Root Exposure to 5-Aminolevulinic Acid (ALA) Affects Leaf Element Accumulation, Isoprene Emission, Phytohormonal Balance, and Photosynthesis of Salt-Stressed Arundo donax
Abstract
1. Introduction
2. Results
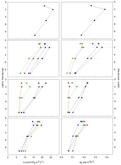
2.1. Characterization of Arundo donax Control Plants
2.2. Addition of ALA to Arundo donax Control Plants
2.3. Response of Arundo donax to Salt Stress and Following Recovery
2.4. Effects of ALA Supply in Arundo donax under Salinity and Following Recovery
3. Discussion
3.1. Root Exposure to ALA Affects Element Accumulation, Hormons Balance, Chlorophyls Concentration, and Isoprene Emission in Leaves of Non-Stressed Arundo donax Plants
3.2. Application of ALA to the Roots Improves the Performance of Salt-Stressed Arundo donax Leaves
4. Materials and Methods
4.1. Plant Material, Growth Conditions, and Treatments
4.2. Plant Biometric Characteristics and Element Concentration
4.3. Quantification of 5-aminolevulinic Acid (ALA) and Chlorophylls in Leaves
4.4. Quantification of Callose in Roots
4.5. Analysis of Indol-3-acetic Acid (IAA) and Abscisic Acid (ABA)
4.6. Gas Exchange and Chlorophyll Fluorescence Measurements
4.7. Methanol and Isoprene Emissions
4.8. Statistical Analysis
5. Conclusions
Supplementary Materials
Author Contributions
Funding
Data Availability Statement
Conflicts of Interest
References
- Olsson, L.; Barbosa, H.; Bhadwal, S.; Cowie, A.; Delusca, K.; Flores-Renteria, D.; Hermans, K.; Jobbagy, E.; Kurz, W.; Li, D.; et al. Land Degradation. In Climate Change and Land: An IPCC Special Report on Climate Change, Desertification, Land Degradation, Sustainable Land Management, Food Security, and Greenhouse Gas Fluxes in Terrestrial Ecosystems; Shukla, P.R., Skea, J., Calvo Buendia, E., Masson-Delmotte, V., Pörtner, H.-O., Roberts, D.C., Zhai, P., Slade, R., Connors, S., van Diemen, R., et al., Eds.; Intergovernmental Panel on Climate Change (IPCC): Washington, DC, USA, 2019; pp. 345–436. [Google Scholar]
- Mauser, W.; Klepper, G.; Zabel, F.; Delzeit, R.; Hank, T.; Putzenlechner, B.; Calzadilla, A. Global biomass production potentials exceed expected future demand without the need for cropland expansion. Nat. Commun. 2015, 6, 8946. [Google Scholar] [CrossRef]
- Von Cossel, M.; Lewandowski, I.; Elbersen, B.; Staritsky, I.; Van Eupen, M.; Iqbal, Y.; Mantel, S.; Scordia, D.; Testa, G.; Cosentino, S.L.; et al. Marginal Agricultural Land Low-Input Systems for Biomass Production. Energies 2019, 12, 3123. [Google Scholar] [CrossRef]
- Cocozza, C.; Brilli, F.; Pignattelli, S.; Pollastri, S.; Brunetti, C.; Gonnelli, C.; Tognetti, R.; Centritto, M.; Loreto, F. The excess of phosphorus in soil reduces physiological performances over time but enhances prompt recovery of salt-stressed Arundo donax plants. Plant Physiol. Biochem. 2020, 151, 556–565. [Google Scholar] [CrossRef] [PubMed]
- Cocozza, C.; Brilli, F.; Miozzi, L.; Pignattelli, S.; Rotunno, S.; Brunetti, C.; Giordano, C.; Pollastri, S.; Centritto, M.; Accotto, G.P.; et al. Impact of high or low levels of phosphorus and high sodium in soils on productivity and stress tolerance of Arundo donax plants. Plant Sci. 2019, 289, 110260. [Google Scholar] [CrossRef] [PubMed]
- Nackley, L.L.; Kim, S.H. A salt on the bioenergy and biological invasions debate: Salinity tolerance of the invasive biomass feedstock Arundo donax. GCB Bioenergy 2015, 7, 752–762. [Google Scholar] [CrossRef]
- Munns, R.; Tester, M. Mechanisms of salinity tolerance. Annu. Rev. Plant Biol. 2008, 59, 651–681. [Google Scholar] [CrossRef]
- Pollastri, S.; Savvides, A.; Pesando, M.; Lumini, E.; Volpe, M.G.; Ozudogru, E.A.; Faccio, A.; De Cunzo, F.; Michelozzi, M.; Lambardi, M.; et al. Impact of two arbuscular mycorrhizal fungi on Arundo donax L. response to salt stress. Planta 2018, 247, 573–585. [Google Scholar] [CrossRef]
- Sasaki, M.W.K.; Watanabe, M.; Tanaka, T.; Tanaka, T. Biosynthesis, biotechnological production and applications of 5-aminolevulinic acid. Appl. Microbiol. Biotechnol. 2002, 58, 23–29. [Google Scholar] [CrossRef]
- Jahn, D.; Heinz, D.W. Biosynthesis of 5-Aminolevulinic Acid. In Tetrapyrroles: Birth, Life and Death; Warren, M.J., Smith, A.G., Eds.; Springer Science Business Media: New York, NY, USA, 2009; pp. 29–42. [Google Scholar] [CrossRef]
- Wu, Y.; Jin, X.; Liao, W.; Hu, L.; Dawuda, M.M.; Zhao, X.; Tang, Z.; Gong, T.; Yu, J. 5-Aminolevulinic Acid (ALA) Alleviated Salinity Stress in Cucumber Seedlings by Enhancing Chloro-phyll Synthesis Pathway. Front. Plant Sci. 2018, 9, 635. [Google Scholar] [CrossRef]
- Wu, Y.; Liao, W.; Dawuda, M.M.; Hu, L.; Yu, J. 5-Aminolevulinic acid (ALA) biosynthetic and metabolic pathways and its role in higher plants: A review. Plant Growth Regul. 2019, 87, 357–374. [Google Scholar] [CrossRef]
- Tan, S.; Cao, J.; Xia, X.; Li, Z. Advances in 5-Aminolevulinic Acid Priming to Enhance Plant Tolerance to Abiotic Stress. Int. J. Mol. Sci. 2022, 23, 702. [Google Scholar] [CrossRef]
- Akram, N.A.; Ashraf, M. Regulation in Plant Stress Tolerance by a Potential Plant Growth Regulator, 5-Aminolevulinic Acid. J. Plant Growth Regul. 2013, 32, 663–679. [Google Scholar] [CrossRef]
- Rhaman, M.S.; Imran, S.; Karim, M.M.; Chakrobortty, J.; Mahamud, M.A.; Sarker, P.; Tahjib-Ul-Arif, M.; Robin, A.H.K.; Ye, W.; Murata, Y.; et al. 5-aminolevulinic acid-mediated plant adaptive responses to abiotic stress. Plant Cell Rep. 2021, 40, 1451–1469. [Google Scholar] [CrossRef]
- Su, A.; Yu, Q.; Luo, Y.; Yang, J.; Wang, E.; Yuan, H. Metabolic engineering of microorganisms for the production of multifunctional non-protein amino acids: γ-aminobutyric acid and δ-aminolevulinic acid. Microb. Biotechnol. 2021, 14, 2279–2290. [Google Scholar] [CrossRef]
- Chen, J.; Wang, Y.; Guo, X.; Rao, D.; Zhou, W.; Zheng, P.; Sun, J.; Ma, Y. Efficient biopro-duction of 5-aminolevulinic acid, a promising biostimulant and nutrient, from renewable bioresources by engineered Corynebacterium glutamicum. Biotechnol. Biofuels 2020, 13, 41. [Google Scholar] [CrossRef]
- Zheng, J.; An, Y.; Feng, X.; Wang, L. Rhizospheric application with 5 aminolevulinic acid improves coloration and quality in ‘Fuji’ apples. Sci. Hortic. 2017, 224, 74–83. [Google Scholar] [CrossRef]
- Maule, A.J.; Gaudioso-Pedraza, R.; Benitez-Alfonso, Y. Callose deposition and symplastic connectivity are regulated prior to lateral root emergence. Commun. Integr. Biol. 2013, 6, e26531. [Google Scholar] [CrossRef]
- Zavaliev, R.; Ueki, S.; Epel, B.L.; Citovsky, V. Biology of callose (β-1,3-glucan) turnover at plasmodesmata. Protoplasma 2011, 248, 117–130. [Google Scholar] [CrossRef]
- Naeem, M.S.; Jin, Z.L.; Wan, G.L.; Liu, D.; Liu, H.B.; Yoneyama, K.; Zhou, W.J. 5-Aminolevulinic acid improves photosynthetic gas exchange capacity and ion uptake under salinity stress in oilseed rape (Brassica napus L.). Plant Soil 2010, 332, 405–415. [Google Scholar] [CrossRef]
- Ali, B.; Xu, X.; Gill, R.A.; Yang, S.; Ali, S.; Tahir, M.; Zhou, W. Promotive role of 5-aminolevulinic acid on mineral nutrients and antioxidative defense system under lead toxicity in Brassica napus. Ind. Crop. Prod. 2014, 52, 617–626. [Google Scholar] [CrossRef]
- Chen, G.; Fan, P.S.; Feng, W.M.; Guan, A.Q.; Lu, Y.Y.; Wan, Y.L. Effects of 5-aminolevulinic acid on nitrogen metabolism and ion distribution of watermelon seedlings under salt stress. Russ. J. Plant Physiol. 2017, 64, 116–123. [Google Scholar] [CrossRef]
- Yang, Z.; Chang, Z.; Sun, L.; Yu, J.; Huang, B. Physiological and Metabolic Effects of 5-Aminolevulinic Acid for Mitigating Salinity Stress in Creeping Bentgrass. PLoS ONE 2014, 9, e116283. [Google Scholar] [CrossRef]
- Zhang, Z.-P.; Miao, M.-M.; Wang, C.-L. Effects of ALA on Photosynthesis, Antioxidant Enzyme Activity, and Gene Expression, and Regulation of Proline Accumulation in Tomato Seedlings Under NaCl Stress. J. Plant Growth Regul. 2015, 34, 637–650. [Google Scholar] [CrossRef]
- Anwar, A.; Yan, Y.; Liu, Y.; Li, Y.; Yu, X. 5-Aminolevulinic Acid Improves Nutrient Uptake and Endogenous Hormone Accumulation, Enhancing Low-Temperature Stress Tolerance in Cucumbers. Int. J. Mol. Sci. 2018, 19, 3379. [Google Scholar] [CrossRef]
- Wang, Y.; Wei, S.; Wang, J.; Su, X.; Suo, B.; Qin, F.; Zhao, H. Exogenous application of 5-aminolevulinic acid on wheat seedlings under drought stress enhances the transcription of psbA and psbD genes and improves photosynthesis. Braz. J. Bot. 2018, 41, 275–285. [Google Scholar] [CrossRef]
- Nemecek-Marshall, M.; MacDonald, R.C.; Franzen, J.J.; Wojciechowski, C.L.; Fall, R. Methanol Emission from Leaves (Enzymatic Detection of Gas-Phase Methanol and Relation of Methanol Fluxes to Stomatal Conductance and Leaf Development). Plant Physiol. 1995, 108, 1359–1368. [Google Scholar] [CrossRef] [PubMed]
- Brilli, F.; Gioli, B.; Fares, S.; Terenzio, Z.; Zona, D.; Gielen, B.; Loreto, F.; Janssens, I.A.; Ceulemans, R. Rapid leaf development drives the seasonal pattern of volatile organic compound (VOC) fluxes in a ‘coppiced’ bioenergy poplar plantation. Plant Cell Environ. 2016, 39, 539–555. [Google Scholar] [CrossRef] [PubMed]
- Manco, A.; Brilli, F.; Famulari, D.; Gasbarra, D.; Gioli, B.; Vitale, L.; di Tommasi, P.; Loubet, B.; Arena, C.; Magliulo, V. Cross-correlations of Biogenic Volatile Organic Compounds (BVOC) emissions typify different phenological stages and stressful events in a Mediterranean Sorghum plantation. Agric. For. Meteorol. 2021, 303, 108380. [Google Scholar] [CrossRef]
- Hotta, Y.; Tanaka, T.; Takaoka, H.; Takeuchi, Y.; Konnai, M. New Physiological Effects of 5-Aminolevulinic Acid in Plants: The Increase of Photosynthesis, Chlorophyll Content, and Plant Growth. Biosci. Biotechnol. Biochem. 1997, 61, 2025–2028. [Google Scholar] [CrossRef] [PubMed]
- Maodzeka, A.; Wang, Q.; Chen, X.; Hussain, N.; Wu, D.; Jiang, L. Effects of 5-aminolevulinic Acid on the Bioactive Compounds and Seedling Growth of Oilseed Rape (Brassica napus L.). J. Plant Biol. 2019, 62, 181–194. [Google Scholar] [CrossRef]
- Memon, S.A.; Hou, X.; Wang, L.; Li, Y. Promotive effect of 5-aminolevulinic acid on chlorophyll, antioxidative enzymes and photosynthesis of Pakchoi (Brassica campestris ssp. chinensis var. communis Tsen et Lee). Acta Physiol. Plant. 2009, 31, 51–57. [Google Scholar] [CrossRef]
- Xu, F.; Zhu, J.; Cheng, S.; Zhang, W.; Wnag, Y. Effect of 5-aminolevulinic acid on photosynthesis, yield, nutrition and medicinal values of kudzu (Pueraria phaseoloides). Trop. Grassl. 2010, 44, 260–265. [Google Scholar]
- Liu, D.; Wu, L.; Naeem, M.S.; Liu, H.; Deng, X.; Xu, L.; Zhang, F.; Zhou, W. 5-Aminolevulinic acid enhances photosynthetic gas exchange, chlorophyll fluorescence and antioxidant system in oilseed rape under drought stress. Acta Physiol. Plant. 2013, 35, 2747–2759. [Google Scholar] [CrossRef]
- Ali, B.; Wang, B.; Ali, S.; Ghani, M.A.; Hayat, M.T.; Yang, L.X.; Zhou, W.J. 5-Aminolevulinic Acid Ameliorates the Growth, Photosynthetic Gas Exchange Capacity, and Ultrastructural Chang-es Under Cadmium Stress in Brassica napus L. J. Plant Growth Regul. 2013, 32, 604–614. [Google Scholar] [CrossRef]
- Zhao, Y.; Yan, F.; Hu, L.; Zhou, X.; Zou, Z.; Cui, L. Effects of exogenous 5-aminolevulinic acid on photosynthesis, stomatal conductance, transpiration rate, and PIP gene expression of tomato seedlings subject to salinity stress. Genet. Mol. Res. 2015, 14, 6401–6412. [Google Scholar] [CrossRef]
- Ye, J.; Chen, Q.; Tao, T.; Wang, G.; Xu, F. Promotive effects of 5-Aminolevulinic acid on growth, photosynthetic gas exchange, chlorophyll, and antioxidative enzymes under salinity stress in Prunnus persica (L.) Batseh Seedling. Emir. J. Food Agric. 2016, 28, 786–795. [Google Scholar] [CrossRef]
- Elansary, H.O.; El-Ansary, D.O.; Al-Mana, F.A. 5-Aminolevulinic Acid and Soil Fertility Enhance the Resistance of Rosemary to Alternaria dauci and Rhizoctonia solani and Modulate Plant Biochemistry. Plants 2019, 8, 585. [Google Scholar] [CrossRef]
- Feng, X.; An, Y.; Gao, J.; Wang, L. Photosynthetic Responses of Canola to Exogenous Ap-plication or Endogenous Overproduction of 5-Aminolevulinic Acid (ALA) under Various Nitrogen Levels. Plants 2020, 9, 1419. [Google Scholar] [CrossRef]
- Bindu, R.C.; Vivekanandan, M. Hormonal activities of 5-aminolevulinic acid in callus induction and micropropagation. Plant Growth Regul. 1998, 26, 15–18. [Google Scholar] [CrossRef]
- An, Y.; Cheng, D.; Rao, Z.; Sun, Y.; Tang, Q.; Wang, L. 5-Aminolevulinic acid (ALA) pro-motes primary root elongation through modulation of auxin transport in Arabidopsis. Acta Physiol. Plant 2019, 41, 85. [Google Scholar] [CrossRef]
- Lichtenthaler, H.K. The 1-deoxy-D-xylulose-5-phosphate pathway of isoprenoid biosynthesis in plants. Annu. Rev. Plant Physiol. Plant Mol. Biol. 1999, 50, 47–65. [Google Scholar] [CrossRef]
- Brzezowski, P.; Richter, A.S.; Grimm, B. Regulation and function of tetrapyrrole biosynthesis in plants and algae. Biochim. Biophys. Acta 2015, 1847, 968–985. [Google Scholar] [CrossRef] [PubMed]
- Kim, S.; Schlicke, H.; Van Ree, K.; Karvonen, K.; Subramaniam, A.; Richter, A.; Grimm, B.; Braam, J. Arabidopsis Chlorophyll Biosynthesis: An Essential Balance between the Methylerythritol Phosphate and Tetrapyrrole Pathways. Plant Cell 2013, 25, 4984–4993. [Google Scholar] [CrossRef] [PubMed]
- Barta, C.; Loreto, F. The relationship between the methyl-erythritol phosphate (MEP) pathway leading to emission of volatile isoprenoids and abscisic acid content in leaves. Plant Physiol. 2006, 141, 1676–1683. [Google Scholar] [CrossRef][Green Version]
- Nguyen, H.; Kim, H.-S.; Jung, S. Altered tetrapyrrole metabolism and transcriptome during growth-promoting actions in rice plants treated with 5-aminolevulinic acid. Plant Growth Regul. 2016, 78, 133–144. [Google Scholar] [CrossRef]
- Pompeiano, A.; Remorini, D.; Vita, F.; Guglielminetti, L.; Miele, S.; Morini, S. Growth and physiological response of Arundo donax L. to controlled drought stress and recovery. Plant Biosyst. 2017, 151, 906–914. [Google Scholar] [CrossRef]
- Wu, S.-W.; Kumar, R.; Iswanto, A.B.B.; Kim, J.-Y. Callose balancing at plasmodesmata. J. Exp. Bot. 2018, 69, 5325–5339. [Google Scholar] [CrossRef]
- Bongi, G.; Loreto, F. Gas-exchange characteristics of salt-stressed leaves of olive (Olea europea L.). Plant Physiol. 1989, 90, 1408–1416. [Google Scholar] [CrossRef]
- Nawaz, F.; Shehzad, M.A.; Majeed, S.; Ahmad, K.S.; Aqib, M.; Usmani, M.M.; Shabbir, R.N. Role of Mineral Nutrition in Improving Drought and Salinity Tolerance in Field Crops. In Agronomic Crops Volume 3: Stress Responses and Tolerance; Hasanuzzaman, Ed.; Springer Nature Singapore Pte Ltd.: Singapore, 2020; pp. 129–148. [Google Scholar]
- Wu, W.W.; He, S.S.; An, Y.Y.; Cao, R.X.; Sun, Y.P.; Tang, Q.; Wang, L.J. Hydrogen peroxide as a mediator of 5-aminolevulinic acid-induced Na+ retention in roots for improving salt tolerance of strawberries. Physiol Plant. 2019, 167, 5–20. [Google Scholar] [CrossRef]
- Snaith, P.J.; Mansfield, T.A. Control of the CO2 Responses of Stomata by Indol-3ylacetic Acid and Abscisic Acid. J. Exp. Bot. 1982, 33, 360–365. [Google Scholar] [CrossRef]
- Dodd, I.C. Hormonal Interactions and Stomatal Responses. J. Plant Growth Regul. 2003, 22, 32–46. [Google Scholar] [CrossRef]
- An, Y.; Liu, L.; Chen, L.; Wang, L. ALA Inhibits ABA-induced Stomatal Closure via Reducing H2O2 and Ca2+ Levels in Guard Cells. Front. Plant Sci. 2016, 7, 482. [Google Scholar] [CrossRef]
- An, Y.; Feng, X.; Liu, L.; Xiong, L.; Wang, L. ALA-Induced Flavonols Accumulation in Guard Cells Is Involved in Scavenging H2O2 and Inhibiting Stomatal Closure in Arabidopsis Cotyledons. Front. Plant Sci. 2016, 7, 1713. [Google Scholar] [CrossRef]
- Gaffe, J.; Tuieman, D.M.; Handa, A.K. Pectin methylesterase isoforms in tomato (Lycopersi-con esculentum) tissues (effects of expression of a pectin methylesterase antisense gene). Plant Physiol. 1994, 105, 199–203. [Google Scholar] [CrossRef]
- Fricke, W. Rapid and tissue-specific accumulation of solutes in the growth zone of barley leaves in response to salinity. Planta 2004, 219, 515–525. [Google Scholar] [CrossRef]
- Ahrar, M.; Doneva, D.; Koleva, D.; Romano, A.; Rodeghiero, M.; Tsonev, T.; Biasioli, F.; Stefanova, M.; Peeva, V.; Wohlfahrt, G.; et al. Isoprene emission in the monocot Arundineae tribe in relation to functional and structural organization of the photosynthetic apparatus. Environ. Exp. Bot. 2015, 119, 87–95. [Google Scholar] [CrossRef]
- Lantz, A.T.; Allman, J.; Weraduwage, S.M.; Sharkey, T.D. Isoprene: New insights into the control of emission and mediation of stress tolerance by gene expression. Plant Cell Environ. 2019, 42, 2808–2826. [Google Scholar] [CrossRef]
- Loreto, F.; Delfine, S. Emission of Isoprene from Salt-Stressed Eucalyptus globulus Leaves. Plant Physiol. 2000, 123, 1605–1610. [Google Scholar] [CrossRef]
- Vickers, C.E.; Gershenzon, J.; Lerdau, M.T.; Loreto, F. A unified mechanism of action for volatile isoprenoids in plant abiotic stress. Nat. Chem. Biol. 2009, 5, 283–291. [Google Scholar] [CrossRef]
- Velikova, V.; Brunetti, C.; Tattini, M.; Doneva, D.; Ahrar, M.; Tsonev, T.; Stefanova, M.; Ga-neva, T.; Gori, A.; Ferrini, F.; et al. Physiological significance of isoprenoids and phenylpropanoids in drought response of Arundinoideae species with contrasting habitats and me-tabolism. Plant Cell Environ. 2016, 39, 2185–2197. [Google Scholar] [CrossRef]
- Bettarini, I.; Colzi, I.; Coppi, A.; Falsini, S.; Echevarria, G.; Pazzagli, L.; Selvi, F.; Gonnelli, C. Unravelling soil and plant metal relationships in Albanian nickel hyperaccumulators in the genus Odontarrhena (syn. Alyssum sect. Odontarrhena, Brassicaceae). Plant Soil 2019, 440, 135–149. [Google Scholar] [CrossRef]
- Harel, E.; Klein, S. Light dependent formation of δ-aminolevulinic acid in etiolated leaves of higher plants. Biochem. Biophys. Res. Commun. 1972, 49, 364–370. [Google Scholar] [CrossRef]
- Bhushan, D.; Pandey, A.; Choudhary, M.K.; Datta, A.; Chakraborty, S.; Chakraborty, N. Comparative proteomics analysis of differentially expressed proteins in chickpea extracellular matrix during dehydration stress. Mol. Cell Proteomics 2007, 6, 1868–1884. [Google Scholar] [CrossRef]
- Smith, E.; Naik, D.; Cumming, J.R. Genotypic variation in aluminum resistance, cellular aluminum fractions, callose and pectin formation and organic acid accumulation in roots of Populus hybrids. Environ. Exp. Bot. 2011, 72, 182–193. [Google Scholar] [CrossRef]
- Ludwig-Müller, J.; Georgiev, M.; Bley, T. Metabolite and hormonal status of hairy root cultures of Devil’s claw (Harpagophytum procumbens) in flasks and in a bubble column bioreactor. Process Biochem. 2008, 43, 15–23. [Google Scholar] [CrossRef]
- Baraldi, R.; Chen, K.H.; Cohen, J.D. Microscale isolation technique for quantitative gas chro-matography-mass spectrometry analysis of indole-3-acetic acid from cherry (Prunus cerasus L.). J. Chromatogr. A 1988, 442, 301–306. [Google Scholar] [CrossRef]
- Cohen, J.D.; Baldi, B.G.; Slovin, J.P. 13C6-[Benzene Ring]-Indole-3-Acetic Acid. Plant Physiol. 1986, 80, 14–19. [Google Scholar] [CrossRef]
- Von Caemmerer, S.; Farquhar, G.D. Some relationships between the biochemistry of photo-synthesis and the gas exchange of leaves. Planta 1981, 153, 376–387. [Google Scholar] [CrossRef] [PubMed]
- Genty, B.; Briantis, J.M.; Baker, N.K. The relationship between the quantum yield of photo-synthetic electron transport and quenching of chlorophyll fluorescence. Biochim. Biophys. Acta 1989, 990, 87–92. [Google Scholar] [CrossRef]
- Lindinger, W.; Hansel, A.; Jordan, A. On-line monitoring of volatile organic compounds at pptv levels by means of proton transfer-reaction mass spectrometry (PTR-MS) medical applications, food control and environmental research. Int. J. Mass Spectrom. 1998, 173, 191–241. [Google Scholar] [CrossRef]




| Developed Internodes (n) | Apical Culm Length (cm) | |||||||
|---|---|---|---|---|---|---|---|---|
| CTR | Na | ALA | Na + ALA | CTR | Na | ALA | Na + ALA | |
| T0 | 10.67 ± 0.31 A | - | - | - | 5.98 ± 0.15 A | - | - | - |
| T2 | 9.00 ± 0.37 B a | 1.50 ± 0.37 B b | 9.00 ± 0.32 A ac | 3.33 ± 1.45 B b | 3.47 ± 0.24 B a | 2.36 ± 0.31 A b | 3.84 ± 0.27 A a | 2.99 ± 0.20 A ab |
| R | 5.33 ± 0.49 C b | 8.00 ± 0.001 A b | 4.60 ± 0.24 B b | 7.00 ± 1.00 A b | 2.33 ± 0.10 C b | 2.54 ± 0.15 A ab | 2.38 ± 0.15 B b | 3.08 ± 0.23 A a |
| FV/FM | ΦPSII | NPQ | |||||||||||
|---|---|---|---|---|---|---|---|---|---|---|---|---|---|
| CTR | Na | ALA | Na + ALA | CTR | Na | ALA | Na + ALA | CTR | Na | ALA | Na + ALA | ||
| T0 | 1st apical | --- | --- | --- | --- | 0.296 ± 0.034 A | --- | --- | --- | --- | --- | --- | --- |
| 2nd apical | 0.829 ± 0.001 A | --- | --- | --- | 0.336 ± 0.031 A | --- | --- | --- | 1.642 ± 0.065 A | --- | --- | --- | |
| median | 0.827 ± 0.002 A | --- | --- | --- | 0.283 ± 0.007 A | --- | --- | --- | 1.574 ± 0.054 A | --- | --- | --- | |
| basal | 0.824 ± 0.002 A | --- | --- | --- | 0.217 ± 0.036 A | --- | --- | --- | 1.727 ± 0.100 A | --- | --- | --- | |
| T1 | 1st apical | --- | --- | --- | --- | 0.309 ± 0.033 A a | 0.298 ± 0.028 A a | 0.283 ± 0.023 A a | 0.292 ± 0.014 A a | --- | --- | --- | --- |
| 2nd apical | 0.831 ± 0.002 A a | 0.815 ± 0.008 A ab | 0.824 ± 0.002 A ab | 0.807 ± 0.004 A b | 0.344 ± 0.035 A a | 0.314 ± 0.018 A a | 0.286 ± 0.023 A a | 0.298 ± 0.028 A a | 1.550 ± 0.062 A a | 1.611 ± 0.094 A a | 1.505 ± 0.119 A a | 1.461 ± 0.246 A a | |
| median | 0.827 ± 0.001 A a | 0.816 ± 0.006 A a | 0.813 ± 0.003 A a | 0.821 ± 0.003 A a | 0.290 ± 0.013 AB a | 0.255 ± 0.024 AB a | 0.246 ± 0.027 AB a | 0.222 ± 0.021 AB a | 1.691 ± 0.070 A a | 1.611 ± 0.043 A a | 1.752 ± 0.083 A a | 1.748 ± 0.041 A a | |
| basal | 0.821 ± 0.003 A a | 0.815 ± 0.004 A a | 0.812 ± 0.006 A a | 0.812 ± 0.003 A a | 0.198 ± 0.027 B a | 0.182 ± 0.013 B a | 0.186 ± 0.004 B a | 0.147 ± 0.028 B a | 1.659 ± 0.057 A ab | 1.653 ± 0.020 A ab | 1.462 ± 0.051 A b | 1.704 ± 0.062 A a | |
| T2 | 1st apical | --- | --- | --- | --- | 0.309 ± 0.011 A a | 0.168 ± 0.010 A b | 0.289 ± 0.009 A a | 0.232 ± 0.012 A b | --- | --- | --- | --- |
| 2nd apical | 0.795 ± 0.008 A b | 0.915 ± 0.032 A a | 0.838 ± 0.026 A ab | 0.903 ± 0.032 A ab | 0.288 ± 0.017 AB a | 0.158 ± 0.006 A b | 0.289 ± 0.018 A a | 0.236 ± 0.012 A a | 1.792 ± 0.076 A a | 1.763 ± 0.104 A a | 1.683 ± 0.075 A a | 1.839 ± 0.072 A a | |
| median | 0.860 ± 0.022 B a | 0.944 ± 0.009 A a | 0.889 ± 0.016 AB a | 0.910 ± 0.025 A a | 0.250 ± 0.013 B a | 0.147 ± 0.008 AB b | 0.255 ± 0.008 A a | 0.117 ± 0.006 B b | 1.824 ± 0.074 A a | 1.850 ± 0.054 A a | 1.785 ± 0.130 A a | 1.860 ± 0.033 A a | |
| basal | 0.951 ± 0.003 C a | 0.955± 0.006 A a | 0.945± 0.006 B a | 0.928 ± 0.019 A a | 0.162 ± 0.002 C a | 0.116 ± 0.012 B b | 0.166 ± 0.011 B a | 0.162 ± 0.010 B a | 2.081 ± 0.067 A a | 1.909 ± 0.128 A a | 1.727 ± 0.064 A a | 1.676 ± 0.190 A a | |
| R | 1st apical | --- | --- | --- | --- | 0.251 ± 0.004 AB b | 0.292 ± 0.004 A a | 0.304 ± 0.013 A a | 0.274 ± 0.010 A ab | --- | --- | --- | --- |
| 2nd apical | 0.868 ± 0.034 A a | 0.887 ± 0.021 A a | 0.904 ± 0.006 AB a | 0.946 ± 0.001 A a | 0.279 ± 0.019 A a | 0.292 ± 0.010 A a | 0.264 ± 0.009 A a | 0.253 ± 0.019 A a | 1.727 ± 0.066 A a | 1.821 ± 0.176 A a | 1.578 ± 0.058 A a | 1.554 ± 0.013 A a | |
| median | 0.894 ± 0.001 A c | 0.871 ± 0.002 A b | 0.923 ± 0.002 A a | 0.904 ± 0.003 B b | 0.231 ± 0.002 B a | 0.210 ± 0.039 AB a | 0.215 ± 0.015 B a | 0.223 ± 0.010 AB a | 1.745 ± 0.108 A a | 1.568 ± 0.097 A a | 1.607 ± 0.037 A a | 1.486 ± 0.026 A a | |
| basal | 0.910 ± 0.022 A a | 0.876 ± 0.010 A ab | 0.880 ± 0.010 B a | 0.818 ± 0.005 C b | 0.168 ± 0.008 C a | 0.199 ± 0.027 B a | 0.181 ± 0.013 B a | 0.201 ± 0.014 B a | 1.828 ± 0.052 A a | 1.827 ± 0.166 A a | 1.922 ± 0.183 A a | 1.795 ± 0.043 B a | |
| CTR | Na | ALA | Na + ALA | ||||||||||
|---|---|---|---|---|---|---|---|---|---|---|---|---|---|
| IAA | ABA | ABA/IAA | IAA | ABA | ABA/IAA | IAA | ABA | ABA/IAA | IAA | ABA | ABA/IAA | ||
| T1 | apical | 346.1 ± 26.3 B b | 1216.3 ± 59.0 A b | 3.5 ± 0.4 A a | 295.4 ± 41.7 B b | 2030.3 ± 96.2 A bc | 6.9 ± 1.3 A b | 618.7 ± 109.1 A a | 1586.6 ± 130.7 A b | 2.6 ± 0.7 A a | 614.3 ± 76.0 B a | 3184.5 ± 118.6 A a | 5.2 ± 0.7 A b |
| median | 299.6 ± 25.9 B b | 804.6 ± 97.1 B a | 2.7 ± 0.6 AB a | 321.7 ± 32.0 B b | 1129.5 ± 98.1 B a | 3.5 ± 0.7 AB b | 210.9 ± 68.6 B b | 714.4 ± 213.3 B a | 3.4 ± 2.1 A a | 1953.7 ± 252.6 A a | 1281.8 ± 257.6 B a | 0.7 ± 0.2 B b | |
| basal | 678.3 ± 76.0 A b | 614.8 ± 55.7 B a | 0.9 ± 0.2 B a | 954.9 ± 56.0 A bc | 1249.2 ± 150.0 B a | 1.3 ± 0.2 B a | 523.4 ± 46.3 AB b | 797.0 ± 206.8 A a | 1.5 ± 0.5 A a | 2250.3 ± 127.4 A a | 1540.2 ± 77.3 B a | 0.7 ± 0.1 B b | |
| T2 | apical | 1002.9 ± 123.4 A a | 1184.5 ± 149.6 B b | 1.1 ± 0.3 A a | 552.0 ± 75.4 A b | 2015.5 ± 235.6 A a | 3.7 ± 0.9 A b | 484.6 ± 73.1 A b | 1440.5 ± 247.0 B a | 3.0 ± 1.0 A a | 849.1 ± 47.4 A ab | 2168.9 ± 183.3 A a | 2.6 ± 0.4 A a |
| median | 666.9 ± 57.7 A a | 1127.7 ± 206.1 B b | 1.7 ± 0.5 A a | 498.3 ± 80.6 A a | 1406.1 ± 142.0 A ab | 2.8 ± 0.7 A b | 757.1 ± 76.6 A a | 1894.7 ± 65.9 B a | 2.5 ± 0.3 A b | 529.1 ± 32.0 B a | 1088.6 ± 223.5 B b | 2.1 ± 0.5 A a | |
| basal | 901.1 ± 193.1 A a | 1981.4 ± 60.7 A b | 2.2 ± 0.5 A b | - | - | - | 520.0 ± 64.0 A a | 3076.1 ± 117.8 A a | 5.9 ± 1.0 A a | - | - | - | |
| R | apical | 625.7 ± 86.9 B a | 1698.5 ± 112.9 A ac | 2.7 ± 0.6 A b | 280.0 ± 36.0 B c | 1767.8 ± 87.9 A a | 6.3 ± 1.1 A a | 368.0 ± 46.9 A b | 1185.2 ± 43.9 A b | 3.2 ± 0.5 A ab | 305.1 ± 27.4 A b | 829.9 ± 110.2 A b | 2.7 ± 0.6 A b |
| median | 600.6 ± 175.4 B a | 994.3 ± 73.9 B a | 1.7 ± 0.6 A ab | 396.0 ± 13.1 A ab | 964.4 ± 337.5 B a | 2.4 ± 0.9 A ab | 481.7 ± 22.3 A ab | 624.2 ± 68.6 B a | 1.3 ± 0.2 B b | 154.9 ± 10.3 B b | 689.0 ± 39.8 B a | 4.4 ± 0.6 A a | |
| basal | 1254.9 ± 141.1 A a | 1978.4 ± 92.8 A a | 1.6 ± 0.3 A a | - | - | - | 451.4 ± 33.1 A b | 1051.1 ± 32.2 A b | 2.3 ± 0.2 AB a | - | - | - | |
| CTR | Na | ALA | Na + ALA | ||
|---|---|---|---|---|---|
| T0 | apical | 0.65 ± 0.19 B | --- | --- | --- |
| median | 1.51 ± 0.35 AB | --- | --- | --- | |
| basal | 2.37 ± 0.51 A | --- | --- | --- | |
| T2 | apical | 1.35 ± 0.33 A b | 2.03 ± 0.29 C b | 3.76 ± 0.32 A a | 4.20 ± 0.42 A a |
| median | 2.05 ± 0.30 A b | 4.04 ± 0.15 B a | 3.60 ± 0.70 A a | 4.21 ± 0.35 A a | |
| basal | 1.82 ± 0.21 A b | 6.03 ± 0.45 A a | 3.59 ± 0.39 A c | 4.68 ± 0.24 A ac | |
| R | apical | 3.50 ± 0.32 A b | 5.06 ± 0.49 A a | 5.08 ± 0.77 A a | 5.52 ± 0.20 B a |
| median | 3.96 ± 0.55 A b | 6.93 ± 0.64 A a | 6.17 ± 0.45 A a | 7.68 ± 0.48 A a | |
| basal | 3.96 ± 0.26 A b | --- | 6.71 ± 0.40 A a | --- |
Publisher’s Note: MDPI stays neutral with regard to jurisdictional claims in published maps and institutional affiliations. |
© 2022 by the authors. Licensee MDPI, Basel, Switzerland. This article is an open access article distributed under the terms and conditions of the Creative Commons Attribution (CC BY) license (https://creativecommons.org/licenses/by/4.0/).
Share and Cite
Brilli, F.; Pignattelli, S.; Baraldi, R.; Neri, L.; Pollastri, S.; Gonnelli, C.; Giovannelli, A.; Loreto, F.; Cocozza, C. Root Exposure to 5-Aminolevulinic Acid (ALA) Affects Leaf Element Accumulation, Isoprene Emission, Phytohormonal Balance, and Photosynthesis of Salt-Stressed Arundo donax. Int. J. Mol. Sci. 2022, 23, 4311. https://doi.org/10.3390/ijms23084311
Brilli F, Pignattelli S, Baraldi R, Neri L, Pollastri S, Gonnelli C, Giovannelli A, Loreto F, Cocozza C. Root Exposure to 5-Aminolevulinic Acid (ALA) Affects Leaf Element Accumulation, Isoprene Emission, Phytohormonal Balance, and Photosynthesis of Salt-Stressed Arundo donax. International Journal of Molecular Sciences. 2022; 23(8):4311. https://doi.org/10.3390/ijms23084311
Chicago/Turabian StyleBrilli, Federico, Sara Pignattelli, Rita Baraldi, Luisa Neri, Susanna Pollastri, Cristina Gonnelli, Alessio Giovannelli, Francesco Loreto, and Claudia Cocozza. 2022. "Root Exposure to 5-Aminolevulinic Acid (ALA) Affects Leaf Element Accumulation, Isoprene Emission, Phytohormonal Balance, and Photosynthesis of Salt-Stressed Arundo donax" International Journal of Molecular Sciences 23, no. 8: 4311. https://doi.org/10.3390/ijms23084311
APA StyleBrilli, F., Pignattelli, S., Baraldi, R., Neri, L., Pollastri, S., Gonnelli, C., Giovannelli, A., Loreto, F., & Cocozza, C. (2022). Root Exposure to 5-Aminolevulinic Acid (ALA) Affects Leaf Element Accumulation, Isoprene Emission, Phytohormonal Balance, and Photosynthesis of Salt-Stressed Arundo donax. International Journal of Molecular Sciences, 23(8), 4311. https://doi.org/10.3390/ijms23084311

