Influence of Cr Ion Implantation on Physical Properties of CuO Thin Films
Abstract
:1. Introduction
2. Results and Discussion
2.1. SRIM Simulations
2.2. XRD and XRR Studies
2.3. Surface Morphology and Topography
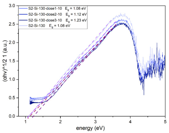
2.4. Optical Properties
2.5. Vibrational Properties
3. Materials and Methods
4. Conclusions
Author Contributions
Funding
Institutional Review Board Statement
Informed Consent Statement
Data Availability Statement
Acknowledgments
Conflicts of Interest
References
- Rydosz, A.; Dyndał, K.; Andrysiewicz, W.; Grochala, D.; Marszałek, K. GLAD Magnetron Sputtered Ultra-Thin Copper Oxide Films for Gas-Sensing Application. Coatings 2020, 10, 378. [Google Scholar] [CrossRef] [Green Version]
- Szkudlarek, A.; Kollbek, K.; Klejna, S.; Rydosz, A. Electronic Sensitization of CuO Thin Films by Cr-Doping for Enhanced Gas Sensor Response at Low Detection Limit. Mater. Res. Express 2018, 5, 126406. [Google Scholar] [CrossRef]
- Vasilii, C.; Nicolai, A.; Alexandru, C.; Nicolae, M.; Vasile, P.; Oleg, L. CuO/Cu2O Nanostructured Films for Gas Sensors. In Proceedings of the 2019 IEEE 9th International Conference on Nanomaterials: Applications and Properties, NAP 2019, Odesa, Ukraine, 15–20 September 2019; Institute of Electrical and Electronics Engineers Inc.: Piscataway, NJ, USA, 2019. [Google Scholar]
- Nithya, S.; Sharan, R.; Roy, M.; Kim, H.H.; Ishihara, T.; Dutta, A. Ni Doping in CuO: A Highly Sensitive Electrode for Sensing Ammonia in Ppm Level Using Lanthanum Gallate Based Electrolyte. Mater. Res. Bull. 2019, 118, 110478. [Google Scholar] [CrossRef]
- Khiavi, N.D.; Katal, R.; Eshkalak, S.K.; Masudy-Panah, S.; Ramakrishna, S.; Jiangyong, H. Visible Light Driven Heterojunction Photocatalyst of CuO-Cu2O Thin Films for Photocatalytic Degradation of Organic Pollutants. Nanomaterials 2019, 9, 1011. [Google Scholar] [CrossRef] [Green Version]
- Bathla, A.; Rather, R.A.; Poonia, T.; Pal, B. Morphology Dependent Photocatalytic Activity of CuO/CuO–TiO2 Nanocatalyst for Degradation of Methyl Orange Under Sunlight. J. Nanosci. Nanotechnol. 2019, 20, 3123–3130. [Google Scholar] [CrossRef]
- Koc, M.M. Photoelectrical Properties of Solar Sensitive CuO Doped Carbon Photodiodes. J. Mol. Struct. 2020, 1208, 127872. [Google Scholar] [CrossRef]
- Kang, B.S.; Ahn, S.E.; Lee, M.J.; Stefanovich, G.; Kim, K.H.; Xianyu, W.X.; Lee, C.B.; Park, Y.; Back, I.G.; Park, B.H. High-Current-Density CuOx/InZnOx Thin-Film Diodes for Cross-Point Memory Applications. Adv. Mater. 2008, 20, 3066–3069. [Google Scholar] [CrossRef]
- Sawicka-Chudy, P.; Starowicz, Z.; Wisz, G.; Yavorskyi, R.; Zapukhlyak, Z.; Bester, M.; Głowa, Ł.; Sibiński, M.; Cholewa, M. Simulation of TiO2/CuO Solar Cells with SCAPS-1D Software. Mater. Res. Express 2019, 6, 085918. [Google Scholar] [CrossRef]
- Charith, J.; Vassilios, K.; Withana, S.; Sumedha, J. Improved Efficiency of Electrodeposited P-CuO/n-Cu2O Heterojunction Solar Cell. Appl. Phys. Express 2015, 8, 65503. [Google Scholar]
- Oku, T.; Suzuki, A.; Jeyadevan, B.; Cuya, J.; Kidowaki, H.; Akiyama, T. Fabrication and Characterization of CuO-Based Solar Cells. J. Mater. Sci. Res. 2011, 1, 138. [Google Scholar] [CrossRef]
- Åsbrink, S.; Norrby, L.-J. A Refinement of the Crystal Structure of Copper(II) Oxide with a Discussion of Some Exceptional e.s.d.’s. Acta Crystallogr. Sect. B 1970, 26, 8–15. [Google Scholar] [CrossRef]
- Dimopoulos, T. All-Oxide Solar Cells; Elsevier Inc.: Amsterdam, The Netherlands, 2018; ISBN 9780128111659. [Google Scholar]
- Ekuma, C.E.; Anisimov, V.I.; Moreno, J.; Jarrell, M. Electronic Structure and Spectra of CuO. Eur. Phys. J. B 2014, 87, 23. [Google Scholar] [CrossRef]
- Wang, Y.; Lany, S.; Ghanbaja, J.; Fagot-Revurat, Y.; Chen, Y.P.; Soldera, F.; Horwat, D.; Mücklich, F.; Pierson, J.F. Electronic Structures of Cu2O, Cu4O3, and CuO: A Joint Experimental and Theoretical Study. Phys. Rev. B 1998, 94, 245418. [Google Scholar] [CrossRef]
- Tripathi, A.; Dixit, T.; Agrawal, J.; Singh, V. Bandgap Engineering in CuO Nanostructures: Dual-Band, Broadband, and UV-C Photodetectors. Appl. Phys. Lett. 2020, 116, 111102. [Google Scholar] [CrossRef]
- Shockley, W.; Queisser, H.J. Detailed Balance Limit of Efficiency of P-n Junction Solar Cells. J. Appl. Phys. 1961, 32, 510–519. [Google Scholar] [CrossRef]
- Low, J.J.; Kreider, M.L.; Pulsifer, D.P.; Jones, A.S.; Gilani, T.H. Band Gap Energy in Silicon. Am. J. Undergrad. Res. 2008, 7, 27–32. [Google Scholar] [CrossRef]
- Gilzad Kohan, M.; Concina, I.; Vomiero, A. All-Oxide Solar Cells; Elsevier Ltd.: Amsterdam, The Netherlands, 2019; ISBN 9780081027622. [Google Scholar]
- Živković, A.; Roldan, A.; de Leeuw, N.H. Density Functional Theory Study Explaining the Underperformance of Copper Oxides as Photovoltaic Absorbers. Phys. Rev. B 2019, 99, 035154. [Google Scholar] [CrossRef] [Green Version]
- Yu, L.; Zunger, A. Identification of Potential Photovoltaic Absorbers Based on First-Principles Spectroscopic Screening of Materials. Phys. Rev. Lett. 2012, 108, 068701. [Google Scholar] [CrossRef]
- Du, Y.; Gao, X.; Meng, X. Preparation and Characterization of Single-Phased n-Type CuO Film by DC Magnetron Sputtering. Phys. B Condens. Matter 2019, 560, 37–40. [Google Scholar] [CrossRef]
- Baturay, Ş.; Tombak, A.; Batibay, D.; Ocak, Y.S. N-Type Conductivity of CuO Thin Films by Metal Doping. Appl. Surf. Sci. 2019, 477, 91–95. [Google Scholar] [CrossRef]
- Nkhaili, L.; Narjis, A.; Outzourhit, A.; El Kissani, A.; El Moznine, R. Investigation of the Optical and Electrical Properties of ITO/ZnO/CdS/CuO:Co/Ag Structure for Solar Cell. Adv. Mater. Sci. Eng. 2020, 2020, 3907203. [Google Scholar] [CrossRef]
- Sealy, B.J. Ion Implantation Doping of Semiconductors. Int. Mater. Rev. 1988, 33, 38–52. [Google Scholar] [CrossRef]
- Lanke, U.D.; Vedawyas, M. Ion Beam Processing of Oriented CuO Films Deposited on (1 0 0) YSZ by Laser Ablation. Nucl. Instrum. Methods Phys. Res. Sect. B Beam Interact. Mater. At. 1999, 155, 97–101. [Google Scholar] [CrossRef]
- Ziegler, J.F.; Ziegler, M.D.; Biersack, J.P. SRIM—The Stopping and Range of Ions in Matter (2010). NIMPB 2010, 268, 1818–1823. [Google Scholar] [CrossRef] [Green Version]
- Schneider, C.A.; Rasband, W.S.; Eliceiri, K.W. NIH Image to ImageJ: 25 Years of Image Analysis. Nat. Methods 2012, 9, 671–675. [Google Scholar] [CrossRef]
- Wei, D.; Li, F.; Li, S.; Wang, S.; Ding, F.; Tian, T.; Zhang, P.; Yao, Z. Effect of Cr Ion Implantation on Surface Morphology, Lattice Deformation, Nanomechanical and Fatigue Behavior of TC18 Alloy. Appl. Surf. Sci. 2020, 506, 145023. [Google Scholar] [CrossRef]
- Jafari, A.; Tahani, K.; Dastan, D.; Asgary, S.; Shi, Z.; Yin, X.T.; Zhou, W.D.; Garmestani, H.; Ţălu, Ş. Ion Implantation of Copper Oxide Thin Films; Statistical and Experimental Results. Surf. Interfaces 2020, 18, 100463. [Google Scholar] [CrossRef]
- Hariwal, R.V.; Malik, H.K.; Negi, A.; Asokan, K. Favourable Tuning of Optical Absorbance, Bandgap and Surface Roughness of ZnO Thin Films by C Ion Implantation at the Critical Angle. Appl. Surf. Sci. Adv. 2022, 7, 100189. [Google Scholar] [CrossRef]
- Li, W.L.; Sun, Y.; Fei, W.D. Effect of Implantation Voltage on Phase Composition and Surface Roughness of A-Fe Surface Layer Implanted by Nitrogen Ion. Appl. Surf. Sci. 2002, 187, 192–198. [Google Scholar] [CrossRef]
- Debbichi, L.; Marco De Lucas, M.C.; Pierson, J.F.; Krüger, P. Vibrational Properties of CuO and Cu4O3 from First-Principles Calculations, and Raman and Infrared Spectroscopy. J. Phys. Chem. C 2012, 116, 10232–10237. [Google Scholar] [CrossRef]
- Powell, D.; Compaan, A.; Macdonald, J.R.; Forman, R.A. Raman-Scattering Study of Ion-Implantation-Produced Damage in Cu2O. Phys. Rev. B 1975, 12, 20–25. [Google Scholar] [CrossRef]
- Solache-Carranco, H.; Juarez-Diaz, G.; Galvan-arellano, M.; Martinez-Juarez, J.; Romero-Paredes, G. Raman scattering and Photoluminescence Studies on Cu2O. In Proceedings of the 2008 5th International Conference on Electrical Engineering, Computing Science and Automatic Control, Mexico City, Mexico, 12–14 November 2008; IEEE: Piscataway, NJ, USA, 2008; pp. 421–424. [Google Scholar] [CrossRef]
- Compaan, A. Surface damage effects on allowed and forbidden phonon raman scattering in cuprous oxide. Solid State Commun. 1975, 16, 293–296, ISSN 0038-1098. [Google Scholar] [CrossRef]
- Sander, T.; Reindl, C.; Klar, P. Breaking of Raman selection rules in Cu2O by intrinsic point defects. MRS Proc. 2014, 1633, 81–86. [Google Scholar] [CrossRef]












| Sample | Deposition Desired Thickness [nm] | XRR Thickness [nm] |
|---|---|---|
| S1-Si-55 | 55 | 68 |
| S1-Si-55-dose4-15 | 55 | - |
| S1-Si-130 | 130 | 152 |
| S1-Si-130-dose4-15 | 130 | 96 |
| S2-Si-130 | 130 | 119 |
| S2-Si-130-dose1-10 | 130 | 127 |
| S2-Si-130-dose2-10 | 130 | - |
| S2-Si-130-dose3-10 | 130 | 114 |
| Sample Name | Substrate | Energy of Implantation [keV] | Dose of Implantation [ions/cm2] |
|---|---|---|---|
| S1-Si-55 | silicon | - | - |
| S1-Si-55-dose4-15 | silicon | 15 | 5 × 1016 |
| S1-Si-130 | silicon | - | - |
| S1-Si-130-dose4-15 | silicon | 15 | 5 × 1016 |
| S1-G-1550 | silica glass | - | - |
| S1-G-1550-dose4-15 | silica glass | 15 | 5 × 1016 |
| S2-Si-130 | silicon | - | - |
| S2-G-130 | silica glass | - | - |
| S2-Si-130-dose1-10 | silicon | 10 | 1 × 1014 |
| S2-G-130-dose1-10 | silica glass | 10 | 1 × 1014 |
| S2-Si-130-dose2-10 | silicon | 10 | 5 × 1014 |
| S2-G-130-dose2-10 | silica glass | 10 | 5 × 1014 |
| S2-Si-130-dose3-10 | silicon | 10 | 1 × 1015 |
| S2-G-130-dose3-10 | silica glass | 10 | 1 × 1015 |
Publisher’s Note: MDPI stays neutral with regard to jurisdictional claims in published maps and institutional affiliations. |
© 2022 by the authors. Licensee MDPI, Basel, Switzerland. This article is an open access article distributed under the terms and conditions of the Creative Commons Attribution (CC BY) license (https://creativecommons.org/licenses/by/4.0/).
Share and Cite
Ungeheuer, K.; Marszalek, K.W.; Mitura-Nowak, M.; Perzanowski, M.; Jelen, P.; Marszalek, M.; Sitarz, M. Influence of Cr Ion Implantation on Physical Properties of CuO Thin Films. Int. J. Mol. Sci. 2022, 23, 4541. https://doi.org/10.3390/ijms23094541
Ungeheuer K, Marszalek KW, Mitura-Nowak M, Perzanowski M, Jelen P, Marszalek M, Sitarz M. Influence of Cr Ion Implantation on Physical Properties of CuO Thin Films. International Journal of Molecular Sciences. 2022; 23(9):4541. https://doi.org/10.3390/ijms23094541
Chicago/Turabian StyleUngeheuer, Katarzyna, Konstanty Waldemar Marszalek, Marzena Mitura-Nowak, Marcin Perzanowski, Piotr Jelen, Marta Marszalek, and Maciej Sitarz. 2022. "Influence of Cr Ion Implantation on Physical Properties of CuO Thin Films" International Journal of Molecular Sciences 23, no. 9: 4541. https://doi.org/10.3390/ijms23094541
APA StyleUngeheuer, K., Marszalek, K. W., Mitura-Nowak, M., Perzanowski, M., Jelen, P., Marszalek, M., & Sitarz, M. (2022). Influence of Cr Ion Implantation on Physical Properties of CuO Thin Films. International Journal of Molecular Sciences, 23(9), 4541. https://doi.org/10.3390/ijms23094541

