Diagnostic Performance of Positron Emission Tomography with Fibroblast-Activating Protein Inhibitors in Gastric Cancer: A Systematic Review and Meta-Analysis
Abstract
1. Introduction
2. Materials and Methods
2.1. Protocol
2.2. Strategy for Literature Research and Information Sources
2.3. Eligibility Criteria
2.4. Selection Method
2.5. Process of Data Collection and Data Extraction
2.6. Quality Assessment (Risk of Bias Assessment)
2.7. Effects Metrics
2.8. Statistical Analysis
2.9. Additional Analyses
3. Results and Discussion
3.1. Literature Search and Study Selection
3.2. Study Characteristics
3.3. Risk of Bias and Applicability
3.4. Results of Individual Studies (Qualitative Synthesis)
3.5. Meta-Analysis (Quantitative Synthesis)
3.5.1. Detection Rate of Primary Tumors
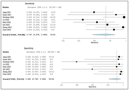
3.5.2. Sensitivity and Specificity in Lymph Node Metastases
3.5.3. Detection Rate of Distant Metastases
3.6. Discussion
4. Conclusions
Supplementary Materials
Author Contributions
Funding
Institutional Review Board Statement
Informed Consent Statement
Data Availability Statement
Conflicts of Interest
References
- Pasechnikov, V.; Chukov, S.; Fedorov, E.; Kikuste, I.; Leja, M. Gastric Cancer: Prevention, Screening and Early Diagnosis. World J. Gastroenterol. 2014, 20, 13842–13862. [Google Scholar] [CrossRef] [PubMed]
- Machlowska, J.; Baj, J.; Sitarz, M.; Maciejewski, R.; Sitarz, R. Gastric Cancer: Epidemiology, Risk Factors, Classification, Genomic Characteristics and Treatment Strategies. Int. J. Mol. Sci. 2020, 21, 4012. [Google Scholar] [CrossRef] [PubMed]
- Lauren, P. The two histological main types of gastric carcinoma: Diffuse and so-called intestinal-type carcinoma. an attempt at a histo-clinical classification. Acta Pathol. Microbiol. Scand 1965, 64, 31–49. [Google Scholar] [CrossRef] [PubMed]
- Vogelaar, I.P.; van der Post, R.S.; van Krieken, J.H.J.; Spruijt, L.; van Zelst-Stams, W.A.; Kets, C.M.; Lubinski, J.; Jakubowska, A.; Teodorczyk, U.; Aalfs, C.M.; et al. Unraveling Genetic Predisposition to Familial or Early Onset Gastric Cancer Using Germline Whole-Exome Sequencing. Eur. J. Hum. Genet. 2017, 25, 1246–1252. [Google Scholar] [CrossRef]
- Wei, J.; Wang, M.; Li, G. Cancer-Associated Fibroblasts, and Clinicopathological Characteristics and Prognosis of Gastric Cancer: A Systematic Review and Meta-Analysis. Front. Oncol. 2023, 13, 1048922. [Google Scholar] [CrossRef] [PubMed]
- Smyth, E.C.; Nilsson, M.; Grabsch, H.I.; van Grieken, N.C.; Lordick, F. Gastric Cancer. Lancet 2020, 396, 635–648. [Google Scholar] [CrossRef]
- Mocellin, S.; Pasquali, S. Diagnostic Accuracy of Endoscopic Ultrasonography (EUS) for the Preoperative Locoregional Staging of Primary Gastric Cancer. Cochrane Database Syst. Rev. 2015, 2015, CD009944. [Google Scholar] [CrossRef]
- Foley, K.G.; Coomer, W.; Coles, B.; Bradley, K.M. The Impact of Baseline 18F-FDG PET-CT on the Management and Outcome of Patients with Gastric Cancer: A Systematic Review. Br. J. Radiol. 2022, 95, 20220437. [Google Scholar] [CrossRef]
- Sahai, E.; Astsaturov, I.; Cukierman, E.; DeNardo, D.G.; Egeblad, M.; Evans, R.M.; Fearon, D.; Greten, F.R.; Hingorani, S.R.; Hunter, T.; et al. A Framework for Advancing Our Understanding of Cancer-Associated Fibroblasts. Nat. Rev. Cancer 2020, 20, 174–186. [Google Scholar] [CrossRef]
- Chen, Y.; McAndrews, K.M.; Kalluri, R. Clinical and Therapeutic Relevance of Cancer-Associated Fibroblasts. Nat. Rev. Clin. Oncol. 2021, 18, 792–804. [Google Scholar] [CrossRef]
- Galbo, P.M.; Zang, X.; Zheng, D. Molecular Features of Cancer-Associated Fibroblast Subtypes and Their Implication on Cancer Pathogenesis, Prognosis, and Immunotherapy Resistance. Clin. Cancer Res. 2021, 27, 2636–2647. [Google Scholar] [CrossRef]
- Treglia, G.; Albano, D. FAPI PET/CT in Infectious, Inflammatory, and Rheumatological Diseases: “Watch It like a Hawk” or “One Swallow Does Not Make a Summer”? Eur. J. Nucl. Med. Mol. Imaging 2023, 50, 1848–1850. [Google Scholar] [CrossRef]
- Gilardi, L.; Airò Farulla, L.S.; Demirci, E.; Clerici, I.; Omodeo Salè, E.; Ceci, F. Imaging Cancer-Associated Fibroblasts (CAFs) with FAPi PET. Biomedicines 2022, 10, 523. [Google Scholar] [CrossRef]
- Jiang, D.; Chen, X.; You, Z.; Wang, H.; Zhang, X.; Li, X.; Ren, S.; Huang, Q.; Hua, F.; Guan, Y.; et al. Comparison of [68 Ga]Ga-FAPI-04 and [18F]-FDG for the Detection of Primary and Metastatic Lesions in Patients with Gastric Cancer: A Bicentric Retrospective Study. Eur. J. Nucl. Med. Mol. Imaging 2022, 49, 732–742. [Google Scholar] [CrossRef]
- Kuten, J.; Levine, C.; Shamni, O.; Pelles, S.; Wolf, I.; Lahat, G.; Mishani, E.; Even-Sapir, E. Head-to-Head Comparison of [68Ga]Ga-FAPI-04 and [18F]-FDG PET/CT in Evaluating the Extent of Disease in Gastric Adenocarcinoma. Eur. J. Nucl. Med. Mol. Imaging 2022, 49, 743–750. [Google Scholar] [CrossRef]
- Rong, X.; Lv, J.; Liu, Y.; Wang, Z.; Zeng, D.; Li, Y.; Li, S.; Wu, J.; Shen, Z.; Shi, M.; et al. PET/CT Imaging of Activated Cancer-Associated Fibroblasts Predict Response to PD-1 Blockade in Gastric Cancer Patients. Front. Oncol. 2021, 11, 802257. [Google Scholar] [CrossRef]
- Gündoğan, C.; Kömek, H.; Can, C.; Yildirim, Ö.A.; Kaplan, İ.; Erdur, E.; Poyraz, K.; Güzel, Y.; Oruç, Z.; Çakabay, B. Comparison of 18F-FDG PET/CT and 68Ga-FAPI-04 PET/CT in the Staging and Restaging of Gastric Adenocarcinoma. Nucl. Med. Commun. 2022, 43, 64–72. [Google Scholar] [CrossRef]
- Lin, R.; Lin, Z.; Chen, Z.; Zheng, S.; Zhang, J.; Zang, J.; Miao, W. [68Ga]Ga-DOTA-FAPI-04 PET/CT in the Evaluation of Gastric Cancer: Comparison with [18F]FDG PET/CT. Eur. J. Nucl. Med. Mol. Imaging 2022, 49, 2960–2971. [Google Scholar] [CrossRef] [PubMed]
- Miao, Y.; Feng, R.; Guo, R.; Huang, X.; Hai, W.; Li, J.; Yu, T.; Qu, Q.; Zhang, M.; Shangguan, C.; et al. Utility of [68Ga]FAPI-04 and [18F]FDG Dual-Tracer PET/CT in the Initial Evaluation of Gastric Cancer. Eur. Radiol. 2022, 370, 1453–1457. [Google Scholar] [CrossRef] [PubMed]
- Qin, C.; Shao, F.; Gai, Y.; Liu, Q.; Ruan, W.; Liu, F.; Hu, F.; Lan, X. 68Ga-DOTA-FAPI-04 PET/MR in the Evaluation of Gastric Carcinomas: Comparison with 18F-FDG PET/CT. J. Nucl. Med. 2022, 63, 81–88. [Google Scholar] [CrossRef] [PubMed]
- Zhang, S.; Wang, W.; Xu, T.; Ding, H.; Li, Y.; Liu, H.; Huang, Y.; Liu, L.; Du, T.; Zhao, Y.; et al. Comparison of Diagnostic Efficacy of [68Ga]Ga-FAPI-04 and [18F]FDG PET/CT for Staging and Restaging of Gastric Cancer. Front. Oncol. 2022, 12, 925100. [Google Scholar] [CrossRef] [PubMed]
- Chen, H.; Pang, Y.; Li, J.; Kang, F.; Xu, W.; Meng, T.; Shang, Q.; Zhao, J.; Guan, Y.; Wu, H.; et al. Comparison of [68Ga]Ga-FAPI and [18F]FDG Uptake in Patients with Gastric Signet-Ring-Cell Carcinoma: A Multicenter Retrospective Study. Eur. Radiol. 2023, 33, 1329–1341. [Google Scholar] [CrossRef] [PubMed]
- Kratochwil, C.; Flechsig, P.; Lindner, T.; Abderrahim, L.; Altmann, A.; Mier, W.; Adeberg, S.; Rathke, H.; Röhrich, M.; Winter, H.; et al. 68Ga-FAPI PET/CT: Tracer Uptake in 28 Different Kinds of Cancer. J. Nucl. Med. 2019, 60, 801–805. [Google Scholar] [CrossRef]
- Chen, H.; Zhao, L.; Ruan, D.; Pang, Y.; Hao, B.; Dai, Y.; Wu, X.; Guo, W.; Fan, C.; Wu, J.; et al. Usefulness of [68Ga]Ga-DOTA-FAPI-04 PET/CT in Patients Presenting with Inconclusive [18F]FDG PET/CT Findings. Eur. J. Nucl. Med. Mol. Imaging 2021, 48, 73–86. [Google Scholar] [CrossRef]
- Meyer, C.; Dahlbom, M.; Lindner, T.; Vauclin, S.; Mona, C.; Slavik, R.; Czernin, J.; Haberkorn, U.; Calais, J. Radiation Dosimetry and Biodistribution of 68Ga-FAPI-46 PET Imaging in Cancer Patients. J. Nucl. Med. 2020, 61, 1171–1177. [Google Scholar] [CrossRef] [PubMed]
- Bentestuen, M.; Al-Obaydi, N.; Zacho, H.D. FAPI-Avid Nonmalignant PET/CT Findings: An Expedited Systematic Review. Semin. Nucl. Med. 2023; in press. [Google Scholar] [CrossRef]
- Zhao, L.; Pang, Y.; Luo, Z.; Fu, K.; Yang, T.; Zhao, L.; Sun, L.; Wu, H.; Lin, Q.; Chen, H. Role of [68Ga]Ga-DOTA-FAPI-04 PET/CT in the Evaluation of Peritoneal Carcinomatosis and Comparison with [18F]-FDG PET/CT. Eur. J. Nucl. Med. Mol. Imaging 2021, 48, 1944–1955. [Google Scholar] [CrossRef]
- Muro, K.; Chung, H.C.; Shankaran, V.; Geva, R.; Catenacci, D.; Gupta, S.; Eder, J.P.; Golan, T.; Le, D.T.; Burtness, B.; et al. Pembrolizumab for Patients with PD-L1-Positive Advanced Gastric Cancer (KEYNOTE-012): A Multicentre, Open-Label, Phase 1b Trial. Lancet Oncol. 2016, 17, 717–726. [Google Scholar] [CrossRef]
- Fuchs, C.S.; Doi, T.; Jang, R.W.; Muro, K.; Satoh, T.; Machado, M.; Sun, W.; Jalal, S.I.; Shah, M.A.; Metges, J.-P.; et al. Safety and Efficacy of Pembrolizumab Monotherapy in Patients With Previously Treated Advanced Gastric and Gastroesophageal Junction Cancer: Phase 2 Clinical KEYNOTE-059 Trial. JAMA Oncol. 2018, 4, e180013. [Google Scholar] [CrossRef]
- Rasey, J.S.; Grierson, J.R.; Wiens, L.W.; Kolb, P.D.; Schwartz, J.L. Validation of FLT Uptake as a Measure of Thymidine Kinase-1 Activity in A549 Carcinoma Cells. J. Nucl. Med. 2002, 43, 1210–1217. [Google Scholar]
- Nakajo, M.; Kajiya, Y.; Tani, A.; Jinguji, M.; Nakajo, M.; Yoshiura, T. FLT-PET/CT Diagnosis of Primary and Metastatic Nodal Lesions of Gastric Cancer: Comparison with FDG-PET/CT. Abdom. Radiol. 2016, 41, 1891–1898. [Google Scholar] [CrossRef] [PubMed]
- Małkowski, B.; Staniuk, T.; Srutek, E.; Gorycki, T.; Zegarski, W.; Studniarek, M. (18)F-FLT PET/CT in Patients with Gastric Carcinoma. Gastroenterol. Res. Pract. 2013, 2013, 696423. [Google Scholar] [CrossRef] [PubMed]
- Staniuk, T.; Zegarski, W.; Małkowski, B.; Jankowski, M.; Klag, M.; Pietrzak, T. Evaluation of FLT-PET/CT Usefulness in Diagnosis and Qualification for Surgical Treatment of Gastric Cancer. Contemp. Oncol. (Pozn) 2013, 17, 165–170. [Google Scholar] [CrossRef]
- Roustaei, H.; Kiamanesh, Z.; Askari, E.; Sadeghi, R.; Aryana, K.; Treglia, G. Could Fibroblast Activation Protein (FAP)-Specific Radioligands Be Considered as Pan-Tumor Agents? Contrast Media Mol. Imaging. 2022, 2022, 3948873. [Google Scholar] [CrossRef] [PubMed]
- Treglia, G.; Muoio, B.; Roustaei, H.; Kiamanesh, Z.; Aryana, K.; Sadeghi, R. Head-to-Head Comparison of Fibroblast Activation Protein Inhibitors (FAPI) Radiotracers versus [18F]F-FDG in Oncology: A Systematic Review. Int. J. Mol. Sci. 2021, 22, 11192. [Google Scholar] [CrossRef]
- Wang, Y.; Luo, W.; Li, Y. [68Ga]Ga-FAPI-04 PET MRI/CT in the Evaluation of Gastric Carcinomas Compared with [18F]-FDG PET MRI/CT: A Meta-Analysis. Eur. J. Med. Res. 2023, 28, 34. [Google Scholar] [CrossRef]
- Sadeghi, R.; Treglia, G. Systematic Reviews and Meta-Analyses of Diagnostic Studies: A Practical Guideline. Clin. Transl. Imaging 2017, 5, 83–87. [Google Scholar] [CrossRef]
- Page, M.J.; McKenzie, J.E.; Bossuyt, P.M.; Boutron, I.; Hoffmann, T.C.; Mulrow, C.D.; Shamseer, L.; Tetzlaff, J.M.; Akl, E.A.; Brennan, S.E.; et al. The PRISMA 2020 statement: An updated guideline for reporting systematic reviews. BMJ 2021, 372, n71. [Google Scholar] [CrossRef]








| Authors [Ref.] | Year | Country | Study Design/Number of Involved Centres | Funding Sources |
|---|---|---|---|---|
| Jiang et al. [14] | 2021 | China | Retrospective/Bicentric | Startup Fund of Huashan Hospital, Fudan University; Shanghai Municipal Key Clinical Specialty; Shanghai Municipal Science and Technology Major Project; Shanghai Municipal Health Commission Fund |
| Kuten et al. [15] | 2021 | Israel | Prospective/Monocentric | None declared |
| Rong et al. [16] | 2022 | China | Retrospective/Monocentric | National Natural Science Foundation of China; China Postdoctoral Science Foundation; Science and Technology Planning Project of Guangzhou. |
| Gündoğan et al. [17] | 2022 | Turkey | Prospective/Monocentric | None declared |
| Lin et al. [18] | 2022 | China | Prospective/Monocentric | National Natural Science Foundation of China; Natural Science Foundation of Fujian Province; Fujian Provincial Health Technology Project; Startup Fund for Scientific Research of Fujian Medical University |
| Miao et al. [19] | 2022 | China | Prospective/Monocentric | Shanghai Municipal Key Clinical Specialty; Joint Research Development Project between Shenkang and United Imaging on Clinical Research and Translation |
| Qin et al. [20] | 2022 | China | Prospective/Monocentric | None declared |
| Zhang et al. [21] | 2022 | China | Retrospective/Monocentric | Research foundation projects from Luzhou Science and Technology Department; Affiliated Hospital of Southwest Medical University; Nuclear Medicine and Molecular Imaging Key Laboratory of Sichuan Province Open Project |
| Chen et al. [22] | 2023 | China | Retrospective/Multicentric | National Natural Science Foundation of China; Key Medical and Health Projects in Xiamen |
| Authors [Ref.] | Sample Size (No. of Patients) | Mean/Median Age (Years) | Gender (Male %) | No. of Patients and Clinical Setting | GC Subtype (No. of Patients) | Comparative Imaging |
|---|---|---|---|---|---|---|
| Jiang et al. [14] | 38 | Mean: 63.7 | 76% | 38 Staging | 31 ADC 7 GSRCC | [18F]FDG PET/CT; [18F]FDG PET/MR |
| Kuten et al. [15] | 13 | Median: 70 | 46% | 10 Staging 3 Restaging | 9 ADC 4 GSRCC | [18F]FDG PET/CT |
| Rong et al. [16] | 21 | n.a. | n.a. | 21 Restaging before immunotherapy | n.a. | [18F]FDG PET/CT |
| Gündoğan et al. [17] | 21 | Median: 61 | 57% | 15 Staging 6 Restaging | 17 ADC 3 GSRCC 1 mucinous carcinoma | [18F]FDG PET/CT |
| Lin et al. [18] | 56 | Median: 63.8 | 71% | 45 Staging 11 Restaging | 17 ADC 28 GSRCC | [18F]FDG PET/CT |
| Miao et al. [19] | 62 | Median: 64 | 71% | 62 Staging | 27 PCC 35 non-PCC | [18F]FDG PET/CT |
| Qin et al. [20] | 20 | Median: 56 | 45% | 14 Staging 6 Restaging | 9 ADC 4 ADC, partial SGRCC 4 GSRCC 2 PCC 1SCC | [18F]FDG PET/CT |
| Zhang et al. [21] | 25 | Mean: 56 | 48% | 17 Staging 8 Restaging | 18 ADC 6 SGRCC 1 GSRCC + mucinous carcinoma | [18F]FDG PET/CT |
| Chen et al. [22] | 34 | Median: 51 | 47% | 22 Staging 12 Restaging | 34 GSRCC | [18F]FDG PET/CT; [18F]FDG PET/MR |
| Authors [Ref.] | Tracer | Hybrid Imaging | Tomograph | Administered Activity | Uptake Time (Minutes) | Image Analysis |
|---|---|---|---|---|---|---|
| Jiang et al. [14] | [68Ga]Ga-DOTA-FAPi-04 | PET/CT; PET/MR | PET/CT: Biograph mCT (Siemens®, Munich, Germany), Ingenuity TF (Philips®, Cambridge, MA, USA), uMI510 (United Imaging®, Shanghai, China); PET/MR: uPMR790 (United Imaging®, Shanghai, China) | 111–185 MBq | 60 | Qualitative, semiquantitative (SUVmax, TBR) |
| Kuten et al. [15] | [68Ga]Ga-DOTA-FAPi-04 | PET/CT | NR | 1.8–2.2 MBq/kg | 60 | Qualitative, semiquantitative (SUVmax, TBR) |
| Rong et al. [16] | [68Ga]Ga-DOTA-FAPi-04 | PET/CT | uEXPLORER (United Imaging ®, Shanghai, China) | 1.8–2.2 MBq/kg | 60 | NR |
| Gündoğan et al. [17] | [68Ga]Ga-DOTA-FAPi-04 | PET/CT | Discovery IQ (GE®, Boston, MA, USA) | 2 MBq/kg | 60 | Qualitative, semiquantitative (SUVmax, TBR) |
| Lin et al. [18] | [68Ga]Ga-DOTA-FAPi-04 | PET/CT | Biograph mCT64 (Siemens®, Munich, Germany) | 111–185 MBq | 35–71 | Qualitative, semiquantitative (SUVmax, TBR) |
| Miao et al. [19] | [68Ga]Ga-DOTA-FAPi-04 | PET/CT | Biograph Vision 450 (Siemens®, Munich, Germany) | 1.85–2.96 MBq/kg | 30–60 | Qualitative, semiquantitative (SUVmax, TBR) |
| Qin et al. [20] | [68Ga]Ga-DOTA-FAPi-04 | PET/MR | SIGNA (GE®, Boston, MA, USA) | 1.85–3.7 MBq/kg | 30–60 | Qualitative, semiquantitative (SUVmax) |
| Zhang et al. [21] | [68Ga]Ga-DOTA-FAPi-04 | PET/CT | uMI780 (United Imaging®, Shanghai, China) | 1.85 MBq/Kg | 60 | Qualitrative, semiquantitative (SUVmax) |
| Chen et al. [22] | [68Ga]Ga-DOTA-FAPi-04 | PET/CT; PET/MR | PET/CT: Discovery MI (GE®, Boston, MA, USA), Biograph mCT (Siemens®, Munich, Germany); PET/MR: uPMR790 TOF (United Imaging®, Shanghai, China) | 194.3 MBq | 60 | Qualitative, semiquantitative (SUVmax, TBR) |
| Authors [Ref.] | Aim of the Study | Primitive Lesion SUVmax | Metastatic Lesions SUVmax | Outcome |
|---|---|---|---|---|
| Jiang et al. [14] | Assess diagnostic accuracy of FAPi PET | Mean: 7.4 ± 5.0 | n.a. | FAPi PET is superior to [18F]FDG PET for the detection of primary gastric cancers |
| Kuten et al. [15] | Assess diagnostic accuracy of FAPi PET | Median: 5.5 | Lymph nodes: 4.3 | FAPi PET is superior to [18F]FDG PET for the detection of primary gastric cancers and recurrences |
| Rong et al. [16] | Evaluate FAPi PET performance in predicting response to immunotherapy | n.a. | n.a. | High FAPi uptake is associated with a worse response to immunotherapy |
| Gündoğan et al. [17] | Assess diagnostic accuracy of FAPi PET | Median: 11.0 | Lymph nodes: 5.7 Liver: 6.8 Bone: 4.8 Peritoneum: 5.7 | FAPi PET could detect more lesions than [18F]FDG PET |
| Lin et al. [18] | Assess diagnostic accuracy of FAPi PET | Mean: 10.3 | Lymph nodes: 6.3 | FAPi PET is comparable to [18F]FDG PET in detecting primary tumors but outperformed [18F]FDG PET in detecting bone and peritoneal metastases |
| Miao et al. [19] | Assess diagnostic accuracy of FAPi and [18F]FDG dual-tracer PET/CT | Median: 18.81 | n.a. | FAPi and [18F]FDG dual-tracer PET/CT were complementary and improved the sensitivity of detecting pre-treatment distant metastases |
| Qin et al. [20] | Comparison of diagnostic accuracy between FAPi PET/MR and [18F]FDG PET/CT | Mean: 11.31 ± 3.96 | Lymph nodes: 6.58 ± 2.78 Peritoneum: 7.60 ± 5.85 Ovaries: 4.19 ± 1.72 Liver: 5.63 ± 1.96 Bone: 5.8 ± 5.39 | Compared with [18F]FDG PET/CT, FAPi PET/MR had superior detection capabilities for primary tumors and metastases |
| Zhang et al. [21] | Comparison of diagnostic accuracy between FAPi PET and [18F]FDG PET | Median: 10.28 | Lymph nodes: 9.2 Distant metastases: 8.0 | FAPi PET is superior to [18F]FDG PET for the detection of primary tumor, lymph node, and distant metastases in patients with GC |
| Chen et al. [22] | Comparison of diagnostic accuracy between FAPi PET and [18F]FDG PET | Median: 5.2 | Lymph nodes: 6.8 Bone and visceral metastases: 6.5 Uncommon sites: 6.0 | FAPi PET had greater sensitivity and accuracy than [18F]FDG PET |
| Study | Sample Size | Detection Rate (%) | 95% CI | Weight (%) | |
|---|---|---|---|---|---|
| Fixed | Random | ||||
| Jiang et al. [14] | 38 | 100 | 90.7–100 | 16.7 | 14.5 |
| Kuten et al. [15] | 10 | 100 | 69.1–100 | 4.7 | 8.9 |
| Gündoğan et al. [17] | 15 | 100 | 78.2–100 | 6.9 | 10.7 |
| Lin et al. [18] | 45 | 100 | 92.1–100 | 19.7 | 15.1 |
| Miao et al. [19] | 62 | 90.3 | 80.1–96.3 | 27 | 16.1 |
| Qin et al. [20] | 14 | 100 | 76.8–100 | 6.4 | 10.4 |
| Zhang et al. [21] | 19 | 94.7 | 73.9–99.9 | 8.6 | 11.8 |
| Chen et al. [22] | 22 | 72.7 | 49.8–89.3 | 9.9 | 12.4 |
| Total (fixed effects) | 225 | 95.2 | 91.7–97.6 | 100 | 100 |
| Total (random effects) | 225 | 95.3 | 89–99 | 100 | 100 |
| Study | Sample Size | Proportion (%) | 95% CI | Weight (%) | |
|---|---|---|---|---|---|
| Fixed | Random | ||||
| Jiang et al. [14] | 5 | 100 | 47.8–100 | 6.7 | 6.7 |
| Kuten et al. [15] | 2 | 100 | 15.8–100 | 3.3 | 3.3 |
| Gündoğan et al. [17] | 12 | 100 | 73.5–100 | 14.4 | 14.4 |
| Lin et al. [18] | 11 | 100 | 71.5–100 | 13.3 | 13.3 |
| Miao et al. [19] | 12 | 91.67 | 61.5–99.8 | 14.4 | 14.4 |
| Qin et al. [20] | 10 | 100 | 69.1–100 | 12.2 | 12.2 |
| Zhang et al. [21] | 12 | 100 | 73.5–100 | 14.4 | 14.4 |
| Chen et al. [22] | 18 | 100 | 81.5–100 | 21.1 | 21.1 |
| Total (fixed effects) | 82 | 96.9 | 90.9–99.4 | 100 | 100 |
| Total (random effects) | 82 | 96.9 | 92.3–99.4 | 100 | 100 |
Disclaimer/Publisher’s Note: The statements, opinions and data contained in all publications are solely those of the individual author(s) and contributor(s) and not of MDPI and/or the editor(s). MDPI and/or the editor(s) disclaim responsibility for any injury to people or property resulting from any ideas, methods, instructions or products referred to in the content. |
© 2023 by the authors. Licensee MDPI, Basel, Switzerland. This article is an open access article distributed under the terms and conditions of the Creative Commons Attribution (CC BY) license (https://creativecommons.org/licenses/by/4.0/).
Share and Cite
Rizzo, A.; Racca, M.; Garrou, F.; Fenocchio, E.; Pellegrino, L.; Albano, D.; Dondi, F.; Bertagna, F.; Annunziata, S.; Treglia, G. Diagnostic Performance of Positron Emission Tomography with Fibroblast-Activating Protein Inhibitors in Gastric Cancer: A Systematic Review and Meta-Analysis. Int. J. Mol. Sci. 2023, 24, 10136. https://doi.org/10.3390/ijms241210136
Rizzo A, Racca M, Garrou F, Fenocchio E, Pellegrino L, Albano D, Dondi F, Bertagna F, Annunziata S, Treglia G. Diagnostic Performance of Positron Emission Tomography with Fibroblast-Activating Protein Inhibitors in Gastric Cancer: A Systematic Review and Meta-Analysis. International Journal of Molecular Sciences. 2023; 24(12):10136. https://doi.org/10.3390/ijms241210136
Chicago/Turabian StyleRizzo, Alessio, Manuela Racca, Federico Garrou, Elisabetta Fenocchio, Luca Pellegrino, Domenico Albano, Francesco Dondi, Francesco Bertagna, Salvatore Annunziata, and Giorgio Treglia. 2023. "Diagnostic Performance of Positron Emission Tomography with Fibroblast-Activating Protein Inhibitors in Gastric Cancer: A Systematic Review and Meta-Analysis" International Journal of Molecular Sciences 24, no. 12: 10136. https://doi.org/10.3390/ijms241210136
APA StyleRizzo, A., Racca, M., Garrou, F., Fenocchio, E., Pellegrino, L., Albano, D., Dondi, F., Bertagna, F., Annunziata, S., & Treglia, G. (2023). Diagnostic Performance of Positron Emission Tomography with Fibroblast-Activating Protein Inhibitors in Gastric Cancer: A Systematic Review and Meta-Analysis. International Journal of Molecular Sciences, 24(12), 10136. https://doi.org/10.3390/ijms241210136

