Genetic Diversity Analysis Reveals Potential of the Green Peach Aphid (Myzus persicae) Resistance in Ethiopian Mustard
Abstract
1. Introduction
2. Results
2.1. Growth Characters Investigation of the Ethiopian Mustard Accessions
2.2. Seed Qualitative Characteristics of the Ethiopian Mustard Accessions
2.3. Genetic Diversity Analysis of the Ethiopian Mustard Accessions Using SSR Markers
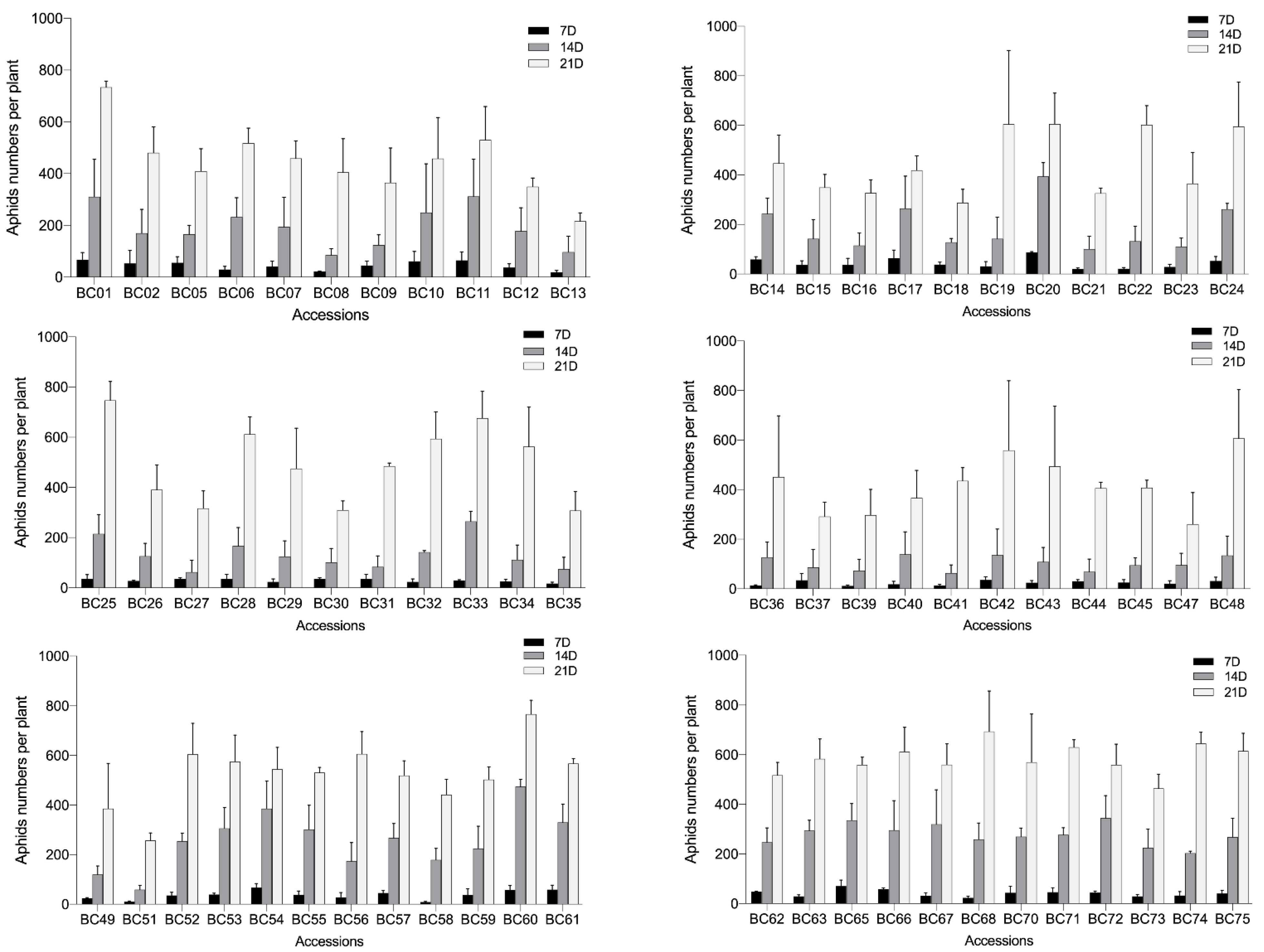
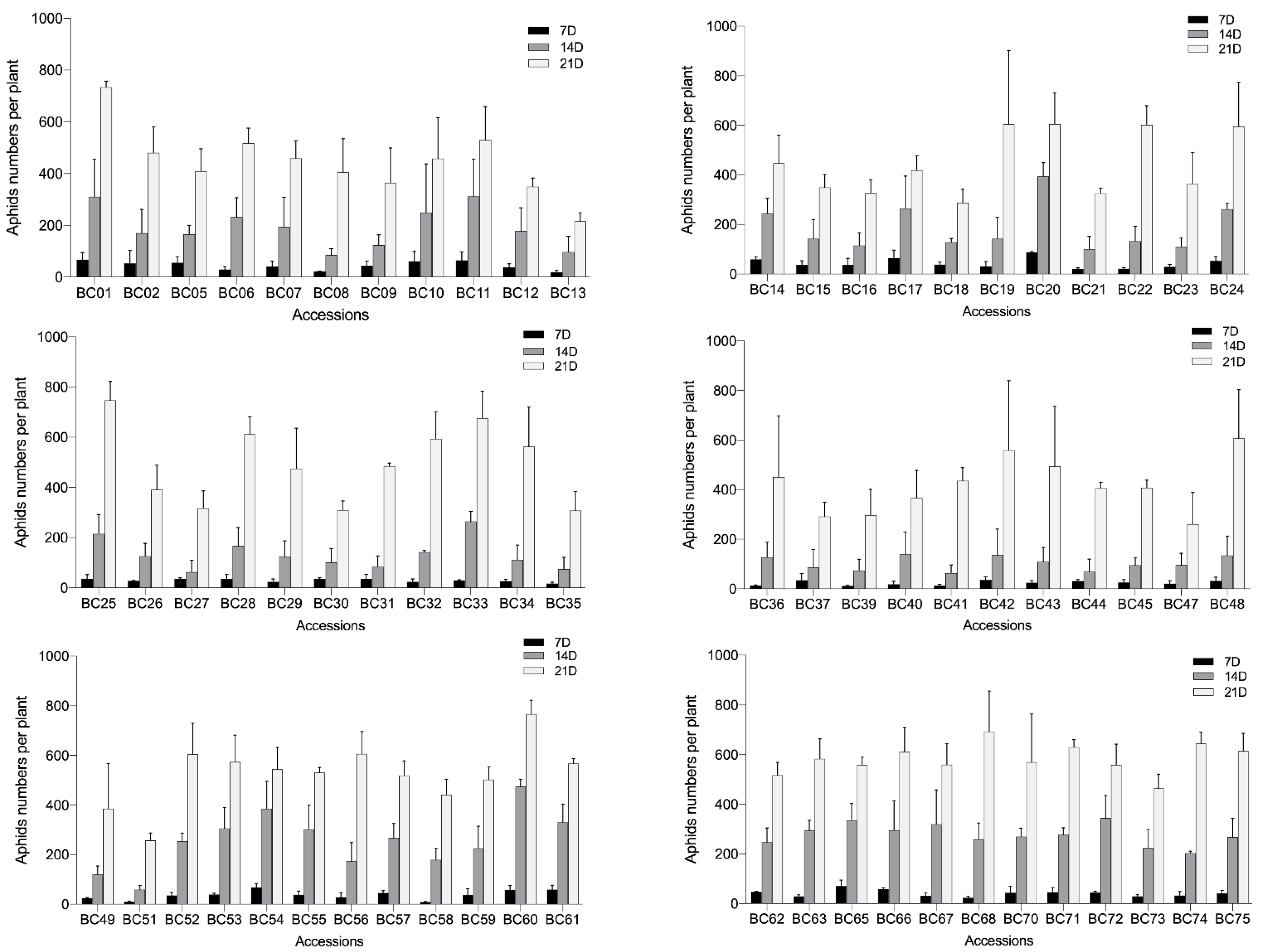
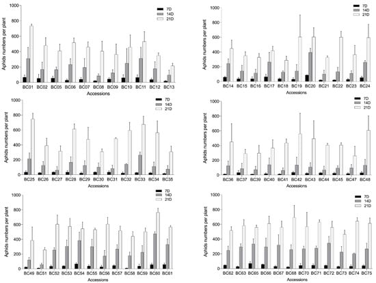
2.4. Screening for Aphid Resistance in the B. carinata Accessions
2.5. EPG Assay of the Leaf Mesophyll and Xylem Resistance Factors for Explaining the Aphid Resistance of Ethiopian Mustard
2.6. Comparison of Leaf Structure of the Susceptible and Resistant Accessions
2.7. Aphid Resistance of Ethiopian Mustard Is Related to Its Indole Glucosinolate Content
2.8. Comparison of Enzymatic Activities between the Susceptible and the Resistant Accession
2.9. Aphid Resistance of B. carinata Is Associated with Callose Deposition
3. Discussion
4. Materials and Methods
4.1. Plant Materials
4.2. Evaluation and Statistics of Agronomical Characteristics
4.3. Identification of Seed Quality Features using NIR Reflectance Spectroscopy
4.4. DNA Isolation and Genetic Diversity Analysis using SSR Markers
4.5. Screening for Aphid Resistance under Controlled Conditions
4.6. Monitoring of GPA Feeding using EPG Assay
4.7. Scanning Electron Microscopy (SEM)
4.8. Histological Observation
4.9. Analysis of Glucosinolate Content
4.10. Measurement of Defense-Related Enzyme Activities
4.11. Analysis of Callose Deposition
5. Conclusions
Supplementary Materials
Author Contributions
Funding
Institutional Review Board Statement
Informed Consent Statement
Data Availability Statement
Acknowledgments
Conflicts of Interest
References
- Nagaru, U. Genome analysis in Brassica with special reference to the experimental formation of B. napus and peculiar mode of fertilization. Jpn. J. Bot. 1935, 7, 389–452. [Google Scholar]
- Thakur, A.K.; Singh, K.H.; Sharma, D.; Parmar, N.; Nanjundan, J. Breeding and genomics interventions in Ethiopian mustard (Brassica carinata A. Braun) improvement—A mini review. S. Afr. J. Bot. 2019, 125, 457–465. [Google Scholar] [CrossRef]
- Mourato, M.P.; Moreira, I.N.; Leitao, I.; Pinto, F.R.; Sales, J.R.; Martins, L.L. Effect of heavy metals in plants of the genus Brassica. Int. J. Mol. Sci. 2015, 16, 17975–17998. [Google Scholar] [CrossRef] [PubMed]
- Baysal-Gurel, F.; Liyanapathiranage, P.; Addesso, K.M. Effect of Brassica crop-based biofumigation on soilborne disease suppression in woody ornamentals. Can. J. Plant Pathol. 2020, 42, 94–106. [Google Scholar] [CrossRef]
- Bouaid, A.; Martinez, M.; Aracil, J. Production of biodiesel from bioethanol and Brassica carinata oil: Oxidation stability study. Biores. Technol. 2009, 100, 2234–2239. [Google Scholar] [CrossRef]
- Alam, A.; Masum, M.F.H.; Dwivedi, P. Break-even price and carbon emmissions of carinata-based sustainable aviation fuel production in the Southeastern United States. GCB Bioeng. 2021, 13, 1800–1813. [Google Scholar] [CrossRef]
- Kumar, S.; Seepaul, R.; Mulvaney, M.J.; Colvin, B.; George, S.; Marois, J.J.; Bennett, R.; Leon, R.; Wright, D.L.; Small, I.M. Brassica carinata genotyes demonstrate potential as a winter biofuel crop in south east united states. Ind. Crops Prod. 2020, 150, 112353. [Google Scholar] [CrossRef]
- Taylor, J.D.; Conway, J.; Roberts, S.J.; Astley, D.; Vicente, J.G. Sources and origin of resistance to Xanthomonas campestris pv. campestris in Brassica genomes. Phytopathology 2002, 92, 105–111. [Google Scholar] [CrossRef]
- Raman, R.; Qiu, Y.; Coombes, N.; Song, J.; Kilian, A.; Raman, H. Molecular diversity analysis and genetic mapping of pod shatter resistance loci in Brassica carinata L. Front. Plant Sci. 2017, 8, 1765. [Google Scholar] [CrossRef]
- Kumar, S.; Singh, Y.P.; Singh, S.P.; Singh, R. Physical and biochemical aspects of host plant resistance to mustard aphid, Lipaphis erysimi (Kaltenbach) in rapeseed-mustard. Arthropod Plant Interact. 2017, 11, 551–559. [Google Scholar] [CrossRef]
- Vicente, J.G.; Holub, E.B. Xanthomonas campestris pv. campestris (cause of black rot of crucifers) in the genomic era is still a worldwide threat to brassica crops. Mol. Plant Pathol. 2013, 14, 2–18. [Google Scholar] [CrossRef]
- Gao, Y.Y.; Gong, W.F.; Li, R.R.; Zhang, L.; Zhang, Y.L.; Gao, Y.B.; Lang, J.; Zhao, K.; Liu, K.W.; Yu, X.L. Genetic diversity analysis of Tibetan turnip (Brassica rapa L. ssp. rapifera Matzg) revealed by morphological, physiological, and molecular marker. Genet. Res. Crop Evol. 2020, 67, 209–223. [Google Scholar] [CrossRef]
- Agarwal, M.; Shrivastava, N.; Padh, H. Advances in molecular marker techniques and their applications in plant sciences. Plant Cell Rep. 2008, 27, 617–631. [Google Scholar] [CrossRef]
- Song, Z.P.; Xu, X.; Wang, B.; Chen, J.K.; Lu, B.R. Genetic diversity in the northernmost Oryza rufipogon populations estimated by SSR markers. Theor. Appl. Genet. 2003, 107, 1492–1499. [Google Scholar] [CrossRef]
- Kalia, R.K.; Rai, M.K.; Kalia, S.; Singh, R.; Dhawan, A.K. Microsatellite markers: An overview of the recent progress in plants. Euphytica 2011, 177, 309–334. [Google Scholar] [CrossRef]
- Warwick, S.I.; Gugel, R.K.; McDonald, T.; Falk, K.C. Genetic variation of Ethiopian mustard (Brassica carinata A. Braun) germplasm in western Canada. Genet. Res. Crop Evol. 2006, 53, 297–312. [Google Scholar] [CrossRef]
- Jiang, Y.; Tian, E.; Li, R.; Chen, L.; Meng, J. Genetic diversity of Brassica carinata with emphasis on the interspecific crossability with B. rapa. Plant Breed. 2007, 126, 487–491. [Google Scholar] [CrossRef]
- Khedikar, Y.; Clarke, W.E.; Chen, L.F.; Higgins, E.E.; Kagale, S.; Koh, C.S.; Bennett, R.; Parkin, I.A.P. Narrow genetic base shapes population structure and linkage disequilibrium in an industrial oilseed crop, Brassica carinata A. Braun. Sci. Rep. 2020, 10, 12629. [Google Scholar] [CrossRef]
- Alemayehu, N.; Becker, H.C. Genotypic diversity and patterns of variation in a germplasm material of Ethiopian mustard (Brassica carinata A. Braun). Genet. Res. Crop Evol. 2002, 49, 573–582. [Google Scholar] [CrossRef]
- Teklewold, A.; Becker, H.C. Geographic pattern of genetic diversity among 43 Ethiopian mustard (Brassica carinata A. Braun) accessions as revealed by RAPD analysis. Genet. Res. Crop Evol. 2006, 53, 1173–1185. [Google Scholar] [CrossRef]
- Brault, V.; Uzest, M.; Monsion, B.; Jacquot, E.; Blanc, S. Aphids as transport devices for plant viruses. C. R. Biol. 2010, 333, 524–538. [Google Scholar] [CrossRef] [PubMed]
- Tjallingii, W.F.; Esch, T.H. Fine structure of aphid stylet routes in plant tissues in correlation with EPG signals. Physiol. Entom. 1993, 18, 317–328. [Google Scholar] [CrossRef]
- Moreno, A.; Garzo, E.; Fernandez-Mata, G.; Kassem, M.; Aranda, M.A.; Fereres, A. Aphids secrete watery saliva into plant tissues from the onset of stylet penetration. Entom. Exp. Appl. 2011, 139, 145–153. [Google Scholar] [CrossRef]
- Tjallingii, W.F. Salivary secretions by aphids interacting with proteins of phloem wound responses. J. Exp. Bot. 2006, 57, 739–745. [Google Scholar] [CrossRef]
- Will, T.; Steckbauer, K.; Hardt, M.; van Bel, A.J.E. Aphid gel saliva: Sheath structure, protein composition and secretory dependence on stylet-tip milieu. PLoS ONE 2012, 7, e46903. [Google Scholar] [CrossRef]
- Girousse, C.; Moulia, B.; Silk, W.; Bonnemain, J.L. Aphid infestation causes different changes in carbon and nitrogen allocation in alfalfa stems as well as different inhibitions of longitudinal and radial expansion. Plant Physiol. 2005, 137, 1474–1484. [Google Scholar] [CrossRef][Green Version]
- Zhang, Y.; Liu, X.; Fu, Y.; Crespo-Herrera, L.; Liu, H.; Wang, Q.; Zhang, Y.; Chen, J. Salivary effector Sm9723 of grain aphid Sitobion miscanthi suppresses plant defense and is essential for aphid survival on wheat. Int. J. Mol. Sci. 2022, 23, 6909. [Google Scholar] [CrossRef]
- Elzinga, D.A.; de Vos, M.; Jander, G. The role of protein effectors in plant-aphid interactions. Curr. Opin. Plant Biol. 2013, 16, 451–456. [Google Scholar] [CrossRef]
- Alvarez, A.E.; Tjallingii, W.F.; Garzo, E.; Vleeshouwers, V.; Dicke, M.; Vosman, B. Location of resistance factors in the leaves of potato and wild tuber-bearing Solanum species to the aphid Myzus persicae. Entom. Exp. Appl. 2006, 121, 145–157. [Google Scholar] [CrossRef]
- Sytykiewicz, H.; Lukasik, I.; Golawska, S.; Chrzanowski, G. Aphid-triggered changes in oxidative damage markers of nucleic acids, proteins, and lipids in maize (Zea mays L.) seedlings. Int. J. Mol. Sci. 2019, 20, 3742. [Google Scholar] [CrossRef]
- Sun, M.J.; Voorrips, R.E.; Vosman, B. Aphid populations showing differential levels of virulence on Capsicum accessions. Insect Sci. 2020, 27, 336–348. [Google Scholar] [CrossRef]
- Wang, Y.; Zhang, Y.; Su, J.; Li, H.; Wang, Y.; Mia, Y.; Tan, J.; Han, Y. Potassium application for increased jasmonic acid content and defense enzyme activities of wheat leaves infested by aphids. Acta Ecol. Sin. 2014, 34, 2539–2547. [Google Scholar] [CrossRef]
- Yu, X.; Jones, H.D.; Ma, Y.; Wang, G.; Xu, Z.; Zhang, B.; Zhang, Y.; Ren, G.; Pickett, J.A.; Xia, L. (E)-β-Farnesene synthase genes affect aphid (Myzus persicae) infestation in tobacco (Nicotiana tabacum). Funct. Integr. Genom. 2012, 12, 207–213. [Google Scholar] [CrossRef]
- Hanley, M.E.; Lamont, B.B.; Fairbanks, M.M.; Rafferty, C.M. Plant structural traits and their role in anti-herbivore defence. Perspect. Plant Ecol. Evol. Syst. 2007, 8, 157–178. [Google Scholar] [CrossRef]
- War, A.R.; Paulraj, M.G.; Ahmad, T.; Buhroo, A.A.; Hussain, B.; Ignacimuthu, S.; Sharma, H.C. Mechanisms of plant defense against insect herbivores. Plant Signal. Behav. 2012, 7, 1306–1320. [Google Scholar] [CrossRef]
- Azzouz, H.; Cherqui, A.; Campan, E.D.M.; Rahbe, Y.; Duport, G.; Jouanin, L.; Kaiser, L.; Giordanengo, P. Effects of plant protease inhibitors, oryzacystatin I and soybean Bowman-Birk inhibitor, on the aphid Macrosiphum euphorbiae (Homoptera, Aphididae) and its parasitoid Aphelinus abdominalis (Hymenoptera, Aphididae). J. Insect Physiol. 2005, 51, 75–86. [Google Scholar] [CrossRef]
- Halbert, S.E.; Corsini, D.; Wiebe, M.; Vaughn, S.F. Plant-derived compounds and extracts with potential as aphid repellents. Ann. Appl. Biol. 2009, 154, 303–307. [Google Scholar] [CrossRef]
- Clay, N.K.; Adio, A.M.; Denoux, C.; Jander, G.; Ausubel, F.M. Glucosinolate metabolites required for an Arabidopsis innate immune response. Science 2009, 323, 95–101. [Google Scholar] [CrossRef]
- Züst, T.; Agrawal, A.A. Mechanisms and evolution of plant resistance to aphids. Nat. Plants 2016, 2, 16206. [Google Scholar] [CrossRef]
- Kim, J.H.; Lee, B.W.; Schroeder, F.C.; Jander, G. Identification of indole glucosinolate breakdown products with antifeedant effects on Myzus persicae (green peach aphid). Plant J. 2008, 54, 1015–1026. [Google Scholar] [CrossRef]
- Müller, R.; de Vos, M.; Sun, J.Y.; Sonderby, I.E.; Halkier, B.A.; Wittstock, U.; Jander, G. Differential effects of indole and aliphatic glucosinolates on lepidopteran herbivores. J. Chem. Ecol. 2010, 36, 905–913. [Google Scholar] [CrossRef]
- Lei, J.; Jayaprakasha, G.K.; Singh, J.; Uckoo, R.; Borrego, E.J.; Finlayson, S.; Kolomiets, M.; Patil, B.S.; Braam, J.; Zhu-Salzman, K. CIRCADIAN CLOCK-ASSOCIATED1 controls resistance to aphids by altering indole glucosinolate production. Plant Physiol. 2019, 181, 1344–1359. [Google Scholar] [CrossRef] [PubMed]
- Luna, E.; Pastor, V.; Robert, J.; Flors, V.; Mauch-Mani, B.; Ton, J. Callose deposition: A multifaceted plant defense response. Mol. Plant-Microbe Interact. 2011, 24, 183–193. [Google Scholar] [CrossRef]
- Yao, L.M.; Zhong, Y.P.; Wang, B.; Yan, J.H.; Wu, T.L. BABA application improves soybean resistance to aphid through activation of phenylpropanoid metabolism and callose deposition. Pest Manag. Sci. 2020, 76, 384–394. [Google Scholar] [CrossRef]
- Gomez-Campo, C.; Tortosa, M.E.; Tewari, I.; Tewari, J.P. Epicuticular wax columns in cultivated Brassica species and in their close wild relatives. Ann. Bot. 1999, 83, 515–519. [Google Scholar] [CrossRef]
- Mulvaney, M.J.; Leon, R.G.; Seepaul, R.; Wright, D.L.; Hoffman, T.L. Brassica carinata seeding rate and row spacing effects on morphology, yield, and oil. Agron. J. 2019, 111, 528–535. [Google Scholar] [CrossRef]
- Rio-Celestino, M.D.; Font, R.; Haro-Bailon, A.D. Inheritance of high oleic acid content in the seed oil of mutant Ethiopian mustard lines and its relationship with erucic acid content. J. Agric. Sci. 2007, 145, 353–365. [Google Scholar] [CrossRef]
- Nabloussi, A.; Fernandez-Martinez, J.M.; Velasco, L. Inheritance of low linolenic acid content in zero-erucic acid Ethiopian mustard. Crop Sci. 2009, 49, 549–553. [Google Scholar] [CrossRef]
- Bowen, K.J.; Kris-Etherton, P.M.; West, S.G.; Fleming, J.A.; Connelly, P.W.; Lamarche, B.; Couture, P.; Jenkins, D.J.A.; Taylor, C.G.; Zahradka, P.; et al. Diets enriched with conventional or high-oleic acid canola oils lower atherogenic lipids and lipoproteins compared to a diet with a western fatty acid profile in adults with central adiposity. J. Nutr. 2019, 149, 471–478. [Google Scholar] [CrossRef]
- Hagos, R.; Shaibu, A.S.; Zhang, L.; Cai, X.; Liang, J.L.; Wu, J.; Lin, R.M.; Wang, X.W. Ethiopian mustard (Brassica carinata A. Braun) as an alternative energy source and sustainable crop. Sustainability 2020, 12, 7492. [Google Scholar] [CrossRef]
- Mwathi, M.W.; Gupta, M.; Quezada-Martinez, D.; Pradhan, A.; Batley, J.; Mason, A.S. Fertile allohexaploid Brassica hybrids obtained from crosses between B. oleracea and B. juncea via ovule rescue and colchicine treatment of cuttings. Plant Cell Tissue Organ Cult. 2020, 140, 301–313. [Google Scholar] [CrossRef]
- Chen, S.; Nelson, M.N.; Chevre, A.M.; Jenczewski, E.; Li, Z.Y.; Mason, A.S.; Meng, J.L.; Plummer, J.A.; Pradhan, A.; Siddique, K.H.M.; et al. Trigenomic bridges for Brassica improvement. Crit. Rev. Plant Sci. 2011, 30, 524–547. [Google Scholar] [CrossRef]
- Bogaert, F.; Marmonier, A.; Pichon, E.; Boissinot, S.; Ziegler-Graff, V.; Chesnais, Q.; Villeroy, C.; Drucker, M.; Brault, V. Impact of mutations in Arabidopsis thaliana metabolic pathways on polerovirus accumulation, aphid performance, and feeding behavior. Viruses 2020, 12, 146. [Google Scholar] [CrossRef]
- Leybourne, D.J.; Valentine, T.A.; Robertson, J.A.H.; Perez-Fernandez, E.; Main, A.M.; Karley, A.J.; Bos, J.I.B. Defence gene expression and phloem quality contribute to mesophyll and phloem resistance to aphids in wild barley. J. Exp. Bot. 2019, 70, 4011–4026. [Google Scholar] [CrossRef]
- Todd, J.C.; Mian, M.A.R.; Backus, E.A.; Finer, J.J.; Redinbaugh, M.G. Feeding behavior of soybean aphid (Hemiptera: Aphididae) biotype 2 on resistant and susceptible soybean. J. Econ. Entom. 2016, 109, 426–433. [Google Scholar] [CrossRef]
- Gould, G.G.; Jones, C.G.; Rifleman, P.; Perez, A.; Coleman, J.S. Variation in eastern cottonwood (Populus deltoides Bartr.) phloem sap content caused by leaf development may affect feeding site selection behavior of the aphid, Chaitophorous populicola Thomas (Homoptera: Aphididae). Environ. Entom. 2007, 36, 1212–1225. [Google Scholar] [CrossRef]
- Zhao, R.N.; He, Y.Q.; Lu, Z.Y.; Chen, W.L.; Zhou, C.Y.; Wang, X.F.; Li, T.S. An analysis of the feeding behavior of three stages of Toxoptera citricida by DC electrical penetration graph waveforms. Entom. Exp. Appl. 2019, 167, 370–376. [Google Scholar] [CrossRef]
- Mao, Y.B.; Liu, Y.Q.; Chen, D.Y.; Chen, F.Y.; Fang, X.; Hong, G.J.; Wang, L.J.; Wang, J.W.; Chen, X.Y. Jasmonate response decay and defense metabolite accumulation contributes to age-regulated dynamics of plant insect resistance. Nat. Commun. 2017, 8, 13925. [Google Scholar] [CrossRef]
- Kim, J.H.; Jander, G. Myzus persicae (green peach aphid) feeding on Arabidopsis induces the formation of a deterrent indole glucosinolate. Plant J. 2007, 49, 1008–1019. [Google Scholar] [CrossRef]
- Kloth, K.J.; Abreu, I.N.; Delhomme, N.; Petrik, I.; Villard, C.; Strom, C.; Amini, F.; Novak, O.; Moritz, T.; Albrectsen, B.R. PECTIN ACETYLESTERASE9 affects the transcriptome and metabolome and delays aphid feeding. Plant Physiol. 2019, 181, 1704–1720. [Google Scholar] [CrossRef]
- Han, Y.; Wang, Y.; Bi, J.L.; Yang, X.Q.; Huang, Y.; Zhao, X.; Hu, Y.; Cai, Q.N. Constitutive and induced activities of defense-related enzymes in aphid-resistant and aphid-susceptible cultivars of wheat. J. Chem. Ecol. 2009, 35, 176–182. [Google Scholar] [CrossRef]
- Peng, L.; Yan, Y.; Yang, C.H.; De Barro, P.J.; Wan, F.H. Identification, comparison, and functional analysis of salivary phenol-oxidizing enzymes in Bemisia tabaci B and Trialeurodes vaporariorum. Entomol. Exp. Appl. 2013, 147, 282–292. [Google Scholar] [CrossRef]
- Boughton, A.J.; Hoover, K.; Felton, G.W. Impact of chemical elicitor applications on greenhouse tomato plants and population growth of the green peach aphid, Myzus persicae. Entomol. Exp. Appl. 2006, 120, 175–188. [Google Scholar] [CrossRef]
- Silva-Sanzana, C.; Estevez, J.M.; Blanco-Herrera, F. Influence of cell wall polymers and their modifying enzymes during plant–aphid interactions. J. Exp. Bot. 2020, 71, 3854–3864. [Google Scholar] [CrossRef]
- Pirselova, B.; Matusikova, I. Callose: The plant cell wall polysaccharide with multiple biological functions. Acta Physiol. Plant. 2013, 35, 635–644. [Google Scholar] [CrossRef]
- de Wet, L.R.; Botha, C.E.J. Resistance or tolerance: An examination of aphid (Sitobion yakini) phloem feeding on Betta and Betta-Dn wheat (Triticum aestivum). S. Afr. J. Bot. 2007, 73, 35–39. [Google Scholar] [CrossRef]
- IBPGR. Descriptors for Bracssica and Raphanus; International Board for Plant Genetic Resources: Rome, Italy, 1990; pp. 1–51. ISBN 92-9043-184-9. [Google Scholar]
- Zhao, X.N.; Li, G.Y.; Liu, Y.; Lu, P.; Dun, B.Q.; Yue, M.Q.; Zhang, P. Genetic diversity and correlation analysis of main agronomic characters in domestic and foreign sweet sorghum germplasm. J. Plant Genet. Res. 2008, 9, 302–307. [Google Scholar] [CrossRef]
- Shannon, C.E. A mathematical theory of communication. Bell Sys. Tech. J. 1948, 27, 379–423. [Google Scholar] [CrossRef]
- Wu, J.G.; Shi, C.H.; Zhang, H.Z. Study on developing calibration model of fat acid composition in intact rapeseed by near infrared reflectance spectroscopy. Spectrosc. Spectr. Anal. 2006, 26, 259–262. [Google Scholar] [CrossRef]
- Tian, T.; Jin, Z.L.; Ali, B.; Guo, X.; Liu, F.; Zhang, F.; Zhang, W.F.; He, Y.; Zhou, W.J. The influence of new herbicide ZJ0273 on the total- and branched-chain amino acids in oilseed rape (Brassica napus L.) leaves as revealed by near-infrared spectroscopy. Acta Physiol. Plant. 2014, 36, 2149–2156. [Google Scholar] [CrossRef]
- Porras-Hurtado, L.; Ruiz, Y.; Santos, C.; Phillips, C.; Carracedo, A.; Lareu, M.V. An overview of STRUCTURE: Applications, parameter settings, and supporting software. Front. Genet. 2013, 4, 98. [Google Scholar] [CrossRef]
- Hammer, Ø.; Harper, D.; Ryan, P. PAST: Paleontological statistics software package for education and data analysis. Palaeontol. Electron. 2001, 4, 1–9. [Google Scholar]
- Painter, R.H. Insect Resistance in Crop Plants; University of Kansas Press: Lawrence, KS, USA, 1951. [Google Scholar]
- Jiang, Y.X.; Chang, W.J.; Zhan, Y.D.; Liu, Z.; Liu, Y. Investigation on the resistance of wheat germplasm resources to aphid based on fuzzy recognition and electrical penetration graph (EPG) techniques. Chin. J. Appl. Ecol. 2020, 31, 3248–3254. [Google Scholar] [CrossRef]
- Sun, B.; Yan, H.Z.; Zhang, F.; Wang, Q.M. Effects of plant hormones on main health-promoting compounds and antioxidant capacity of Chinese kale. Food Res. Int. 2012, 48, 359–366. [Google Scholar] [CrossRef]







| EPG Parameters | Mean Value ± Standard Error of the Mean | |
|---|---|---|
| Susceptible (BC01) | Resistant (BC47) | |
| Number of probes/(n) | 208.00 ± 23.07 | 224.67 ± 32.53 |
| Time to first phloem phase (E1 and E2)/min | 26.51 ± 6.00 | 55.98 ± 14.80 * |
| Duration of first probe/s | 40.95 ± 14.59 | 273.46 ± 92.39 * |
| Duration of total np/min | 83.57 ± 14.62 | 76.92 ± 21.90 |
| Duration of total probe/min | 179.70 ± 12.00 | 221.76 ± 19.49 |
| Duration of total xylem phase (G)/min | 42.01 ± 5.83 | 22.20 ± 4.17 * |
| Duration of total phloem phase (E1 and E2)/min | 49.16 ± 10.94 | 39.12 ± 7.83 |
| Characteristics | Mean Value ± Standard Error of the Mean | |||||
|---|---|---|---|---|---|---|
| Susceptible Genotypes | Resistant Genotypes | |||||
| BC01 | BC25 | BC60 | BC13 | BC47 | BC51 | |
| Trichomes height (μm) | Null | Null | 565.82 ± 27.20 Ns | Null | 538.03 ± 16.89 Ns | 425.26 ± 20.55 Ns |
| Trichomes density (mm−2) | Null | Null | 565.82 ± 27.20 Ns | Null | 1.27 ± 0.12 Ns | 1.38 ± 0.38 Ns |
| Stomatal size (μm) | 4.75 ± 0.74 a | 16.45 ± 0.51 b | 420.29 ± 14.50 b | 16.45 ± 0.51 b | 13.91 ± 0.33 b | 15.47 ± 0.43 b |
| Stomatal density (mm−2) | 338.16 ± 22.13 ab | 205.04 ± 3.71 ab | 11.06 ± 0.90 b | 144.93 ± 14.50 a | 178.41 ± 22.57 ab | 258.06 ± 16.13 ab |
| Leaf thickness (μm) | 313.23 ± 15.08 a | 291.17 ± 18.76 a | 290.27 ± 8.78 a | 214.73 ± 4.29 b | 234.17 ± 4.47 b | 272.53 ± 7.27 ab |
| Palisade mesophyll thickness (μm) | 196.63 ± 15.52 a | 180.60 ± 5.50 a | 159.80 ± 2.51 ab | 135.23 ± 2.75 b | 137.63 ± 3.66 b | 157.57 ± 11.76 a |
| Palisade mesophyll (layer) | 4.33 ± 0.58 ab | 4.33 ± 0.58 ab | 4.00 ± 0.02 b | 5.67 ± 0.58 a | 5.67 ± 0.58 a | 6.33 ± 0.58 a |
| Spongy mesophyll thickness (μm) | 101.43 ± 3.23 a | 99.40 ± 2.93 a | 97.50 ± 3.82 a | 67.00 ± 4.16 b | 56.87 ± 1.84 b | 64.13 ± 2.39 b |
| Spongy mesophyll (layer) | 5.00 ± 1.00 a | 4.33 ± 0.58 a | 4.67 ± 0.58 a | 3.67 ± 0.58 a | 2.67 ± 0.58 a | 2.67 ± 0.58 a |
| Leaf thickness (μm) | 313.23 ± 15.08 a | 291.17 ± 18.76 a | 290.27 ± 8.78 a | 214.73 ± 4.29 b | 234.17 ± 4.47 b | 272.53 ± 7.27 ab |
Publisher’s Note: MDPI stays neutral with regard to jurisdictional claims in published maps and institutional affiliations. |
© 2022 by the authors. Licensee MDPI, Basel, Switzerland. This article is an open access article distributed under the terms and conditions of the Creative Commons Attribution (CC BY) license (https://creativecommons.org/licenses/by/4.0/).
Share and Cite
Zhou, F.; Chen, C.; Kong, L.; Liu, S.; Zhao, K.; Zhang, Y.; Zhao, T.; Liu, K.; Yu, X. Genetic Diversity Analysis Reveals Potential of the Green Peach Aphid (Myzus persicae) Resistance in Ethiopian Mustard. Int. J. Mol. Sci. 2022, 23, 13736. https://doi.org/10.3390/ijms232213736
Zhou F, Chen C, Kong L, Liu S, Zhao K, Zhang Y, Zhao T, Liu K, Yu X. Genetic Diversity Analysis Reveals Potential of the Green Peach Aphid (Myzus persicae) Resistance in Ethiopian Mustard. International Journal of Molecular Sciences. 2022; 23(22):13736. https://doi.org/10.3390/ijms232213736
Chicago/Turabian StyleZhou, Fangyuan, Chaoquan Chen, Lijun Kong, Shenglanjia Liu, Kun Zhao, Yi Zhang, Tong Zhao, Kaiwen Liu, and Xiaolin Yu. 2022. "Genetic Diversity Analysis Reveals Potential of the Green Peach Aphid (Myzus persicae) Resistance in Ethiopian Mustard" International Journal of Molecular Sciences 23, no. 22: 13736. https://doi.org/10.3390/ijms232213736
APA StyleZhou, F., Chen, C., Kong, L., Liu, S., Zhao, K., Zhang, Y., Zhao, T., Liu, K., & Yu, X. (2022). Genetic Diversity Analysis Reveals Potential of the Green Peach Aphid (Myzus persicae) Resistance in Ethiopian Mustard. International Journal of Molecular Sciences, 23(22), 13736. https://doi.org/10.3390/ijms232213736

