Hemolytic Activity, Cytotoxicity, and Antimicrobial Effects of Silver Nanoparticles Conjugated with Lincomycin or Cefazolin
Abstract
1. Introduction
2. Results and Discussion
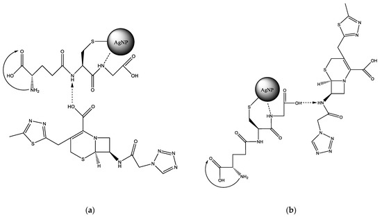
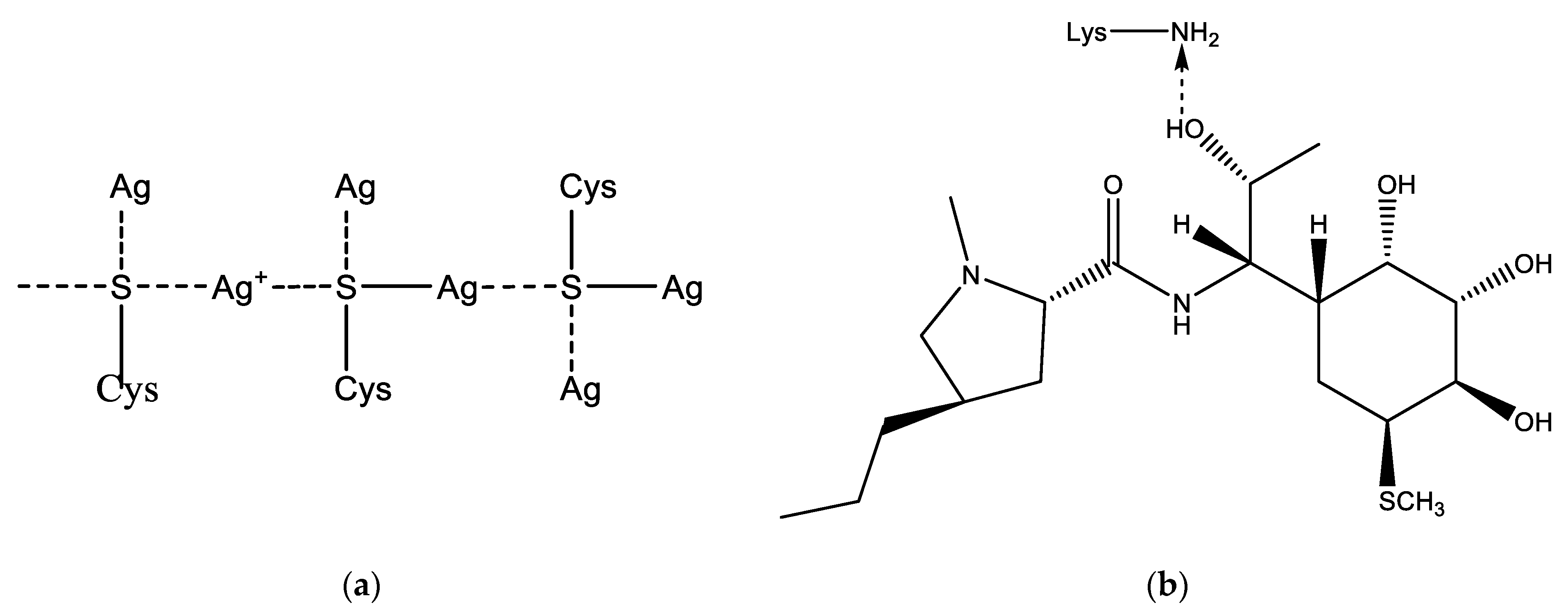
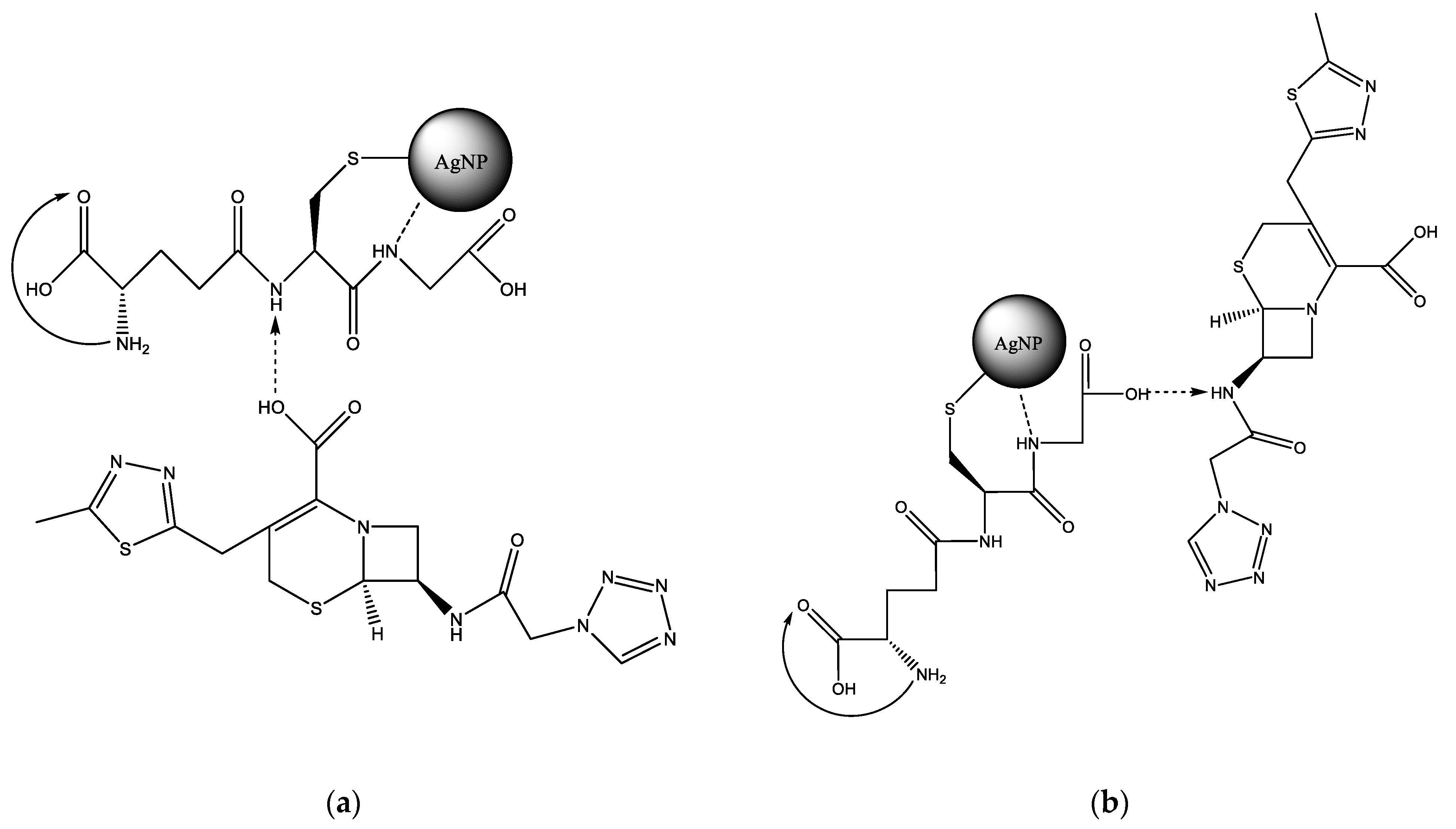
2.1. Immobilization of Antibiotics on AgNPs
2.2. Physicochemical Properties of Unmodified and Antibiotic-Bound AgNPs
2.3. Biological Properties
2.3.1. Hemolytic Activity
2.3.2. Cytotoxicity
Results of Fluorescence Microscopy—Quantitative Analysis
Results of Fluorescence Microscopy—Qualitative Analysis
2.3.3. Antimicrobial Activity
3. Materials and Methods
3.1. Synthesis of Silver Nanoparticles
3.2. Engraftment of Spacers and Immobilization of Antibiotics
3.3. Study of Physical and Chemical Properties of Nanoparticles
3.4. Study of Hemolytic Activity of Colloidal Solutions
3.5. Study of Cytotoxic Properties
3.6. Assessment of Antimicrobial Activity
3.7. Statistical Analysis
4. Conclusions
Author Contributions
Funding
Institutional Review Board Statement
Informed Consent Statement
Conflicts of Interest
References
- Bruna, T.; Maldonado-Bravo, F.; Jara, P.; Caro, N. Silver Nanoparticles and Their Antibacterial Applications. Int. J. Mol. Sci. 2021, 22, 7202. [Google Scholar] [CrossRef]
- de Lacerda Coriolano, D.; de Souza, J.B.; Bueno, E.V.; de Fátima Ramos Dos Santos Medeiros, S.M.; Cavalcanti, I.D.L.; Cavalcanti, I.M.F. Antibacterial and antibiofilm potential of silver nanoparticles against antibiotic-sensitive and multidrug-resistant Pseudomonas aeruginosa strains. Braz. J. Microbiol. 2021, 52, 267–278. [Google Scholar] [CrossRef] [PubMed]
- Espinosa-Cristóbal, L.F.; Martínez-Castañón, G.A.; Loyola-Rodríguez, J.P.; Niño-Martínez, N.; Ruiz, F.; Zavala-Alonso, N.V.; Lara, R.H.; Reyes-López, S.Y. Bovine Serum Albumin and Chitosan Coated Silver Nanoparticles and Its Antimicrobial Activity against Oral and Nonoral Bacteria. J. Nanomater. 2015, 2015, 420853. [Google Scholar] [CrossRef]
- Korolev, D.; Shumilo, M.; Shulmeyster, G.; Krutikov, A.; Golovkin, A.; Mishanin, A.; Gorshkov, A.; Spiridonova, A.; Domorad, A.; Krasichkov, A.; et al. Hemolytic Activity, Cytotoxicity, and Antimicrobial Effects of Human Albumin- and Polysorbate-80-Coated Silver Nanoparticles. Nanomaterials 2021, 11, 1484. [Google Scholar] [CrossRef]
- Basu, A.; Vaskevich, A.; Chuntonov, L. Glutathione Self-Assembles into a Shell of Hydrogen-Bonded Intermolecular Aggregates on “Naked” Silver Nanoparticles. J. Phys. Chem. B 2021, 125, 895–906. [Google Scholar] [CrossRef] [PubMed]
- Montalvo-Quirós, S.; Gómez-Graña, S.; Vallet-Regí, M.; Prados-Rosales, R.C.; González, B.; Luque-Garcia, J.L. Mesoporous silica nanoparticles containing silver as novel antimycobacterial agents against Mycobacterium tuberculosis. Colloids Surf. B Biointerfaces 2021, 197, 111405. [Google Scholar] [CrossRef] [PubMed]
- Zhao, Q.; Sun, X.Y.; Wu, B.; Shang, Y.; Huang, X.; Dong, H.; Liu, H.; Chen, W.; Gui, R.; Li, J. Construction of biomimetic silver nanoparticles in the treatment of lymphoma. Mater. Sci. Eng. C 2021, 119, 111648. [Google Scholar] [CrossRef] [PubMed]
- He, X.; Peng, C.; Qiang, S.; Xiong, L.-H.; Zhao, Z.; Wang, Z.; Kwok, R.T.K.; Lam, J.W.Y.; Ma, N.; Tang, B.Z. Less is more: Silver-AIE core@shell nanoparticles for multimodality cancer imaging and synergistic therapy. Biomaterials 2020, 238, 119834. [Google Scholar] [CrossRef]
- Yang, L.; Gao, Y.; Liu, J.; Zhang, Y.; Ren, C.; Wang, J.; Wang, Z.; Liu, J.; Chu, L.; Wang, W.; et al. Silver-Coated Nanoparticles Combined with Doxorubicin for Enhanced Anticancer Therapy. J. Biomed. Nanotechnol. 2018, 14, 312–320. [Google Scholar] [CrossRef]
- Feng, H.; Wang, W.; Wang, W.; Zhang, M.; Wang, C.; Ma, C.; Li, W.; Chen, S. Charge transfer channels of silver @ cuprous oxide heterostructure core-shell nanoparticles strengthen high photocatalytic antibacterial activity. J. Colloid Interface Sci. 2021, 601, 531–543. [Google Scholar] [CrossRef]
- Xu, J.; Li, Y.; Wang, H.; Zhu, M.; Feng, W.; Liang, G. Enhanced Antibacterial and Anti-Biofilm Activities of Antimicrobial Peptides Modified Silver Nanoparticles. Int. J. Nanomed. 2021, 16, 4831–4846. [Google Scholar] [CrossRef] [PubMed]
- Gao, J.; Na, H.; Zhong, R.; Yuan, M.; Guo, J.; Zhao, L.; Wang, Y.; Wang, L.; Zhang, F. One step synthesis of antimicrobial peptide protected silver nanoparticles: The core-shell mutual enhancement of antibacterial activity. Colloids Surf. B Biointerfaces 2020, 186, 110704. [Google Scholar] [CrossRef] [PubMed]
- Panáček, A.; Smékalová, M.; Kilianová, M.; Prucek, R.; Bogdanová, K.; Večeřová, R.; Kolář, M.; Havrdová, M.; Płaza, G.A.; Chojniak, J.; et al. Strong and Nonspecific Synergistic Antibacterial Efficiency of Antibiotics Combined with Silver Nanoparticles at Very Low Concentrations Showing No Cytotoxic Effect. Molecules 2015, 21, 26. [Google Scholar] [CrossRef] [PubMed]
- Wypij, M.; Świecimska, M.; Czarnecka, J.; Dahm, H.; Rai, M.; Golinska, P. Antimicrobial and cytotoxic activity of silver nanoparticles synthesized from two haloalkaliphilic actinobacterial strains alone and in combination with antibiotics. J. Appl. Microbiol. 2018, 124, 1411–1424. [Google Scholar] [CrossRef] [PubMed]
- McShan, D.; Zhang, Y.; Deng, H.; Ray, P.C.; Yu, H. Synergistic Antibacterial Effect of Silver Nanoparticles Combined with Ineffective Antibiotics on Drug Resistant Salmonella typhimurium DT104. J. Environ. Sci. Health Part C 2015, 33, 369–384. [Google Scholar] [CrossRef] [PubMed]
- Cao, N.; Zhou, H.; Tan, H.; Qi, R.; Chen, J.; Zhang, S.; Xu, J. Turn-on fluorescence detection of cysteine with glutathione protected silver nanoclusters. Methods Appl. Fluoresc. 2019, 7, 034004. [Google Scholar] [CrossRef]
- Singh, N.; Nayak, J.; Sahoo, S.K.; Kumar, R. Glutathione conjugated superparamagnetic Fe3O4-Au core shell nanoparticles for pH controlled release of DOX. Mater. Sci. Eng. C 2019, 100, 453–465. [Google Scholar] [CrossRef]
- Zhang, Y.; Xu, H.; Chen, Y.; You, X.; Pu, Y.; Xu, W.; Liao, X. High-sensitivity Detection of Cysteine and Glutathione Using Au Nanoclusters Based on Aggregation-induced Emission. J. Fluoresc. 2020, 30, 1491–1498. [Google Scholar] [CrossRef]
- Olenin, A.Y. Chemically Modified Silver and Gold Nanoparticles in Spectrometric Analysis. J. Anal. Chem. 2019, 74, 355–375. [Google Scholar] [CrossRef]
- Yu, L.; Li, M.; Kang, Q.; Fu, L.; Zou, G.; Shen, D. Bovine serum albumin-stabilized silver nanoclusters with anodic electrochemiluminescence peak at 904 nm in aqueous medium and applications in spectrum-resolved multiplexing immunoassay. Biosens. Bioelectron. 2021, 176, 112934. [Google Scholar] [CrossRef]
- Chen, Z.; Lu, D.; Cai, Z.; Dong, C.; Shuang, S. Bovine serum albumin-confined silver nanoclusters as fluorometric probe for detection of biothiols. Luminescence 2014, 29, 722–727. [Google Scholar] [CrossRef] [PubMed]
- Khatami, M.; Noor, F.G.; Ahmadi, S.; Aflatoonian, M. Biosynthesis of Ag nanoparticles using Salicornia bigelovii and itsan-tibacterial activity. Electron. Physician 2018, 10, 6733–6740. [Google Scholar] [CrossRef]
- Hu, Y.; Yang, D.; Ma, D.; Huang, S. Extremely sensitive mechanochromic photonic crystals with broad tuning range of photonic bandgap and fast responsive speed for high-resolution multicolor display applications. Chem. Eng. J. 2021, 429, 132342. [Google Scholar] [CrossRef]
- Gherasim, O.; Puiu, R.A.; Bîrcă, A.C.; Burdușel, A.-C.; Grumezescu, A.M. An Updated Review on Silver Nanoparticles in Biomedicine. Nanomaterials 2020, 10, 2318. [Google Scholar] [CrossRef] [PubMed]
- Tripathi, N.; Goshisht, M.K. Recent Advances and Mechanistic Insights into Antibacterial Activity, Antibiofilm Activity, and Cytotoxicity of Silver Nanoparticles. ACS Appl. Bio. Mater. 2022, 5, 1391–1463. [Google Scholar] [CrossRef]
- Galdiero, S.; Rai, M.; Gade, A.; Falanga, A.; Incoronato, N.; Russo, L.; Galdiero, M.; Gaikwad, S.; Ingle, A. Antiviral activity of mycosynthesized silver nanoparticles against herpes simplex virus and human parainfluenza virus type 3. Int. J. Nanomed. 2013, 8, 4303–4314. [Google Scholar] [CrossRef]
- Virkutyte, J.; Varma, R.S. Green synthesis of metal nanoparticles: Biodegradable polymers and enzymes in stabilization and surface functionalization. Chem. Sci. 2011, 2, 837–846. [Google Scholar] [CrossRef]
- Kaur, A.; Preet, S.; Kumar, V.; Kumar, R.; Kumar, R. Synergetic effect of vancomycin loaded silver nanoparticles for enhanced antibacterial activity. Colloids Surf. B Biointerfaces 2018, 176, 62–69. [Google Scholar] [CrossRef]
- Deng, H.; McShan, D.; Zhang, Y.; Sinha, S.S.; Arslan, Z.; Ray, P.C.; Yu, H. Mechanistic Study of the Synergistic Antibacterial Activity of Combined Silver Nanoparticles and Common Antibiotics. Environ. Sci. Technol. 2016, 50, 8840–8848. [Google Scholar] [CrossRef]
- Lehman, J.W. The Student’s Lab Companion: Laboratory Techniques for Organic Chemistry, 2nd ed.; Prentice Hall: Hoboken, NJ, USA, 2008; pp. 156–157. ISBN 9780131593817. [Google Scholar]
- Yang, D.; Yang, N.; Ge, J. Controlled deposition of ultra-small Ag particles on TiO2 nanorods: Oxide/metal hetero-nanostructures with improved catalytic activity. CrystEngComm 2013, 15, 7230–7235. [Google Scholar] [CrossRef]











| Sample | Hemolysis Coefficient, %, Mean ± SD | |||||
|---|---|---|---|---|---|---|
| Blood of the Donor 1 | Blood of the Donor 2 | |||||
| 1 h | 2 h | 24 h | 1 h | 2 h | 24 h | |
| NC | 0 | 0 | 0 | 0 | 0 | 0 |
| PC | 100 | 100 | 100 | 100 | 100 | 100 |
| AgNP | 0.221 ± 0.009 | 0.496 ± 0.019 | 0.589 ± 0.024 | 0.072 ± 0.003 | 0 | 0.068 ± 0.003 |
| CEZ | 0.001 ± 0.021 | 0.733 ± 0.713 | 0 | 0 | 0.072 ± 0.064 | 0.388 ± 0.004 |
| LCM | 86.879 ± 4.748 | 90.613 ± 1.413 | 86.718 ± 1.051 | 54.951 ± 1.487 | 69.374 ± 3.488 | 74.684 ± 1.052 |
| AgNP-GSH | 0.129 ± 0.005 | 0.332 ± 0.013 | 0.898 ± 0.036 | 0.288 ± 0.012 | 0.112 ± 0.004 | 0.138 ± 0.006 |
| AgNP–Alb | 0.611 ± 0.024 | 1.012 ± 0.038 | 0.457 ± 0.018 | 0.812 ± 0.032 | 0.963 ± 0.038 | 0.557 ± 0.022 |
| AgNP–GSH–CEZ | 0.262 ± 0.011 | 0.222 ± 0.009 | 0.058 ± 0.002 | 0.202 ± 0.008 | 0 | 0.341 ± 0.014 |
| AgNP–Alb–LCM | 80.882 ± 3.238 | 77.144 ± 3.081 | 68.442 ± 2.742 | 12.837 ± 0.506 | 26.511 ± 1.058 | 22.009 ± 0.878 |
| Preparations | Cells/mm2, Mean ± SD |
|---|---|
| PBS 10 µL | 581 ± 83 |
| PBS 100 µL | 592 ± 89 |
| AgNP–GSH–CEZ—10 µL | 482 ± 80 * |
| AgNP–GSH–CEZ—100 µL | 2 ± 3 * |
| AgNP–Alb–LCM—10 µL | 433 ± 160 * |
| AgNP–Alb–LCM—100 µL | 2 ± 3 * |
| Preparation | TEST CULTURES | ||||
|---|---|---|---|---|---|
| Zones of Growth Inhibition (mm) | |||||
| S. aureus | E. coli | K. pneumoniae | P. aeruginosa | ||
| Sample # 1—AgNP–Alb–LCN (sterile solution) | Control | 9 * | 9 | 9 | 9 |
| LCN | 50 ± 1 | 32 ± 1 | 35 ± 1 | 18 ± 1 | |
| AgNP–Alb–LCN | 50 ± 1 | 32 ± 2 | 35 ± 2 | 12 ± 1 | |
| Sample # 2—AgNP–GSH–CEZ (sterile solution) | Control | 9 * | 9 | 9 | 9 |
| CEZ | 45 ± 1 | 41 ± 1 | 50 ± 1 | 9 | |
| AgNP–GSH–CEZ | 45 ± 2 | 40 ± 2 | 48 ± 2 | 9 | |
Publisher’s Note: MDPI stays neutral with regard to jurisdictional claims in published maps and institutional affiliations. |
© 2022 by the authors. Licensee MDPI, Basel, Switzerland. This article is an open access article distributed under the terms and conditions of the Creative Commons Attribution (CC BY) license (https://creativecommons.org/licenses/by/4.0/).
Share and Cite
Korolev, D.; Shumilo, M.; Shulmeyster, G.; Krutikov, A.; Golovkin, A.; Mishanin, A.; Spiridonova, A.; Kulagina, O.; Galagudza, M. Hemolytic Activity, Cytotoxicity, and Antimicrobial Effects of Silver Nanoparticles Conjugated with Lincomycin or Cefazolin. Int. J. Mol. Sci. 2022, 23, 13709. https://doi.org/10.3390/ijms232213709
Korolev D, Shumilo M, Shulmeyster G, Krutikov A, Golovkin A, Mishanin A, Spiridonova A, Kulagina O, Galagudza M. Hemolytic Activity, Cytotoxicity, and Antimicrobial Effects of Silver Nanoparticles Conjugated with Lincomycin or Cefazolin. International Journal of Molecular Sciences. 2022; 23(22):13709. https://doi.org/10.3390/ijms232213709
Chicago/Turabian StyleKorolev, Dmitriy, Michael Shumilo, Galina Shulmeyster, Alexander Krutikov, Alexey Golovkin, Alexander Mishanin, Anna Spiridonova, Olga Kulagina, and Michael Galagudza. 2022. "Hemolytic Activity, Cytotoxicity, and Antimicrobial Effects of Silver Nanoparticles Conjugated with Lincomycin or Cefazolin" International Journal of Molecular Sciences 23, no. 22: 13709. https://doi.org/10.3390/ijms232213709
APA StyleKorolev, D., Shumilo, M., Shulmeyster, G., Krutikov, A., Golovkin, A., Mishanin, A., Spiridonova, A., Kulagina, O., & Galagudza, M. (2022). Hemolytic Activity, Cytotoxicity, and Antimicrobial Effects of Silver Nanoparticles Conjugated with Lincomycin or Cefazolin. International Journal of Molecular Sciences, 23(22), 13709. https://doi.org/10.3390/ijms232213709

