Silver Nanoparticles and Glycyrrhiza glabra (Licorice) Root Extract as Modifying Agents of Hydrogels Designed as Innovative Dressings
Abstract
1. Introduction
2. Results and Discussion
2.1. Characteristic of Nanosilver Suspension
2.1.1. The Particle Size Analysis via DLS Technique
2.1.2. Characterization of Optical Properties of Nanosilver Suspension
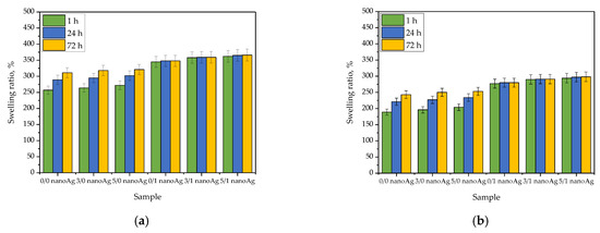
2.2. Results of Hydrogels’ Swelling Ability Measurements
2.3. Results of Incubation Studies
2.4. The Impact of the Incubation Studies on Hydrogels’ Chemical Structure Verified via FT-IR Spectroscopy
2.5. Results of SEM Imaging of Hydrogels
2.6. Wettability of Hydrogels Supported by Determining Their Surface Free Energy
2.7. Results of Mechanical Investigations including Determining the Hydrogels’ Tensile Strength and Percentage Elongation
2.8. In Vitro Biological Analysis of Hydrogels via MTT Reduction Assay
3. Materials and Methods
3.1. Materials
3.2. Preparation of Glycyrrhiza glabra (Licorice) Root Extract
3.3. Synthesis of Silver Nanoparticles via the Chemical Reduction Process
3.4. Characterization of Silver Nanoparticle Suspension
3.4.1. The Particle Size Analysis via DLS Technique
3.4.2. Analysis of the Optical Properties of Nanosilver Suspension
3.5. Synthesis of Hydrogel Polymers via the Photopolymerization Process
3.6. Assessment of the Swelling Properties of Hydrogels
3.7. Analysis of the Influence of Hydrogels on Simulated Physiological Fluids (Incubation Studies)
3.8. Evaluation of the Impact of Hydrogels’ Incubation on Their Chemical Structure via FT-IR Spectroscopy
3.9. Analysis of the Surface Morphology Using SEM Technique
3.10. Studies on the Wettability of Hydrogels Supported by Determining the Surface Free Energy
3.11. Characteristics of the Mechanical Properties of Hydrogels
3.12. In Vitro MTT Reduction Assay Using L929 Murine Fibroblasts
3.13. Statistical Analysis
4. Conclusions
- All developed materials showed swelling ability. The modification of hydrogels with licorice root extract did not significantly affect this property. However, the incorporation of hydrogels with nanosilver resulted in an increase in this ability, which was probably caused by the interactions between aqueous nanosilver suspension and the liquid penetrating the polymer matrix.
- Incubation studies in simulated physiological liquids supported by the analysis of the structure of incubated hydrogels via FT-IR spectroscopy excluded the degradation of tested materials in these environments. The only slight changes (by a maximum of one pH unit) in the pH of incubation media reported in the course of the incubation probably resulted from the interactions between the components of the polymer matrix and the incubation media.
- Based on the SEM imaging, it was reported that licorice root extract may fill the outer cavities of the hydrogels, which results in the smoothing of its surface.
- The surface wettability of modified hydrogels indicated their hydrophilicity. The wetting angles of all tested samples were lower than 90°. The lowest wetting angles and the highest surface free energies were determined for hydrogels modified with the highest amounts of the additives (i.e., 5 mL of licorice root extract and 1 mL of nanosilver suspension).
- The introduction of the modifying agents into the hydrogels reduced their tensile strength from 0.112 MPa (for unmodified hydrogels) to 0.072 MPa (for the materials with the highest amounts of additives). However, the changes in the percentage elongations between unmodified materials and modified ones were not as significant. The hydrogel containing the highest amounts of additives showed approximately 24% elongation.
- In vitro biological analysis with L929 murine fibroblasts excluded the cytotoxic activity of the hydrogels; the viability of tested cells was within the range of 87.0–92.5%. Nanosilver present in hydrogel matrices positively affected this property and increased the cell viability.
- The results of the physicochemical analysis confirming the stability of the tested hydrogels in simulated physiological liquids, the possibility of their modification, and the lack of cytotoxic activity proved the correctness of the synthesis methodology applied. Moreover, the sorption properties of hydrogels indicated the possibility of absorbing wound exudate by these materials, while their hydrophilic surfaces demonstrated that they constitute a suitable substrate for cell adhesion and proliferation. Furthermore, their elasticity of approximately 30% flexibility indicated the possibility of their easy application. Thus, in summary, the above-mentioned features confirm the possibility of the use of developed hydrogels as dressing materials supporting regenerative processes.
Author Contributions
Funding
Institutional Review Board Statement
Informed Consent Statement
Data Availability Statement
Conflicts of Interest
Abbreviations
References
- Khaitov, B.; Karimov, A.; Khaitbaeva, J.; Sindarov, O.; Karimov, A.; Li, Y. Perspectives of Licorice Production in Harsh Environments of the Aral Sea Regions. Int. J. Environ. Res. Public Health 2022, 19, 11770. [Google Scholar] [CrossRef] [PubMed]
- Noreen, S.; Mubarik, F.; Farooq, F.; Khan, M.; Khan, A.U.; Pane, Y.S. Medicinal Uses of Licorice (Glycyrrhiza glabra L.): A Comprehensive Review. Maced. J. Med. Sci. 2021, 9, 668–675. [Google Scholar]
- Kao, T.C.; Wu, C.H.; Yen, G.C. Bioactivity and Potential Health Benefits of Licorice. J. Agric. Food Chem. 2014, 62, 542–553. [Google Scholar] [CrossRef] [PubMed]
- Jiang, M.; Zhao, S.; Yang, S.; Lin, X.; He, X.; Wie, X.; Song, Q.; Li, R.; Fu, C.; Zhang, J.; et al. An “essential herbal medicine”—Licorice: A review of phytochemicals and its effects in combination preparations. J. Ethnopharmacol. 2020, 249, 112439. [Google Scholar] [CrossRef] [PubMed]
- Markina, Y.V.; Kirichenko, T.V.; Markin, A.M.; Yudina, I.Y.; Starodubova, A.V.; Sobenin, I.A.; Orekhov, A.N. Atheroprotective Effects of Glycyrrhiza glabra L. Molecules 2022, 27, 4697. [Google Scholar] [CrossRef]
- Tamura, Y. The History of Licorice Applications in Maruzen Pharmaceuticals Co., Ltd. In Biological Activities and Action Mechanisms of Licorice Ingredients; Sakagami, H., Ed.; IntechOpen: London, UK, 2017. [Google Scholar]
- Cherry, R.N.; Blanchard, S.S.; Chogle, A.; Santucci, N.R.; Mehta, K.; Russell, A.C. Herbal Approaches to Pediatric Functional Abdominal Pain. Children 2022, 9, 1266. [Google Scholar] [CrossRef]
- Dogan, S.C.; Baylan, M.; Erdoğan, Z.; Küçükgül, A.; Bulancak, A. The effects of Licorice (Glycyrrhiza glabra) root on performance, some serum parameters and antioxidant capacity of laying hens. Braz. J. Poult. Sci. 2018, 20, 699–706. [Google Scholar] [CrossRef]
- Kim, K.J.; Choi, J.S.; Kim, K.W.; Jeong, J.W. The anti-angiogenic activities of glycyrrhizic acid in tumor progression. Phytother. Res. 2013, 27, 841–846. [Google Scholar] [CrossRef]
- Tanideh, N.; Rokhsari, P.; Mehrabani, D.; Mohammandi Samani, S.; Sarvestani, S.F.; Ashraf, M.J.; Hosseinabadi, K.O.; Shamsian, S.; Ahmadi, N. The Healing Effect of Licorice on Pseudomonas aeruginosa Infected Burn Wounds in Experimental Rat Model. World J. Plast. Surg. 2014, 3, 99–106. [Google Scholar]
- Yang, L.; Jiang, Y.; Zhang, Z.; Hou, J.; Tian, S.; Liu, Y. The anti-diabetic activity of licorice, a widely used Chinese herb. J. Ethnopharmacol. 2020, 263, 113216. [Google Scholar] [CrossRef]
- Chung, C.-L.; Chen, J.-H.; Huang, W.-C.; Sheu, J.-R.; Hsia, C.-W.; Jayakumar, T.; Hsia, C.-H.; Chiou, K.-R.; Hou, S.-M. Glabridin, a Bioactive Flavonoid from Licorice, Effectively Inhibits Platelet Activation in Humans and Mice. Int. J. Mol. Sci. 2022, 23, 11372. [Google Scholar] [CrossRef]
- Fan, R.; Gao, Y. Maillard and Hydrolytic Reactions in Subcritical Water Extraction of Bioactive Compounds from Licorice. Molecules 2022, 27, 6851. [Google Scholar] [CrossRef]
- Yeh, C.F.; Wang, K.C.; Chiang, L.C.; Shieh, D.; Yen, M.H.; Chang, J.S. Water extract of licorice had anti-viral activity against human respiratory syncytial virus in human respiratory tract cell lines. J. Ethnopharmacol. 2013, 148, 466–473. [Google Scholar]
- Xie, Y.C.; Dong, X.E.; Wu, X.M.; Yan, X.F.; Xie, Q.M. Inhibitory effects of flavonoids extracted from licorice on lipopolysaccharide-induced acute pulmonary inflammation in mice. Int. Immunopharmacol. 2009, 9, 194–200. [Google Scholar] [CrossRef]
- Gomaa, A.A.; Abdel-Wadood, Y.A. The potential of glycyrrhizin and licorice extract in combating COVID-19 and associated conditions. Phytomedicine Plus 2021, 1, 100043. [Google Scholar] [CrossRef]
- Li Ng, S.; Khaw, K.Y.; Goh, B.H. Licorice: A Potential Herb in Overcoming SARS-CoV-2 Infections. J. Evid.-Based Integr. Med. 2021, 26, 2515690X21996662. [Google Scholar]
- Hu, L.; Xie, S.; Geng, Z.; Yang, X.; Zhang, Q. Evaluating the Potential of Glycyrrhiza uralensis (Licorice) in Treating Alcoholic Liver Injury: A Network Pharmacology and Molecular Docking Analysis Approach. Processes 2022, 10, 1808. [Google Scholar]
- Ageeva, A.A.; Kruppa, A.I.; Magin, I.M.; Babenko, S.V.; Leshina, T.V.; Polyakov, N.E. New Aspects of the Antioxidant Activity of Glycyrrhizin Revealed by the CIDNP Technique. Antioxidants 2022, 11, 1591. [Google Scholar] [CrossRef]
- Wahab, S.; Annadurai, S.; Abullais, S.S.; Das, G.; Ahmad, W.; Ahmad, M.F.; Kandasamy, G.; Vasudevan, R.; Ali, M.S.; Amir, M. Glycyrrhiza glabra (Licorice): A Comprehensive Review on Its Phytochemistry, Biological Activities, Clinical Evidence and Toxicology. Plants 2021, 10, 2751. [Google Scholar] [CrossRef]
- Kwon, Y.J.; Son, D.H.; Chung, T.H.; Lee, Y.J. A Review of the Pharmacological Efficacy and Safety of Licorice Root from Corroborative Clinical Trial Findings. J. Med. Food 2020, 2, 1–9. [Google Scholar] [CrossRef]
- Mou, K.H.; Han, D.; Liu, W.L.; Li, P. Combination therapy of orally administered glycyrrhizin and UVB improved active-stage generalized vitiligo. Braz. J. Med. Biol. Res. 2016, 49, e5354. [Google Scholar] [CrossRef] [PubMed]
- Allam, M.; Riad, H. Concise review of recent studies in vitiligo. Qatar Med. J. 2013, 2013, 1–19. [Google Scholar] [CrossRef] [PubMed]
- Hoffmann, J.; Gendrisch, F.; Schempp, C.M.; Wölfle, U. New Herbal Biomedicines for the Topical Treatment of Dermatological Disorders. Biomedicines 2020, 8, 27. [Google Scholar] [CrossRef] [PubMed]
- Saeedi, M.; Morteza-Semnani, K.; Ghoreishi, M.R. The treatment of atopic dermatitis with licorice gel. J. Dermatolog. Treat. 2003, 14, 153–157. [Google Scholar] [CrossRef] [PubMed]
- Xue, X. Effects of compound glycyrrhizin on serum IFN-γ, IL-10 and immunological index in patients with alopecia areata. Pharm. Bioprocess. 2018, 6, 15–20. [Google Scholar]
- Vinci, G.; Rapa, M. Noble Metal Nanoparticles Applications: Recent Trends in Food Control. Bioengineering 2019, 6, 10. [Google Scholar] [CrossRef]
- Klębowski, B.; Depciuch, J.; Parlińska-Wojtan, M.; Baran, J. Applications of Noble Metal-Based Nanoparticles in Medicine. Int. J. Mol. Sci. 2018, 19, 4031. [Google Scholar] [CrossRef]
- Agustina, T.E.; Handayani, W.; Imawan, C. The UV-VIS Spectrum Analysis from Silver Nanoparticles Synthesized Using Diospyros maritima Blume. Leaves Extract. Adv. Biol. Res. 2020, 14, 411–419. [Google Scholar]
- Alim-Al-Razy, M.; Bayazid, G.M.A.; Rahman, R.; Bosu, R.; Shamma, S.S. Silver nanoparticle synthesis, UV-Vis spectroscopy to find particle size and measure resistance of colloidal solution. J. Phys. Conf. Ser. 2020, 1706, 012020. [Google Scholar] [CrossRef]
- Mohonta, S.K.; Maria, K.H.; Rahman, S.; Das, H.; Hoque, S.M. Synthesis of hydroxyapatite nanoparticle and role of its size in hydroxyapatite/chitosan-gelatin biocomposite for bone grafting. Int. Nano Lett. 2021, 11, 381–393. [Google Scholar] [CrossRef]
- Nawaz, A.; Ullah, S.; Alnuwaiser, M.A.; Rehman, F.U.; Selim, S.; Al Jaouni, S.K.; Farid, A. Formulation and Evaluation of Chitosan-Gelatin Thermosensitive Hydrogels Containing 5FU-Alginate Nanoparticles for Skin Delivery. Gels 2022, 8, 537. [Google Scholar] [CrossRef]
- Magli, S.; Rossi, G.B.; Risi, G.; Bertini, S.; Cosentino, C.; Crippa, L.; Ballarini, E.; Cavaletti, G.; Piazza, L.; Masseroni, E.; et al. Design and Synthesis of Chitosan—Gelatin Hybrid Hydrogels for 3D Printable in vitro Models. Front. Chem. 2020, 8, 524. [Google Scholar] [CrossRef]
- Latthe, S.S.; Terashima, C.; Nakata, K.; Fujishima, A. Superhydrophobic Surfaces Developed by Mimicking Hierarchical Surface Morphology of Lotus Leaf. Molecules 2014, 19, 4256–4283. [Google Scholar] [CrossRef]
- Nakamura, M.; Hori, N.; Ando, H.; Namba, S.; Toyama, T.; Nishimiya, N.; Yamashita, K. Surface free energy predominates in cell adhesion to hydroxyapatite through wettability. Mater. Sci. Eng. C 2016, 62, 283–292. [Google Scholar] [CrossRef]
- Majhy, B.; Priyadarshini, P.; Sen, A.K. Effect of surface energy and roughness on cell adhesion and growth-facile surface modification for enhanced cell culture. RSC Adv. 2021, 11, 15467–15476. [Google Scholar] [CrossRef]
- Cai, S.; Wu, C.; Yang, W.; Liang, W.; Yu, H.; Liu, L. Recent advance in surface modification for regulating cell adhesion and behaviors. Nanotechnol. Rev. 2020, 9, 971–989. [Google Scholar] [CrossRef]
- Li, X.; Sun, Q.; Li, Q.; Kawazoe, N.; Chen, G. Functional Hydrogels With Tunable Structures and Properties for Tissue Engineering Applications. Front. Chem. 2018, 6, 499. [Google Scholar] [CrossRef]
- Oyen, M. Mechanical characterisation of hydrogel materials. Int. Mater. Rev. 2013, 59, 44–59. [Google Scholar] [CrossRef]
- Pal, T.; Pramanik, S.; Verma, K.D.; Naqvi, S.Z.; Manna, P.K.; Kar, K.K. Fly ash-reinforced polypropylene composites. In Handbook of Fly Ash; Butterworth-Heinemann: Oxford, UK, 2022; pp. 243–270. [Google Scholar]
- Macha, I.J.; Sufi, S. Novel slow drug release bioceramic composite materials for wound dressing applications: Potential of natural materials. SN Appl. Sci. 2020, 2, 176. [Google Scholar] [CrossRef]
- Nam, S.Y.; Nho, Y.C.; Hong, S.H.; Chae, G.T.; Jang, H.S.; Suh, T.S.; Ahn, W.S.; Ryu, K.E.; Chun, H.J. Evaluations of poly (vinyl alcohol)/alginate hydrogels cross-linked by γ-ray irradiation technique. Macromol. Res. 2004, 12, 219–224. [Google Scholar] [CrossRef]
- Sirousazar, M.; Kokabi, M.; Hassan, Z.M. In Vivo and Cytotoxic Assays of a Poly (vinyl alcohol)/Clay Nanocomposite Hydrogel Wound Dressing. J. Biomater. Sci. 2011, 22, 1023–1033. [Google Scholar] [CrossRef] [PubMed]
- ISO-10993-5-2009; Biological Evaluation of Medical Devices—Part 5: Tests for In Vitro Cytotoxicity. Technical Committee: Geneva, Switzerland, 2009.
- Yin, I.X.; Zhang, J.; Zhao, I.S.; Mei, M.L.; Li, Q.; Chu, C.H. The Antibacterial Mechanism of Silver Nanoparticles and Its Application in Dentistry. Int. J. Nanomed. 2020, 15, 2555–2562. [Google Scholar] [CrossRef] [PubMed]
- Bruna, T.; Maldonado-Bravo, F.; Jara, P.; Caro, N. Silver Nanoparticles and Their Antibacterial Applications. Int. J. Mol. Sci. 2021, 22, 7202. [Google Scholar] [CrossRef] [PubMed]
- Kudłacik-Kramarczyk, S.; Głąb, M.; Drabczyk, A.; Kordyka, A.; Godzierz, M.; Wróbel, P.S.; Krzan, M.; Uthayakumar, M.; Kędzierska, M.; Tyliszczak, B. Physicochemical Characteristics of Chitosan-Based Hydrogels Containing Albumin Particles and Aloe vera Juice as Transdermal Systems Functionalized in the Viewpoint of Potential Biomedical Applications. Materials 2021, 14, 5832. [Google Scholar] [CrossRef]
- Owens, D.K.; Wendt, R.C. Estimation of the surface free energy of polymers. J. Appl. Polym. Sci. 1969, 13, 1741–1747. [Google Scholar] [CrossRef]
- Drabczyk, A.; Kudłacik-Kramarczyk, S.; Głąb, M.; Kędzierska, M.; Jaromin, A.; Mierzwiński, D.; Tyliszczak, B. Physicochemical Investigations of Chitosan-Based Hydrogels Containing Aloe Vera Designed for Biomedical Use. Materials 2020, 13, 3073. [Google Scholar] [CrossRef]















| Sample Name | Total Surface Free Energy, mJ/m2 | Contact Angle, ° | Image of Hydrogel during Its First Contact with Water |
|---|---|---|---|
| 0/0 nanoAg | 55.22 | 42.85 ± 0.68 | ![]() |
| 3/0 nanoAg | 60.58 | 35.15 ± 1.15 | ![]() |
| 5/0 nanoAg | 67.67 | 29.17 ± 0.93 | ![]() |
| 0/1 nanoAg | 55.88 | 41.45 ± 0.97 | ![]() |
| 3/1 nanoAg | 62.28 | 33.85 ± 1.02 | ![]() |
| 5/1 nanoAg | 72.08 | 26.58 ± 1.18 | ![]() |
| Analysis of Variance | p |
|---|---|
| Source of Variation | |
| Licorice root extract | 0.02275 |
| Nanosilver suspension | 0.002 |
| Interaction | 0.99443 |
| Analysis of Variance | p |
|---|---|
| Source of Variation | |
| Licorice root extract | 0.01991 |
| Nanosilver suspension | 3.8525 × 10−4 |
| Interaction | 0.01991 |
| Analysis of Variance | p |
|---|---|
| Source of Variation | |
| Licorice root extract | 0.02092 |
| Nanosilver suspension | 0.00634 |
| Interaction | 0.02094 |
| Analysis of Variance | p |
|---|---|
| Source of Variation | |
| Licorice root extract | 0.03264 |
| Nanosilver suspension | 5.32907 × 10−4 |
| Interaction | 0.03264 |
| No. | 3% Chitosan Solution, mL | 2% Gelatin Solution, mL | Crosslinking Agent, mL | Photoinitiator, mL | Licorice Root Extract, mL | Nanosilver Suspension, mL | Sample |
|---|---|---|---|---|---|---|---|
| 1. | 30 | 20 | 8 | 0.25 | - | - | 0/0 nanoAg |
| 2. | 3 | - | 3/0 nanoAg | ||||
| 3. | 5 | - | 5/0 nanoAg | ||||
| 4. | - | 1 | 0/1 nanoAg | ||||
| 5. | 3 | 1 | 3/1 nanoAg | ||||
| 6. | 5 | 1 | 5/1 nanoAg |
Disclaimer/Publisher’s Note: The statements, opinions and data contained in all publications are solely those of the individual author(s) and contributor(s) and not of MDPI and/or the editor(s). MDPI and/or the editor(s) disclaim responsibility for any injury to people or property resulting from any ideas, methods, instructions or products referred to in the content. |
© 2022 by the authors. Licensee MDPI, Basel, Switzerland. This article is an open access article distributed under the terms and conditions of the Creative Commons Attribution (CC BY) license (https://creativecommons.org/licenses/by/4.0/).
Share and Cite
Kędzierska, M.; Bańkosz, M.; Drabczyk, A.; Kudłacik-Kramarczyk, S.; Jamroży, M.; Potemski, P. Silver Nanoparticles and Glycyrrhiza glabra (Licorice) Root Extract as Modifying Agents of Hydrogels Designed as Innovative Dressings. Int. J. Mol. Sci. 2023, 24, 217. https://doi.org/10.3390/ijms24010217
Kędzierska M, Bańkosz M, Drabczyk A, Kudłacik-Kramarczyk S, Jamroży M, Potemski P. Silver Nanoparticles and Glycyrrhiza glabra (Licorice) Root Extract as Modifying Agents of Hydrogels Designed as Innovative Dressings. International Journal of Molecular Sciences. 2023; 24(1):217. https://doi.org/10.3390/ijms24010217
Chicago/Turabian StyleKędzierska, Magdalena, Magdalena Bańkosz, Anna Drabczyk, Sonia Kudłacik-Kramarczyk, Mateusz Jamroży, and Piotr Potemski. 2023. "Silver Nanoparticles and Glycyrrhiza glabra (Licorice) Root Extract as Modifying Agents of Hydrogels Designed as Innovative Dressings" International Journal of Molecular Sciences 24, no. 1: 217. https://doi.org/10.3390/ijms24010217
APA StyleKędzierska, M., Bańkosz, M., Drabczyk, A., Kudłacik-Kramarczyk, S., Jamroży, M., & Potemski, P. (2023). Silver Nanoparticles and Glycyrrhiza glabra (Licorice) Root Extract as Modifying Agents of Hydrogels Designed as Innovative Dressings. International Journal of Molecular Sciences, 24(1), 217. https://doi.org/10.3390/ijms24010217







