Thiopurines Analogues with Additional Ring: Synthesis, Spectroscopic Properties, and Anticancer Potency
Abstract
1. Introduction
2. Results and Discussion
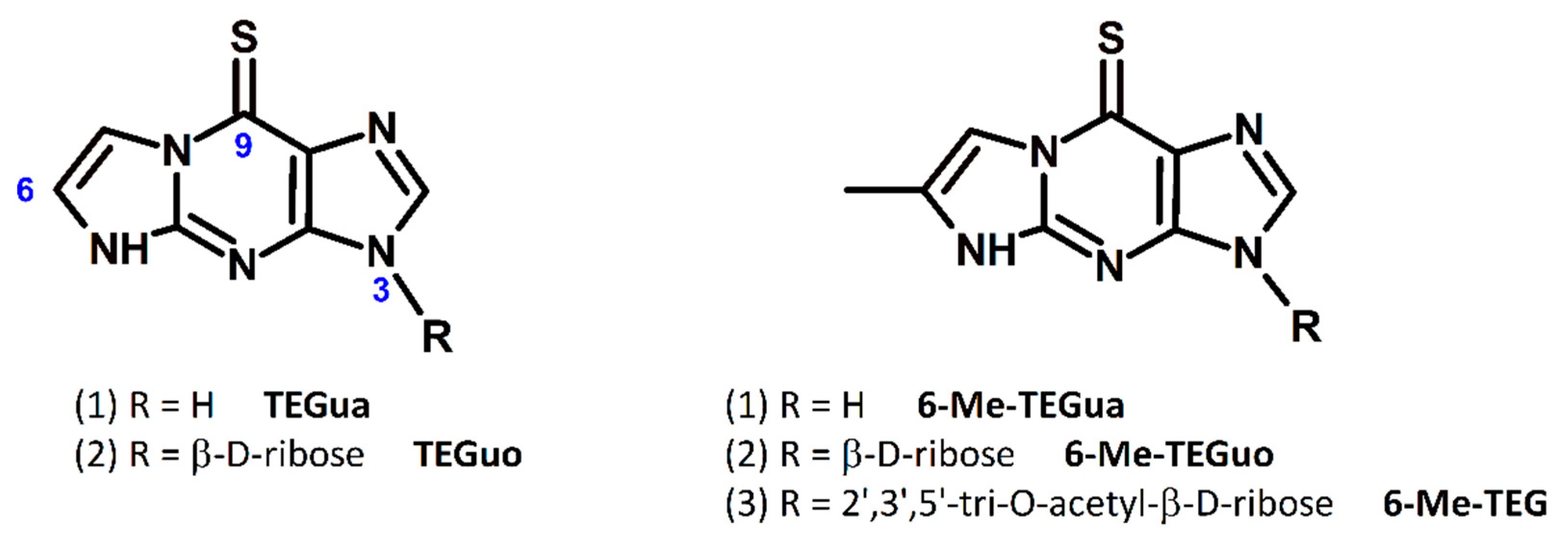
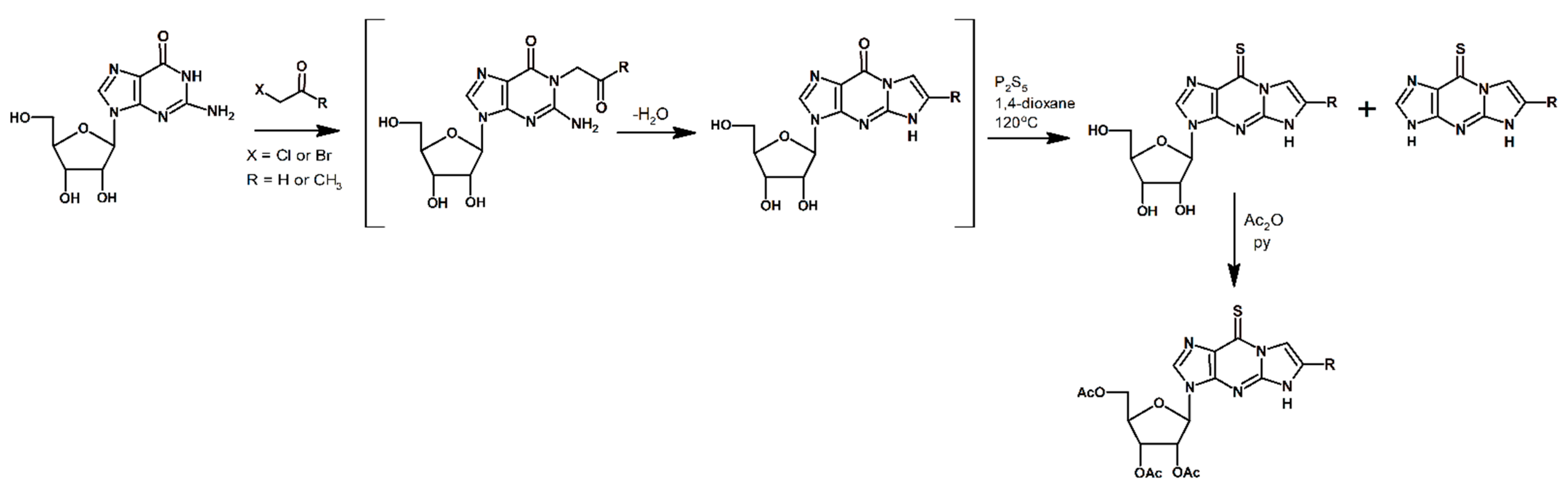
2.1. Chemistry and Spectral Characterization
2.2. Tautomeric and Acid-Base Equilibria
2.3. Lipophilicity Studies
2.4. ADME and PASS Analyses
| Physicochemical Properties | ||||||||
|---|---|---|---|---|---|---|---|---|
| MW/Da | HBA | HBD | MlogP | RB | TPSA/Å 2 | logS 1 | Solubility Class 2 | |
| 6-Me-TEGuo | 337.35 | 6 | 4 | −1.04 | 2 | 152.92 | −1.03 | Very soluble |
| 6-Me-TEGua | 205.24 | 2 | 2 | 0.27 | 0 | 93.86 | −2.14 | Soluble |
| TEGuo | 323.33 | 6 | 4 | −1.71 | 2 | 152.92 | −0.68 | Very soluble |
| TEGua | 191.21 | 2 | 2 | −0.06 | 0 | 93.86 | −1.80 | Very soluble |
| 6-Me-TEG | 463.46 | 9 | 1 | −0.03 | 8 | 171.13 | −2.12 | Soluble |
| Pharmacokinetics | Drug-Likeness | Antineoplastic Activity | |||||
|---|---|---|---|---|---|---|---|
| BBB | GI | P-gp Substrate | CYP Inhibitor | BS | L-Ro5 | Pa (Pi) | |
| 6-Me-TEGuo | No | Low | No | No | 0.55 | ☑ | 0.744 (0.019) |
| 6-Me-TEGua | No | High | No | No (except CYP1A2) | 0.55 | ☑ | 0.728 (0.022) |
| TEGuo | No | Low | No | No | 0.55 | ☑ | 0.775 (0.015) |
| TEGua | No | High | No | No (except CYP1A2) | 0.55 | ☑ | 0.781 (0.014) |
| 6-Me-TEG | No | Low | No | No | 0.55 | ☑ | 0.819 (0.010) |
2.5. Emission Properties
2.6. Biological Evaluation: Influence on Cell Viability
3. Materials and Methods
3.1. Chemicals
3.2. Identification Methods
3.3. Synthesis of Tricyclic Thiopurine Analogues
3.4. Photophysical Measurements
3.5. ADME and PASS Analyses
3.6. Lipophilicity Determination
3.7. Cell Cultures and Toxicity Assays
3.8. Statistical Analysis
4. Conclusions
Supplementary Materials
Author Contributions
Funding
Institutional Review Board Statement
Informed Consent Statement
Data Availability Statement
Acknowledgments
Conflicts of Interest
References
- Chauhan, M.; Kumar, R. A comprehensive review on bioactive fused heterocycles as purine-utilizing enzymes inhibitors. Med. Chem. Res. 2015, 24, 2259–2282. [Google Scholar] [CrossRef]
- Chaurasiya, A.; Wahan, S.K.; Sahu, C.; Chawla, P.A. An insight into the rational design of recent purine-based scaffolds in targeting various cancer pathways. J. Mol. Struct. 2023, 1274, 134308. [Google Scholar] [CrossRef]
- Legraverend, M.; Grierson, D.S. The purines: Potent and versatile small molecule inhibitors and modulators of key biological targets. Bioorg. Med. Chem. 2006, 14, 3987–4006. [Google Scholar] [CrossRef]
- Périgaud, C.; Gosselin, G.; Imbach, J.L. Nucleoside Analogues as Chemotherapeutic Agents: A Review. Nucleosides Nucleotides 1992, 11, 903–945. [Google Scholar] [CrossRef]
- Karran, P.; Attard, N. Thiopurines in current medical practice: Molecular mechanisms and contributions to therapy-related cancer. Nat. Rev. Cancer 2008, 8, 24–36. [Google Scholar] [CrossRef]
- Neurath, M. Thiopurines in IBD: What Is Their Mechanism of Action? Gastroenterol. Hepatol. 2010, 6, 435–436. [Google Scholar]
- Ashwood, B.; Pollum, M.; Crespo-Hernández, C.E. Photochemical and Photodynamical Properties of Sulfur-Substituted Nucleic Acid Bases. Photochem. Photobiol. 2019, 95, 33–58. [Google Scholar] [CrossRef]
- Ortiz-Rodríguez, L.A.; Crespo-Hernández, C.E. Thionated organic compounds as emerging heavy-atom-free photodynamic therapy agents. Chem. Sci. 2020, 11, 11113–11123. [Google Scholar] [CrossRef] [PubMed]
- Duncan, S.R.; Grgurich, W.F.; Iacono, A.T.; Burckart, G.J.; Yousem, S.A.; Paradis, I.L.; Williams, P.A.; Johnson, B.A.; Griffith, B.P. A comparison of ganciclovir and acyclovir to prevent cytomegalovirus after lung transplantation. Am. J. Respir. Crit. Care Med. 1994, 150, 146–152. [Google Scholar] [CrossRef]
- Balfour, H.H. Management of cytomegalovirus disease with antiviral drugs. Rev. Infect. Dis. 1990, 12, S849–S860. [Google Scholar] [CrossRef] [PubMed]
- Boryski, J.; Golankiewicz, B.; De Clercq, E. Synthesis and antiviral activity of 3-substituted derivatives of 3,9-dihydro-9-oxo-5H-imidazo[1,2-a]purines, tricyclic analogues of acyclovir and ganciclovir. J. Med. Chem. 1991, 34, 2380–2383. [Google Scholar] [CrossRef] [PubMed]
- Golankiewicz, B.; Ostrowski, T.; Andrei, G.; Snoeck, R.; De Clercq, E. Tricyclic analogues of acyclovir and ganciclovir. Influence of substituents in the heterocyclic moiety on the antiviral activity. J. Med. Chem. 1994, 37, 3187–3190. [Google Scholar] [CrossRef]
- Zielenkiewicz, W.; Golankiewicz, B.; Perlovich, G.; Koźbiał, M. Aqueous Solubilities, Infinite Dilution Activity Coefficients and Octanol–Water Partition Coefficients of Tricyclic Analogs of Acyclovir. J. Chem. 1999, 28, 731–745. [Google Scholar] [CrossRef]
- Wu, W.L.; Hao, J.; Domalski, M.; Burnett, D.A.; Pissarnitski, D.; Zhao, Z.; Stamford, A.; Scapin, G.; Gao, Y.D.; Soriano, A.; et al. Discovery of Novel Tricyclic Heterocycles as Potent and Selective DPP-4 Inhibitors for the Treatment of Type 2 Diabetes. ACS Med. Chem. Lett. 2016, 7, 498–501. [Google Scholar] [CrossRef]
- Stachelska-Wierzchowska, A.; Wierzchowski, J.; Górka, M.; Bzowska, A.; Wielgus-Kutrowska, B. Tri-Cyclic Nucleobase Analogs and their Ribosides as Substrates of Purine-Nucleoside Phosphorylases. II Guanine and Isoguanine Derivatives. Molecules 2019, 24, 1493. [Google Scholar] [CrossRef]
- Krancewicz, K.; Koput, J.; Hug, G.L.; Marciniak, B.; Taras-Goslinska, K.M. Unusual photophysical properties of a new tricyclic derivative of thiopurines in terms of potential applications. Spectrochim. Acta A Mol. Biomol. Spectrosc. 2022, 281, 121620. [Google Scholar] [CrossRef] [PubMed]
- Maciejewski, A.; Steer, R.P. The photophysics, physical photochemistry, and related spectroscopy of thiocarbonyls. Chem. Rev. 1993, 93, 67–98. [Google Scholar] [CrossRef]
- Wenska, G.; Koput, J.; Burdziński, G.; Taras-Goslinska, K.; Maciejewski, A. Photophysical and photochemical properties of the T1 excited state of thioinosine. J. Photochem. Photobiol. A 2009, 206, 93–101. [Google Scholar] [CrossRef]
- Ashwood, B.; Jockusch, S.; Crespo-Hernández, C.E. Excited-State Dynamics of the Thiopurine Prodrug 6-Thioguanine: Can N9-Glycosylation Affect Its Phototoxic Activity? Molecules 2017, 22, 379. [Google Scholar] [CrossRef] [PubMed]
- Stewart, M.J.; Leszczynski, J.; Rubin, Y.V.; Blagoi, Y.P. Tautomerism of Thioguanine: From Gas Phase to DNA. J. Phys. Chem. A 1997, 101, 4753–4760. [Google Scholar] [CrossRef]
- Lapiński, L.; Nowak, M.J.; Kwiatkowski, J.S.; Leszczynski, J. Phototautomeric Reaction, Tautomerism, and Infrared Spectra of 6-Thiopurine. Experimental Matrix Isolation and Quantum-Mechanical (Conventional ab Initio and Density-Functional Theory) Studies. J. Phys. Chem. A 1999, 103, 280–288. [Google Scholar] [CrossRef]
- Arnott, J.A.; Planey, S.L. The influence of lipophilicity in drug discovery and design. Expert Opin. Drug Discov. 2012, 7, 863–875. [Google Scholar] [CrossRef]
- Daina, A.; Michielin, O.; Zoete, V. SwissADME: A free web tool to evaluate pharmacokinetics, drug-likeness and medicinal chemistry friendliness of small molecules. Sci. Rep. 2017, 7, 42717. [Google Scholar] [CrossRef]
- Shaker, B.; Ahmad, S.; Lee, J.; Jung, C.; Na, D. In silico methods and tools for drug discovery. Comput. Biol. Med. 2021, 137, 104851. [Google Scholar] [CrossRef]
- Dougall, I.G.; Unitt, J. Chapter 2-Evaluation of the Biological Activity of Compounds: Techniques and Mechanism of Action Studies. In The Practice of Medicinal Chemistry, 4th ed.; Wermuth, C.G., Aldous, D., Raboisson, P., Rognan, D., Eds.; Academic Press: San Diego, CA, USA, 2015; pp. 15–43. [Google Scholar]
- Lipinski, C.A.; Lombardo, F.; Dominy, B.W.; Feeney, P.J. Experimental and computational approaches to estimate solubility and permeability in drug discovery and development settings. Adv. Drug Deliv. Rev. 2001, 46, 3–26. [Google Scholar] [CrossRef]
- Moriguchi, I.; Hirono, S.; Liu, Q.; Nakagome, I.; Matsushita, Y. Simple Method of Calculating Octanol/Water Partition Coefficient. Chem. Pharm. Bull. 1992, 40, 127–130. [Google Scholar] [CrossRef]
- Moriguchi, I.; Hirono, S.; Nakagome, I.; Hirano, H. Comparison of Reliability of log P Values for Drugs Calculated by Several Methods. Chem. Pharm. Bull. 1994, 42, 976–978. [Google Scholar] [CrossRef]
- Filimonov, D.A.; Poroĭkov, V.V.; Karaicheva, E.I.; Kazarian, R.K.; Budunova, A.P.; Mikhaĭlovskiĭ, E.M.; Rudnitskikh, A.V.; Goncharenko, L.V.; IuV, B. The computerized prediction of the spectrum of biological activity of chemical compounds by their structural formula: The PASS system. Prediction of Activity Spectra for Substance. Eksp. Klin. Farmakol. 1995, 58, 56–62. [Google Scholar] [PubMed]
- Taras-Goślińska, K.; Burdziński, G.; Wenska, G. Relaxation of the T1 excited state of 2-thiothymine, its riboside and deoxyriboside-enhanced nonradiative decay rate induced by sugar substituent. J. Photochem. Photobiol. A 2014, 275, 89–95. [Google Scholar] [CrossRef]
- Wenska, G.; Taras-Goślińska, K.; Skalski, B.; Maciejewski, A.; Burdziński, G.; Karolczak, J. Putative phototautomerization of 4-thiouridine in the S2 excited state revealed by fluorescence study using picosecond laser spectroscopy. J. Photochem. Photobiol. A 2006, 181, 12–18. [Google Scholar] [CrossRef]
- Sharon, E.; Lévesque, S.A.; Munkonda, M.N.; Sévigny, J.; Ecke, D.; Reiser, G.; Fischer, B. Fluorescent N2,N3-epsilon-adenine nucleoside and nucleotide probes: Synthesis, spectroscopic properties, and biochemical evaluation. Chembiochem 2006, 7, 1361–1374. [Google Scholar] [CrossRef]
- Wells, B.D. The conformation of the tRNAPhe anticodon loop monitored by fluorescence. Nucleic Acids Res. 1984, 12, 2157–2170. [Google Scholar] [CrossRef]
- Eisinger, J.; Feuer, B.; Yamane, T. Luminescence and binding studies on tRNA-Phe. Proc. Natl. Acad. Sci. USA 1970, 65, 638–644. [Google Scholar] [CrossRef] [PubMed]
- Dey, J.; Warner, I.M. Dual Fluorescence of 9-(N,N-Dimethylamino)anthracene: Effect of Solvent Polarity and Viscosity. J. Phys. Chem. 1997, 101, 4872–4878. [Google Scholar] [CrossRef]
- Haidekker, M.A.; Brady, T.P.; Lichlyter, D.; Theodorakis, E. Effects of solvent polarity and solvent viscosity on the fluorescent properties of molecular rotors and related probes. Bioorg. Chem. 2005, 33, 415–425. [Google Scholar] [CrossRef]
- Yin, J.; Peng, M.; Ma, Y.; Guo, R.; Lin, W. Rational design of a lipid-droplet-polarity based fluorescent probe for potential cancer diagnosis. Chem. Commun. 2018, 54, 12093–12096. [Google Scholar] [CrossRef] [PubMed]
- Rurack, K. Fluorescence Quantum Yields: Methods of Determination and Standards. In Standardization and Quality Assurance in Fluorescence Measurements I: Techniques; Resch-Genger, U., Ed.; Springer: Berlin/Heidelberg, Germany, 2008; Volume 5, pp. 101–145. [Google Scholar] [CrossRef]
- Murli, C.; Lu, N.; Dong, Z.; Song, Y. Hydrogen bonds and conformations in ethylene glycol under pressure. J. Phys. Chem. B 2012, 116, 12574–12580. [Google Scholar] [CrossRef]
- Jordheim, L.P.; Durantel, D.; Zoulim, F.; Dumontet, C. Advances in the development of nucleoside and nucleotide analogues for cancer and viral diseases. Nat. Rev. Drug Discov. 2013, 12, 447–464. [Google Scholar] [CrossRef]
- Attard, N.R.; Karran, P. UVA photosensitization of thiopurines and skin cancer in organ transplant recipients. Photochem. Photobiol. Sci. 2012, 11, 62–68. [Google Scholar] [CrossRef]
- Sousa, P.; Estevinho, M.M.; Dias, C.C.; Ministro, P.; Kopylov, U.; Danese, S.; Peyrin-Biroulet, L.; Magro, F. Thiopurines’ Metabolites and Drug Toxicity: A Meta-Analysis. J. Clin. Med. 2020, 9, 2216. [Google Scholar] [CrossRef] [PubMed]
- Hořejší, K.; Pohl, R.; Holý, A. Tricyclic Purine Analogs Derived from 2Amino6-chloropurine and 2,6Diaminopurine and Their Methylated Quaternary Salts. Collect. Czech. Chem. Commun. 2006, 71, 77–90. [Google Scholar] [CrossRef]
- Voulgaridou, G.P.; Anestopoulos, I.; Franco, R.; Panayiotidis, M.I.; Pappa, A. DNA damage induced by endogenous aldehydes: Current state of knowledge. Mutat. Res. 2011, 711, 13–27. [Google Scholar] [CrossRef] [PubMed]
- Nair, U.; Bartsch, H.; Nair, J. Lipid peroxidation-induced DNA damage in cancer-prone inflammatory diseases: A review of published adduct types and levels in humans. Free Radic. Biol. Med. 2007, 43, 1109–1120. [Google Scholar] [CrossRef] [PubMed]
- Kasai, H.; Goto, M.; Ikeda, K.; Zama, M.; Mizuno, Y.; Takemura, S.; Matsuura, S.; Sugimoto, T.; Goto, T. Structure of wye (Yt base) and wyosine (Yt) from Torulopsis utilis phenylalanine transfer ribonucleic acid. Biochemistry 1976, 15, 898–904. [Google Scholar] [CrossRef] [PubMed]
- Sattsangi, P.D.; Leonard, N.J.; Frihart, C.R. 1,N2-ethenoguanine and N2,3-ethenoguanine. Synthesis and comparison of the electronic spectral properties of these linear and angular triheterocycles related to the Y bases. J. Org. Chem. 1977, 42, 3292–3296. [Google Scholar] [CrossRef]
- Łapucha, A.R. A Rapid and Efficient Synthesis of Sulfur Analogues of Pyrimidine Bases. Synthesis 1987, 1987, 256–258. [Google Scholar] [CrossRef]







| ACN | H2O 1 | CCl4 2 | pH = 4.0 | pH = 12.0 | pKa | |
|---|---|---|---|---|---|---|
| λAbs max/nm (εmax/M−1 cm−1) | ||||||
| TEGua | 353 (21,200) | 350 (21,800) | 364 | 352 (21,200) | 362 (13,300) | 8.6 |
| TEGuo | 355 (23,400) | 352 (23,900) | 362 | 352 (23,300) | 363 (14,600) | 8.6 |
| 6-Me-TEGua | 353 (21,300) | 350 (22,000) | 364 | 353 (21,500) | 360 (13,600) | 8.8 |
| 6-Me-TEGuo | 355 (23,400) | 352 (24,000) | 361 | 352 (23,400) | 359 (14,800) | 8.8 |
| Experimental log Po/w (pH 7.4) | Calculated log Po/w | ||
|---|---|---|---|
| 25 °C | 37 °C | Consensus log Po/w | |
| 6-Me-TEGuo | −0.61 | −0.67 | −0.44 |
| 6-Me-TEGua | 0.75 | 0.70 | 1.14 |
| TEGuo | −0.89 | −0.96 | −0.80 |
| TEGua | 0.58 | 0.52 | 0.81 |
| 6-Me-TEG | 0.80 | 0.75 | 0.93 |
| λ max/nm | ΦF | τ/ns | Solvent | |
|---|---|---|---|---|
| TEGua | 450 | 0.004 | 14.6 | ACN |
| 457 | 0.004 | 15.8 | H2O/EG 1 | |
| 486 | 0.012 | 12.6 | CCl4 | |
| TEGuo | 451 | 0.005 | 14.0 | ACN |
| 457 | 0.005 | 16.1 | H2O/EG 1 | |
| 487 | 0.014 | 16.6 | CCl4 | |
| 460 | 0.004 | 14.1 | pH = 4.0 | |
| 448 | 0.011 | 18.5 | pH = 12.0 | |
| 6-Me-TEGua | 440 | 0.006 | 14.0 | ACN |
| 454 | 0.007 | 11.6 | H2O/EG 1 | |
| 484 | 0.012 | 11.6 | CCl4 | |
| 6-Me-TEGuo | 440 | 0.006 | 14.7 | ACN |
| 455 | 0.006 | 9.4 | H2O/EG 1 | |
| 486 | 0.013 | 10.8 | CCl4 | |
| 459 | 0.005 | 11.5 | pH = 4.0 | |
| 445 | 0.012 | 13.5 | pH = 12.0 |
Disclaimer/Publisher’s Note: The statements, opinions and data contained in all publications are solely those of the individual author(s) and contributor(s) and not of MDPI and/or the editor(s). MDPI and/or the editor(s) disclaim responsibility for any injury to people or property resulting from any ideas, methods, instructions or products referred to in the content. |
© 2023 by the authors. Licensee MDPI, Basel, Switzerland. This article is an open access article distributed under the terms and conditions of the Creative Commons Attribution (CC BY) license (https://creativecommons.org/licenses/by/4.0/).
Share and Cite
Krancewicz, K.; Nowicka-Bauer, K.; Fiedorowicz, K.; Marciniak, B.; Taras-Goslinska, K. Thiopurines Analogues with Additional Ring: Synthesis, Spectroscopic Properties, and Anticancer Potency. Int. J. Mol. Sci. 2023, 24, 8990. https://doi.org/10.3390/ijms24108990
Krancewicz K, Nowicka-Bauer K, Fiedorowicz K, Marciniak B, Taras-Goslinska K. Thiopurines Analogues with Additional Ring: Synthesis, Spectroscopic Properties, and Anticancer Potency. International Journal of Molecular Sciences. 2023; 24(10):8990. https://doi.org/10.3390/ijms24108990
Chicago/Turabian StyleKrancewicz, Katarzyna, Karolina Nowicka-Bauer, Katarzyna Fiedorowicz, Bronislaw Marciniak, and Katarzyna Taras-Goslinska. 2023. "Thiopurines Analogues with Additional Ring: Synthesis, Spectroscopic Properties, and Anticancer Potency" International Journal of Molecular Sciences 24, no. 10: 8990. https://doi.org/10.3390/ijms24108990
APA StyleKrancewicz, K., Nowicka-Bauer, K., Fiedorowicz, K., Marciniak, B., & Taras-Goslinska, K. (2023). Thiopurines Analogues with Additional Ring: Synthesis, Spectroscopic Properties, and Anticancer Potency. International Journal of Molecular Sciences, 24(10), 8990. https://doi.org/10.3390/ijms24108990

