Are Genetic Modifiers the Answer to Different Responses to Hydroxyurea Treatment?—A Pharmacogenetic Study in Sickle Cell Anemia Angolan Children
Abstract
1. Introduction
2. Results
2.1. Clinical Findings
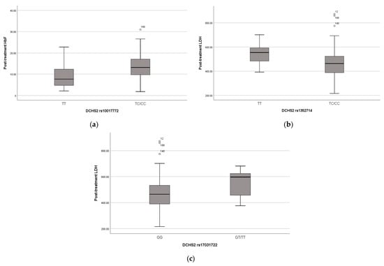
2.2. Genetic Findings
3. Discussion
4. Materials and Methods
4.1. Patient Selection
4.2. Hematological and Biochemical Analysis
4.3. Sequencing Analysis
4.4. Response to Treatment Classification
4.5. Statistical Analysis
Supplementary Materials
Author Contributions
Funding
Institutional Review Board Statement
Informed Consent Statement
Data Availability Statement
Acknowledgments
Conflicts of Interest
References
- Kato, G.J.; Piel, F.B.; Reid, C.D.; Gaston, M.H.; Ohene-Frempong, K.; Krishnamurti, L.; Smith, W.R.; Panepinto, J.A.; Weatherall, D.J.; Costa, F.F.; et al. Sickle Cell Disease. Nat. Rev. Dis. Prim. 2018, 4, 18010. [Google Scholar] [CrossRef] [PubMed]
- Chang, A.K.; Ginter Summarell, C.C.; Birdie, P.T.; Sheehan, V.A. Genetic Modifiers of Severity in Sickle Cell Disease. Clin. Hemorheol. Microcirc. 2018, 68, 147–164. [Google Scholar] [CrossRef] [PubMed]
- Mcgann, P.T.; Ferris, M.G.; Ramamurthy, U.; Santos, B.; de Oliveira, V.; Bernardino, L.; Ware, R.E. A Prospective Newborn Screening and Treatment Program for Sickle Cell Anemia in Luanda, Angola. Am. J. Hematol. 2013, 88, 984–989. [Google Scholar] [CrossRef] [PubMed]
- Lettre, G.; Bauer, D.E. Fetal Haemoglobin in Sickle-Cell Disease: From Genetic Epidemiology to New Therapeutic Strategies. Lancet 2016, 387, 2554–2564. [Google Scholar] [CrossRef] [PubMed]
- Menzel, S.; Thein, S.L. Genetic Modifiers of Fetal Haemoglobin in Sickle Cell Disease. Mol. Diagn. Ther. 2019, 23, 235–244. [Google Scholar] [CrossRef]
- Salinas Cisneros, G.; Thein, S.L. Research in Sickle Cell Disease: From Bedside to Bench to Bedside. HemaSphere 2021, 5, e584. [Google Scholar] [CrossRef]
- Ali, M.A.; Ahmad, A.; Chaudry, H.; Aiman, W.; Aamir, S.; Anwar, M.Y.; Khan, A. Efficacy and Safety of Recently Approved Drugs for Sickle Cell Disease: A Review of Clinical Trials. Exp. Hematol. 2020, 92, 11–18. [Google Scholar] [CrossRef]
- Karamperis, K.; Tsoumpeli, M.T.; Kounelis, F.; Koromina, M.; Mitropoulou, C.; Moutinho, C.; Patrinos, G.P. Genome-Based Therapeutic Interventions for β-Type Hemoglobinopathies. Hum. Genom. 2021, 15, 32. [Google Scholar] [CrossRef]
- Rigano, P.; De Franceschi, L.; Sainati, L.; Piga, A.; Piel, F.B.; Cappellini, M.D.; Fidone, C.; Masera, N.; Palazzi, G.; Gianesin, B.; et al. Real-Life Experience with Hydroxyurea in Sickle Cell Disease: A Multicenter Study in a Cohort of Patients with Heterogeneous Descent. Blood Cells Mol. Dis. 2018, 69, 82–89. [Google Scholar] [CrossRef]
- Gambero, S.; Canalli, A.A.; Traina, F.; Albuquerque, D.M.; Saad, S.T.O.; Costa, F.F.; Conran, N. Therapy with Hydroxyurea Is Associated with Reduced Adhesion Molecule Gene and Protein Expression in Sickle Red Cells with a Concomitant Reduction in Adhesive Properties. Eur. J. Haematol. 2007, 78, 144–151. [Google Scholar] [CrossRef]
- Ribeiro, P.R.; Teixeira, R.D.S.; Souza, A.R.; Pereira, T.C.S.; Boffo, E.F.; Carosio, M.G.A.; Ferreira, A.G.; Oliveira, R.V.; Rodrigues, L.E.A.; Silva, J.d.J.; et al. Blood Plasma Metabolomics of Children and Adolescents with Sickle Cell Anaemia Treated with Hydroxycarbamide: A New Tool for Uncovering Biochemical Alterations. Br. J. Haematol. 2021, 192, 922–931. [Google Scholar] [CrossRef] [PubMed]
- Ware, R.; Despotovic, J.; Mortier, N.; Flanagan, J.; He, J.; Smeltzer, M.; Kimble, A.; Aygun, B.; Wu, S.; Howard, T.; et al. Pharmacokinetics, Pharmacodynamics, and Pharmacogenetics of Hydroxyurea Treatment for Children with Sickle Cell Anemia. Blood 2011, 118, 4985–4991. [Google Scholar] [CrossRef] [PubMed]
- Husain, M.; Hartman, A.D.; Desai, P. Pharmacogenomics of Sickle Cell Disease: Steps toward Personalized Medicine. Pharm. Pers. Med. 2017, 10, 261–265. [Google Scholar] [CrossRef] [PubMed]
- Ma, Q.; Wyszynski, D.F.; Farrell, J.J.; Kutlar, A.; Farrer, L.A.; Baldwin, C.T.; Steinberg, M.H. Fetal Hemoglobin in Sickle Cell Anemia: Genetic Determinants of Response to Hydroxyurea. Pharm. J. 2007, 7, 386–394. [Google Scholar] [CrossRef]
- Höng, J.C.; Ivanov, N.V.; Hodor, P.; Xia, M.; Wei, N.; Blevins, R.; Gerhold, D.; Borodovsky, M.; Liu, Y. Identification of New Human Cadherin Genes Using a Combination of Protein Motif Search and Gene Finding Methods. J. Mol. Biol. 2004, 337, 307–317. [Google Scholar] [CrossRef]
- Sheehan, V.A.; Crosby, J.R.; Sabo, A.; Mortier, N.A.; Howard, T.A.; Muzny, D.M.; Dugan-Perez, S.; Aygun, B.; Nottage, K.A.; Boerwinkle, E.; et al. Whole Exome Sequencing Identifies Novel Genes for Fetal Hemoglobin Response to Hydroxyurea in Children with Sickle Cell Anemia. PLoS ONE 2014, 9, e110740. [Google Scholar] [CrossRef]
- Ikegami, K.; Setou, M. TTLL10 Can Perform Tubulin Glycylation When Co-Expressed with TTLL8. FEBS Lett. 2009, 583, 1957–1963. [Google Scholar] [CrossRef]
- Vetrini, F.; D’Alessandro, L.C.A.; Akdemir, Z.C.; Braxton, A.; Azamian, M.S.; Eldomery, M.K.; Miller, K.; Kois, C.; Sack, V.; Shur, N.; et al. Bi-Allelic Mutations in PKD1L1 Are Associated with Laterality Defects in Humans. Am. J. Hum. Genet. 2016, 99, 886–893. [Google Scholar] [CrossRef]
- Peck, J.W.; Oberst, M.; Bouker, K.B.; Bowden, E.; Burbelo, P.D. The RhoA-Binding Protein, Rhophilin-2, Regulates Actin Cytoskeleton Organization. J. Biol. Chem. 2002, 277, 43924–43932. [Google Scholar] [CrossRef]
- Felipe-Abrio, B.; Carnero, A. The Tumor Suppressor Roles of MYBBP1A, a Major Contributor to Metabolism Plasticity and Stemness. Cancers 2020, 12, 254. [Google Scholar] [CrossRef]
- Tafrali, C.; Paizi, A.; Borg, J.; Radmilovic, M.; Bartsakoulia, M.; Giannopoulou, E.; Giannakopoulou, O.; Stojiljkovic-Petrovic, M.; Zukic, B.; Poulas, K.; et al. Genomic Variation in the MAP3K5 Gene Is Associated with β-Thalassemia Disease Severity and Hydroxyurea Treatment Efficacy. Pharmacogenomics 2013, 14, 469–483. [Google Scholar] [CrossRef]
- Kolliopoulou, A.; Siamoglou, S.; John, A.; Sgourou, A.; Kourakli, A.; Symeonidis, A.; Vlachaki, E.; Chalkia, P.; Theodoridou, S.; Ali, B.R.; et al. Role of Genomic Biomarkers in Increasing Fetal Hemoglobin Levels Upon Hydroxyurea Therapy and in β-Thalassemia Intermedia: A Validation Cohort Study. Hemoglobin 2019, 43, 27–33. [Google Scholar] [CrossRef] [PubMed]
- Italia, K.Y.; Jijina, F.F.; Jain, D.; Merchant, R.; Nadkarni, A.H.; Mukherjee, M.; Ghosh, K.; Colah, R.B. The Effect of UGT1A1 Promoter Polymorphism on Bilirubin Response to Hydroxyurea Therapy in Hemoglobinopathies. Clin. Biochem. 2010, 43, 1329–1332. [Google Scholar] [CrossRef] [PubMed]
- Sheehan, V.A.; Luo, Z.; Flanagan, J.M.; Howard, T.A.; Thompson, B.W.; Wang, W.C.; Kutlar, A.; Ware, R.E. Genetic Modifiers of Sickle Cell Anemia in the Baby Hug Cohort: Influence on Laboratory and Clinical Phenotypes. Am. J. Hematol. 2013, 88, 571–576. [Google Scholar] [CrossRef] [PubMed]
- Batista, J.V.G.F.; Arcanjo, G.S.; Batista, T.H.C.; Sobreira, M.J.; Santana, R.M.; Domingos, I.F.; Hatzlhofer, B.L.; Falcão, D.A.; Pereira-Martins, D.A.; Oliveira, J.M.; et al. Influence of UGT1A1 Promoter Polymorphism, α-Thalassemia and Βs Haplotype in Bilirubin Levels and Cholelithiasis in a Large Sickle Cell Anemia Cohort. Ann. Hematol. 2021, 100, 903–911. [Google Scholar] [CrossRef]
- Solovieff, N.; Milton, J.N.; Hartley, S.W.; Sherva, R.; Sebastiani, P.; Dworkis, D.A.; Klings, E.S.; Farrer, L.A.; Garrett, M.E.; Ashley-Koch, A.; et al. Fetal Hemoglobin in Sickle Cell Anemia: Genome-Wide Association Studies Suggest a Regulatory Region in the 5′ Olfactory Receptor Gene Cluster. Blood 2010, 115, 1815–1822. [Google Scholar] [CrossRef]
- Yahouédéhou, S.C.M.A.; Adorno, E.V.; da Guarda, C.C.; Ndidi, U.S.; Carvalho, S.P.; Santiago, R.P.; Aleluia, M.M.; de Oliveira, R.M.; de Souza Gonçalves, M. Hydroxyurea in the Management of Sickle Cell Disease: Pharmacogenomics and Enzymatic Metabolism. Pharm. J. 2018, 18, 730–739. [Google Scholar] [CrossRef]
- Cobos, E.; Recalde, S.; Anter, J.; Hernandez-Sanchez, M.; Barreales, C.; Olavarrieta, L.; Valverde, A.; Suarez-Figueroa, M.; Cruz, F.; Abraldes, M.; et al. Association between CFH, CFB, ARMS2, SERPINF1, VEGFR1 and VEGF Polymorphisms and Anatomical and Functional Response to Ranibizumab Treatment in Neovascular Age-Related Macular Degeneration. Acta Ophthalmol. 2018, 96, e201–e212. [Google Scholar] [CrossRef]
- Blánquez-Martínez, D.; Díaz-Villamarín, X.; García-Rodríguez, S.; Antúnez-Rodríguez, A.; Pozo-Agundo, A.; Martínez-González, L.J.; Muñoz-ávila, J.I.; Dávila-Fajardo, C.L. Genetic Polymorphisms in VEGFR Coding Genes (FLT1/KDR) on Ranibizumab Response in High Myopia and Choroidal Neovascularization Patients. Pharmaceutics 2022, 14, 1555. [Google Scholar] [CrossRef]
- Su, G.; Wang, W.; Xu, L.; Li, G. Progress of EGFL6 in Angiogenesis and Tumor Development. Int. J. Clin. Exp. Pathol. 2022, 15, 436–443. [Google Scholar]
- Wu, Y.; Fang, F.; Wang, Z.; Wen, P.; Fan, J. The Influence of Recipient SLCO1B1 Rs2291075 Polymorphism on Tacrolimus Dose–Corrected Trough Concentration in the Early Period after Liver Transplantation. Eur. J. Clin. Pharmacol. 2021, 77, 859–867. [Google Scholar] [CrossRef] [PubMed]
- Drenberg, C.; Paugh, S.; Pounds, S.; Shi, L.; Orwick, S.; Li, L.; Hu, S.; Gibson, A.; Ribeiro, R.; Rubnitz, J.; et al. Inherited Variation in OATP1B1 Is Associated with Treatment Outcome in Acute Myeloid Leukemia. Clin. Pharmacol. Ther. 2016, 99, 651–660. [Google Scholar] [CrossRef] [PubMed]
- Walker, A.; Franke, R.; Sparreboom, A.; Ware, R. Transcellular Movement of Hydroxyurea Is Mediated by Specific Solute Carrier Transporters. Exp. Hematol. 2011, 39, 446–456. [Google Scholar] [CrossRef]
- Yahouédéhou, S.C.M.A.; Neres, J.S.D.S.; da Guarda, C.C.; Carvalho, S.P.; Santiago, R.P.; Figueiredo, C.V.B.; Fiuza, L.M.; Ndidi, U.S.; de Oliveira, R.M.; Fonseca, C.A.; et al. Sickle Cell Anemia: Variants in the CYP2D6, CAT, and SLC14A1 Genes Are Associated With Improved Hydroxyurea Response. Front. Pharmacol. 2020, 11, 553064. [Google Scholar] [CrossRef] [PubMed]
- Chalikiopoulou, C.; Tavianatou, A.-G.; Sgourou, A.; Kourakli, A.; Kelepouri, D.; Chrysanthakopoulou, M.; Kanelaki, V.-K.; Mourdoukoutas, E.; Siamoglou, S.; John, A.; et al. Genomic Variants in the ASS1 Gene, Involved in the Nitric Oxide Biosynthesis and Signaling Pathway, Predict Hydroxyurea Treatment Efficacy in Compound Sickle Cell Disease/β-Thalassemia Patients. Pharmacogenomics 2016, 17, 393–403. [Google Scholar] [CrossRef] [PubMed]
- Chand, A.R.; Xu, H.; Wells, L.G.; Clair, B.; Neunert, C.; Spellman, A.E.; Clay, L.J.; Natrajan, K.; Kutlar, A. Are There True Non-Responders to Hydroxyurea in Sickle Cell Disease? A Multiparameter Analysis. Blood 2014, 124, 4073. [Google Scholar] [CrossRef]


| Patients on HU for 12 Months (n = 138) | Non-/Poor Responders (n = 50) | Responders (n = 81) | |||||||
|---|---|---|---|---|---|---|---|---|---|
| Pre-Treatment | Post-Treatment | p-Value | Pre-Treatment | Post-Treatment | p-Value | Pre-Treatment | Post-Treatment | p-Value | |
| Fetal hemoglobin (%) | 5.96 ± 3.93 | 12.22 ± 6.03 | <0.001 | 4.68 ± 3.87 | 7.26 ± 3.65 | <0.001 | 6.63 ± 3.81 | 15.57 ± 4.92 | <0.001 |
| Total hemoglobin (g/dL) | 7.46 ± 0.90 | 7.99 ± 0.97 | <0.001 | 7.13 ± 0.97 | 7.53 ± 0.92 | <0.001 | 7.61 ± 0.76 | 8.27 ± 0.89 | <0.001 |
| RBC (1012/L) | 2.99 ± 0.60 | 2.83 ± 0.52 | <0.001 | 2.87 ± 0.62 | 2.73 ± 0.52 | 0.005 | 3.04 ± 0.54 | 2.88 ± 0.52 | <0.001 |
| MCV (fL) | 76.86 ± 7.69 | 85.07 ± 9.01 | <0.001 | 76.93 ± 7.23 | 83.67 ± 7.57 | <0.001 | 76.77 ± 7.85 | 86.29 ± 9.47 | <0.001 |
| MCH (pg) | 25.42 ± 2.91 | 28.88 ± 3.50 | <0.001 | 25.31 ± 2.84 | 28.16 ± 2.96 | <0.001 | 25.43 ± 2.90 | 29.48 ± 3.62 | <0.001 |
| WBC (109/L) | 13.46 ± 3.81 | 9.87 ± 2.36 | <0.001 | 13.39 ± 4.11 | 10.45 ± 2.21 | <0.001 | 13.70 ± 3.62 | 9.49 ± 2.44 | <0.001 |
| Neutrophils (109/L) | 5.70 ± 1.90 | 4.18 ± 1.21 | <0.001 | 5.73 ± 1.94 | 4.53 ± 1.15 | <0.001 | 6.74 ± 1.89 | 3.95 ± 1.24 | <0.001 |
| Platelets (109/L) | 447.63 ± 173.51 | 404.96 ± 121.77 | <0.001 | 433.06 ± 164.36 | 416.99 ± 111.98 | 0.37 | 456.98 ± 182.8 | 393.47 ± 123.14 | <0.001 |
| Reticulocytes (%) | 9.87 ± 3.75 | 6.85 ± 2.82 | <0.001 | 10.07 ± 3.44 | 7.67 ± 3.01 | <0.001 | 9.80 ± 3.94 | 6.33 ± 2.65 | <0.001 |
| Creatinine (mg/dL) | 0.51 ± 0.60 | 0.43 ± 0.18 | 0.109 | 0.54 ± 0.64 | 0.42 ± 0.20 | 0.184 | 0.50 ± 0.60 | 0.44 ± 0.17 | 0.299 |
| LDH (U/L) | 484.82 ± 184.32 | 476.32 ± 116.41 | 0.597 | 520.83 ± 202.73 | 491.30 ± 120.02 | 0.313 | 458.18 ± 172.84 | 467.91 ± 116.85 | 0.632 |
| Urea (mg/dL) | 30.79 ± 18.55 | 33.19 ± 9.58 | 0.146 | 34.90 ± 18.12 | 34.65 ± 10.74 | 0.978 | 28.08 ± 18.31 | 31.96 ± 7.63 | 0.062 |
| Direct Bilirubin (mg/dL) | 0.55 ± 0.91 | 0.57 ± 0.27 | 0.821 | 0.75 ± 1.29 | 0.50 ± 0.18 | 0.176 | 0.45 ± 0.59 | 0.58 ± 0.28 | 0.048 |
| Total Bilirubin (mg/dL) | 1.38 ± 1.44 | 1.05 ± 0.51 | 0.008 | 1.35 ± 1.44 | 1.17 ± 0.58 | 0.374 | 1.36 ± 1.44 | 0.92 ± 0.37 | 0.01 |
| AST (U/L) | 34.12 ± 16.41 | 35.92 ± 22.99 | 0.447 | 34.41 ± 16.20 | 34.64 ± 11.15 | 0.925 | 33.31 ± 16.81 | 36.63 ± 28.65 | 0.368 |
| ALT (U/L) | 11.08 ± 9.72 | 18.10 ± 28.62 | 0.006 | 11.15 ± 8.52 | 15.07 ± 5.83 | <0.001 | 11.00 ± 10.54 | 20.11 ± 37.03 | 0.036 |
| Transfusions/year | 0.39 ± 0.53 | 0.14 ± 0.57 | <0.001 | 0.53 ± 0.74 | 0.24 ± 0.85 | 0.044 | 0.30 ± 0.33 | 0.04 ± 0.19 | <0.001 |
| Hospitalizations/year | 0.47 ± 0.48 | 0.16 ± 0.47 | <0.001 | 0.57 ± 0.57 | 0.16 ± 0.42 | <0.001 | 0.42 ± 0.41 | 0.10 ± 0.34 | <0.001 |
| Chr | Gene | SNP | Variant | Consequence | p-Value * | p-Value ** | Model |
|---|---|---|---|---|---|---|---|
| 1 | TTLL10 | rs57556493 | C > T | synonymous variant | 0.025 | 1 | dominant |
| 2 | ETAA1 | rs10209114 | C > T | synonymous variant | 0.002 | 1 | dominant |
| 2 | UGT1A1 | rs28900406 | C > T | synonymous variant | 0.020 | 1 | dominant |
| 4 | DCHS2 | rs10017772 | T > C | missense variant | <0.001 | 0.045 | dominant |
| 4 | DCHS2 | rs12500437 | G > T | missense variant | 0.023 | 1 | dominant |
| 4 | DCHS2 | rs13109747 | C > T | synonymous variant | 0.023 | 1 | dominant |
| 4 | DCHS2 | rs140019361 | TTTTG > T | frameshift variant | 0.023 | 1 | dominant |
| 4 | DCHS2 | rs79295524 | G > C | missense variant | 0.027 | 1 | recessive |
| 6 | MAP3K5 | rs9389412 | T > C | synonymous variant | 0.043 | 1 | dominant |
| 7 | NOS3 | rs3918211 | T > C | synonymous variant | 0.014 | 1 | dominant |
| 7 | PKD1L1 | rs885337 | A > G | synonymous variant | 0.032 | 1 | recessive |
| 9 | ASS1 | rs62637575 | A > G | missense variant | 0.020 | 1 | dominant |
| 10 | DOCK1 | rs2229599 | C > T | synonymous variant | 0.020 | 1 | dominant |
| 11 | OR51B5 | rs12273630 | C > T | missense variant | 0.040 | 1 | dominant |
| 11 | OR51B5 | rs57273781 | G > T | missense variant | 0.040 | 1 | dominant |
| 11 | OR51B5 | rs57900141 | T > C | missense variant | 0.040 | 1 | dominant |
| 11 | OR51B5 | rs58233587 | G > A | synonymous variant | 0.040 | 1 | dominant |
| 11 | OR51B5 | rs61738485 | C > T | synonymous variant | 0.040 | 1 | dominant |
| 12 | SLCO1B1 | rs2291075 | C > T | synonymous variant | 0.036 | 1 | recessive |
| 13 | FLT1 | rs7993418 | G > G/A | synonymous variant | 0.048 | 1 | dominant |
| 14 | EML1 | rs34198557 | C > T | missense variant | 0.030 | 1 | recessive |
| 17 | MYBBP1A | rs73972683 | C > T | missense variant | 0.042 | 1 | dominant |
| 17 | MYBBP1A | rs78578064 | T > C | missense variant | 0.025 | 1 | dominant |
| 17 | MYBBP1A | rs899441 | T > C | missense variant | 0.021 | 1 | dominant |
| 17 | NOS2 | rs16966563 | T > C | synonymous variant | 0.007 | 1 | dominant |
| 17 | NOS2 | rs3730017 | G > A | missense variant | 0.019 | 1 | dominant |
| 18 | SLC14A1 | rs1058396 | G > A | missense variant | 0.028 | 1 | dominant |
| 19 | RHPN2 | rs28626308 | C > T | missense variant | 0.044 | 1 | dominant |
| X | EGFL6 | rs16979010 | G > A | missense variant | 0.020 | 1 | recessive |
| X | EGFL6 | rs16979033 | G > A | missense variant | 0.005 | 1 | recessive |
Disclaimer/Publisher’s Note: The statements, opinions and data contained in all publications are solely those of the individual author(s) and contributor(s) and not of MDPI and/or the editor(s). MDPI and/or the editor(s) disclaim responsibility for any injury to people or property resulting from any ideas, methods, instructions or products referred to in the content. |
© 2023 by the authors. Licensee MDPI, Basel, Switzerland. This article is an open access article distributed under the terms and conditions of the Creative Commons Attribution (CC BY) license (https://creativecommons.org/licenses/by/4.0/).
Share and Cite
Ginete, C.; Delgadinho, M.; Santos, B.; Pinto, V.; Silva, C.; Miranda, A.; Brito, M. Are Genetic Modifiers the Answer to Different Responses to Hydroxyurea Treatment?—A Pharmacogenetic Study in Sickle Cell Anemia Angolan Children. Int. J. Mol. Sci. 2023, 24, 8792. https://doi.org/10.3390/ijms24108792
Ginete C, Delgadinho M, Santos B, Pinto V, Silva C, Miranda A, Brito M. Are Genetic Modifiers the Answer to Different Responses to Hydroxyurea Treatment?—A Pharmacogenetic Study in Sickle Cell Anemia Angolan Children. International Journal of Molecular Sciences. 2023; 24(10):8792. https://doi.org/10.3390/ijms24108792
Chicago/Turabian StyleGinete, Catarina, Mariana Delgadinho, Brígida Santos, Vera Pinto, Carina Silva, Armandina Miranda, and Miguel Brito. 2023. "Are Genetic Modifiers the Answer to Different Responses to Hydroxyurea Treatment?—A Pharmacogenetic Study in Sickle Cell Anemia Angolan Children" International Journal of Molecular Sciences 24, no. 10: 8792. https://doi.org/10.3390/ijms24108792
APA StyleGinete, C., Delgadinho, M., Santos, B., Pinto, V., Silva, C., Miranda, A., & Brito, M. (2023). Are Genetic Modifiers the Answer to Different Responses to Hydroxyurea Treatment?—A Pharmacogenetic Study in Sickle Cell Anemia Angolan Children. International Journal of Molecular Sciences, 24(10), 8792. https://doi.org/10.3390/ijms24108792

