Fraxetin Interacts Additively with Cisplatin and Mitoxantrone, Antagonistically with Docetaxel in Various Human Melanoma Cell Lines—An Isobolographic Analysis
Abstract
1. Introduction
2. Results
2.1. Cell Viability Test
2.2. Cytotoxicity of Fraxetin—LDH Test Result
2.3. Cell Proliferation Test
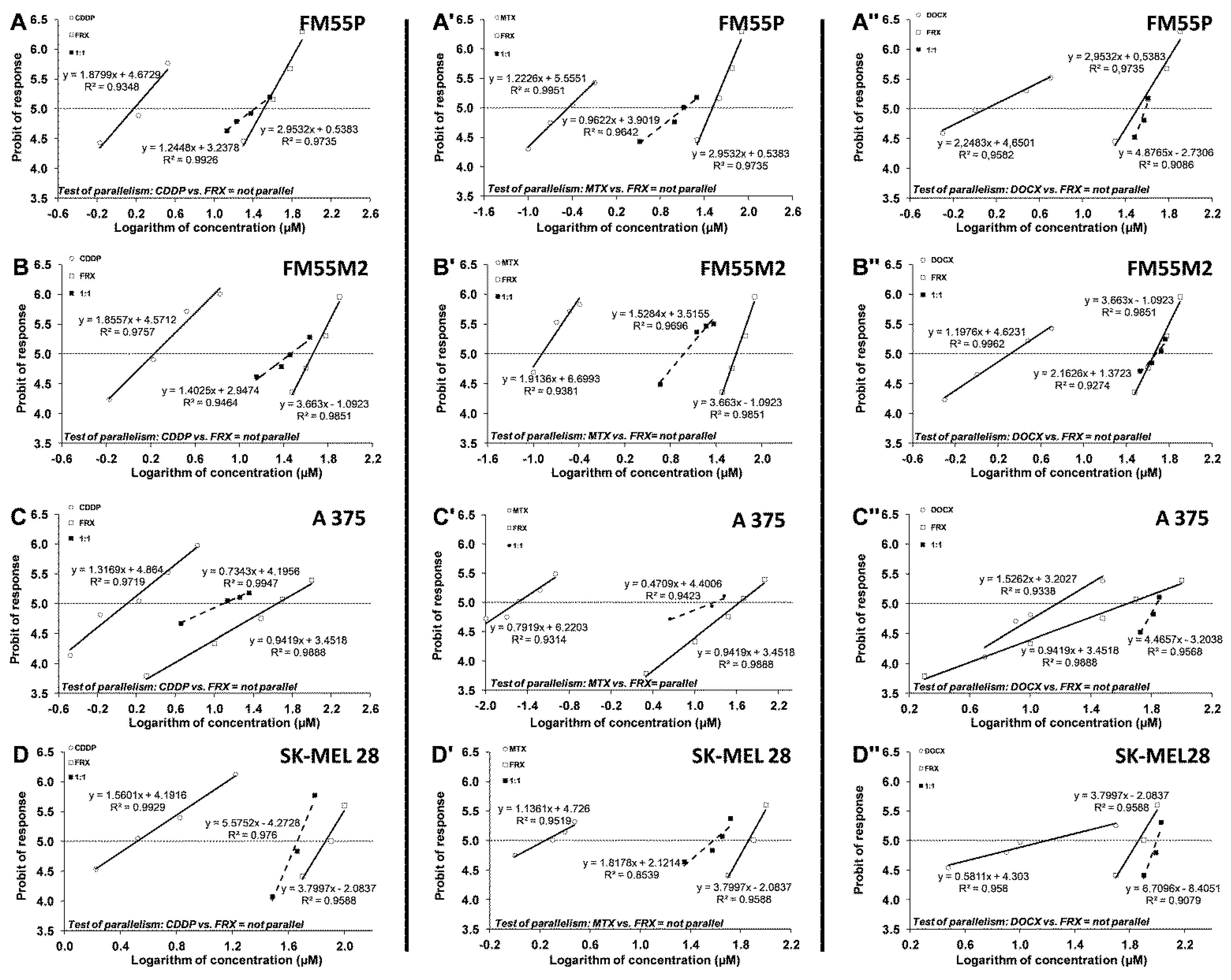
2.4. Isobolographic Analysis of Interactions
3. Discussion
4. Materials and Methods
4.1. Cell Culture
4.2. Drugs
4.3. Cell Viability Assessment
4.4. Cell Proliferation Assay
4.5. Cytotoxicity Assessment—LDH Assay
4.6. Isobolographic Analysis
4.7. Statistical Analysis
5. Conclusions
Author Contributions
Funding
Institutional Review Board Statement
Informed Consent Statement
Data Availability Statement
Acknowledgments
Conflicts of Interest
References
- Sung, H.; Ferlay, J.; Siegel, R.L.; Laversanne, M.; Soerjomataram, I.; Jemal, A.; Bray, F. Global Cancer Statistics 2020: GLOBOCAN Estimates of Incidence and Mortality Worldwide for 36 Cancers in 185 Countries. CA Cancer J. Clin. 2021, 71, 209–249. [Google Scholar] [CrossRef]
- Garbe, C.; Peris, K.; Hauschild, A.; Saiag, P.; Middleton, M.; Spatz, A.; Grob, J.J.; Malvehy, J.; Newton-Bishop, J.; Stratigos, A.; et al. Diagnosis and treatment of melanoma: European consensus-based interdisciplinary guideline. Eur. J. Cancer 2010, 46, 270–283. [Google Scholar] [CrossRef]
- Gogas, H.; Polyzos, A.; Kirkwood, J. Immunotherapy for advanced melanoma: Fulfilling the promise. Cancer Treat. Rev. 2013, 39, 879–885. [Google Scholar] [CrossRef]
- Legut, M.; Lipka, D.; Filipczak, N.; Piwoni, A.; Kozubek, A.; Gubernator, J. Anacardic acid enhances the anticancer activity of liposomal mitoxantrone towards melanoma cell lines—In vitro studies. Int. J. Nanomed. 2014, 9, 653–668. [Google Scholar] [CrossRef][Green Version]
- Montazerabadi, A.R.; Sazgarnia, A.; Bahreyni-Toosi, M.H.; Ahmadi, A.; Shakeri-Zadeh, A.; Aledavood, A. Mitoxantrone as a prospective photosensitizer for photodynamic therapy of breast cancer. Photodiagnosis. Photodyn. Ther. 2012, 9, 46–51. [Google Scholar] [CrossRef]
- Muhonen, T.T.; Wiklund, T.A.; Blomqvist, C.P.; Pyrhönen, S.O. Unexpected prolonged myelosuppression after mitomycin, mitoxantrone and methotrexate. Eur. J. Cancer 1992, 28, 1974–1976. [Google Scholar] [CrossRef]
- Podlecka-Piętowska, A.; Kochanowski, J.; Zakrzewska-Pniewska, B.; Opolski, G.; Kwieciński, H.; Kamińska, A.M. The N-terminal pro-brain natriuretic peptide as a marker of mitoxantrone-induced cardiotoxicity in multiple sclerosis patients. Neurol Neurochir. Pol. 2014, 48, 111–115. [Google Scholar] [CrossRef]
- Zhu, L.; Chen, L. Progress in research on paclitaxel and tumor immunotherapy. Cell Mol. Biol. Lett. 2019, 24, 40. [Google Scholar] [CrossRef]
- Field, J.J.; Díaz, J.F.; Miller, J.H. The binding sites of microtubule-stabilizing agents. Chem. Biol. 2013, 20, 301–315. [Google Scholar] [CrossRef]
- Mikuła-Pietrasik, J.; Witucka, A.; Pakuła, M.; Uruski, P.; Begier-Krasińska, B.; Niklas, A.; Tykarski, A.; Książek, K. Comprehensive review on how platinum- and taxane-based chemotherapy of ovarian cancer affects biology of normal cells. Cell Mol. Life Sci. 2019, 76, 681–697. [Google Scholar] [CrossRef]
- Cao, X.; Tan, T.; Zhu, D.; Yu, H.; Liu, Y.; Zhou, H.; Jin, Y.; Xia, Q. Paclitaxel-Loaded Macrophage Membrane Camouflaged Albumin Nanoparticles for Targeted Cancer Therapy. Int. J. Nanomed. 2020, 15, 1915–1928. [Google Scholar] [CrossRef] [PubMed]
- Su, Y.; Hu, J.; Huang, Z.; Huang, Y.; Peng, B.; Xie, N.; Liu, H. Paclitaxel-loaded star-shaped copolymer nanoparticles for enhanced malignant melanoma chemotherapy against multidrug resistance. Drug. Des. Devel. Ther. 2017, 11, 659–668. [Google Scholar] [CrossRef]
- Siddik, Z.H. Cisplatin: Mode of cytotoxic action and molecular basis of resistance. Oncogene 2003, 22, 7265–7279. [Google Scholar] [CrossRef] [PubMed]
- Soengas, M.S.; Lowe, S.W. Apoptosis and melanoma chemoresistance. Oncogene 2003, 22, 3138–3151. [Google Scholar] [CrossRef] [PubMed]
- Jamieson, E.R.; Lippard, S.J. Structure, Recognition, and Processing of Cisplatin-DNA Adducts. Chem. Rev. 1999, 99, 2467–2498. [Google Scholar] [CrossRef]
- Chen, S.H.; Chang, J.Y. New Insights into Mechanisms of Cisplatin Resistance: From Tumor Cell to Microenvironment. Int. J. Mol. Sci. 2019, 20, 4136. [Google Scholar] [CrossRef]
- Ghosh, S. Cisplatin: The first metal based anticancer drug. Bioorg. Chem. 2019, 88, 102925. [Google Scholar] [CrossRef]
- Emami, S.; Dadashpour, S. Current developments of coumarin-based anti-cancer agents in medicinal chemistry. Eur. J. Med. Chem. 2015, 102, 611–630. [Google Scholar] [CrossRef]
- Pinto, D.C.G.A.; Silva, A.M.S. Anticancer Natural Coumarins as Lead Compounds for the Discovery of New Drugs. Curr. Top. Med. Chem. 2017, 17, 3190–3198. [Google Scholar] [CrossRef]
- Peng, X.M.; Damu, G.L.; Zhou, C. Current developments of coumarin compounds in medicinal chemistry. Curr. Pharm. Des. 2013, 19, 3884–3930. [Google Scholar] [CrossRef]
- Kaur, M.; Kohli, S.; Sandhu, S.; Bansal, Y.; Bansal, G. Coumarin: A promising scaffold for anticancer agents. Anticancer Agents Med. Chem. 2015, 15, 1032–1048. [Google Scholar] [CrossRef]
- Wróblewska-Łuczka, P.; Grabarska, A.; Florek-Łuszczki, M.; Plewa, Z.; Łuszczki, J.J. Synergy, Additivity, and Antagonism between Cisplatin and Selected Coumarins in Human Melanoma Cells. Int. J. Mol. Sci. 2021, 22, 537. [Google Scholar] [CrossRef]
- Hoult, J.R.; Payá, M. Pharmacological and biochemical actions of simple coumarins: Natural products with therapeutic potential. Gen. Pharmacol. 1996, 27, 713–722. [Google Scholar] [CrossRef]
- Sourivong, P.; Schronerová, K.; Babincová, M. Scoparone inhibits ultraviolet radiation-induced lipid peroxidation. Z Naturforsch C J. Biosci. 2007, 62, 61–64. [Google Scholar] [CrossRef]
- Kim, E.K.; Kwon, K.B.; Lee, J.H.; Park, B.H.; Park, J.W.; Lee, H.K.; Jhee, E.C.; Yang, J.Y. Inhibition of cytokine-mediated nitric oxide synthase expression in rat insulinoma cells by scoparone. Biol. Pharm. Bull. 2007, 30, 242–246. [Google Scholar] [CrossRef]
- Hui, Y.; Wang, X.; Yu, Z.; Fan, X.; Cui, B.; Zhao, T.; Mao, L.; Feng, H.; Lin, L.; Yu, Q.; et al. Scoparone as a therapeutic drug in liver diseases: Pharmacology, pharmacokinetics and molecular mechanisms of action. Pharmacol. Res. 2020, 160, 105170. [Google Scholar] [CrossRef]
- Jang, S.I.; Kim, Y.J.; Kim, H.J.; Lee, J.C.; Kim, H.Y.; Kim, Y.C.; Yun, Y.G.; Yu, H.H.; You, Y.O. Scoparone inhibits PMA-induced IL-8 and MCP-1 production through suppression of NF-kappaB activation in U937 cells. Life Sci. 2006, 78, 2937–2943. [Google Scholar] [CrossRef]
- Fok, T.F. Neonatal jaundice-traditional Chinese medicine approach. J. Perinatol. 2001, 21 (Suppl. 1), S98–S100. [Google Scholar] [CrossRef]
- Huang, W.; Zhang, J.; Moore, D.D. A traditional herbal medicine enhances bilirubin clearance by activating the nuclear receptor CAR. J. Clin. Investig. 2004, 113, 137–143. [Google Scholar] [CrossRef]
- Molina-Jiménez, M.F.; Sánchez-Reus, M.I.; Andres, D.; Cascales, M.; Benedi, J. Neuroprotective effect of fraxetin and myricetin against rotenone-induced apoptosis in neuroblastoma cells. Brain Res. 2004, 1009, 9–16. [Google Scholar] [CrossRef]
- Wang, H.; Zou, D.; Xie, K.; Xie, M. Antibacterial mechanism of fraxetin against Staphylococcus aureus. Mol. Med. Rep. 2014, 10, 2341–2345. [Google Scholar] [CrossRef]
- Chen, X.; Ying, X.; Sun, W.; Zhu, H.; Jiang, X.; Chen, B. The therapeutic effect of fraxetin on ethanol-induced hepatic fibrosis by enhancing ethanol metabolism, inhibiting oxidative stress and modulating inflammatory mediators in rats. Int. Immunopharmacol. 2018, 56, 98–104. [Google Scholar] [CrossRef]
- Zhang, Y.; Wang, L.; Deng, Y.; Zhao, P.; Deng, W.; Zhang, J.; Luo, J.; Li, R. Fraxetin Suppresses Proliferation of Non-Small-Cell Lung Cancer Cells via Preventing Activation of Signal Transducer and Activator of Transcription 3. Tohoku J. Exp. Med. 2019, 248, 3–12. [Google Scholar] [CrossRef]
- Wu, C.R.; Huang, M.Y.; Lin, Y.T.; Ju, H.Y.; Ching, H. Antioxidant properties of Cortex Fraxini and its simple coumarins. Food Chem. 2007, 104, 1464–1471. [Google Scholar] [CrossRef]
- Martín-Aragón, S.; Benedí, J.M.; Villar, A.M. Modifications on antioxidant capacity and lipid peroxidation in mice under fraxetin treatment. J. Pharm. Pharmacol. 1997, 49, 49–52. [Google Scholar] [CrossRef]
- Kaja, S.; Payne, A.J.; Singh, T.; Ghuman, J.K.; Sieck, E.G.; Koulen, P. An optimized lactate dehydrogenase release assay for screening of drug candidates in neuroscience. J. Pharmacol. Toxicol. Methods 2015, 73, 1–6. [Google Scholar] [CrossRef]
- Marzęda, P.; Wróblewska-Łuczka, P.; Drozd, M.; Florek-Łuszczki, M.; Załuska-Ogryzek, K.; Łuszczki, J.J. Cannabidiol Interacts Antagonistically with Cisplatin and Additively with Mitoxantrone in Various Melanoma Cell Lines—An Isobolographic Analysis. Int. J. Mol. Sci. 2022, 23, 6752. [Google Scholar] [CrossRef]
- Wróblewska-Łuczka, P.; Cabaj, J.; Bąk, W.; Bargieł, J.; Grabarska, A.; Góralczyk, A.; Łuszczki, J.J. Additive Interactions between Betulinic Acid and Two Taxanes in In Vitro Tests against Four Human Malignant Melanoma Cell Lines. Int. J. Mol. Sci. 2022, 23, 9641. [Google Scholar] [CrossRef]
- Teixido, C.; Castillo, P.; Martinez-Vila, C.; Arance, A.; Alos, L. Molecular Markers and Targets in Melanoma. Cells 2021, 10, 2320. [Google Scholar] [CrossRef]
- Jenkins, R.W.; Fisher, D.E. Treatment of Advanced Melanoma in 2020 and Beyond. J. Invest. Dermatol. 2021, 141, 23–31. [Google Scholar] [CrossRef]
- Juvonen, R.O.; Novák, F.; Emmanouilidou, E.; Auriola, S.; Timonen, J.; Heikkinen, A.T.; Küblbeck, J.; Finel, M.; Raunio, H. Metabolism of Scoparone in Experimental Animals and Humans. Planta Med. 2019, 85, 453–464. [Google Scholar] [CrossRef]
- Kim, J.K.; Kim, J.Y.; Kim, H.J.; Park, K.G.; Harris, R.A.; Cho, W.J.; Lee, J.T.; Lee, I.K. Scoparone exerts anti-tumor activity against DU145 prostate cancer cells via inhibition of STAT3 activity. PLoS ONE 2013, 8, e80391. [Google Scholar] [CrossRef]
- YANG; JY; KOO; JH; SONG; YG; KWON; KB; LEE; JH; SOHN; HS; PARK; BH; JHEE; EC; PARK; JW Stimulation of melanogenesis by scoparone in B16 melanoma cells. Acta Pharmacol. Sin. 2006, 27, 1467–1473. [CrossRef]
- Ren, S.; Xing, Y.; Wang, C.; Jiang, F.; Liu, G.; Li, Z.; Jiang, T.; Zhu, Y.; Piao, D. Fraxetin inhibits the growth of colon adenocarcinoma cells via the Janus kinase 2/signal transducer and activator of transcription 3 signalling pathway. Int. J. Biochem. Cell Biol. 2020, 125, 105777. [Google Scholar] [CrossRef]
- Liu, G.; Liu, Z.; Yan, Y.; Wang, H. Effect of fraxetin on proliferation and apoptosis in breast cancer cells. Oncol. Lett. 2017, 14, 7374–7378. [Google Scholar] [CrossRef]
- Xu, H.; Zhang, J.; Wang, Q.; Li, Y.; Zhang, B. Fraxetin inhibits the proliferation of RL95-2 cells through regulation of metabolism. Int. J. Clin. Exp. Pathol. 2020, 13, 1500–1505. [Google Scholar]
- Kimura, Y.; Sumiyoshi, M. Antitumor and antimetastatic actions of dihydroxycoumarins (esculetin or fraxetin) through the inhibition of M2 macrophage differentiation in tumor-associated macrophages and/or G1 arrest in tumor cells. Eur. J. Pharmacol. 2015, 746, 115–125. [Google Scholar] [CrossRef]
- Song, J.; Ham, J.; Hong, T.; Song, G.; Lim, W. Fraxetin Suppresses Cell Proliferation and Induces Apoptosis through Mitochondria Dysfunction in Human Hepatocellular Carcinoma Cell Lines Huh7 and Hep3B. Pharmaceutics 2021, 13, 112. [Google Scholar] [CrossRef]
- Venkata Sairam, K.; Gurupadayya, B.M.; Chandan, R.S.; Nagesha, D.K.; Vishwanathan, B. A Review on Chemical Profile of Coumarins and their Therapeutic Role in the Treatment of Cancer. Curr. Drug. Deliv. 2016, 13, 186–201. [Google Scholar] [CrossRef]
- Jarząb, A.; Łuszczki, J.; Guz, M.; Skalicka-Woźniak, K.; Hałasa, M.; Smok-Kalwat, J.; Polberg, K.; Stepulak, A. Combination of Osthole and Cisplatin Against Rhabdomyosarcoma TE671 Cells Yielded Additive Pharmacologic Interaction by Means of Isobolographic Analysis. Anticancer Res. 2018, 38, 205–210. [Google Scholar] [CrossRef]
- Marrelli, M.; Perri, M.R.; Amodeo, V.; Giordano, F.; Statti, G.A.; Panno, M.L.; Conforti, F. Assessment of Photo-Induced Cytotoxic Activity of Cachrys sicula and Cachrys libanotis Enriched-Coumarin Extracts against Human Melanoma Cells. Plants 2021, 10, 123. [Google Scholar] [CrossRef]
- Puech, C.; Chatard, M.; Felder-Flesch, D.; Prevot, N.; Perek, N. Umbelliferone Decreases Intracellular pH and Sensitizes Melanoma Cell Line A375 to Dacarbazin. Comparison with Acetazolamide. Curr. Mol. Pharmacol. 2018, 11, 133–139. [Google Scholar] [CrossRef]
- Litchfield, J.T.; Wilcoxon, F. A Simplified Method of Evaluating Dose-Effect Experiments. J. Pharmacol. Exp. Ther. 1949, 96, 99–113. [Google Scholar]
- Grabarska, A.; Wróblewska-Łuczka, P.; Kukula-Koch, W.; Łuszczki, J.J.; Kalpoutzakis, E.; Adamczuk, G.; Skaltsounis, A.L.; Stepulak, A. Palmatine, a Bioactive Protoberberine Alkaloid Isolated from Berberis cretica, Inhibits the Growth of Human Estrogen Receptor-Positive Breast Cancer Cells and Acts Synergistically and Additively with Doxorubicin. Molecules. 2021, 26, 6253. [Google Scholar] [CrossRef]
- Luszczki, J.J. Isobolographic analysis of interaction between drugs with nonparallel dose-response relationship curves: A practical application. Naunyn Schmiedebergs Arch. Pharmacol. 2007, 375, 105–114. [Google Scholar] [CrossRef]
- Tallarida, R.J.; Porreca, F.; Cowan, A. Statistical analysis of drug-drug and site-site interactions with isobolograms. Life Sci. 1989, 45, 947–961. [Google Scholar] [CrossRef]
- Grabovsky, Y.; Tallarida, R.J. Isobolographic analysis for combinations of a full and partial agonist: Curved isoboles. J. Pharmacol. Exp. Ther. 2004, 310, 981–986. [Google Scholar] [CrossRef]
- Tallarida, R.J. Combination analysis. Adv. Exp. Med. Biol. 2010, 678, 133–137. [Google Scholar] [CrossRef]
- Krasowska, D.; Gerkowicz, A.; Wróblewska-Łuczka, P.; Grabarska, A.; Załuska-Ogryzek, K.; Krasowska, D.; Łuszczki, J.J. Anticancer Activity of Amantadine and Evaluation of Its Interactions with Selected Cytostatics in Relation to Human Melanoma Cells. Int. J. Mol. Sci. 2022, 23, 7653. [Google Scholar] [CrossRef]
- Tallarida, R.J. Drug Combinations: Tests and Analysis with Isoboles. Curr. Protoc. Pharmacol. 2016, 72, 9–19. [Google Scholar] [CrossRef]






| Cell Line | Scoparone [µM] | Fraxetin [µM] |
|---|---|---|
| FM55P | >200 * | 32.42 ± 4.21 |
| FM55M2 | >200 * | 46.04 ± 4.17 |
| A375 | >200 * | 44.03 ± 12.02 |
| SK-MEL28 | >200 * | 73.16 ± 7.38 |
| Drug Combination | Cell Line | IC50mix (nmix) [µM] | Lower IC50add (nadd) [µM] | Upper IC50add (nadd) [µM] | Interaction |
|---|---|---|---|---|---|
| FRX + CDDP | FM55P | 26.04 ± 8.02 (96) | 8.51 ± 3.56 (140) | 23.97 ± 4.98 (140) | Additive |
| FM55M2 | 29.07 ± 6.88 (96) | 20.34 ± 4.79 (164) | 25.67 ± 5.65 (164) | Additive | |
| A375 | 12.46 ± 5.63 (96) | 21.02 ± 7.26 (356) | 22.91 ± 7.01 (356) | Additive | |
| SK-MEL28 | 46.05 ± 2.74 (96) | 34.62 ± 9.41 (140) | 38.47 ± 10.04 (140) | Additive | |
| FRX + MTX | FM55P | 13.84 ± 5.51 (72) | 11.63 ± 4.01 (176) | 20.78 ± 5.72 (176) | Additive |
| FM55M2 | 9.36 ± 2.03 (96) * | 19.58 ± 4.12 (192) | 26.32 ± 4.83 (192) | Synergistic | |
| SK-MEL28 | 38.33 ± 7.00 (96) | 22.38 ± 9.22 (140) | 50.22 ± 17.27 (140) | Additive | |
| FRX + DOCX | FM55P | 38.48 ± 3.03 (96) | 3.39 ± 4.93 (148) | 23.09 ± 9.97 (148) | Additive |
| FM55M2 | 47.58 ± 7.30 (96) | 14.96 ± 5.49 (164) | 31.26 ± 10.09 (164) | Additive | |
| A375 | 68.72 ± 5.11 (96) *** | 21.35 ± 7.76 (252) | 22.70 ± 7.63 (252) | Antagonistic | |
| SK-MEL28 | 99.52 ± 5.69 (72) | 16.42 ± 10.66 (168) | 56.95 ± 31.83 (168) | Additive |
| Drug Combination | Cell Line | IC50mix (nmix) [µM] | IC50add (nadd) [µM] | Interaction |
|---|---|---|---|---|
| FRX + MTX | A375 | 18.74 ± 13.21 (96) | 22.03 ± 7.61 (216) | Additive |
Disclaimer/Publisher’s Note: The statements, opinions and data contained in all publications are solely those of the individual author(s) and contributor(s) and not of MDPI and/or the editor(s). MDPI and/or the editor(s) disclaim responsibility for any injury to people or property resulting from any ideas, methods, instructions or products referred to in the content. |
© 2022 by the authors. Licensee MDPI, Basel, Switzerland. This article is an open access article distributed under the terms and conditions of the Creative Commons Attribution (CC BY) license (https://creativecommons.org/licenses/by/4.0/).
Share and Cite
Wróblewska-Łuczka, P.; Grabarska, A.; Góralczyk, A.; Marzęda, P.; Łuszczki, J.J. Fraxetin Interacts Additively with Cisplatin and Mitoxantrone, Antagonistically with Docetaxel in Various Human Melanoma Cell Lines—An Isobolographic Analysis. Int. J. Mol. Sci. 2023, 24, 212. https://doi.org/10.3390/ijms24010212
Wróblewska-Łuczka P, Grabarska A, Góralczyk A, Marzęda P, Łuszczki JJ. Fraxetin Interacts Additively with Cisplatin and Mitoxantrone, Antagonistically with Docetaxel in Various Human Melanoma Cell Lines—An Isobolographic Analysis. International Journal of Molecular Sciences. 2023; 24(1):212. https://doi.org/10.3390/ijms24010212
Chicago/Turabian StyleWróblewska-Łuczka, Paula, Aneta Grabarska, Agnieszka Góralczyk, Paweł Marzęda, and Jarogniew J. Łuszczki. 2023. "Fraxetin Interacts Additively with Cisplatin and Mitoxantrone, Antagonistically with Docetaxel in Various Human Melanoma Cell Lines—An Isobolographic Analysis" International Journal of Molecular Sciences 24, no. 1: 212. https://doi.org/10.3390/ijms24010212
APA StyleWróblewska-Łuczka, P., Grabarska, A., Góralczyk, A., Marzęda, P., & Łuszczki, J. J. (2023). Fraxetin Interacts Additively with Cisplatin and Mitoxantrone, Antagonistically with Docetaxel in Various Human Melanoma Cell Lines—An Isobolographic Analysis. International Journal of Molecular Sciences, 24(1), 212. https://doi.org/10.3390/ijms24010212

