Identification of Differentially Expressed Genes Related to Floral Bud Differentiation and Flowering Time in Three Populations of Lycoris radiata
Abstract
1. Introduction
2. Results
2.1. Cytological Characteristics during Floral Bud Differentiation in L. radiata
2.2. Statistics of Sequencing, Assembly, and Annotation of RNA-Seq in L. radiata
2.3. Differentially Expressed Genes (DEGs) Identification in L. radiata
2.4. GO and KEGG Annotation of DEGs
2.5. Key DEGs Related to Floral Bud Differentiation in L. radiata
2.6. Identification of Candidate Genes Associated with the Floral Transition by Weighted Gene Co-Expression Network Analysis (WGCNA)
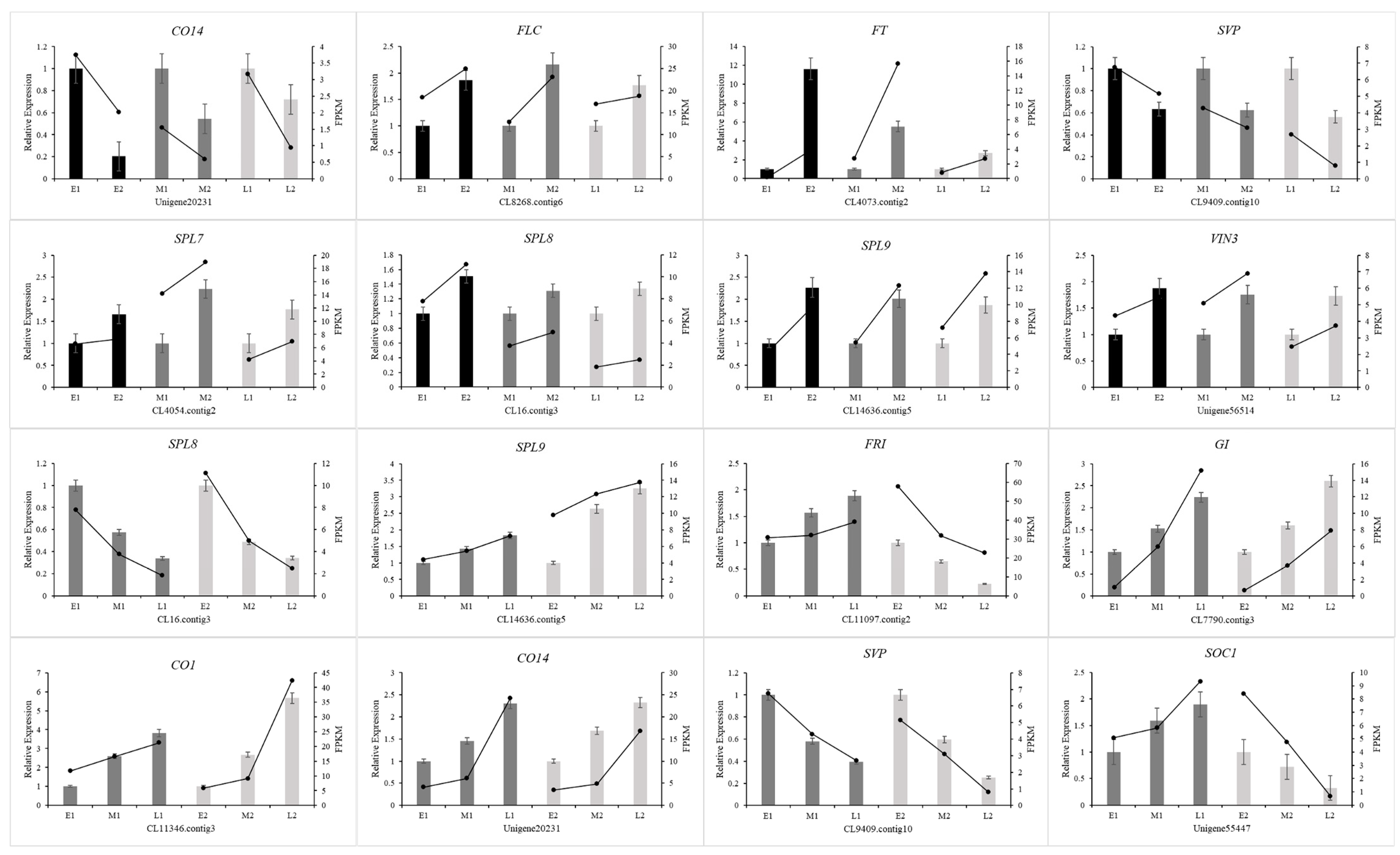
2.7. qRT-PCR Validation of Expression of the Critical Flowering-Related Genes
3. Discussion
4. Materials and Methods
4.1. Plant Materials and Collection
4.2. Cytological Observation
4.3. RNA Extraction, Library Construction, and Sequencing
4.4. Assembly and Functional Annotation
4.5. Gene Expression Level Analysis and Differential Expressed Genes (DEGs) Identification
4.6. Co-Expression Network Analysis with WGCNA
4.7. qRT-PCR Validation of RNA-seq Data
5. Conclusions
Supplementary Materials
Author Contributions
Funding
Institutional Review Board Statement
Informed Consent Statement
Data Availability Statement
Conflicts of Interest
References
- Cheon, K.-S.; Nakatsuka, A.; Kobayashi, N. Isolation and expression pattern of genes related to flower initiation in the evergreen azalea, Rhododendron×pulchrum ‘Oomurasaki’. Sci. Hortic. 2011, 130, 906–912. [Google Scholar] [CrossRef]
- Jung, C.; Muller, A.E. Flowering time control and applications in plant breeding. Trends Plant Sci. 2009, 14, 563–573. [Google Scholar] [CrossRef] [PubMed]
- Amasino, R.M.; Michaels, S.D. The timing of flowering. Plant Physiol. 2010, 154, 516–520. [Google Scholar] [CrossRef] [PubMed]
- Izawa, T. What is going on with the hormonal control of flowering in plants? Plant J. 2020, 105, 431–445. [Google Scholar] [CrossRef]
- Teotia, S.; Tang, G. To bloom or not to bloom: Role of microRNAs in plant flowering. Mol. Plant 2015, 8, 359–377. [Google Scholar] [CrossRef]
- Kinoshita, A.; Richter, R. Genetic and molecular basis of floral induction in Arabidopsis thaliana. J. Exp. Bot. 2020, 71, 2490–2504. [Google Scholar] [CrossRef]
- Ponnu, J.; Schlereth, A.; Zacharaki, V.; Dzialo, M.A.; Abel, C.; Feil, R.; Schmid, M.; Wahl, V. The trehalose 6-phosphate pathway impacts vegetative phase change in Arabidopsis thaliana. Plant J. 2020, 104, 768–780. [Google Scholar] [CrossRef]
- Yamaguchi, N. The epigenetic mechanisms regulating floral hub genes and their potential for manipulation. J. Exp. Bot. 2022, 73, 1277–1287. [Google Scholar] [CrossRef]
- Hou, D.; Li, L.; Ma, T.; Pei, J.; Zhao, Z.; Lu, M.; Wu, A.; Lin, X. The SOC1-like gene BoMADS50 is associated with the flowering of Bambusa oldhamii. Hortic. Res. 2021, 8, 133–146. [Google Scholar] [CrossRef]
- Venail, J.; da Silva Santos, P.H.; Manechini, J.R.; Alves, L.C.; Scarpari, M.; Falcao, T.; Romanel, E.; Brito, M.; Vicentini, R.; Pinto, L.; et al. Analysis of the PEBP gene family and identification of a novel FLOWERING LOCUS T orthologue in sugarcane. J. Exp. Bot. 2022, 73, 2035–2049. [Google Scholar] [CrossRef]
- Zhai, H.; Wan, Z.; Jiao, S.; Zhou, J.; Xu, K.; Nan, H.; Liu, Y.; Xiong, S.; Fan, R.; Zhu, J.; et al. GmMDE genes bridge the maturity gene E1 and florigens in photoperiodic regulation of flowering in soybean. Plant Physiol. 2022, 189, 1021–1036. [Google Scholar] [CrossRef] [PubMed]
- Maes, T.; Van de Steene, N.; Zethof, J.; Karimi, M.; D’Hauw, M.; Mares, G.; Van Montagu, M.; Gerats, T. Petunia Ap2-like Genes and Their Role in Flower and Seed Development. Plant Cell 2001, 13, 229–244. [Google Scholar] [CrossRef] [PubMed]
- Lei, M.; Li, Z.Y.; Wang, J.B.; Fu, Y.L.; Xu, L. Ectopic expression of the Aechmea fasciata APETALA2 gene AfAP2-2 reduces seed size and delays flowering in Arabidopsis. Plant Physiol. Biochem. 2019, 139, 642–650. [Google Scholar] [CrossRef] [PubMed]
- Huang, Y.; Xing, X.; Tang, Y.; Jin, J.; Ding, L.; Song, A.; Chen, S.; Chen, F.; Jiang, J.; Fang, W. An ethylene-responsive transcription factor and a flowering locus KH domain homologue jointly modulate photoperiodic flowering in chrysanthemum. Plant Cell Environ. 2022, 45, 1442–1456. [Google Scholar] [CrossRef] [PubMed]
- Adal, A.M.; Binson, E.; Remedios, L.; Mahmoud, S.S. Expression of lavender AGAMOUS-like and SEPALLATA3-like genes promote early flowering and alter leaf morphology in Arabidopsis thaliana. Planta 2021, 254, 54–66. [Google Scholar] [CrossRef] [PubMed]
- Goralogia, G.S.; Howe, G.T.; Brunner, A.M.; Helliwell, E.; Nagle, M.F.; Ma, C.; Lu, H.; Goddard, A.L.; Magnuson, A.C.; Klocko, A.L.; et al. Overexpression of SHORT VEGETATIVE PHASE-LIKE (SVL) in Populus delays onset and reduces abundance of flowering in field-grown trees. Hortic. Res. 2021, 8, 167–179. [Google Scholar] [CrossRef]
- Leeggangers, H.; Rosilio-Brami, T.; Bigas-Nadal, J.; Rubin, N.; van Dijk, A.D.J.; Nunez de Caceres Gonzalez, F.F.; Saadon-Shitrit, S.; Nijveen, H.; Hilhorst, H.W.M.; Immink, R.G.H.; et al. Tulipa gesneriana and Lilium longiflorum PEBP Genes and Their Putative Roles in Flowering Time Control. Plant Cell Physiol. 2018, 59, 90–106. [Google Scholar] [CrossRef]
- Zhao, M.; Liu, R.; Chen, Y.; Cui, J.; Ge, W.; Zhang, K. Molecular identification and functional verification of SPL9 and SPL15 of Lilium. Mol. Genet. Genom. 2021, 297, 63–74. [Google Scholar] [CrossRef]
- Lazare, S.; Zaccai, M. Flowering pathway is regulated by bulb size in Lilium longiflorum (Easter lily). Plant Biol. 2016, 18, 577–584. [Google Scholar] [CrossRef]
- Leeggangers, H.A.; Nijveen, H.; Bigas, J.N.; Hilhorst, H.W.; Immink, R.G. Molecular Regulation of Temperature-Dependent Floral Induction in Tulipa gesneriana. Plant Physiol. 2017, 173, 1904–1919. [Google Scholar] [CrossRef]
- Li, X.F.; Jia, L.Y.; Xu, J.; Deng, X.J.; Wang, Y.; Zhang, W.; Zhang, X.P.; Fang, Q.; Zhang, D.M.; Sun, Y.; et al. FT-like NFT1 gene may play a role in flower transition induced by heat accumulation in Narcissus tazetta var. chinensis. Plant Cell Physiol. 2013, 54, 270–281. [Google Scholar] [CrossRef] [PubMed]
- Zhang, F.; Cheng, G.; Shu, X.; Wang, N.; Wang, Z. Transcriptome Analysis of Lycoris chinensis Bulbs Reveals Flowering in the Age-Mediated Pathway. Biomolecules 2022, 12, 899. [Google Scholar] [CrossRef] [PubMed]
- Zhou, S.B.; Zhang, K.L.D.; Li, Q.F.; Zhu, G.P. Photosynthetic performance of Lycoris radiata var. radiata to shade treatments. Photosynthetica 2010, 48, 241–248. [Google Scholar] [CrossRef]
- Cai, J.; Fan, J.; Wei, X.; Zhang, D.; Ren, J.; Zhang, L. Differences in floral development between Lycoris radiata and Lycoris sprengeri. Scienceasia 2020, 46, 271–279. [Google Scholar] [CrossRef]
- Xu, J.; Li, Q.; Yang, L.; Li, X.; Wang, Z.; Zhang, Y. Changes in carbohydrate metabolism and endogenous hormone regulation during bulblet initiation and development in Lycoris radiata. BMC Plant Biol. 2020, 20, 180–197. [Google Scholar] [CrossRef]
- Wei, X.; Chen, H.; Li, J.; Cai, J. Effects of alternating temperature on the bulb physiology and flowering of Lycoris radiata. Acta Agric. Univ. Jiangxiensis 2019, 41, 1086–1092. [Google Scholar]
- Zhang, Y.; Yang, X.; He, L.; Wang, L. Relationships between flower bud differentiation in two kinds of Lycoris and the changes of carbohydrate, antioxidant enzymes and endogenous hormones. J. Anhui Agric. Univ. 2019, 46, 342–349. [Google Scholar]
- Zhu, T.; Hu, J.; Qi, S.; Ouyang, F.; Kong, L.; Wang, J. Transcriptome and morpho-physiological analyses reveal factors regulating cone bud differentiation in Qinghai spruce (Picea crassifolia Kom.). Trees-Struct. Funct. 2021, 35, 1151–1166. [Google Scholar] [CrossRef]
- Cheng, S.; Chen, P.; Su, Z.; Ma, L.; Hao, P.; Zhang, J.; Ma, Q.; Liu, G.; Liu, J.; Wang, H.; et al. High-resolution temporal dynamic transcriptome landscape reveals a GhCAL-mediated flowering regulatory pathway in cotton (Gossypium hirsutum L.). Plant Biotechnol. J. 2021, 19, 153–166. [Google Scholar] [CrossRef]
- Wu, Z.; Huang, L.; Huang, F.; Lu, G.; Wei, S.; Liu, C.; Deng, H.; Liang, G. Temporal transcriptome analysis provides molecular insights into flower development in red-flesh pitaya. Electron. J. Biotechnol. 2022, 58, 55–69. [Google Scholar] [CrossRef]
- Hu, J.; Liu, Y.; Tang, X.; Rao, H.; Ren, C.; Chen, J.; Wu, Q.; Jiang, Y.; Geng, F.; Pei, J. Transcriptome profiling of the flowering transition in saffron (Crocus sativus L.). Sci. Rep. 2020, 10, 9680–9694. [Google Scholar] [CrossRef] [PubMed]
- Jiang, Y.; Zhu, Y.; Zhang, L.; Su, W.; Peng, J.; Yang, X.; Song, H.; Gao, Y.; Lin, S. EjTFL1 Genes Promote Growth but Inhibit Flower Bud Differentiation in Loquat. Front. Plant Sci. 2020, 11, 576–592. [Google Scholar] [CrossRef] [PubMed]
- Zhang, J.; Zhu, W.; Teixeira da Silva, J.A.; Fan, Y.; Yu, X. Comprehensive Application of Different Methods of Observation Provides New Insight into Flower Bud Differentiation of Double-flowered Paeonia lactiflora ‘Dafugui’. Hortscience 2019, 54, 28–37. [Google Scholar] [CrossRef]
- Arif, Y.; Sami, F.; Siddiqui, H.; Bajguz, A.; Hayat, S. Salicylic acid in relation to other phytohormones in plant: A study towards physiology and signal transduction under challenging environment. Environ. Exp. Bot. 2020, 175, 104040–104059. [Google Scholar] [CrossRef]
- Freytes, S.N.; Canelo, M.; Cerdán, P.D. Regulation of flowering time: When and where? Curr. Opin. Plant Biol. 2021, 63, 102049. [Google Scholar] [CrossRef] [PubMed]
- Bao, S.; Hua, C.; Shen, L.; Yu, H. New insights into gibberellin signaling in regulating flowering in Arabidopsis. J. Integr. Plant Biol. 2020, 62, 118–131. [Google Scholar] [CrossRef] [PubMed]
- Gu, J.; Zeng, Z.; Wang, Y.; Lyu, Y. Transcriptome Analysis of Carbohydrate Metabolism Genes and Molecular Regulation of Sucrose Transport Gene LoSUT on the Flowering Process of Developing Oriental Hybrid Lily ‘Sorbonne’ Bulb. Int. J. Mol. Sci. 2020, 21, 3092. [Google Scholar] [CrossRef]
- Ito, S.; Song, Y.H.; Josephson-Day, A.R.; Miller, R.J.; Breton, G.; Olmstead, R.G.; Imaizumi, T. FLOWERING BHLH transcriptional activators control expression of the photoperiodic flowering regulator CONSTANS in Arabidopsis. Proc. Natl. Acad. Sci. USA 2012, 109, 3582–3587. [Google Scholar] [CrossRef]
- Abe, M.; Kaya, H.; Watanabe-Taneda, A.; Shibuta, M.; Yamaguchi, A.; Sakamoto, T.; Kurata, T.; Ausin, I.; Araki, T.; Alonso-Blanco, C. FE, a phloem-specific Myb-related protein, promotes flowering through transcriptional activation of FLOWERING LOCUS T and FLOWERING LOCUS T INTERACTING PROTEIN 1. Plant J. 2015, 83, 1059–1068. [Google Scholar] [CrossRef]
- Wang, L.; Sun, J.; Ren, L.; Zhou, M.; Han, X.; Ding, L.; Zhang, F.; Guan, Z.; Fang, W.; Chen, S.; et al. CmBBX8 accelerates flowering by targeting CmFTL1 directly in summer chrysanthemum. Plant Biotechnol. J. 2020, 18, 1562–1572. [Google Scholar] [CrossRef]
- Liu, H.; Guo, Y.; Wang, H.; Yang, W.; Yang, J.; Zhang, J.; Liu, D.; El-Kassaby, Y.A.; Li, W. Involvement of PtCOL5-PtNF-YC4 in reproductive cone development and gibberellin signaling in Chinese pine. Plant Sci. 2022, 323, 111383. [Google Scholar] [CrossRef] [PubMed]
- Wang, P.; Zheng, Y.; Guo, Y.; Chen, X.; Sun, Y.; Yang, J.; Ye, N. Identification, expression, and putative target gene analysis of nuclear factor-Y (NF-Y) transcription factors in tea plant (Camellia sinensis). Planta 2019, 250, 1671–1686. [Google Scholar] [CrossRef] [PubMed]
- Zhao, H.; Wu, D.; Kong, F.; Lin, K.; Zhang, H.; Li, G. The Arabidopsis thaliana Nuclear Factor Y Transcription Factors. Front. Plant Sci. 2016, 7, 2045–2056. [Google Scholar] [CrossRef] [PubMed]
- Xu, F.; Li, T.; Xu, P.-B.; Li, L.; Du, S.-S.; Lian, H.-L.; Yang, H.-Q.; Flügge, U.-I. DELLA proteins physically interact with CONSTANS to regulate flowering under long days in Arabidopsis. FEBS Lett. 2016, 590, 541–549. [Google Scholar] [CrossRef]
- Wenkel, S.; Turck, F.; Singer, K.; Gissot, L.; Le Gourrierec, J.; Samach, A.; Coupland, G. CONSTANS and the CCAAT box binding complex share a functionally important domain and interact to regulate flowering of Arabidopsis. Plant Cell 2006, 18, 2971–2984. [Google Scholar] [CrossRef]
- Kim, S.K.; Park, H.Y.; Jang, Y.H.; Lee, K.C.; Chung, Y.S.; Lee, J.H.; Kim, J.K. OsNF-YC2 and OsNF-YC4 proteins inhibit flowering under long-day conditions in rice. Planta 2016, 243, 563–576. [Google Scholar] [CrossRef]
- Weber, K.; Burow, M. Nitrogen–essential macronutrient and signal controlling flowering time. Physiol. Plant 2018, 162, 251–260. [Google Scholar] [CrossRef]
- SuaÂrez-LoÂpez, P.; Wheatley, K.; Robson, F.; Onouchi, H.; Valverde, F.; Coupland, G. CONSTANS mediates between the circadian clock and the control of flowering in Arabidopsis. Nature 2001, 410, 1116–1120. [Google Scholar] [CrossRef]
- Ryosuke, H.; Shuji, Y.; Shojiro, T.; Masahiro, Y.; Shimamoto, K. Adaptation of photoperiodic control pathways produces short-day flowering in rice. Nature 2003, 422, 719–722. [Google Scholar]
- Mizoguchi, T.; Wright, L.; Fujiwara, S.; Cremer, F.; Lee, K.; Onouchi, H.; Mouradov, A.; Fowler, S.; Kamada, H.; Putterill, J.; et al. Distinct roles of GIGANTEA in promoting flowering and regulating circadian rhythms in Arabidopsis. Plant Cell 2005, 17, 2255–2270. [Google Scholar] [CrossRef]
- Gou, J.; Tang, C.; Chen, N.; Wang, H.; Debnath, S.; Sun, L.; Flanagan, A.; Tang, Y.; Jiang, Q.; Allen, R.D.; et al. SPL7 and SPL8 represent a novel flowering regulation mechanism in switchgrass. New Phytol. 2019, 222, 1610–1623. [Google Scholar] [CrossRef] [PubMed]
- Schwarz, S.; Grande, A.V.; Bujdoso, N.; Saedler, H.; Huijser, P. The microRNA regulated SBP-box genes SPL9 and SPL15 control shoot maturation in Arabidopsis. Plant Mol. Biol. 2008, 67, 183–195. [Google Scholar] [CrossRef] [PubMed]
- Hyun, Y.; Richter, R.; Vincent, C.; Martinez-Gallegos, R.; Porri, A.; Coupland, G. Multi-layered Regulation of SPL15 and Cooperation with SOC1 Integrate Endogenous Flowering Pathways at the Arabidopsis Shoot Meristem. Dev. Cell 2016, 37, 254–266. [Google Scholar] [CrossRef] [PubMed]
- Yao, T.; Park, B.S.; Mao, H.Z.; Seo, J.S.; Ohama, N.; Li, Y.; Yu, N.; Mustafa, N.F.B.; Huang, C.H.; Chua, N.H. Regulation of flowering time by SPL10/MED25 module in Arabidopsis. New Phytol. 2019, 224, 493–504. [Google Scholar] [CrossRef] [PubMed]
- Jiang, Y.; Peng, J.; Wang, M.; Su, W.; Gan, X.; Jing, Y.; Yang, X.; Lin, S.; Gao, Y. The Role of EjSPL3, EjSPL4, EjSPL5, and EjSPL9 in Regulating Flowering in Loquat (Eriobotrya japonica Lindl.). Int. J. Mol. Sci. 2019, 21, 248. [Google Scholar] [CrossRef]
- Schmitz, R.J.; Sung, S.; Amasino, R.M. Histone arginine methylation is required for vernalization-induced epigenetic silencing of FLC in winter-annual Arabidopsis thaliana. Proc. Natl. Acad. Sci. USA 2008, 105, 411–416. [Google Scholar] [CrossRef]
- Kim, D.-H. Current understanding of flowering pathways in plants: Focusing on the vernalization pathway in Arabidopsis and several vegetable crop plants. Hortic. Environ. Biotechnol. 2020, 61, 209–227. [Google Scholar] [CrossRef]
- Langfelder, P.; Horvath, S. WGCNA: An R package for weighted correlation network analysis. BMC Bioinform. 2008, 9, 559–572. [Google Scholar] [CrossRef]
- Shannon, P.; Markiel, A.; Ozier, O.; Baliga, N.S.; Wang, J.T.; Ramage, D.; Amin, N.; Schwikowski, B.; Ideker, T. Cytoscape: A software environment for integrated models of biomolecular interaction networks. Genome Res. 2003, 13, 2498–2504. [Google Scholar] [CrossRef]












| Sample | Total Raw Reads (M) | Total Clean Reads (M) | Total Clean Bases (Gb) | Clean Reads Q20 (%) | Clean Reads Q30 (%) | Clean Reads Ratio (%) |
|---|---|---|---|---|---|---|
| E1_r1 | 49.08 | 42.9 | 6.43 | 97.24 | 92.92 | 87.4 |
| E1_r2 | 49.08 | 42.75 | 6.41 | 97.11 | 92.6 | 87.11 |
| E1_r3 | 49.08 | 43.01 | 6.45 | 97.06 | 92.47 | 87.63 |
| E2_r1 | 49.08 | 43.11 | 6.47 | 97.03 | 92.41 | 87.83 |
| E2_r2 | 49.08 | 42.82 | 6.42 | 97.23 | 92.91 | 87.25 |
| E2_r3 | 50.83 | 43.18 | 6.48 | 97.1 | 92.62 | 84.95 |
| L1_r1 | 47.33 | 42.24 | 6.34 | 97 | 92.33 | 89.24 |
| L1_r2 | 49.08 | 43.41 | 6.51 | 96.97 | 92.3 | 88.45 |
| L1_r3 | 47.33 | 42.46 | 6.37 | 96.86 | 92.01 | 89.71 |
| L2_r1 | 47.33 | 43.25 | 6.49 | 97.73 | 93.57 | 91.38 |
| L2_r2 | 47.33 | 43.5 | 6.52 | 97.62 | 93.31 | 91.91 |
| L2_r3 | 47.33 | 42.68 | 6.4 | 97.85 | 93.91 | 90.18 |
| M1_r1 | 49.08 | 42.94 | 6.44 | 97.09 | 92.53 | 87.5 |
| M1_r2 | 49.08 | 42.78 | 6.42 | 97 | 92.35 | 87.17 |
| M1_r3 | 49.08 | 42.81 | 6.42 | 97.03 | 92.42 | 87.22 |
| M2_r1 | 47.33 | 43.45 | 6.52 | 97.94 | 94.16 | 91.81 |
| M2_r2 | 47.33 | 43 | 6.45 | 97.81 | 93.84 | 90.86 |
| M2_r3 | 47.33 | 42.83 | 6.42 | 97.9 | 94.08 | 90.5 |
| Database | Annotated Number of Unigenes | Percentage of Total Unigenes |
|---|---|---|
| Total | 165,109 | 100% |
| NR | 122,777 | 74.36% |
| NT | 95,120 | 57.61% |
| Swissprot | 96,085 | 58.19% |
| KEGG | 100,063 | 60.60% |
| KOG | 99,330 | 60.16% |
| Pfam | 89,517 | 54.22% |
| GO | 94,803 | 57.42% |
| Intersection | 50,188 | 30.40% |
| Overall | 127,400 | 77.16% |
Publisher’s Note: MDPI stays neutral with regard to jurisdictional claims in published maps and institutional affiliations. |
© 2022 by the authors. Licensee MDPI, Basel, Switzerland. This article is an open access article distributed under the terms and conditions of the Creative Commons Attribution (CC BY) license (https://creativecommons.org/licenses/by/4.0/).
Share and Cite
Cheng, G.; Zhang, F.; Shu, X.; Wang, N.; Wang, T.; Zhuang, W.; Wang, Z. Identification of Differentially Expressed Genes Related to Floral Bud Differentiation and Flowering Time in Three Populations of Lycoris radiata. Int. J. Mol. Sci. 2022, 23, 14036. https://doi.org/10.3390/ijms232214036
Cheng G, Zhang F, Shu X, Wang N, Wang T, Zhuang W, Wang Z. Identification of Differentially Expressed Genes Related to Floral Bud Differentiation and Flowering Time in Three Populations of Lycoris radiata. International Journal of Molecular Sciences. 2022; 23(22):14036. https://doi.org/10.3390/ijms232214036
Chicago/Turabian StyleCheng, Guanghao, Fengjiao Zhang, Xiaochun Shu, Ning Wang, Tao Wang, Weibing Zhuang, and Zhong Wang. 2022. "Identification of Differentially Expressed Genes Related to Floral Bud Differentiation and Flowering Time in Three Populations of Lycoris radiata" International Journal of Molecular Sciences 23, no. 22: 14036. https://doi.org/10.3390/ijms232214036
APA StyleCheng, G., Zhang, F., Shu, X., Wang, N., Wang, T., Zhuang, W., & Wang, Z. (2022). Identification of Differentially Expressed Genes Related to Floral Bud Differentiation and Flowering Time in Three Populations of Lycoris radiata. International Journal of Molecular Sciences, 23(22), 14036. https://doi.org/10.3390/ijms232214036

