Zinc Prevents DNA Damage in Normal Cells but Shows Genotoxic and Cytotoxic Effects in Acute Myeloid Leukemia Cells
Abstract
1. Introduction
2. Results
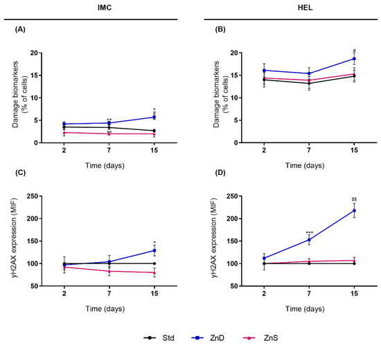
2.1. Zn Depletion Increased Chromosomal Damage and yH2AX Expression in Normal Lymphocytes and AML Cells without Exposure to Genotoxic Agents
2.2. Zn Supplementation Differentially Modulated Cell Death in Normal Lymphocytes and AML Cells without Exposure to Genotoxic Agents
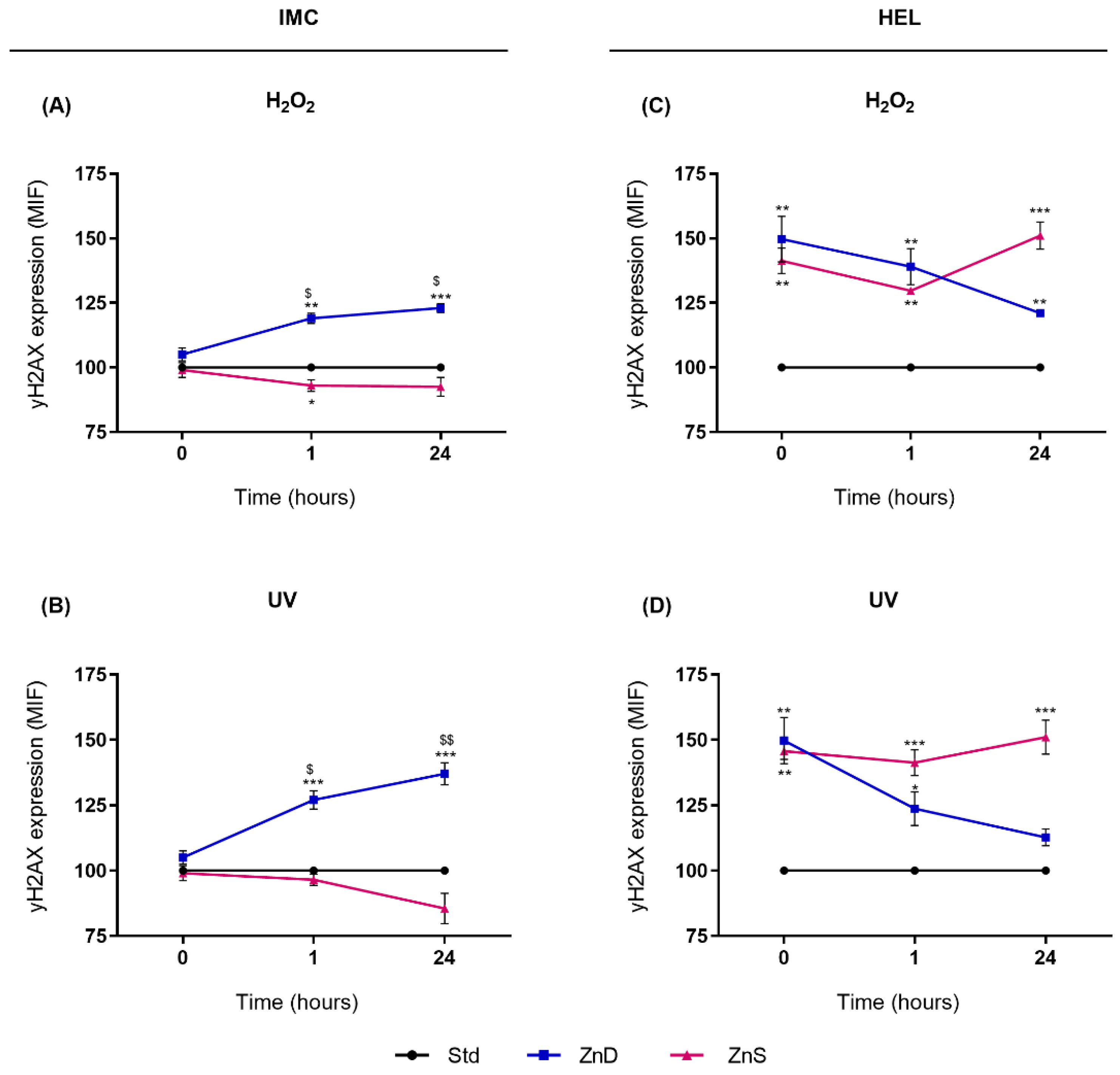
2.3. Zn Supplementation Protected Normal Lymphocytes from Chromosomal Damage Following Genotoxic Exposure but Potentiated Genotoxicity in AML Cells
2.4. yH2AX Was Persistently Activated 24 h after Genotoxic Exposure in ZnD Lymphocytes and ZnS AML Cells
2.5. Zn Supplementation Increased Apoptosis and Decreased NDI after Genotoxic Exposure in Both Cell Lines
2.6. Expression of Key DDR Genes Was Not Affected by Zn Depletion or Supplementation
3. Discussion
4. Materials and Methods
4.1. Cell Culture
4.2. Genotoxic Exposure
4.3. Cytokinesis-Block Micronucleus Cytome Assay
4.4. yH2AX Expression Analysis
4.5. Gene Expression Analysis
4.6. Statistical Analysis
Supplementary Materials
Author Contributions
Funding
Institutional Review Board Statement
Informed Consent Statement
Data Availability Statement
Conflicts of Interest
References
- Ciccia, A.; Elledge, S.J. The DNA Damage Response: Making It Safe to Play with Knives. Mol. Cell 2010, 40, 179–204. [Google Scholar] [CrossRef] [PubMed]
- Fenech, M.F. Dietary reference values of individual micronutrients and nutriomes for genome damage prevention: Current status and a road map to the future. Am. J. Clin. Nutr. 2010, 91, 1438S–1454S. [Google Scholar] [CrossRef]
- Collins, A.R.; Azqueta, A.; Langie, S. Effects of micronutrients on DNA repair. Eur. J. Nutr. 2012, 51, 261–279. [Google Scholar] [CrossRef] [PubMed]
- Reddy, V.S.; Palika, R.; Ismail, A.; Pullakhandam, R.; Reddy, G.B. Nutrigenomics: Opportunities & challenges for public health nutrition. Indian J. Med. Res. 2018, 148, 632–641. [Google Scholar] [CrossRef] [PubMed]
- Tehrani, S.S.; Hosseini, H.M.; Yousefi, T.; Abolghasemi, M.; Qujeq, D.; Maniati, M.; Amani, J. The crosstalk between trace elements with DNA damage response, repair, and oxidative stress in cancer. J. Cell. Biochem. 2018, 120, 1080–1105. [Google Scholar] [CrossRef] [PubMed]
- Dhawan, D.K.; Chadha, V.D. Zinc: A promising agent in dietary chemoprevention of cancer. Indian J. Med. Res. 2010, 132, 676–682. [Google Scholar]
- Orlov, A.P.; Orlova, M.A.; Trofimova, T.P.; Kalmykov, S.N.; Kuznetsov, D.A. The role of zinc and its compounds in leu-kemia, Journal of biological inorganic chemistry. J. Biol. Inorg. Chem. 2018, 23, 347–362. [Google Scholar] [CrossRef] [PubMed]
- Skrajnowska, D.; Bobrowska-Korczak, B. Role of Zinc in Immune System and Anti-Cancer Defense Mechanisms. Nutrients 2019, 11, 2273. [Google Scholar] [CrossRef]
- Ho, E. Zinc deficiency, DNA damage and cancer risk. J. Nutr. Biochem. 2004, 15, 572–578. [Google Scholar] [CrossRef]
- Delia, D.; Mizutani, S. The DNA damage response pathway in normal hematopoiesis and malignancies. Int. J. Hematol. 2017, 106, 328–334. [Google Scholar] [CrossRef]
- Nilles, N.; Fahrenkrog, B. Taking a Bad Turn: Compromised DNA Damage Response in Leukemia. Cells 2017, 6, 11. [Google Scholar] [CrossRef] [PubMed]
- Valadbeigi, S.; Javadian, S.; Ebrahimi-Rad, M.; Khatami, S.; Saghiri, R. Assessment of trace elements in serum of acute lymphoblastic and myeloid leukemia patients. Exp. Oncol. 2019, 41, 69–71. [Google Scholar] [PubMed]
- Zhu, B.; Wang, J.Y.; Zhou, J.J.; Zhou, F.; Cheng, W.; Liu, Y.T.; Wang, J.; Chen, X.; Chen, D.H.; Luo, L.; et al. PML-RARalpha stabilized by zinc in human acute promyelocytic leukemia NB4 cells. J. Inorg. Biochem. 2017, 175, 92–100. [Google Scholar] [CrossRef] [PubMed]
- Huang, L.; Drake, V.J.; Ho, E. Zinc. Adv. Nutr. 2015, 6, 224–226. [Google Scholar] [CrossRef]
- Hoang, B.X.; Han, B.; Shaw, D.G.; Nimni, M.E. Zinc as a possible preventive and therapeutic agent in pancreatic, prostate, and breast cancer. Eur. J. Cancer Prev. 2016, 25, 457–461. [Google Scholar] [CrossRef] [PubMed]
- Raisi, A.; Mehrzad, V.; Mahmood-Zadeh, M.; Feizi, A. Determination Relation of the Zinc Serum Level in Acute Leukemia Adult Patients with Mucositis and Neutropenic Prevalence before and after Treatment in Isfahan’ Seyed-Al-Shohada Hospital, 2012–2013. Adv. Biomed. Res. 2018, 7, 31. [Google Scholar] [CrossRef] [PubMed]
- Yildiz, A.; Kaya, Y.; Tanriverdi, O. Effect of the Interaction Between Selenium and Zinc on DNA Repair in Association With Cancer Prevention. J. Cancer Prev. 2019, 24, 146–154. [Google Scholar] [CrossRef]
- Franklin, R.B.; Costello, L.C. The important role of the apoptotic effects of zinc in the development of cancers. J. Cell. Biochem. 2009, 106, 750–757. [Google Scholar] [CrossRef]
- Ho, E.; Courtemanche, C.; Ames, B.N. Zinc Deficiency Induces Oxidative DNA Damage and Increases P53 Expression in Human Lung Fibroblasts. J. Nutr. 2003, 133, 2543–2548. [Google Scholar] [CrossRef]
- Yan, M.; Song, Y.; Wong, C.P.; Hardin, K.; Ho, E. Zinc Deficiency Alters DNA Damage Response Genes in Normal Human Prostate Epithelial Cells. J. Nutr. 2008, 138, 667–673. [Google Scholar] [CrossRef]
- Reaves, S.K.; Fanzo, J.; Arima, K.; Wu, J.Y.J.; Wang, Y.R.; Lei, K.Y. Expression of the p53 tumor suppressor gene is up-regulated by depletion of intracellular zinc in HepG2 cells. J. Nutr. 2000, 130, 1688–1694. [Google Scholar] [CrossRef] [PubMed][Green Version]
- Zyba, S.J.; Shenvi, S.V.; Killilea, D.W.; Holland, T.C.; Kim, E.; Moy, A.; Sutherland, B.; Gildengorin, V.; Shigenaga, M.K.; King, J.C. A moderate increase in dietary zinc reduces DNA strand breaks in leukocytes and alters plasma proteins without changing plasma zinc concentrations. Am. J. Clin. Nutr. 2017, 105, 343–351. [Google Scholar] [CrossRef]
- Vallee, B.L.; Falchuk, K.H. The biochemical basis of zinc physiology. Physiol. Rev. 1993, 73, 79–118. [Google Scholar] [CrossRef] [PubMed]
- Wysokinski, D.; Blasiak, J.; Woźniak, K. Zinc differentially modulates DNA damage induced by anthracyclines in normal and cancer cells. Exp. Oncol. 2012, 34, 327–331. [Google Scholar] [PubMed]
- Śliwiński, T.; Czechowska, A.; Kolodziejczak, M.; Jajte, J.; Wiśniewska-Jarosińska, M.; Blasiak, J. Zinc salts differentially modulate DNA damage in normal and cancer cells. Cell Biol. Int. 2009, 33, 542–547. [Google Scholar] [CrossRef] [PubMed]
- D’Andrea, A.D. Targeting DNA repair pathways in AML. Best Pr. Res. Clin. Haematol. 2010, 23, 469–473. [Google Scholar] [CrossRef]
- Villela, L.; Bolanos-Meade, J. Acute myeloid leukaemia: Optimal management and recent developments. Drugs 2011, 71, 1537–1550. [Google Scholar] [CrossRef]
- Fenech, M. Cytokinesis-block micronucleus cytome assay. Nat. Protoc. 2007, 2, 1084–1104. [Google Scholar] [CrossRef]




| IMC | HEL | |||||
|---|---|---|---|---|---|---|
| 2nd Day | 7th Day | 15th Day | 2nd Day | 7th Day | 15th Day | |
| Std | 1.61 ± 0.05 | 1.46 ± 0.03 | 1.51 ± 0.02 | 1.79 ± 0.05 | 1.76 ± 0.02 | 1.67 ± 0.03 |
| ZnD | 1.49 ± 0.03 | 1.35 ± 0.01 | 1.41 ± 0.04 | 1.73 ± 0.01 | 1.57 ± 0.07 * | 1.53 ± 0.03 * |
| ZnS | 1.61 ± 0.02 | 1.57 ± 0.02 | 1.54 ± 0.03 | 1.69 ± 0.02 * | 1.61 ± 0.04 * | 1.49 ± 0.03 **,$ |
| IMC | HEL | |||||
|---|---|---|---|---|---|---|
| 2nd Day | 7th Day | 15th Day | 2nd Day | 7th Day | 15th Day | |
| H2O2 | ||||||
| Std | 6.0 ± 0.9 | 7.5 ± 0.8 | 9.2 ± 3.8 | 6.8 ± 2.1 | 5.5 ± 0.8 | 4.8 ± 1.9 |
| ZnD | 4.0 ± 2.6 | 3.8 ± 1.5 | 8.2 ± 1.8 | 6.2 ± 0.3 | 8.2 ± 2.8 | 9.0 ± 3.8 |
| ZnS | 7.2 ± 0.7 | 9.8 ± 1.7 | 12.8 ± 3.0 * | 15.3 ± 4.0 | 15.7 ± 0.8 * | 13.8 ± 2.9 * |
| UV | ||||||
| Std | 8.7 ± 1.2 | 5.7 ± 1.0 | 8.8 ± 1.5 | 4.2 ± 1.4 | 4.8 ± 1.8 | 5.2 ± 0.7 |
| ZnD | 5.5 ± 0.8 | 5.5 ± 0.5 | 6.0 ± 1.7 | 6.5 ± 1.2 | 5.7 ± 1.5 | 10.7 ± 6.0 |
| ZnS | 12.5 ± 1.2 | 14.8 ± 2.4 | 17.5 ± 1.7 *** | 7.2 ± 3.9 | 12.0 ± 2.1 * | 18.2 ± 2.2 * |
| IMC | HEL | |||||
|---|---|---|---|---|---|---|
| 2nd Day | 7th Day | 15th Day | 2nd Day | 7th Day | 15th Day | |
| H2O2 | ||||||
| Std | 1.40 ± 0.02 | 1.35 ± 0.01 | 1.24 ± 0.03 | 1.63 ± 0.05 | 1.68 ± 0.01 | 1.62 ± 0.04 |
| ZnD | 14.1 ± 0.04 | 1.38 ± 0.03 | 1.26 ± 0.02 | 1.46 ± 0.04 | 1.33 ± 0.05 * | 1.35 ± 0.03 *** |
| ZnS | 1.37 ± 0.02 | 1.37 ± 0.02 | 1.35 ± 0.03 | 1.43 ± 0.02 | 1.54 ± 0.07 * | 1.46 ± 0.04 |
| UV | ||||||
| Std | 1.45 ± 0.02 | 1.33 ± 0.01 | 1.34 ± 0.02 | 1.71 ± 0.03 | 1.59 ± 0.02 | 1.52 ± 0.01 |
| ZnD | 1.40 ± 0.02 | 1.30 ± 0.02 | 1.36 ± 0.03 | 1.66 ± 0.07 | 1.28 ± 0.03 *$ | 1.13 ± 0.02 **$ |
| ZnS | 1.22 ± 0.01 *** | 1.21 ± 0.04 | 1.16 ± 0.02 * | 1.64 ± 0.02 * | 1.58 ± 0.02 | 1.37 ± 0.04 |
Publisher’s Note: MDPI stays neutral with regard to jurisdictional claims in published maps and institutional affiliations. |
© 2022 by the authors. Licensee MDPI, Basel, Switzerland. This article is an open access article distributed under the terms and conditions of the Creative Commons Attribution (CC BY) license (https://creativecommons.org/licenses/by/4.0/).
Share and Cite
Costa, M.I.; Lapa, B.S.; Jorge, J.; Alves, R.; Carreira, I.M.; Sarmento-Ribeiro, A.B.; Gonçalves, A.C. Zinc Prevents DNA Damage in Normal Cells but Shows Genotoxic and Cytotoxic Effects in Acute Myeloid Leukemia Cells. Int. J. Mol. Sci. 2022, 23, 2567. https://doi.org/10.3390/ijms23052567
Costa MI, Lapa BS, Jorge J, Alves R, Carreira IM, Sarmento-Ribeiro AB, Gonçalves AC. Zinc Prevents DNA Damage in Normal Cells but Shows Genotoxic and Cytotoxic Effects in Acute Myeloid Leukemia Cells. International Journal of Molecular Sciences. 2022; 23(5):2567. https://doi.org/10.3390/ijms23052567
Chicago/Turabian StyleCosta, Maria Inês, Beatriz Santos Lapa, Joana Jorge, Raquel Alves, Isabel Marques Carreira, Ana Bela Sarmento-Ribeiro, and Ana Cristina Gonçalves. 2022. "Zinc Prevents DNA Damage in Normal Cells but Shows Genotoxic and Cytotoxic Effects in Acute Myeloid Leukemia Cells" International Journal of Molecular Sciences 23, no. 5: 2567. https://doi.org/10.3390/ijms23052567
APA StyleCosta, M. I., Lapa, B. S., Jorge, J., Alves, R., Carreira, I. M., Sarmento-Ribeiro, A. B., & Gonçalves, A. C. (2022). Zinc Prevents DNA Damage in Normal Cells but Shows Genotoxic and Cytotoxic Effects in Acute Myeloid Leukemia Cells. International Journal of Molecular Sciences, 23(5), 2567. https://doi.org/10.3390/ijms23052567

