Biosynthesis of Novel Ascorbic Acid Esters and Their Encapsulation in Lignin Nanoparticles as Carriers and Stabilizing Systems
Abstract
1. Introduction
2. Results and Discussion
2.1. Synthesis of 3-O-ethyl Ascorbic Acid Esters
2.2. Encapsulation of AA Derivatives and Morphological Characterization
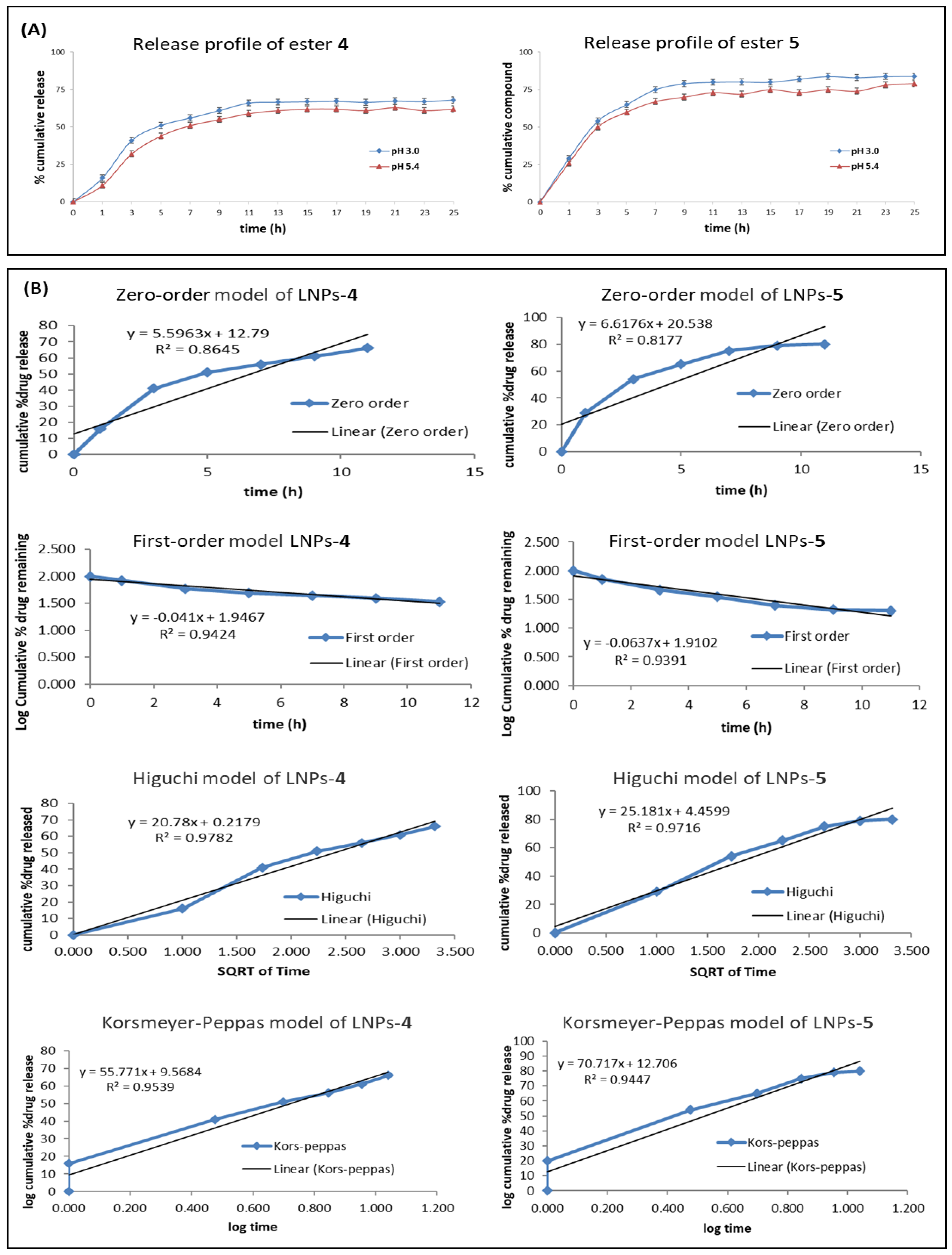
2.3. Release Profile and Kinetic Release Data of Esters 4 and 5 from LNPs
2.4. Antioxidant Activity
2.5. Thermal Stability
3. Materials and Methods
3.1. Materials
3.2. Preparation and Kinetic Characterization of Biocatalyst I
3.3. Synthesis and Characterization of Esters 4 and 5
3.4. Encapsulation of AA and AA Derivatives into LNPs
3.5. Determination of Loading Efficiency and Kinetic of Release of LNPs-4 and LNPs-5
3.6. Average Size and ζ-Potential Determination
3.7. FE-SEM Analyses
3.8. Antioxidant Activity
3.9. Thermal Stability Assay
4. Conclusions
Supplementary Materials
Author Contributions
Funding
Institutional Review Board Statement
Informed Consent Statement
Data Availability Statement
Acknowledgments
Conflicts of Interest
References
- Isherwood, F.A.; Chen, Y.T.; Mapson, L.W. Synthesis of l-ascorbic acid in plants and animals. Nature 1953, 171, 348–349. [Google Scholar] [CrossRef]
- Njus, D.; Kelley, P.M.; Tu, Y.J.; Schlegel, H.B. Ascorbic acid: The chemistry underlying its antioxidant properties. Free Radic. Biol. Med. 2020, 159, 37–43. [Google Scholar] [CrossRef]
- Carita, A.C.; Fonseca-Santos, B.; Shultz, J.D.; Michniak-Kohn, B.; Chorilli, M.; Leonardi, G.R. Vitamin C: One compound, several uses. Advances for delivery, efficiency and stability. Nanomed. Nanotechnol. Biol. Med. 2020, 24, 102117. [Google Scholar] [CrossRef] [PubMed]
- Levine, M. New concepts in the biology and biochemistry of ascorbic acid. N. Engl. J. Med. 1986, 314, 892–902. [Google Scholar] [CrossRef]
- Drouin, G.; Godin, J.R.; Page, B. The Genetics of Vitamin C Loss in Vertebrates. Curr. Genom. 2011, 12, 371–378. [Google Scholar] [CrossRef]
- Rowe, S.; Carr, A.C. Global Vitamin C Status and Prevalence of Deficiency: A Cause for Concern? Nutrients 2020, 12, 2008. [Google Scholar] [CrossRef] [PubMed]
- Ravetti, S.; Clemente, C.; Brignone, S.; Hergert, L.; Allemandi, D.; Palma, S. Ascorbic Acid in Skin Health. Cosmetics 2019, 6, 58. [Google Scholar] [CrossRef]
- Santos, P.H.S.; Silva, M.A. Retention of Vitamin C in Drying Processes of Fruits and VegetablesA Review. Dry Technol. 2008, 26, 1421–1437. [Google Scholar] [CrossRef]
- Ma, S. Formulation and Stability of Ascorbic Acid in Liquid and Semisolid Preparations; Baqai Medical University: Clachi, Pakistan, 2009. [Google Scholar]
- Smuda, M.; Glomb, M.A. Maillard Degradation Pathways of Vitamin C. Angew. Chem. Int. Ed. 2013, 52, 4887–4891. [Google Scholar] [CrossRef]
- Spagnol, C.M.; Ferreira, G.A.; Chiari-Andreo, B.G.; Isaac, V.L.B.; Correa, M.A.; Salgado, H.R.N. Ascorbic acid in cosmetic formulations: Stability, in vitro release, and permeation using a rapid, inexpensive, and simple method. J. Dispers. Sci. Technol. 2017, 38, 901–908. [Google Scholar] [CrossRef]
- Peyrat-Maillard, M.N.; Bonnely, S.; Rondini, L.; Berset, C. Effect of vitamin E and vitamin C on the antioxidant activity of malt rootlets extracts. LWT Food Sci. Technol. 2001, 34, 176–182. [Google Scholar] [CrossRef]
- Karmee, S.K. Biocatalytic synthesis of ascorbyl esters and their biotechnological applications. Appl. Microbiol. Biotechnol. 2009, 81, 1013–1022. [Google Scholar] [CrossRef]
- Sharma, S.; Kanwar, K.; Kanwar, S.S. Ascorbyl palmitate synthesis in an organic solvent system using a Celite-immobilized commercial lipase (Lipolase 100L). 3 Biotech 2016, 6, 183. [Google Scholar] [CrossRef]
- Amiri, S.; Rezazadeh-Bari, M.; Alizadeh-Khaledabad, M.; Amiri, S. New formulation of vitamin C encapsulation by nanoliposomes: Production and evaluation of particle size, stability and control release. Food Sci. Biotechnol. 2019, 28, 423–432. [Google Scholar] [CrossRef] [PubMed]
- Esposito, E.; Cervellati, F.; Menegatti, E.; Nastruzzi, C.; Cortesi, R. Spray dried Eudragit microparticles as encapsulation devices for vitamin C. Int. J. Pharm. 2002, 242, 329–334. [Google Scholar] [CrossRef] [PubMed]
- Abbas, S.; Da Wei, C.; Hayat, K.; Zhang, X.M. Ascorbic Acid: Microencapsulation Techniques and Trends-A Review. Food Rev. Int. 2012, 28, 343–374. [Google Scholar] [CrossRef]
- Alqahtani, M.S.; Alqahtani, A.; Al-Thabit, A.; Roni, M.; Syed, R. Novel lignin nanoparticles for oral drug delivery. J. Mater. Chem. B 2019, 7, 4461–4473. [Google Scholar] [CrossRef]
- Bajwa, D.S.; Pourhashem, G.; Ullah, A.H.; Bajwa, S.G. A concise review of current lignin production, applications, products and their environmental impact. Ind. Crop. Prod. 2019, 139, 111526. [Google Scholar] [CrossRef]
- Garlapati, V.K.; Chandel, A.K.; Kumar, S.P.J.; Sharma, S.; Sevda, S.; Ingle, A.P.; Pant, D. Circular economy aspects of lignin: Towards a lignocellulose biorefinery. Renew. Sustain. Energy Rev. 2020, 130, 109977. [Google Scholar] [CrossRef]
- Piccinino, D.; Capecchi, E.; Delfino, I.; Crucianelli, M.; Conte, N.; Avitabile, D.; Saladino, R. Green and Scalable Preparation of Colloidal Suspension of Lignin Nanoparticles and Its Application in Eco-friendly Sunscreen Formulations. ACS Omega 2021, 6, 21444–21456. [Google Scholar] [CrossRef] [PubMed]
- Lu, X.Y.; Gu, X.L.; Shi, Y.J. A review on lignin antioxidants: Their sources, isolations, antioxidant activities and various applications. Int. J. Biol. Macromol. 2022, 210, 716–741. [Google Scholar] [CrossRef]
- Sadeghifar, H.; Ragauskas, A. Lignin as a UV Light Blocker-A Review. Polymers 2020, 12, 1134. [Google Scholar] [CrossRef]
- Piccinino, D.; Capecchi, E.; Botta, L.; Bizzarri, B.M.; Bollella, P.; Antiochia, R.; Saladino, R. Layer-by-Layer Preparation of Microcapsules and Nanocapsules of Mixed Polyphenols with High Antioxidant and UV-Shielding Properties. Biomacromolecules 2018, 19, 3883–3893. [Google Scholar] [CrossRef]
- Dai, L.; Liu, R.; Hu, L.Q.; Zou, Z.F.; Si, C.L. Lignin Nanoparticle as a Novel Green Carrier for the Efficient Delivery of Resveratrol. ACS Sustain. Chem. Eng. 2017, 5, 8241–8249. [Google Scholar] [CrossRef]
- Alqahtani, M.S.; Alqahtani, A.; Kazi, M.; Ahmad, M.Z.; Alahmari, A.; Alsenaidy, M.A.; Syed, R. Wound-healing potential of curcumin loaded lignin nanoparticles. J. Drug Deliv. Sci. Technol. 2020, 60, 102020. [Google Scholar] [CrossRef]
- Piccinino, D.; Capecchi, E.; Trifero, V.; Tomaino, E.; Marconi, C.; Del Giudice, A.; Galantini, L.; Poponi, S.; Ruggieri, A.; Saladino, R. Lignin Nanoparticles as Sustainable Photoprotective Carriers for Sunscreen Filters. ACS Omega 2022, 7, 37070–37077. [Google Scholar] [CrossRef]
- Gabellone, S.; Piccinino, D.; Filippi, S.; Castrignano, T.; Zippilli, C.; Del Buono, D.; Saladino, R. Lignin Nanoparticles Deliver Novel Thymine Biomimetic Photo-Adducts with Antimelanoma Activity. Int. J. Mol. Sci. 2022, 23, 915. [Google Scholar] [CrossRef]
- Liao, W.C.; Huang, Y.T.; Lu, L.P.; Huang, W.Y. Antioxidant Ability and Stability Studies of 3-O-Ethyl Ascorbic Acid, a Cosmetic Tyrosinase Inhibitor. J. Cosmet. Sci. 2018, 69, 233–243. [Google Scholar] [PubMed]
- Benedini, L.; Schulz, E.P.; Messina, P.V.; Palma, S.D.; Allemandi, D.A.; Schulz, P.C. The ascorbyl palmitate-water system: Phase diagram and state of water. Colloids Surface A 2011, 375, 178–185. [Google Scholar] [CrossRef]
- Hui, A.L.; Wang, Y.; Zhu, K.L.; Chen, J.C.; Fan, Q.P.; Zhou, A.; Zhang, W.C.; Wu, Z.Y. Synthesis and evaluation of novel ascorbyl cinnamates as potential anti-oxidant and antimicrobial agents. Res. Chem. Intermed. 2017, 43, 5901–5916. [Google Scholar] [CrossRef]
- Spiclin, P.; Gasperlin, M.; Kmetec, V. Stability of ascorbyl palmitate in topical microemulsions. Int. J. Pharm. 2001, 222, 271–279. [Google Scholar] [CrossRef]
- Huang, X.B.; Zhang, B.C.; Xu, H. Synthesis of some monosaccharide-related ester derivatives as insecticidal and acaricidal agents. Bioorg. Med. Chem. Lett. 2017, 27, 4336–4340. [Google Scholar] [CrossRef] [PubMed]
- Kumar, S.; Singh, B.K.; Arya, P.; Malhotra, S.; Thimmulappa, R.; Prasad, A.K.; Van der Eycken, E.; Olsen, C.E.; De Pass, A.L.; Biswal, S.; et al. Novel natural product-based cinnamates and their thio and thiono analogs as potent inhibitors of cell adhesion molecules on human endothelial cells. Eur. J. Med. Chem. 2011, 46, 5498–5511. [Google Scholar] [CrossRef]
- Shi, H.M.; Xie, D.S.; Yang, R.L.; Cheng, Y.Q. Synthesis of Caffeic Acid Phenethyl Ester Derivatives, and Their Cytoprotective and Neuritogenic Activities in PC12 Cells. J. Agric. Food Chem. 2014, 62, 5046–5053. [Google Scholar] [CrossRef] [PubMed]
- Andrew Williams, I.T.I. Carbodiimide chemistry: Recent advances. Chem. Rev. 1981, 81, 589–636. [Google Scholar] [CrossRef]
- Yang, Y.H.; Raku, T.; Song, E.; Park, S.H.; Yoo, D.; Park, H.Y.; Kim, B.G.; Kim, H.J.; Lee, S.H.; Kim, H.S.; et al. Lipase catalyzed reaction of L-ascorbic acid with cinnamic acid esters and substituted cinnamic acids. Biotechnol. Bioprocess Eng. 2012, 17, 50–54. [Google Scholar] [CrossRef]
- Chen, B.; Miller, M.E.; Gross, R.A. Effects of porous polystyrene resin parameters on Candida antarctica Lipase B adsorption, distribution, and polyester synthesis activity. Langmuir 2007, 23, 6467–6474. [Google Scholar] [CrossRef]
- Tomaino, E.; Capecchi, E.; Piccinino, D.; Saladino, R. Lignin Nanoparticles Support Lipase-Tyrosinase Enzymatic Cascade in the Synthesis of Lipophilic Hydroxytyrosol Ester Derivatives. Chemcatchem 2022, 14, e202200380. [Google Scholar] [CrossRef]
- Hernandez-Garcia, S.; Garcia-Garcia, M.I.; Garcia-Carmona, F. An improved method to measure lipase activity in aqueous media. Anal. Biochem. 2017, 530, 104–106. [Google Scholar] [CrossRef]
- Simeo, Y.; Sinisterraa, J.V.; Alcantara, A.R. Regioselective enzymatic acylation of pharmacologically interesting nucleosides in 2-methyltetrahydrofuran, a greener substitute for THF. Green Chem. 2009, 11, 855–862. [Google Scholar] [CrossRef]
- Zippilli, C.; Bizzarri, B.M.; Gabellone, S.; Botta, L.; Saladino, R. Oxidative Coupling of Coumarins by Blue-LED-Driven in situ Activation of Horseradish Peroxidase in a Two-Liquid-Phase System. Chemcatchem 2021, 13, 4151–4158. [Google Scholar] [CrossRef]
- Gerard, V.; Ay, E.; Graff, B.; Morlet-Savary, F.; Galopin, C.; Mutilangi, W.; Lalevee, J. Ascorbic Acid Derivatives as Potential Substitutes for Ascorbic Acid To Reduce Color Degradation of Drinks Containing Ascorbic Acid and Anthocyanins from Natural Extracts. J. Agric. Food Chem. 2019, 67, 12061–12071. [Google Scholar] [CrossRef]
- Benazzouz, A.; Moity, L.; Pierlot, C.; Molinier, V.; Aubry, J.M. Hansen approach versus COSMO-RS for predicting the solubility of an organic UV filter in cosmetic solvents. Colloids Surface A 2014, 458, 101–109. [Google Scholar] [CrossRef]
- Pereira, A.D.S.; de Oliveira, J.L.; Savassa, S.M.; Rogerio, C.B.; de Medeiros, G.A.; Fraceto, L.F. Lignin nanoparticles: New insights for a sustainable agriculture. J. Clean. Prod. 2022, 345, 131145. [Google Scholar] [CrossRef]
- Ali, S.M.; Yosipovitch, G. Skin pH: From Basic Science to Basic Skin Care. Acta Derm. Venereol. 2013, 93, 261–267. [Google Scholar] [CrossRef]
- Pinnell, S.R.; Yang, H.S.; Omar, M.; Riviere, N.M.; DeBuys, H.V.; Walker, L.C.; Wang, Y.H.; Levine, M. Topical L-ascorbic acid: Percutaneous absorption studies. Dermatol. Surg. 2001, 27, 137–142. [Google Scholar] [CrossRef] [PubMed]
- Cailotto, S.; Gigli, M.; Bonini, M.; Rigoni, F.; Crestini, C. Sustainable Strategies in the Synthesis of Lignin Nanoparticles for the Release of Active Compounds: A Comparison. ChemSusChem 2020, 13, 4759–4767. [Google Scholar] [CrossRef] [PubMed]
- Wu, I.Y.; Bala, S.; Skalko-Basnet, N.; di Cagno, M.P. Interpreting non-linear drug diffusion data: Utilizing Korsmeyer-Peppas model to study drug release from liposomes. Eur. J. Pharm. Sci. 2019, 138, 105026. [Google Scholar] [CrossRef]
- Shikinaka, K.; Nakamura, M.; Navarro, R.R.; Otsukar, Y. Plant-Based Antioxidant Nanoparticles without Biological Toxicity. Chemistryopen 2018, 7, 709–712. [Google Scholar] [CrossRef]
- Bae, S.; Choi, J.-H.; Ahn, M.; Kim, R.; Kim, H. Ethanol organosolv lignin as a substitute for commercial antioxidants, focusing on the structural properties and synergistic effect with myricetin. Food Chem. 2023, 418, 136009. [Google Scholar] [CrossRef]
- Liu, D.; Li, Y.; Qian, Y.; Xiao, Y.; Du, S.J.; Qiu, X.Q. Synergistic Antioxidant Performance of Lignin and Quercetin Mixtures. ACS Sustain. Chem. Eng. 2017, 5, 8424–8428. [Google Scholar] [CrossRef]
- Amorati, R.; Ferroni, F.; Lucarini, M.; Pedulli, G.F.; Valgimigli, L. A quantitative approach to the recycling of alpha-tocopherol by coantioxidants. J. Org. Chem. 2002, 67, 9295–9303. [Google Scholar] [CrossRef]
- Olszowy-Tomczyk, M. Synergistic, antagonistic and additive antioxidant effects in the binary mixtures. Phytochem. Rev. 2020, 19, 63–103. [Google Scholar] [CrossRef]
- Lauberte, L.; Fabre, G.; Ponomarenko, J.; Dizhbite, T.; Evtuguin, D.V.; Telysheva, G.; Trouillas, P. Lignin Modification Supported by DFT-Based Theoretical Study as a Way to Produce Competitive Natural Antioxidants. Molecules 2019, 24, 1794. [Google Scholar] [CrossRef] [PubMed]
- Baschieri, A.; Amorati, R.; Benelli, T.; Mazzocchetti, L.; D’Angelo, E.; Valgimigli, L. Enhanced Antioxidant Activity under Biomimetic Settings of Ascorbic Acid Included in Halloysite Nanotubes. Antioxidants 2019, 8, 30. [Google Scholar] [CrossRef]
- Syedd-Leon, R.; Sandoval-Barrantes, M.; Trimino-Vasquez, H.; Villegas-Penaranda, L.R.; Rodriguez-Rodriguez, G. Revisiting the fundamentals of p-nitrophenol analysis for its application in the quantification of lipases activity. A graphical update. Uniciencia 2020, 34, 31–43. [Google Scholar] [CrossRef]
- Dash, S.; Murthy, P.N.; Nath, L.; Chowdhury, P. Kinetic Modeling on Drug Release from Controlled Drug Delivery Systems. Acta Pol. Pharm. 2010, 67, 217–223. [Google Scholar]
- Capecchi, E.; Tomaino, E.; Piccinino, D.; Kidibule, P.E.; Fernandez-Lobato, M.; Spinelli, D.; Pogni, R.; Cabado, A.G.; Lago, J.; Saladino, R. Nanoparticles of Lignins and Saccharides from Fishery Wastes as Sustainable UV-Shielding, Antioxidant, and Antimicrobial Biofillers. Biomacromolecules 2022, 23, 3154–3164. [Google Scholar] [CrossRef]






| Catalyst | Km (mM) 1 | Vmax (μmol L−1 s−1) 2 |
|---|---|---|
| Free Lipase | 4.2 | 0.24 |
| Biocatalyst I | 3.2 | 0.45 |
| Name | LNPs | Structure | LE (% ± SD) |
|---|---|---|---|
| L-ascorbic acid (AA) | LNPs-AA | ![]() | 4.3 ± 0.91 |
| 3-O-ethyl-L-ascorbic acid (1) | LNPs-1 | ![]() | 13.2 ± 1.62 |
| 3-O-ethyl-L-ascorbyl-6-ferulate (4) | LNPs-4 | ![]() | 69.1 ± 1.91 |
| 3-O-ethyl-L-ascorbyl-6-palmitate (5) | LNPs-5 | ![]() | 44.8 ± 3.12 |
| L-ascorbyl-6-palmitate (6) | LNPs-6 | ![]() | 32.8 ± 1.47 |
| Sample | Mean Size (nm ± SD) | PDI | Z-Potential (mV ± SD) | SEM Images |
|---|---|---|---|---|
| LNPs | 221 ± 1.2 | 0.101 | −34.5 ± 1.2 | ![]() |
| LNPs-AA | 226 ± 0.9 | 0.109 | −34.9 ± 1.1 | ![]() |
| LNPs-1 | 254 ± 1.4 | 0.121 | −34.2 ± 0.7 | ![]() |
| LNPs-4 | 314 ± 1.0 | 0.159 | −35.4 ± 0.9 | ![]() |
| LNPs-5 | 279 ± 1.1 | 0.111 | −37.1 ± 1.4 | ![]() |
| LNPs-6 | 259 ± 1.9 | 0.129 | −36.8 ± 0.8 | ![]() |
| Entry | Compound | IC50 (μg/mL ± SD) | ACI |
|---|---|---|---|
| 1 | AA | 6.5 ± 1.9 | 15.4 |
| 2 | 1 | 13.9 ± 2.7 | 7.2 |
| 3 | 2 | 21.7 ± 1.1 | 4.6 |
| 4 | 4 | 11.5 ± 3.8 | 8.7 |
| 5 | 5 | 17.1 ± 2.1 | 5.8 |
| 6 | 6 | 17.4 ± 1.1 | 5.7 |
| 8 | LNPs | 19.9 ± 3.4 | 5.0 |
| 9 | LNPs-4 | 7.1 ± 2.2 (0.23) a | 14.1 |
| 10 | LNPs-5 | 12.1 ± 4.1 (0.33) a | 8.3 |
Disclaimer/Publisher’s Note: The statements, opinions and data contained in all publications are solely those of the individual author(s) and contributor(s) and not of MDPI and/or the editor(s). MDPI and/or the editor(s) disclaim responsibility for any injury to people or property resulting from any ideas, methods, instructions or products referred to in the content. |
© 2023 by the authors. Licensee MDPI, Basel, Switzerland. This article is an open access article distributed under the terms and conditions of the Creative Commons Attribution (CC BY) license (https://creativecommons.org/licenses/by/4.0/).
Share and Cite
Capecchi, E.; Piccinino, D.; Nascimben, C.; Tomaino, E.; Ceccotti Vlas, N.; Gabellone, S.; Saladino, R. Biosynthesis of Novel Ascorbic Acid Esters and Their Encapsulation in Lignin Nanoparticles as Carriers and Stabilizing Systems. Int. J. Mol. Sci. 2023, 24, 9044. https://doi.org/10.3390/ijms24109044
Capecchi E, Piccinino D, Nascimben C, Tomaino E, Ceccotti Vlas N, Gabellone S, Saladino R. Biosynthesis of Novel Ascorbic Acid Esters and Their Encapsulation in Lignin Nanoparticles as Carriers and Stabilizing Systems. International Journal of Molecular Sciences. 2023; 24(10):9044. https://doi.org/10.3390/ijms24109044
Chicago/Turabian StyleCapecchi, Eliana, Davide Piccinino, Chiara Nascimben, Elisabetta Tomaino, Natalia Ceccotti Vlas, Sofia Gabellone, and Raffaele Saladino. 2023. "Biosynthesis of Novel Ascorbic Acid Esters and Their Encapsulation in Lignin Nanoparticles as Carriers and Stabilizing Systems" International Journal of Molecular Sciences 24, no. 10: 9044. https://doi.org/10.3390/ijms24109044
APA StyleCapecchi, E., Piccinino, D., Nascimben, C., Tomaino, E., Ceccotti Vlas, N., Gabellone, S., & Saladino, R. (2023). Biosynthesis of Novel Ascorbic Acid Esters and Their Encapsulation in Lignin Nanoparticles as Carriers and Stabilizing Systems. International Journal of Molecular Sciences, 24(10), 9044. https://doi.org/10.3390/ijms24109044












