAC875_c66695_1376 | 743.39 | 3.02 |
| Qrdw-2B | Excalibur_c34380_275 | 213.89 | Excalibur_c30207_261 * | 412.71 | 198.82 |
| Qrdw-4A | Excalibur_c539_1253 | 597.69 | wsnp_Ku_c1205_2398925 | 597.91 | 0.22 |
| Root diameter | |||||
| Qrd-4A | BS00109722_51 | 544.62 | wsnp_Ex_c1373_2628597 | 555.58 | 10.96 |
| Qrd-4B1 | RAC875_c56905_265 | 42.54 | BS00063035_51 | 43.18 | 0.64 |
| Qrd-4B2 | tplb0036n21_1765 | 506.14 | IAAV9209 * | 507.98 | 1.84 |
| Qrd-5A | wsnp_Ex_c57094_58953404 * | 9.66 | RAC875_c30001_200 | 10.04 | 0.38 |
| Qrd-5D | RAC875_c51455_182 | 79.99 | BS00021901_51 | 192.27 | 112.28 |
| Qrd-6A | Tdurum_contig30082_197 | 109.38 | Excalibur_c49419_202 | 127.19 | 17.81 |
| Qrd-7A | IAAV1372 | 131.86 | BS00073170_51 | 133.67 | 1.81 |
| Total nodal root number | |||||
| Qtnrn-2B | RAC875_c102981_396 | 249.37 | Kukri_c691_504 | 384.67 | 135.3 |
| Qtnrn-4B | Tdurum_contig30537_228 | 18.42 | Tdurum_contig33737_157 | 37.69 | 19.27 |
| Qtnrn-6B | JD_c8399_626 * | 41.70 | Tdurum_contig55201_928 | 69.55 | 27.85 |
| Qtnrn-7A1 | D_GDEEGVY01CQJ66_272 * | 114.28 | Tdurum_contig63598_188 | 115.81 | 1.53 |
| Qtnrn-7A2 | Excalibur_c12500_116 | 71.67 | BS00063555_51 ** | 78.22 | 6.55 |
| Nodal root number per stem | |||||
| Qnrns-2B | TA006140-0798 | 560.89 | Ku_c66850_510 | 579.57 | 18.68 |
| Qnrns-4B | Jagger_c1432_289 | 480.92 | Tdurum_contig11735_1294 | 487.77 | 6.85 |
| Qnrns-6D | D_contig00170_262 | 244.01 | Kukri_c35951_337 ** | 258.36 | 14.35 |
| Qnrns-7A | Excalibur_c12500_116 | 71.67 | BS00063555_51 ** | 78.22 | 6.55 |
| Qnrns-7B | BS00055861_51 | 558.32 | RAC875_c79695_343 * | 559.71 | 1.39 |
| Root angle | |||||
| Qra-4B | Jagger_c1432_289 | 480.92 | Tdurum_contig11735_1294 | 487.77 | 6.85 |
| Specific root length | |||||
| Qsrl-4B1 | tplb0036n21_1765 | 506.14 | Tdurum_contig64848_104 | 518.68 | 12.54 |
| Qsrl-6A | CAP12_c2701_221 | 559.53 | Tdurum_contig28847_322 | 563.13 | 3.6 |
| Root-to-shoot ratio | |||||
| Qrsr-3A | IACX333 | 674.75 | BS00050109_51 | 680.75 | 6.00 |
| Shoot dry weight | |||||
| Qsdw-2A | Kukri_c18104_1416 | 776.22 | BobWhite_c16248_382 | 779.82 | 3.60 |
| Qsdw-3B | RAC875_c48556_278 | 610.18 | RAC875_c28912_306 | 610.75 | 0.57 |
| Qsdw-4A | wsnp_Ex_c7011_12080274 | 146.56 | IACX1427 | 381.22 | 234.66 |
| QTL: Name, Trait and Chromosome | Left Marker | Physical Location Mb | Right Marker | Physical Location Mb | Interval Mb |
|---|---|---|---|---|---|
| Root dry weight | |||||
| Qrdw-1A | RAC875_c1599_342 | 575.36 | BS00022824_51 | 577.47 | 2.11 |
| Qrdw-1B | CAP7_c3847_204 | 17.62 | Excalibur_rep_c107678_98 | 19.02 | 1.4 |
| Qrdw-4B | BS00011085_51 * | 407.41 | TA004394-0527 | 423.36 | 15.95 |
| Qrdw-5A | BS00088851_51 | 591.46 | RAC875_rep_c76193_513 | 591.49 | 0.03 |
| Qrdw-5B | Tdurum_contig28552_211 | 707.13 | BS00021993_51 | 712.90 | 5.77 |
| Qrdw-6B | BobWhite_c42198_254 | 471.16 | Excalibur_c2328_1207 | 472.61 | 1.45 |
| Qrdw-6D1 | BobWhite_c34996_280 * | 460.70 | wsnp_Ex_c14691_22763171 * | 461.36 | 0.66 |
| Qrdw-6D2 | D_contig00170_262 ** | 244.01 | RFL_Contig6056_604 | 290.82 | 46.81 |
| Qrdw-7A | Tdurum_contig8615_370 | 657.02 | RAC875_c35723_106 * | 657.72 | 0.70 |
| Root diameter | |||||
| Qrd-3A | GENE-4795_75 | 556.46 | wsnp_Ex_rep_c66685_65003254 | 571.41 | 14.95 |
| Qrd-5B | wsnp_Ra_c24619_34168104 * | 508.80 | BS00068200_51 * | 512.25 | 3.45 |
| Qrd-7B | Excalibur_c13444_235 | 613.18 | RAC875_rep_c73965_114 | 616.41 | 3.23 |
| Total nodal root number | |||||
| Qtnrn-3B | BS00049639_51 | 419.57 | wsnp_JD_c10233_10936535 * | 424.79 | 5.22 |
| Nodal root number per stem | |||||
| Qnrns-2A1 | Tdurum_contig66353_358 | 758.31 | RAC875_rep_c83950_222 * | 759.84 | 1.53 |
| Qnrns-2A2 | RAC875_c510_923 ** | 5.91 | Excalibur_c12980_2621 | 7.55 | 1.64 |
| Qnrns-3A | IACX333 | 674.75 | BS00050109_51 | 680.75 | 6.00 |
| Root angle | |||||
| Qra-1A | D_contig04348_649 * | 365.54 | GENE-0235_245 | 381.32 | 15.78 |
| Qra-3A | wsnp_CAP8_c6939_3242530 | 714.16 | Kukri_rep_c106620_208 | 714.30 | 0.14 |
| Qra-5B | wsnp_Ku_c11138_18252461 | 659.97 | GENE-2582_259 ** | 662.04 | 2.07 |
| Qra-6B | Excalibur_c13206_108 | 697.54 | CAP11_c816_470* | 701.66 | 4.12 |
| Specific root length | |||||
| Qsrl-3B | Tdurum_contig45817_193 | 771.13 | Kukri_c43588_354 | 771.94 | 0.81 |
| Qsrl-4A | BS00109722_51 | 544.62 | wsnp_Ex_c1373_2628597 * | 555.58 | 10.96 |
| Qsrl-4B2 | BS00063035_51 | 43.18 | Excalibur_c56787_95 | 59.21 | 16.03 |
| Qsrl-5D | BS00021901_51 | 192.27 | Kukri_c13045_302 | 241.25 | 48.98 |
| Qsrl-7A | GENE-4508_109 | 436.79 | BobWhite_c5396_296 | 442.27 | 5.48 |
| Root to shoot ratio | |||||
| Qrsr-2A | BS00012320_51 | 647.93 | BS00081195_51 | 676.23 | 28.30 |
| Qrsr-3B | BS00022051_51 | 545.01 | RFL_Contig4667_3535 * | 545.65 | 0.64 |
| Qrsr-3D | RFL_Contig2471_119 ** | 17.41 | Kukri_c908_584 | 22.37 | 4.96 |
| Qrsr-7B | Tdurum_contig74753_946 | 601.23 | Kukri_c9405_379 | 607.58 | 6.35 |
| Qrsr-7D | D_GBQ4KXB02FR7XF_153 | 632.34 | RAC875_c59686_292 * | 633.01 | 0.67 |
| Shoot dry weight | |||||
| Qsdw-6D | wsnp_BE445201D_Ta_1_1 | 105.54 | RFL_Contig6056_604 | 290.82 | 185.28 |
| Tiller number | |||||
| Qtn-3A | BS00084158_51 | 671.14 | IACX333 | 674.75 | 3.61 |
| Qtn-4B | tplb0024a16_411 * | 15.42 | wsnp_Ex_c6739_11646407 * | 17.26 | 1.84 |
| Qtn-6A1 | Excalibur_c96749_512 | 609.56 | Kukri_c40994_61 | 609.97 | 0.41 |
| Qtn-6A2 | Tdurum_contig30082_197 | 109.38 | Excalibur_c49419_202 | 127.19 | 17.81 |
Disclaimer/Publisher’s Note: The statements, opinions and data contained in all publications are solely those of the individual author(s) and contributor(s) and not of MDPI and/or the editor(s). MDPI and/or the editor(s) disclaim responsibility for any injury to people or property resulting from any ideas, methods, instructions or products referred to in the content. |
© 2023 by the authors. Licensee MDPI, Basel, Switzerland. This article is an open access article distributed under the terms and conditions of the Creative Commons Attribution (CC BY) license (https://creativecommons.org/licenses/by/4.0/).
Share and Cite
Li, X.; Wasson, A.P.; Zwart, A.B.; Whan, A.; Ryan, P.R.; Forrest, K.; Hayden, M.; Chin, S.; Richards, R.; Delhaize, E. Physical Mapping of QTLs for Root Traits in a Population of Recombinant Inbred Lines of Hexaploid Wheat. Int. J. Mol. Sci. 2023, 24, 10492. https://doi.org/10.3390/ijms241310492
Li X, Wasson AP, Zwart AB, Whan A, Ryan PR, Forrest K, Hayden M, Chin S, Richards R, Delhaize E. Physical Mapping of QTLs for Root Traits in a Population of Recombinant Inbred Lines of Hexaploid Wheat. International Journal of Molecular Sciences. 2023; 24(13):10492. https://doi.org/10.3390/ijms241310492
Chicago/Turabian StyleLi, Xiaoqing, Anton P. Wasson, Alexander B. Zwart, Alex Whan, Peter R. Ryan, Kerrie Forrest, Matthew Hayden, Sabrina Chin, Richard Richards, and Emmanuel Delhaize. 2023. "Physical Mapping of QTLs for Root Traits in a Population of Recombinant Inbred Lines of Hexaploid Wheat" International Journal of Molecular Sciences 24, no. 13: 10492. https://doi.org/10.3390/ijms241310492
APA StyleLi, X., Wasson, A. P., Zwart, A. B., Whan, A., Ryan, P. R., Forrest, K., Hayden, M., Chin, S., Richards, R., & Delhaize, E. (2023). Physical Mapping of QTLs for Root Traits in a Population of Recombinant Inbred Lines of Hexaploid Wheat. International Journal of Molecular Sciences, 24(13), 10492. https://doi.org/10.3390/ijms241310492

