Hyperoside as a UV Photoprotective or Photostimulating Compound—Evaluation of the Effect of UV Radiation with Selected UV-Absorbing Organic Compounds on Skin Cells
Abstract
1. Introduction
2. Results
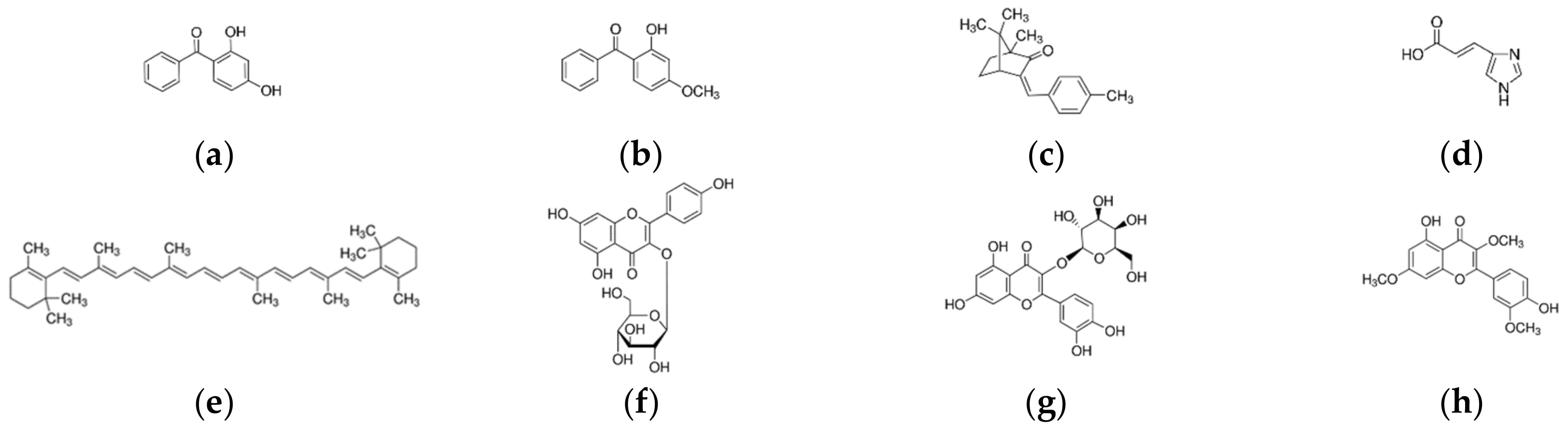
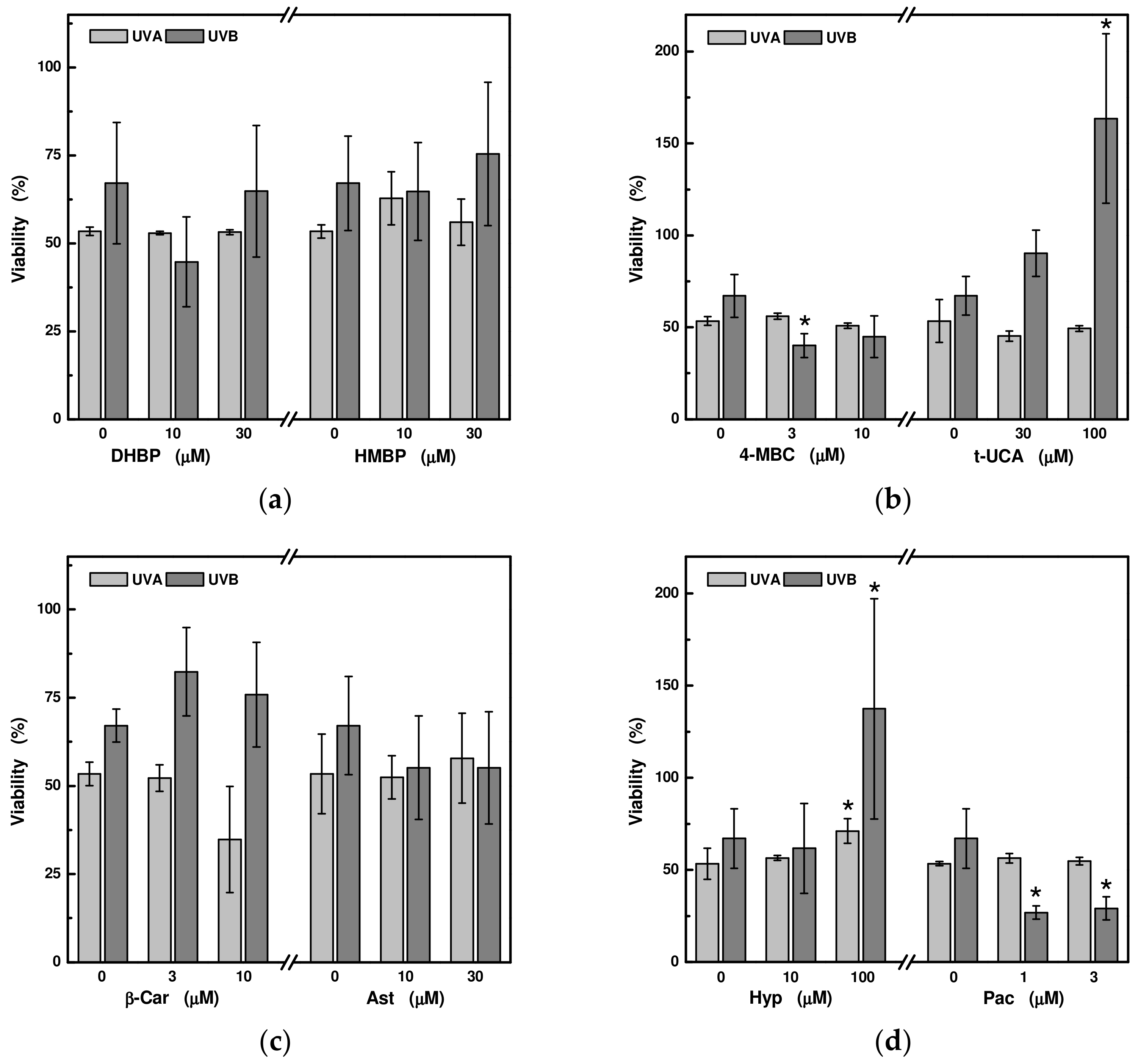
2.1. Cytotoxicity and Phototoxicity of Selected UV-Absorbing Organic Compounds
2.2. ROS Production
2.3. Changes in Mitochondrial Membrane Potential
2.4. Analysis of Lysosomal Membrane Integrity
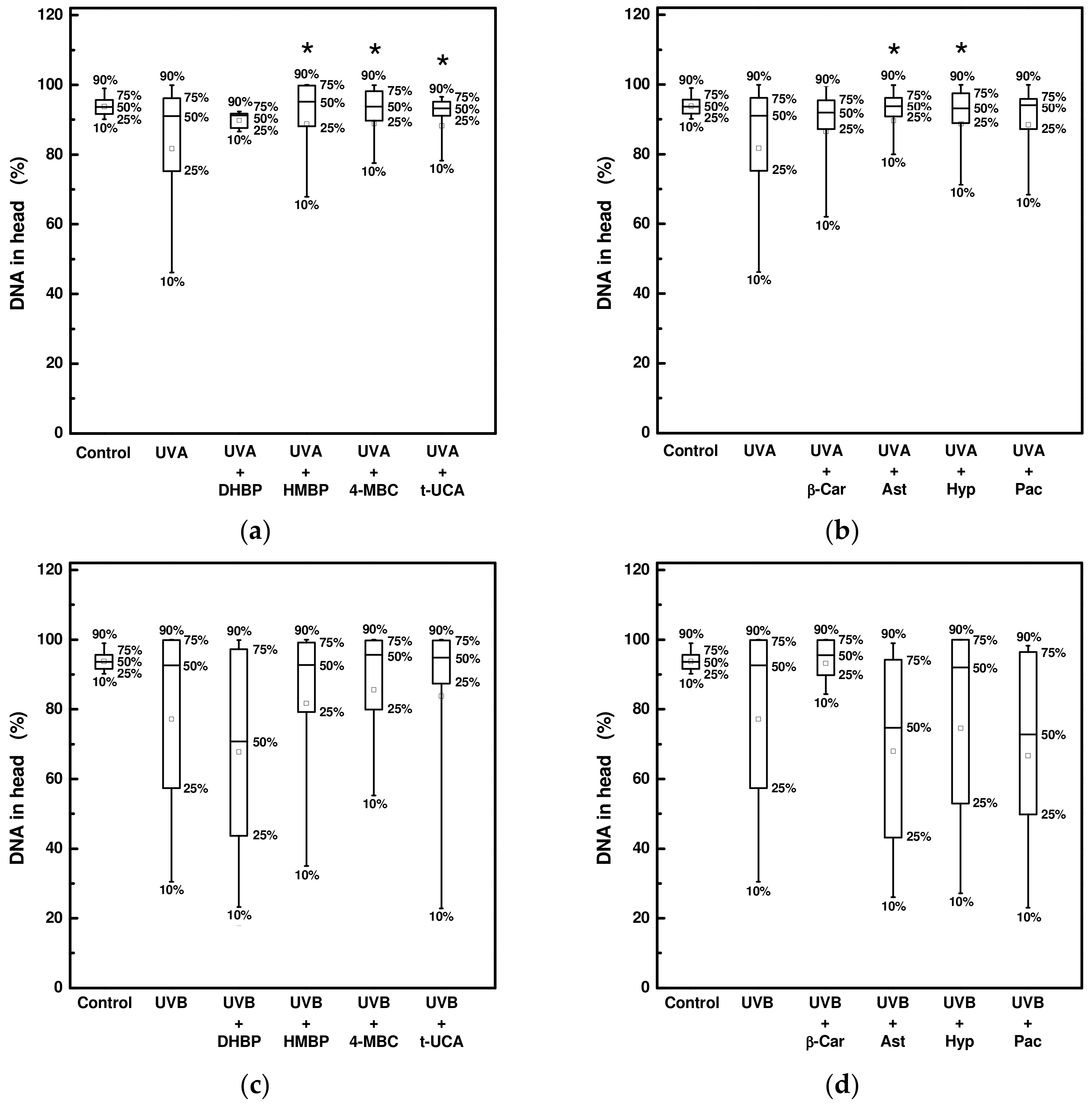
2.5. DNA Damage
2.6. Changes in Cell Morphology
3. Discussion
4. Materials and Methods
4.1. Cell Culture, Epidermal Model, UV Irradiation, and Chemicals
4.2. Cytotoxicity and Phototoxicity Test
4.3. ROS Measurement
4.4. Mitochondrial Membrane Potential Measurement
4.5. Lysosomal Membrane Integrity Measurement
4.6. Comet Assay
4.7. Atomic Force Microscopy
4.8. Statistical Analysis
5. Conclusions
Supplementary Materials
Author Contributions
Funding
Institutional Review Board Statement
Informed Consent Statement
Data Availability Statement
Conflicts of Interest
References
- Friedman, B.J.; Lim, H.W.; Wang, S.Q. Photoprotection and Photoaging. In Principles and Practice of Photoprotection; Wang, S.Q., Lim, H.W., Eds.; Adis: Basel, Switzerland, 2016; pp. 61–74. [Google Scholar]
- Yin, R.; Chen, Q.; Hamblin, M.R. Skin Photoaging; Morgan & Claypool Publishers: San Rafael, CA, USA, 2015; pp. 1–56. [Google Scholar]
- Krutmann, J.; Yarosh, D. Modern Photoprotection of Human Skin. In Skin Aging; Gilchrest, B.A., Krutmann, J., Eds.; Springer: Berlin/Heidelberg, Germany, 2006; pp. 103–112. [Google Scholar]
- Wondrak, G.T.; Jacobson, M.K.; Jacobson, E.L. Endogenous UVA-photosensitizers: Mediators of skin photodamage and novel targets for skin photoprotection. Photochem. Photobiol. Sci. 2006, 5, 215–237. [Google Scholar] [CrossRef] [PubMed]
- Wilson, B.D.; Moon, S.; Armstrong, F. Comprehensive review of ultraviolet radiation and the current status on sunscreens. J. Clin. Aesthet. Dermatol. 2012, 5, 18–23. [Google Scholar]
- Cantrell, A.; McGarvey, D.J.; Truscott, T.G. Photochemical and photophysical properties of sunscreens. In Sun Protection in Man; Giacomoni, P.U., Ed.; Elsevier Science: Amsterdam, The Netherlands, 2001; pp. 495–519. [Google Scholar]
- Rai, R.; Shanmuga, S.C.; Srinivas, C. Update on photoprotection. Indian J. Dermatol. 2012, 57, 335–342. [Google Scholar] [CrossRef] [PubMed]
- Dunaway, S.; Odin, R.; Zhou, L.; Ji, L.; Zhang, Y.; Kadekaro, A.L. Natural antioxidants: Multiple mechanisms to protect skin from solar radiation. Front. Pharmacol. 2018, 9, 392. [Google Scholar] [CrossRef]
- Riaz, A.; Rasul, A.; Hussain, G.; Zahoor, M.K.; Jabeen, F.; Subhani, Z.; Younis, T.; Ali, M.; Sarfraz, I.; Selamoglu, Z. Astragalin: A bioactive phytochemical with potential therapeutic activities. Adv. Pharmacol. Sci. 2018, 2018, 9794625. [Google Scholar] [CrossRef] [PubMed]
- Kim, E.K.; Kim, J.H.; Jeong, S.; Choi, Y.W.; Choi, H.J.; Kim, C.Y.; Kim, Y.M. Pachypodol, a methoxyflavonoid isolated from Pogostemon cablin Bentham exerts antioxidant and cytoprotective effects in HepG2 cells: Possible role of ERK-dependent Nrf2 activation. Int. J. Mol. Sci. 2019, 20, 4082. [Google Scholar] [CrossRef]
- Nichols, J.A.; Kariyar, S.K. Skin photoprotection by natural polyphenols: Anti-inflammatory, anti-oxidant and DNA repair mechanisms. Arch. Dermatol. Res. 2010, 302, 71–83. [Google Scholar] [CrossRef]
- González, S.; Gilaberte-Calzada, Y. Oral and other non-sunscreen photoprotective agents. In Clinical Guide to Sunscreens and Photoprotection; Draelos, Z.D., Lim, H.W., Eds.; Informa Healthcare: New York, NY, USA, 2009; pp. 207–222. [Google Scholar]
- Bajgar, R.; Moukova, A.; Chalupnikova, N.; Kolarova, H. Differences in the effects of broad-band UVA and narrow-band UVB on epidermal keratinocytes. Int. J. Environ. Res. Public Health 2021, 18, 12480. [Google Scholar] [CrossRef]
- Manisova, B.; Binder, S.; Malina, L.; Jiravova, J.; Langova, K.; Kolarova, H. Phthalocyanine-mediated photodynamic treatment of tumoural and non-tumoural cell lines. Anticancer Res. 2015, 35, 3943–3951. [Google Scholar]
- Kollias, N.; Ruvolo, E., Jr.; Sayre, R.M. The value of the ratio of UVA to UVB in sunlight. Photochem. Photobiol. 2011, 87, 1474–1475. [Google Scholar] [CrossRef]
- Tarasick, D.W.; Fioletov, V.E.; Wardle, D.I.; Kerr, J.B.; McArthur, L.J.B.; McLinden, C.A. Climatology and trends of surface UV radiation: Survey article. Atmos.-Ocean 2003, 41, 121–138. [Google Scholar] [CrossRef]
- McKenzie, R.; Smale, D.; Kotkamp, M. Relationship between UVB and erythemally weighted radiation. Photochem. Photobiol. Sci. 2004, 3, 252–256, Erratum in Photochem. Photobiol. Sci. 2009, 8, 1755. [Google Scholar] [CrossRef]
- Guo, H.; Li, J. Flavonoids of Cuscuta australis R. Br. Zhongguo Zhong Yao Za Zhi China J. Chin. Mater. Med. 1997, 22, 38–39. [Google Scholar]
- Wang, Q.; Wei, H.C.; Zhou, S.J.; Li, Y.; Zheng, T.T.; Zhou, C.Z.; Wan, X.H. Hyperoside: A review on its sources, biological activities, and molecular mechanisms. Phytother. Res. 2022, 36, 2779–2802. [Google Scholar] [CrossRef]
- Çitoğlu, G.S.; Sever, B.; Antus, S.; Baitz-Gács, E.; Altanlar, N. Antifungal diterpenoids and flavonoids from Ballota inaequidens. Pharm. Biol. 2005, 42, 659–663. [Google Scholar] [CrossRef]
- Kaneko, K.; Smetana-Just, U.; Matsui, M.; Young, A.R.; John, S.; Norval, M.; Walker, S.L. cis-Urocanic acid initiates gene transcription in primary human keratinocytes. J. Immunol. 2008, 181, 217–224. [Google Scholar] [CrossRef]
- Yang, B.; Yang, Q.; Yang, X.; Yan, H.B.; Lu, Q.P. Hyperoside protects human primary melanocytes against H2O2-induced oxidative damage. Mol. Med. Rep. 2016, 13, 4613–4619. [Google Scholar] [CrossRef]
- Chen, D.; Wu, Y.X.; Qiu, Y.B.; Wan, B.B.; Liu, G.; Chen, J.L.; Lu, M.D.; Pang, Q.F. Hyperoside suppresses hypoxia-induced A549 survival and proliferation through ferrous accumulation via AMPK/HO-1 axis. Phytomedicine 2020, 67, 153138. [Google Scholar] [CrossRef]
- Hu, Z.; Zhao, P.; Xu, H. Hyperoside exhibits anticancer activity in non-small cell lung cancer cells with T790M mutations by upregulating FoxO1 via CCAT1. Oncol. Rep. 2020, 43, 617–624. [Google Scholar] [CrossRef]
- Li, Y.; Wang, Y.; Li, L.; Kong, R.; Pan, S.; Ji, L.; Liu, H.; Chen, H.; Sun, B. Hyperoside induces apoptosis and inhibits growth in pancreatic cancer via Bcl-2 family and NF-κB signaling pathway both in vitro and in vivo. Tumour Biol. 2016, 37, 7345–7355. [Google Scholar] [CrossRef]
- Aranda-Rivera, A.K.; Cruz-Gregorio, A.; Arancibia-Hernández, Y.L.; Hernández-Cruz, E.Y.; Pedraza-Chaverri, J. RONS and oxidative stress: An overview of basic concepts. Oxygen 2022, 2, 437–478. [Google Scholar] [CrossRef]
- Hanson, K.M.; Gratton, E.; Bardeen, C.J. Sunscreen enhancement of UV-induced reactive oxygen species in the skin. Free Radic. Biol. Med. 2006, 41, 1205–1212. [Google Scholar] [CrossRef] [PubMed]
- González, M.T.; Fumagalli, F.; Benevenuto, C.G.; da Silva Emery, F.; Gaspar, L.R. Novel benzophenone-3 derivatives with promising potential as UV filters: Relationship between structure, photoprotective potential and phototoxicity. Eur. J. Pharm. Sci. 2017, 101, 200–210. [Google Scholar] [CrossRef] [PubMed]
- Amar, S.K.; Goyal, S.; Dubey, D.; Srivastav, A.K.; Chopra, D.; Singh, J.; Shankar, J.; Chaturvedi, R.K.; Ray, R.S. Benzophenone 1 induced photogenotoxicity and apoptosis via release of cytochrome c and Smac/DIABLO at environmental UV radiation. Toxicol. Lett. 2015, 239, 182–193. [Google Scholar] [CrossRef] [PubMed]
- Lohan, S.B.; Vitt, K.; Scholz, P.; Keck, C.M.; Meinke, M.C. ROS production and glutathione response in keratinocytes after application of β-carotene and VIS/NIR irradiation. Chem. Biol. Interact. 2018, 280, 1–7. [Google Scholar] [CrossRef]
- Wang, L.; Yue, Z.; Guo, M.; Fang, L.; Bai, L.; Li, X.; Tao, Y.; Wang, S.; Liu, Q.; Zhi, D.; et al. Dietary flavonoid hyperoside induces apoptosis of activated human LX-2 hepatic stellate cell by suppressing canonical NF-κB signaling. Biomed. Res. Int. 2016, 2016, 1068528. [Google Scholar] [CrossRef]
- Piao, M.J.; Kang, K.A.; Zhang, R.; Ko, D.O.; Wang, Z.H.; You, H.J.; Kim, H.S.; Kim, J.S.; Kang, S.S.; Hyun, J.W. Hyperoside prevents oxidative damage induced by hydrogen peroxide in lung fibroblast cells via an antioxidant effect. Biochim. Biophys. Acta 2008, 1780, 1448–1457. [Google Scholar] [CrossRef]
- Zeng, K.; Wang, X.; Fu, H.; Liu, G. Protective effects and mechanism of hyperin on CoCl2-induced PC12 cells. Zhongguo Zhong Yao Za Zhi China J. Chin. Mater. Med. 2011, 36, 2409–2412. [Google Scholar]
- Denning, M.F.; Wang, Y.; Tibudan, S.; Alkan, S.; Nickoloff, B.J.; Qin, J.Z. Caspase activation and disruption of mitochondrial membrane potential during UV radiation-induced apoptosis of human keratinocytes requires activation of protein kinase C. Cell Death Differ. 2002, 9, 40–52. [Google Scholar] [CrossRef]
- Hass, U.; Christiansen, S.; Axelstad, M.; Boberg, J.; Andersson, A.-M.; Skakkebæk, N.E.; Bay, K.; Holbech, H.; Kinnberg, K.L.; Bjerregaard, P. Evaluation of 22 SIN List 2.0 Substances According to the Danish Proposal on Criteria for Endocrine Disrupters; Report from Danish Centre on Endocrine Disrupters; DTU Food: Copenhagen, Denmark, 2012; pp. 1–141. [Google Scholar]
- Wnuk, A.; Rzemieniec, J.; Lasoń, W.; Krzeptowski, W.; Kajta, M. Apoptosis induced by the UV filter Benzophenone-3 in mouse neuronal cells is mediated via attenuation of Erα/Pparγ and stimulation of Erβ/Gpr30 signaling. Mol. Neurobiol. 2018, 55, 2362–2383. [Google Scholar] [CrossRef]
- Obermüller-Jevic, U.C.; Schlegel, B.; Flaccus, A.; Biesalski, H.K. The effect of beta-carotene on the expression of interleukin-6 and heme oxygenase-1 in UV-irradiated human skin fibroblasts in vitro. FEBS Lett. 2001, 509, 186–190. [Google Scholar] [CrossRef]
- Siems, W.; Sommerburg, O.; Schild, L.; Augustin, W.; Langhans, C.D.; Wiswedel, I. Beta-carotene cleavage products induce oxidative stress in vitro by impairing mitochondrial respiration. FASEB J. 2002, 16, 1289–1291. [Google Scholar] [CrossRef]
- Sliwa, A.; Góralska, J.; Czech, U.; Gruca, A.; Polus, A.; Zapała, B.; Dembińska-Kieć, A. Modulation of the human preadipocyte mitochondrial activity by beta-carotene. Acta Biochim. Pol. 2012, 59, 39–41. [Google Scholar] [CrossRef]
- Akçakaya, H.; Tok, S.; Dal, F.; Cinar, S.A.; Nurten, R. β-carotene treatment alters the cellular death process in oxidative stress-induced K562 cells. Cell Biol. Int. 2017, 41, 309–319. [Google Scholar] [CrossRef]
- Qiu, J.; Zhang, T.; Zhu, X.; Yang, C.; Wang, Y.; Zhou, N.; Ju, B.; Zhou, T.; Deng, G.; Qiu, C. Hyperoside induces breast cancer cells apoptosis via ROS-mediated NF-κB signaling pathway. Int. J. Mol. Sci. 2019, 21, 131. [Google Scholar] [CrossRef]
- Jia, X.B.; Zhang, Q.; Xu, L.; Yao, W.J.; Wei, L. Lotus leaf flavonoids induce apoptosis of human lung cancer A549 cells through the ROS/p38 MAPK pathway. Biol. Res. 2021, 54, 7. [Google Scholar] [CrossRef]
- Li, F.R.; Yu, F.X.; Yao, S.T.; Si, Y.H.; Zhang, W.; Gao, L.L. Hyperin extracted from Manchurian rhododendron leaf induces apoptosis in human endometrial cancer cells through a mitochondrial pathway. Asian Pac. J. Cancer Prev. 2012, 13, 3653–3656. [Google Scholar] [CrossRef]
- Wei, H.; Cai, Q.; Rahn, R.; Zhang, X. Singlet Oxygen Involvement in Ultraviolet (254 nm) Radiation-Induced Formation of 8-Hydroxy-Deoxyguanosine in DNA. Free Radic. Biol. Med. 1997, 23, 148–154. [Google Scholar] [CrossRef]
- SCCS (Scientific Committee on Consumer Safety). Opinion on Benzophenone-3 (CAS No 131-57-7, EC No 205-031-5), Preliminary Version of 15 December 2020, Final Version of 30–31 March 2021, SCCS/1625/20. Available online: https://health.ec.europa.eu/publications/benzophenone-3_en (accessed on 8 May 2023).
- SCCS (Scientific Committee on Consumer Safety). Scientific Opinion on 4-Methylbenzylidene Camphor (4-MBC), Preliminary Version of 22 December, Final Version of 29 April 2022, SCCS/1640/21. Available online: https://health.ec.europa.eu/publications/4-methylbenzylidene-camphor-4-mbc_en (accessed on 8 May 2023).
- Treffel, P.; Gabard, B. Skin penetration and sun protection factor of ultra-violet filters from two vehicles. Pharm. Res. 1996, 13, 770–774. [Google Scholar] [CrossRef]
- Serpone, N. Sunscreens and their usefulness: Have we made any progress in the last two decades? Photochem. Photobiol. Sci. 2021, 20, 189–244. [Google Scholar] [CrossRef]
- Ali, H.A.; Chowdhury, A.K.; Rahman, A.K.; Borkowski, T.; Nahar, L.; Sarker, S.D. Pachypodol, a flavonol from the leaves of Calycopteris floribunda, inhibits the growth of CaCo 2 colon cancer cell line in vitro. Phytother. Res. 2008, 22, 1684–1687. [Google Scholar] [CrossRef] [PubMed]











Disclaimer/Publisher’s Note: The statements, opinions and data contained in all publications are solely those of the individual author(s) and contributor(s) and not of MDPI and/or the editor(s). MDPI and/or the editor(s) disclaim responsibility for any injury to people or property resulting from any ideas, methods, instructions or products referred to in the content. |
© 2023 by the authors. Licensee MDPI, Basel, Switzerland. This article is an open access article distributed under the terms and conditions of the Creative Commons Attribution (CC BY) license (https://creativecommons.org/licenses/by/4.0/).
Share and Cite
Moukova, A.; Malina, L.; Kolarova, H.; Bajgar, R. Hyperoside as a UV Photoprotective or Photostimulating Compound—Evaluation of the Effect of UV Radiation with Selected UV-Absorbing Organic Compounds on Skin Cells. Int. J. Mol. Sci. 2023, 24, 9910. https://doi.org/10.3390/ijms24129910
Moukova A, Malina L, Kolarova H, Bajgar R. Hyperoside as a UV Photoprotective or Photostimulating Compound—Evaluation of the Effect of UV Radiation with Selected UV-Absorbing Organic Compounds on Skin Cells. International Journal of Molecular Sciences. 2023; 24(12):9910. https://doi.org/10.3390/ijms24129910
Chicago/Turabian StyleMoukova, Anna, Lukas Malina, Hana Kolarova, and Robert Bajgar. 2023. "Hyperoside as a UV Photoprotective or Photostimulating Compound—Evaluation of the Effect of UV Radiation with Selected UV-Absorbing Organic Compounds on Skin Cells" International Journal of Molecular Sciences 24, no. 12: 9910. https://doi.org/10.3390/ijms24129910
APA StyleMoukova, A., Malina, L., Kolarova, H., & Bajgar, R. (2023). Hyperoside as a UV Photoprotective or Photostimulating Compound—Evaluation of the Effect of UV Radiation with Selected UV-Absorbing Organic Compounds on Skin Cells. International Journal of Molecular Sciences, 24(12), 9910. https://doi.org/10.3390/ijms24129910

