Ozone Therapy versus Hyaluronic Acid Injections for Pain Relief in Patients with Knee Osteoarthritis: Preliminary Findings on Molecular and Clinical Outcomes from a Randomized Controlled Trial
Abstract
1. Introduction
2. Results
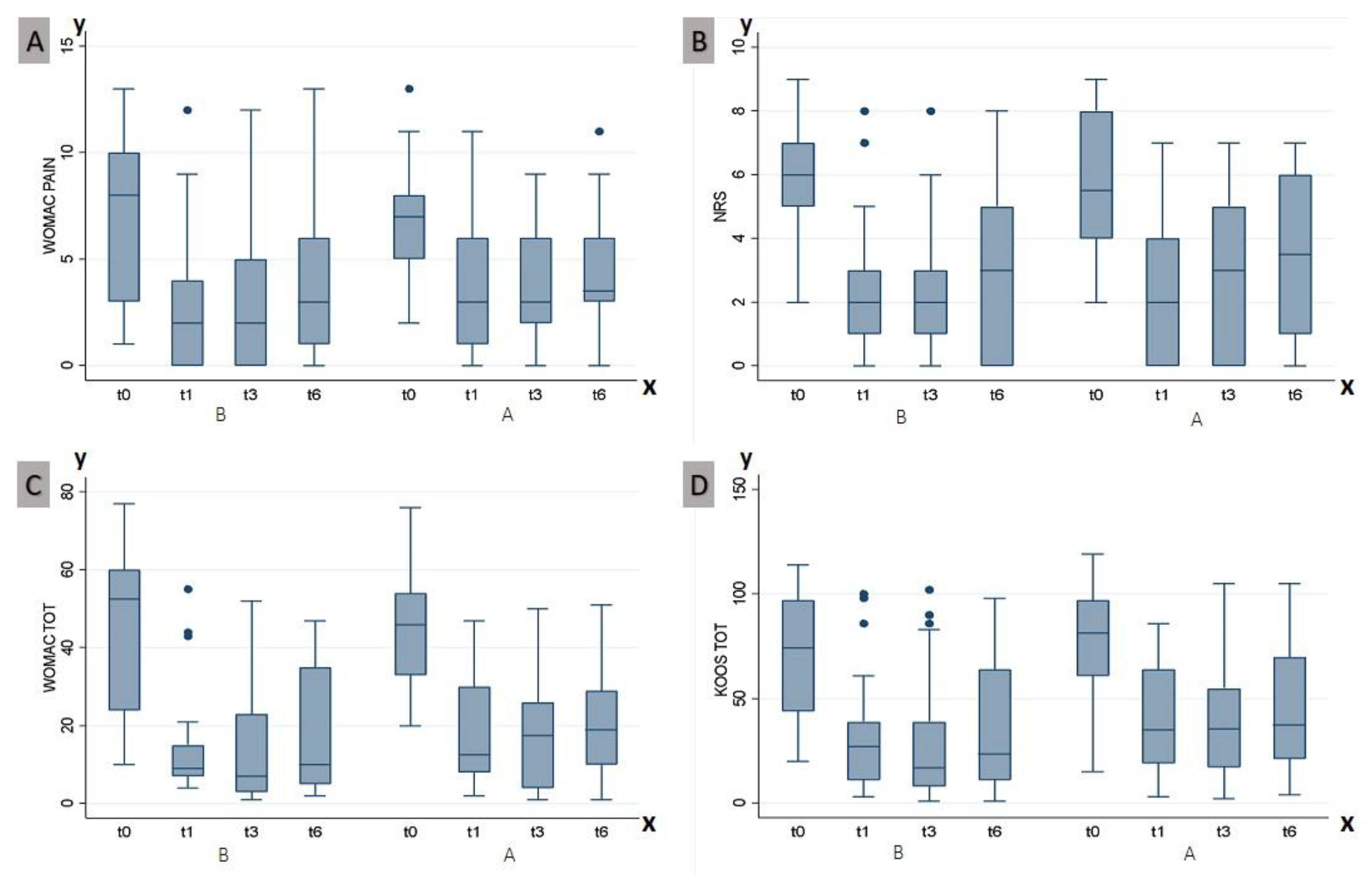
2.1. Western Ontario and McMaster Universities Osteoarthritis Index Pain Subscore
2.2. Numeric Rating Scale
2.3. Western Ontario and McMaster Universities Osteoarthritis Index Questionnaire
2.4. Knee Injury and Osteoarthritis Outcome Score
2.5. Safety
3. Discussion
4. Materials and Methods
4.1. Participants
4.2. Study Design
4.3. Intervention
4.3.1. Ozone Therapy
4.3.2. Hyaluronic Acid Infiltrations
4.4. Outcome Measures
4.5. Statistical Analysis
5. Conclusions
Supplementary Materials
Author Contributions
Funding
Institutional Review Board Statement
Informed Consent Statement
Data Availability Statement
Conflicts of Interest
References
- Neogi, T. The epidemiology and impact of pain in osteoarthritis. Osteoarthr. Cartil. 2013, 21, 1145–1153. [Google Scholar] [CrossRef] [PubMed]
- Sharma, L. Osteoarthritis of the Knee. N. Engl. J. Med. 2021, 384, 51–59. [Google Scholar] [CrossRef] [PubMed]
- Hawker, G.A.; King, L.K. The Burden of Osteoarthritis in Older Adults. Clin. Geriatr. Med. 2022, 36, 181–192. [Google Scholar] [CrossRef] [PubMed]
- Cui, A.; Li, H.; Wang, D.; Zhong, J.; Chen, Y.; Lu, H. Global, regional prevalence, incidence and risk factors of knee osteoarthritis in population-based studies. EClinicalMedicine 2020, 29–30, 100587. [Google Scholar] [CrossRef]
- Callahan, L.F.; Cleveland, R.J.; Allen, K.D.; Golightly, Y.M. Racial ethnic, socioeconomic and geographic disparities in hip and knee osteoarthritis. Rheum. Dis. Clin. 2021, 47, 1–20. [Google Scholar] [CrossRef]
- Tschon, M.; Contartese, D.; Pagani, S.; Borsari, V.; Fini, M. Gender and Sex Are Key Determinants in Osteoarthritis Not Only Confounding Variables. A Systematic Review of Clinical Data. J. Clin. Med. 2021, 10, 3178. [Google Scholar] [CrossRef]
- Ryd, L.; Brittberg, M.; Eriksson, K.; Eriksson, K.; Jurvelin, J.S.; Lindahl, A.; Marlovits, S.; Möller, P.; Richardson, J.B.; Steinwachs, M.; et al. Pre-osteoarthritis: Definition and diagnosis of an elusive clinical entity. Cartilage 2015, 6, 156–165. [Google Scholar] [CrossRef]
- Vitaloni, M.; Botto-van Bemden, A.; Sciortino Contreras, R.M.; Scotton, D.; Bibas, M.; Quintero, M.; Monfort, J.; Carné, X.; de Abajo, F.; Oswald, E.; et al. Global management of patients with knee osteoarthritis begins with quality of life assessment: A systematic review. BMC Musculoskelet. Disord. 2019, 20, 493. [Google Scholar] [CrossRef]
- Cross, M.; Smith, E.; Hoy, D.; Nolte, S.; Ackerman, I.; Fransen, M.; Bridgett, L.; Williams, S.; Guillemin, F.; Hill, C.L.; et al. The global burden of hip and knee osteoarthritis: Estimates from the global burden of disease 2010 study. Ann. Rheum. Dis. 2014, 73, 1323–1330. [Google Scholar] [CrossRef]
- Liu-Bryan, R.; Terkeltaub, R. Emerging regulators of the inflammatory process in osteoarthritis. Nat. Rev. Rheumatol. 2015, 11, 35–44. [Google Scholar] [CrossRef]
- Iolascon, G.; Gimigliano, F.; Moretti, A.; de Sire, A.; Migliore, M.; Brandi, M.L.; Piscitelli, P. Early osteoarthritis: How to define, diagnose, and manage. A systematic review. Eur. Geriatr. Med. 2017, 8, 383–396. [Google Scholar] [CrossRef]
- Goldring, M.B.; Otero, M.; Plumb, D.A.; Plumb, D.A.; Dragomir, C.; Favero, M.; El Hachem, K.; Hashimoto, K.; Roach, H.I.; Olivotto, E.; et al. Roles of inflammatory and anabolic cytokines in cartilage metabolism: Signals and multiple effectors converge upon MMP-13 regulation in osteoarthritis. Eur. Cell. Mater. 2011, 21, 202–220. [Google Scholar] [CrossRef] [PubMed]
- de Sire, A.; Marotta, N.; Ferrillo, M.; Agostini, F.; Sconza, C.; Lippi, L.; Respizzi, S.; Giudice, A.; Invernizzi, M.; Ammendolia, A. Oxygen-Ozone Therapy for Reducing Pro-Inflammatory Cytokines Serum Levels in Musculoskeletal and Temporomandibular Disorders: A Comprehensive Review. Int. J. Mol. Sci. 2022, 23, 2528. [Google Scholar] [CrossRef]
- de Sire, A.; Baricich, A.; Minetto, M.A.; Cisari, C.; Invernizzi, M. Low back pain related to a sacral insufficiency fracture: Role of paravertebral oxygen-ozone therapy in a paradigmatic case of nociplastic pain. Funct. Neurol. 2019, 34, 119–122. [Google Scholar]
- Allaeys, C.; Arnout, N.; Van Onsem, S.; Govaers, K.; Victor, J. Conservative treatment of knee osteoarthritis. Acta Orthop. Belg. 2020, 86, 412–421. [Google Scholar] [PubMed]
- Brophy, R.H.; Fillingham, Y.A. AAOS Clinical Practice Guideline Summary: Management of Osteoarthritis of the Knee (Nonarthroplasty), Third Edition. J. Am. Acad. Orthop. Surg. 2022, 30, e721–e729. [Google Scholar] [CrossRef]
- Rabini, A.; de Sire, A.; Marzetti, E.; Gimigliano, R.; Ferriero, G.; Piazzini, D.B.; Iolascon, G.; Gimigliano, F. Effects of focal muscle vibration on physical functioning in patients with knee osteoarthritis: A randomized controlled trial. Eur. J. Phys. Rehabil. Med. 2015, 51, 513–520. [Google Scholar]
- Di Matteo, B.; Tarabella, V.; Filardo, G.; Viganò, A.; Tomba, P.; Marcacci, M. Thomas Annandale: The first meniscus repair. Knee Surg. Sports Traumatol. Arthrosc. 2013, 21, 1963–1966. [Google Scholar] [CrossRef]
- Levy, D.M.; Petersen, K.A.; Scalley Vaught, M.; Christian, D.R.; Cole, B.J. Injections for knee osteoarthritis: Corticosteroids, viscosupplementation, platelet-rich plasma, and autologous stem cells. Arthroscopy 2018, 34, 1730–1743. [Google Scholar] [CrossRef]
- Sconza, C.; Leonardi, G.; Carfì, C.; Kon, E.; Respizzi, S.; Scaturro, D.; Letizia Mauro, G.; Massazza, G.; Di Matteo, B. Intra-Articular Injection of Botulinum Toxin for the Treatment of Knee Osteoarthritis: A Systematic Review of Randomized Controlled Trials. Int. J. Mol. Sci. 2023, 24, 1486. [Google Scholar] [CrossRef]
- Emami, A.; Tepper, J.; Short, B.; Yaksh, T.L.; Bendele, A.M.; Ramani, T.; Cisternas, A.F.; Chang, J.H.; Mellon, R.D. Toxicology Evaluation of Drugs Administered via Uncommon Routes: Intranasal, Intraocular, Intrathecal/Intraspinal, and Intra-Articular. Int. J. Toxicol. 2018, 37, 4–27. [Google Scholar] [CrossRef]
- Evans, C.H.; Kraus, V.B.; Setton, L.A. Progress in intra-articular therapy. Nat. Rev. Rheumatol. 2014, 10, 11–22. [Google Scholar] [CrossRef] [PubMed]
- Miller, L.E.; Block, J.E. US-Approved Intra-Articular Hyaluronic Acid Injections are Safe and Effective in Patients with Knee Osteoarthritis: Systematic Review and Meta-Analysis of Randomized, SalineControlled Trials. Clin. Med. Insights Arthritis Musculoskelet. Disord. 2013, 6, 57–63. [Google Scholar] [CrossRef] [PubMed]
- Altman, R.D.; Manjoo, A.; Fierlinger, A.; Niazi, F.; Nicholls, M. The mechanism of action for hyaluronic acid treatment in the osteoarthritic knee: A systematic review. BMC Musculoskelet. Disord. 2015, 16, 321. [Google Scholar] [CrossRef] [PubMed]
- Campo, G.M.; Avenoso, A.; D’Ascola, A.; Prestipino, V.; Scuruchi, M.; Nastasi, G.; Calatroni, A.; Campo, S. Inhibition of hyaluronan synthesis reduced inflammatory response in mouse synovial fibroblasts subjected to collagen-induced arthritis. Arch. Biochem. Biophys. 2012, 518, 42–52. [Google Scholar] [CrossRef]
- Zhai, P.; Peng, X.; Li, B.; Liu, Y.; Sun, H.; Li, X. The application of hyaluronic acid in bone regeneration. Int. J. Biol. Macromol. 2020, 151, 1224–1239. [Google Scholar] [CrossRef]
- Roccuzzo, A.; Molinero-Mourelle, P.; Ferrillo, M.; Cobo-Vázquez, C.; Sanchez-Labrador, L.; Ammendolia, A.; Migliario, M.; de Sire, A. Type I Collagen-Based Devices to Treat Nerve Injuries after Oral Surgery Procedures. Appl. Sci. 2021, 11, 3927. [Google Scholar] [CrossRef]
- García-Coronado, J.M.; Martínez-Olvera, L.; Elizondo-Omaña, R.E.; Acosta-Olivo, C.A.; Vilchez-Cavazos, F.; Simental-Mendía, L.E.; Simental-Mendía, M. Effect of collagen supplementation on osteoarthritis symptoms: A meta-analysis of randomized placebo-controlled trials. Int. Orthop. 2019, 43, 531–538. [Google Scholar] [CrossRef]
- Kawano, M.; Ariyoshi, W.; Iwanaga, K.; Okinaga, T.; Habu, M.; Yoshioka, I.; Tominaga, K.; Nishihara, T. Mechanism involved in enhancement of osteoblast differentiation by hyaluronic acid. Biochem. Biophys. Res. Commun. 2011, 405, 575–580. [Google Scholar] [CrossRef]
- Hemshekhar, M.; Thushara, R.M.; Chandranayaka, S.; Sherman, L.S.; Kemparaju, K.; Girish, K.S. Emerging roles of hyaluronic acid bioscaffolds in tissue engineering and regenerative medicine. Int. J. Biol. Macromol. 2016, 86, 917–928. [Google Scholar] [CrossRef]
- Peck, J.; Slovek, A.; Miro, P.; Vij, N.; Traube, B.; Lee, C.; Berger, A.A.; Kassem, H.; Kaye, A.D.; Sherman, W.F.; et al. Comprehensive Review of Viscosupplementation in Osteoarthritis of the Knee. Orthop. Rev. 2021, 13, 25549. [Google Scholar] [CrossRef] [PubMed]
- Migliore, A.; Gigliucci, G.; Alekseeva, L.; Bannuru, R.R.; Blicharski, T.; Diracoglu, D.; Georgiadis, A.; Hamoud, H.; Martusevich, N.; Matucci Cerinic, M.; et al. Systematic Literature Review and Expert Opinion for the Use of Viscosupplementation with Hyaluronic Acid in Different Localizations of Osteoarthritis. Orthop. Res. Rev. 2021, 13, 255–273. [Google Scholar] [CrossRef] [PubMed]
- Raeissadat, S.A.; Rayegani, S.M.; Hassanabadi, H.; Fathi, M.; Ghorbani, E.; Babaee, M.; Azma, K. Knee osteoarthritis injection choices: Platelet-rich plasma (PRP) versushyaluronic acid (a one year randomized clinical trial). Clin. Med. Insights Arthritis Musculoskelet. Disord. 2015, 8, 1–8. [Google Scholar] [CrossRef] [PubMed]
- Anil, U.; Markus, D.H.; Hurley, E.T.; Manjunath, A.K.; Alaia, M.J.; Campbell, K.A.; Jazrawi, L.M.; Strauss, E.J. The efficacy of intra-articular injections in the treatment of knee osteoarthritis: A network meta-analysis of randomized controlled trials. Knee 2021, 32, 173–182. [Google Scholar] [CrossRef]
- Nicholls, M.A.; Fierlinger, A.; Niazi, F.; Bhandari, M. The Disease-Modifying Effects of Hyaluronan in the Osteoarthritic Disease State. Clin. Med. Insights Arthritis Musculoskelet. Disord. 2017, 10, 1179544117723611. [Google Scholar] [CrossRef]
- Sconza, C.; Respizzi, S.; Virelli, L.; Vandenbulcke, F.; Iacono, F.; Kon, E.; Di Matteo, B. Oxygen-Ozone Therapy for the Treatment of Knee Osteoarthritis: A Systematic Review of Randomized Controlled Trials. Arthroscopy 2020, 36, 277–286. [Google Scholar] [CrossRef]
- Costa, T.; Rodrigues-Manica, S.; Lopes, C.; Gomes, J.; Marona, J.; Falcão, S.; Branco, J. Ozone Therapy in Knee Osteoarthritis: A Systematic Review. Acta Med. Port. 2018, 31, 576–580. [Google Scholar] [CrossRef]
- Li, Q.; Qi, X.; Zhang, Z. Intra-articular oxygen-ozone versus hyaluronic acid in knee osteoarthritis: A meta-analysis of randomized controlled trials. Int. J. Surg. 2018, 58, 3–10. [Google Scholar] [CrossRef]
- Sconza, C.; Leonardi, G.; Kon, E.; Respizzi, S.; Massazza, G.; Marcacci, M.; Di Matteo, B. Oxygen-ozone therapy for the treatment of low back pain: A systematic review of randomized controlled trials. Eur. Rev. Med. Pharmacol. Sci. 2021, 25, 6034–6046. [Google Scholar]
- Elvis, A.; Ekta, J. Ozone therapy: A clinical review. J. Nat. Sci. Biol. Med. 2011, 2, 66–70. [Google Scholar] [CrossRef]
- Borrelli, E.; Alexandre, A.; Iliakis, E.; Alexandre, A.; Bocci, V. Disc herniation and knee arthritis as chronic oxidative stress diseases: The therapeutic role of oxygen ozone therapy. J. Arthritis 2015, 4, 1–6. [Google Scholar]
- Calunga, J.L.; Menendez, S.; Leon, R.; Chang, S.; Guanche, D. Application of ozone therapy in patients with knee osteoarthritis. Ozone Sci. Eng. 2012, 34, 469–475. [Google Scholar] [CrossRef]
- Bocci, V.A. Scientific and medical aspects of ozone therapy. State of the art. Arch. Med. Res. 2006, 37, 425–435. [Google Scholar] [CrossRef] [PubMed]
- Sagai, M.; Bocci, V. Mechanisms of Action Involved in Ozone Therapy: Is healing induced via a mild oxidative stress? Med. Gas Res. 2011, 29, 1–18. [Google Scholar] [CrossRef] [PubMed]
- Di Meo, S.; Venditti, P. Evolution of the Knowledge of Free Radicals and Other Oxidants. Oxid. Med. Cell. Longev. 2020, 2020, 9829176. [Google Scholar] [CrossRef]
- de Sire, A.; Agostini, F.; Lippi, L.; Mangone, M.; Marchese, S.; Cisari, C.; Bernetti, A.; Invernizzi, M. Oxygen-Ozone Therapy in the Rehabilitation Field: State of the Art on Mechanisms of Action, Safety and Effectiveness in Patients with Musculoskeletal Disorders. Biomolecules 2021, 11, 356. [Google Scholar] [CrossRef]
- Noori-Zadeh, A.; Bakhtiyari, S.; Khooz, R.; Haghani, K.; Darabi, S. Intra-articular ozone therapy efficiently attenuates pain in knee osteoarthritic subjects: A systematic review and meta-analysis. Complement. Ther. Med. 2019, 42, 240–247. [Google Scholar] [CrossRef]
- Sconza, C.; Braghetto, G.; Respizzi, S.; Morenghi, E.; Kon, E.; Di Matteo, B. Ultrasound-guided periradicular oxygen-ozone injections as a treatment option for low back pain associated with sciatica. Int. Orthop. 2021, 45, 1239–1246. [Google Scholar] [CrossRef]
- Iliakis, E.; Petropoulos, I.; Iliaki, A.; Agapitos, E.; Agrogiannis, G. Is medical ozone safe when injected a comparative histological study in rat. Int. J. Ozone Ther. 2008, 7, 59–68. [Google Scholar]
- Fernandez-Cuadros, M.E.; Perez-Moro, O.S.; Albaladejo-Florin, M.J.; Algarra-Lopez, R. Ozone decreases biomarkers of inflammation (c-reactive protein and erythrocyte sedimentation rate) and improves pain, function and quality of life in knee osteoarthritis patients: A before and- after study and review of the literature. Middle East Rehabil. Health 2018, 5, e64507. [Google Scholar]
- Hashemi, M.; Khameneh, S.M.H.; Dadkhah, P.; Mohajerani, S.A. Effect of Intraarticular injection of ozone on inflammatory cytokines in knee osteoarthritis. J. Cell. Mol. Anesth. 2017, 2, 37–42. [Google Scholar]
- Higashi, Y.; Sukhanov, S.; Anwar, A.; Shai, S.Y.; Delafontaine, P. Aging, atherosclerosis, and IGF-1. J. Gerontol. A Biol. Sci. Med. Sci. 2012, 67, 626–639. [Google Scholar] [CrossRef] [PubMed]
- Kraus, V.B.; Karsdal, M.A. Osteoarthritis: Current Molecular Biomarkers and the Way Forward. Calcif. Tissue Res. 2021, 109, 329–338. [Google Scholar] [CrossRef]
- Bar-Or, D.; Rael, L.; Thomas, G.W.; Brody, E.N. Inflammatory Pathways in Knee Osteoarthritis: Potential Targets for Treatment. Curr. Rheumatol. Rev. 2015, 11, 50–58. [Google Scholar] [CrossRef] [PubMed]
- Wang, M.-N.; Liu, L.; Zhao, L.-P.; Yuan, F.; Fu, Y.-B.; Xu, X.-B.; Li, B. Research of inflammatory factors and signaling pathways in knee osteoarthritis. Zhongguo Gu Shang 2020, 33, 388–392. [Google Scholar]
- Tumolo, M.R.; Panico, A.; De Donno, A.; Mincarone, P.; Leo, C.G.; Guarino, R.; Bagordo, F.; Serio, F.; Idolo, A.; Grassi, T.; et al. The expression of microRNAs and exposure to environmental contaminants related to human health: A review. Int. J. Environ. Health Res. 2022, 32, 332–354. [Google Scholar] [CrossRef]
- Huth, K.C.; Saugel, B.; Jakob, F.M.; Cappello, C.; Quirling, M.; Paschos, E.; Ern, K.; Hickel, R.; Brand, K. Effect of aqueous ozone on the NF-kappaB system. J. Dent. Res. 2007, 86, 451–456. [Google Scholar] [CrossRef]
- Zhang, W.; Wang, F.; Zhang, L.; Sun, T.; Fu, Z. Intrathecal injection of ozone alleviates CCI-induced neuropathic pain via the GluR6-NF-B/p65 signalling pathway in rats. Mol. Med. Rep. 2021, 23, 231. [Google Scholar] [CrossRef]
- Delgado-Roche, L.; Riera-Romo, M.; Mesta, F.; Hernández-Matos, Y.; Barrios, J.M.; Martínez-Sánchez, G.; Al-Dalaien, S.M. Medical ozone promotes Nrf2 phosphorylation reducing oxidative stress and pro-inflammatory cytokines in multiple sclerosis patients. Eur. J. Pharmacol. 2017, 811, 148–154. [Google Scholar] [CrossRef]
- Thi Xuan, N.; Hai Ha, N.; Thanh Chung, D. Vitamin E Attenuates FasL-Induced Apoptotic Death of Dendritic Cells Through PI3K Signalling. VNU J. Sci. Med. Pharm. Sci. 2021, 37, 4268. [Google Scholar] [CrossRef]
- Seyam, O.; Smith, N.L.; Reid, I.; Gandhi, J.; Jiang, W.; Khan, S.A. Clinical utility of ozone therapy for musculoskeletal disorders. Med. Gas Res. 2018, 8, 103–110. [Google Scholar] [PubMed]
- Smith, N.L.; Wilson, A.L.; Gandhi, J.; Vatsia, S.; Khan, S.A. Ozone therapy: An overview of pharmacodynamics, current research, and clinical utility. Med. Gas Res. 2017, 7, 212–219. [Google Scholar] [PubMed]
- Fernandez-Cuadros, M.E.; Perez-Moro, O.S.; Mirón-Canelo, J.A. Could ozone be used as a feasible future treatment in osteoarthritis of the knee? Divers. Equal. Health Care 2016, 13, 232–239. [Google Scholar] [CrossRef]
- ISCO3 Official Website—The International Scientific Committee of Ozone Therapy Official Website. Available online: https://isco3.org (accessed on 1 May 2023).
- Filardo, G.; Di Matteo, B.; Di Martino, A.; Merli, M.L.; Cenacchi, A.; Fornasari, P. Platelet-rich plasma intraarticular knee injections show no superiority versus viscosupplementation: A randomized controlled trial. Am. J. Sports Med. 2015, 43, 1575–1582. [Google Scholar] [CrossRef]
- Rutjes, A.W.; Juni, P.; da Costa, B.R.; Trelle, S.; Nuesch, E.; Reichenbach, S. Viscosupplementation for osteoarthritis of the knee: A systematic review and meta-analysis. Ann. Intern. Med. 2012, 157, 180–191. [Google Scholar] [CrossRef]
- Lopes de Jesus, C.C.; Dos Santos, F.C.; de Jesus, L.M.O.B.; Monteiro, I.; Sant’Ana, M.S.S.C.; Trevisani, V.F.M. Comparison between intra-articular ozone and placebo in the treatment of knee osteoarthritis: A randomized, double-blinded, placebo-controlled study. PLoS ONE 2017, 12, e0179185. [Google Scholar] [CrossRef]
- Mishra, S.K.; Pramanik, R.; Das, P.; Palit, A.K.; Roy, J.; Halder, R.N. Role of intra-articular ozone in osteo-arthritis of knee for functional and symptomatic improvement. Ind. J. Phys. Med. Rehabilit. 2011, 22, 65–69. [Google Scholar]
- Chansoria, M.; Upadhyay, S.; Panwar, S.; Shivhare, S.V.N. Comparative efficacy of intraarticular injection of combination of ozone and steroid and ozone alone in patients with primary knee osteoarthritis: A prospective and randomized clinical analysis. J. Recent Adv. Pain 2016, 2, 11–14. [Google Scholar]
- Babaei-Ghazani, A.; Najarzadeh, S.; Mansoori, K.; Forogh, B.; Madani, S.P. The effects of ultrasound-guided corticosteroid injection compared to oxygeneozone (O2eO3) injection in patients with knee osteoarthritis: A randomized controlled trial. Clin. Rheumatol. 2018, 37, 2517–2527. [Google Scholar] [CrossRef]
- Soul, J.; Dunn, S.L.; Anand, S.; Serracino-Inglott, F.; Schwartz, J.M.; Boot-Handford, R.P.; Hardingham, T.E. Stratification of knee osteoarthritis: Two major patient subgroups identified by genome-wide expression analysis of articular cartilage. Ann. Rheum. Dis. 2018, 77, 423. [Google Scholar] [CrossRef]
- Wood, M.J.; Miller, R.E.; Malfait, A.M. The Genesis of Pain in Osteoarthritis: Inflammation as a Mediator of Osteoarthritis Pain. Clin. Geriatr. Med. 2022, 38, 221–238. [Google Scholar] [CrossRef] [PubMed]
- Invernizzi, M.; Stagno, D.; Carda, S.; Grana, E.; Picelli, A.; Smania, N.; Cisari, C.; Baricich, A. Safety of intra-articular oxygen-ozone therapy compared to intra-articular sodium hyaluronate in knee osteoarthritis: A randomized single blind pilot study. Int. J. Phys. Med. Rehabil. 2017, 5, 2. [Google Scholar]
- Duymus, T.M.; Mutlu, S.; Dernek, B.; Komur, B.; Aydogmus, S.; Kesiktas, F.N. Choice of intra-articular injection in treatment of knee osteoarthritis: Platelet-rich plasma, hyaluronic acid or ozone options. Knee Surg. Sports Traumatol. Arthrosc. 2017, 25, 485–492. [Google Scholar] [CrossRef] [PubMed]
- Raeissadat, S.A.; Rayegani, S.M.; Forogh, B.; Hassan Abadi, P.; Moridnia, M.; Rahimi Dehgolan, S. Intra-articular ozone or hyaluronic acid injection: Which one is superior in patients with knee osteoarthritis? A 6-month randomized clinical trial. J. Pain Res. 2018, 11, 111–117. [Google Scholar] [CrossRef]
- de Sire, A.; Stagno, D.; Minetto, M.A.; Cisari, C.; Baricich, A.; Invernizzi, M. Long-term effects of intra-articular oxygen-ozone therapy versus hyaluronic acid in older people affected by knee osteoarthritis: A randomized single-blind extension study. J. Back Musculoskelet. Rehabil. 2020, 33, 347–354. [Google Scholar] [CrossRef]
- Giombini, A.; Menotti, F.; Di Cesare, A.; Giovannangeli, F.; Rizzo, M.; Moffa, S.; Martinelli, F. Comparison between intrarticular injection of hyaluronic acid, oxygen ozone, and the combination of both in the treatment of knee osteoarthrosis. J. Biol. Regul. Homeost. Agents 2016, 30, 621–625. [Google Scholar]
- Gandek, B. Measurement Properties of the Western Ontario and McMaster Universities Osteoarthritis Index: A Systematic Review. Arthritis Care Res. 2015, 67, 216–229. [Google Scholar] [CrossRef]
- Roos, E.M.; Toksvig-Larsen, S. The Knee injury and Osteoarthritis Outcome Score (KOOS): From joint injury to osteoarthritis. Health Qual Life Outcomes 2003, 17, 1–64. [Google Scholar]
- Ornetti, P.; Dougados, D.; Paternotte, S.; Logeart, I.; Gossec, L. Validation of a numerical rating scale to assess functional impairment in hip and knee osteoarthritis: Comparison with the WOMAC function scale. BMJ 2011, 70, 740–746. [Google Scholar] [CrossRef]


| OT Group (Group A) | HA Group (Group B) | p Value | |
|---|---|---|---|
| Included | |||
| Number of patients | 26 | 26 | |
| Sex (male) | 15 (54.7%) | 10 (38.5%) | 0.18 |
| Age (years) | 68.0 ± 10.1 (min: 48; max: 79) | 67.96 ± 9.6 (min: 49; max: 79) | 1.00 |
| BMI (kg/m2) | 29.08 ± 4.68 | 27.87 ± 5.02 | 0.39 |
| Analyzed | |||
| Number of patients | 22 | 22 | |
| Sex (male) | 12 (54.6%) | 8 (36.4%) | 0.36 |
| Age (years) | 68.5 ± 9.1 (min: 48; max: 79) | 69.1 ± 8.7 (min: 50; max: 79) | 0.86 |
| BMI (kg/m2) | 28.65 ± 4.57 | 28.13 ± 5.12 | 0.72 |
| Baseline | 1 Month | 3 Months | 6 Months | p Value | |||||
|---|---|---|---|---|---|---|---|---|---|
| OT | HA | OT | HA | OT | HA | OT | HA | ||
| n | 22 | 22 | 22 | 22 | 22 | 22 | 22 | 22 | |
| WOMAC pain subscore | 6.8 ± 2.7 | 7.3 ± 3.7 | 3.7 ± 3.1 | 2.8 ± 3.1 | 3.7 ± 2.7 | 2.9 ± 3.1 | 4.4 ± 3.1 | 3.9 ± 3.8 | 0.001 |
| WOMAC total score | 45.6 ± 15.1 | 45.8 ± 20.1 | 18.7 ± 14.3 | 14.0 ± 13.1 | 17.7 ± 14.0 | 14.8 ± 16.4 | 20.9 ± 15.8 | 17.9 ± 16.7 | <0.001 |
| KOOS | 79.1 ± 24.9 | 72.2 ± 27.3 | 40.0 ± 26.2 | 32.4 ± 26.9 | 38.9 ± 28.1 | 30.9 ± 32.8 | 44.8 ± 30.5 | 35.8 ± 32.3 | <0.001 |
| NRS | 5.6 ± 2.2 | 5.8 ± 1.7 | 2.3 ± 2.2 | 2.6 ± 2.2 | 2.9 ± 2.6 | 2.5 ± 2.3 | 3.6 ± 2.6 | 3.2 ± 2.7 | <0.001 |
| OT Group (Group A) | HA Group (Group B) | p Value | |
|---|---|---|---|
| WOMAC LK 3.1 pain score (baseline) | 6.8 ± 2.7 | 7.3 ± 3.7 | 0.521 |
| WOMAC LK 3.1 pain score (1 month) | 3.7 ± 3.1 | 2.8 ± 3.1 | 0.261 |
| WOMAC LK 3.1 pain score (3 months) | 3.7 ± 2.7 | 2.9 ± 3.1 | 0.345 |
| WOMAC LK 3.1 pain score (6 months) | 4.4 ± 3.1 | 3.9 ± 3.8 | 0.633 |
| OT Group (Group A) | HA Group (Group B) | p Value | |
|---|---|---|---|
| WOMAC total score (baseline) | 45.6 ± 15.1 | 45.8 ± 20.1 | 0.888 |
| WOMAC total score (1 month) | 18.73 ± 14.3 | 14.04 ± 13.14 | 0.223 |
| WOMAC total score (3 months) | 17.69 ± 14.0 | 14.81 ± 16.4 | 0.500 |
| WOMAC total score (6 months) | 20.86 ± 15.8 | 17.86 ± 16.7 | 0.544 |
| KOOS (baseline) | 80.91 ± 21.0 | 73.13 ± 29.4 | 0.319 |
| KOOS (1 month) | 39.96 ± 26.2 | 32.42 ± 26.9 | 0.311 |
| KOOS (3 months) | 38.92 ± 28.1 | 30.92 ± 32.8 | 0.349 |
| KOOS (6 months) | 44.77 ± 30.5 | 35.77 ± 32.3 | 0.347 |
| NRS (baseline) | 5.81 ± 2.2 | 5.86 ± 1.6 | 0.939 |
| NRS (1 month) | 2.35 ± 2.2 | 2.58 ± 2.2 | 0.707 |
| NRS (3 months) | 2.92 ± 2.6 | 2.50 ± 2.3 | 0.538 |
| NRS (6 months) | 3.60 ± 2.6 | 3.23 ± 2.7 | 0.653 |
Disclaimer/Publisher’s Note: The statements, opinions and data contained in all publications are solely those of the individual author(s) and contributor(s) and not of MDPI and/or the editor(s). MDPI and/or the editor(s) disclaim responsibility for any injury to people or property resulting from any ideas, methods, instructions or products referred to in the content. |
© 2023 by the authors. Licensee MDPI, Basel, Switzerland. This article is an open access article distributed under the terms and conditions of the Creative Commons Attribution (CC BY) license (https://creativecommons.org/licenses/by/4.0/).
Share and Cite
Sconza, C.; Di Matteo, B.; Queirazza, P.; Dina, A.; Amenta, R.; Respizzi, S.; Massazza, G.; Ammendolia, A.; Kon, E.; de Sire, A. Ozone Therapy versus Hyaluronic Acid Injections for Pain Relief in Patients with Knee Osteoarthritis: Preliminary Findings on Molecular and Clinical Outcomes from a Randomized Controlled Trial. Int. J. Mol. Sci. 2023, 24, 8788. https://doi.org/10.3390/ijms24108788
Sconza C, Di Matteo B, Queirazza P, Dina A, Amenta R, Respizzi S, Massazza G, Ammendolia A, Kon E, de Sire A. Ozone Therapy versus Hyaluronic Acid Injections for Pain Relief in Patients with Knee Osteoarthritis: Preliminary Findings on Molecular and Clinical Outcomes from a Randomized Controlled Trial. International Journal of Molecular Sciences. 2023; 24(10):8788. https://doi.org/10.3390/ijms24108788
Chicago/Turabian StyleSconza, Cristiano, Berardo Di Matteo, Paolo Queirazza, Arianna Dina, Roberta Amenta, Stefano Respizzi, Giuseppe Massazza, Antonio Ammendolia, Elizaveta Kon, and Alessandro de Sire. 2023. "Ozone Therapy versus Hyaluronic Acid Injections for Pain Relief in Patients with Knee Osteoarthritis: Preliminary Findings on Molecular and Clinical Outcomes from a Randomized Controlled Trial" International Journal of Molecular Sciences 24, no. 10: 8788. https://doi.org/10.3390/ijms24108788
APA StyleSconza, C., Di Matteo, B., Queirazza, P., Dina, A., Amenta, R., Respizzi, S., Massazza, G., Ammendolia, A., Kon, E., & de Sire, A. (2023). Ozone Therapy versus Hyaluronic Acid Injections for Pain Relief in Patients with Knee Osteoarthritis: Preliminary Findings on Molecular and Clinical Outcomes from a Randomized Controlled Trial. International Journal of Molecular Sciences, 24(10), 8788. https://doi.org/10.3390/ijms24108788

