Toolbox Accelerating Glycomics (TAG): Improving Large-Scale Serum Glycomics and Refinement to Identify SALSA-Modified and Rare Glycans
Abstract
1. Introduction
2. Results and Discussion
2.1. Overview of the Updated Version of TAG
2.1.1. Glycan Residues Handled in the Updated Version of TAG
2.1.2. Modified List of Glycans Containing GlcA, Mannose-Rich Hybrids, and LacDiNAc That Were implemented in the TAG List
2.1.3. Glycomic Data Analysis for Annotation and Quantification of Glycans Using the Updated Version of TAG Expression
2.1.4. Automatic Generation of Input Files for TAG Expression with Plate Files
2.2. Serum Glycomics Using TAG Expression
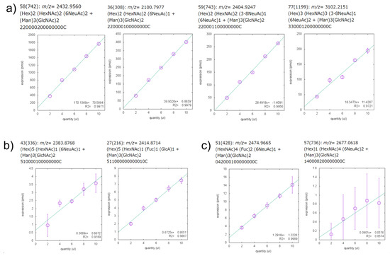
2.2.1. Generation of Calibration Curves
2.2.2. Identification of Plausible N-glycan Structures Added to the Updated Version of TAG List
3. Materials and Methods
3.1. Materials and Reagents
3.2. Quantitative Serum N-Glycan Analysis by MALDI-TOF MS
3.3. Automatic Generation of the Input File for TAG Expression Oriented to Large-Scale Cohort Analyses
3.3.1. Plate File
3.3.2. Generation of Input Files for TAG Expression Analysis
3.4. MS Data Analysis Using the Updated Version of TAG Expression
4. Conclusions
Supplementary Materials
Author Contributions
Funding
Institutional Review Board Statement
Informed Consent Statement
Data Availability Statement
Acknowledgments
Conflicts of Interest
References
- Varki, A. Biological roles of glycans. Glycobilogy 2017, 27, 3–49. [Google Scholar] [CrossRef]
- Varki, A. Essentials of Glycobiology, 3rd ed.; Varki, A., Ed.; Cold Spring Harbor Laboratory Press: Cold Spring Harbor, NY, USA, 2017. [Google Scholar]
- Apweiler, R.; Hermjakob, H.; Sharon, N. On the frequency of protein glycosylation, as deduced from analysis of the SWISS-PROT database. Biochim. Biophys. Acta 1999, 1473, 4–8. [Google Scholar] [CrossRef]
- Hart, G.W.; Copeland, R.J. Glycomics hits the big time. Cell 2010, 143, 672–676. [Google Scholar] [CrossRef]
- Costa-Silva, J.; Domingues, D.; Lopes, F.M. RNA-seq differential expression analysis: An extended review and software tool. PLoS ONE 2017, 12, e0190152. [Google Scholar] [CrossRef]
- Tyanova, S.; Temu, T.; Cox, J. The MaxQuant Computational platform for mass spectrometry-based shotgun proteomics. Nat. Protoc. 2016, 11, 2301–2319. [Google Scholar] [CrossRef]
- Perkins, D.N.; Pappin, D.J.; Creasy, D.M.; Cottrell, J.S. Probability-based protein identification by searching sequence databases using mass spectrometry data. Electrophoresis 1999, 20, 3551–3567. [Google Scholar] [CrossRef]
- Craig, R.; Beavis, R.C. TANDEM: Matching proteins with tandem mass spectra. Bioinformatics 2004, 20, 1466–1467. [Google Scholar] [CrossRef]
- Rohde, T.; Chupalov, R.; Shulman, N.; Sharma, V.; Eckels, J.; Pratt, B.S.; MacCoss, M.J.; MacLean, B.X. Audit logs to enforce document integrity in Skyline and Panorama. Bioinformatics 2020, 36, 4366–4368. [Google Scholar] [CrossRef]
- Peng, W.; Gutierrez Reyes, C.D.; Gautam, S.; Yu, A.; Cho, B.G.; Goli, M.; Donohoo, K.; Mondello, S.; Kobeissy, F.; Mechref, Y. MS-based glycomics andglycoproteomics methods enabling isomericcharacterization. Mass Spectrom. Rev. 2021, 10.1002/mas.21713. [Google Scholar] [CrossRef]
- Abrahams, J.L.; Taherzadeh, G.; Jarvas, G.; Guttman, A.; Zhou, Y.; Campbell, M.P. Recent advances in glycoinformatic platforms for glycomics and glycoproteomics. Curr. Opin. Struct. Biol. 2020, 62, 56–59. [Google Scholar] [CrossRef]
- Ceroni, A.; Maass, K.; Ceyer, H.; Geyer, R.; Dell, A.; Haslam, S.M. GlycoWorkbench: A tool for the compueter-assisted annotation of mass spector of glycans. J. Proteome Res. 2008, 7, 1650–1659. [Google Scholar] [CrossRef]
- Meitei, N.S.; Apte, A.; Snovida, S.I.; Rogers, J.C.; Saba, J. Automating Mass Spectrometry-Based Quantitative Glycomics Using Aminoxy Tandem Mass Tag Reagents with SimGlycan. J. Proteom. 2015, 127, 211–222. [Google Scholar] [CrossRef]
- PREMIER Biosoft. Available online: http://www.premierbiosoft.com/glycan/index.html (accessed on 1 September 2022).
- Xiao, K.; Wang, Y.; Shen, Y.; Han, Y.; Tian, Z. Large-Scale Identification and Visualization of N-Glycans with Primary Structures Using GlySeeker. Rapid Commun. Mass Spectrom. 2018, 32, 142–148. [Google Scholar] [CrossRef]
- Kalmar, J.G.; Garrard, K.P.; Muddiman, D.C. GlycoHunter: An Open-Source Software for the Detection and Relative Quantification of INLIGHT-Labeled N-Linked Glycans. J. Proteome Res. 2021, 20, 1855–1863. [Google Scholar] [CrossRef]
- Klein, J.; Carvalho, L.; Zaia, J. Application of network smoothing to glycan LC-MS profiling. Bioinformatics 2018, 34, 3511–3518. [Google Scholar] [CrossRef]
- Fujita, A.; Aoki, N.P.; Shinmachi, D.; Matsubara, M.; Tsuchiya, S.; Shiota, M.; Ono, T.; Yamada, I.; Aoki-Kinoshita, K.F. The international glycan repository GlyTouCan version 3.0. Nucleic Acids Res. 2021, 49, D1529–D1533. [Google Scholar] [CrossRef]
- Fujitani, N.; Furukawa, J.-I.; Araki, K.; Fujioka, T.; Takegawa, Y.; Piao, J.; Nishioka, T.; Tamura, T.; Nikaido, T.; Ito, M.; et al. Total cellular glycomics allows characterizing cells and streamlining the discovery process for cellular biomarkers. Proc. Natl. Acad. Sci. USA 2013, 110, 2105–2110. [Google Scholar] [CrossRef]
- Miura, N.; Hanamatsu, H.; Yokota, I.; Okada, K.; Furukawa, J.-I.; Shinohara, Y. Toolbox Accelerating Glycomics (TAG): Glycan Annotation from MALDI-TOF MS Spectra and Mapping Expression Variation to Biosynthetic Pathways. Biomolecules 2020, 10, 1383. [Google Scholar] [CrossRef]
- Lageveen-Kammeijer, G.S.M.; de Haan, N.; Mohaupt, P.; Wagt, S.; Filius, M.; Jan Nouta, J.; Falck, D.; Wuhrer, M. Highly sensitive CE-ESI-MS analysis of N-glycans from complex biological samples. Nat. Commun. 2019, 10, 2137. [Google Scholar] [CrossRef]
- Yamada, K.; Suzuki, K.; Hirohata, Y.; Kinoshita, M. Analysis of Minor Acidic N-Glycans in Human Serum. J. Proteome Res. 2020, 19, 3033–3043. [Google Scholar] [CrossRef]
- Nishikaze, T.; Tsumoto, H.; Sekiya, S.; Iwamoto, S.; Miura, Y.; Tanaka, K. Differentiation of Sialyl Linkage Isomers by One-Pot Sialic Acid Derivatization for Mass Spectrometry-Based Glycan Profiling. Anal. Chem. 2017, 89, 2353–2360. [Google Scholar] [CrossRef]
- Hanamatsu, H.; Nishikaze, T.; Miura, N.; Piao, J.; Okada, K.; Sekiya, S.; Iwamoto, S.; Sakamoto, N.; Tanaka, K.; Furukawa, J.I. Sialic acid linkage specific derivatization of glycosphingolipid glycans by ring-opening aminolysis of lactones. Anal. Chem. 2018, 90, 13193–13199. [Google Scholar] [CrossRef]
- Hanamatsu, H.; Nishikaze, T.; Tsumoto, H.; Ogawa, K.; Kobayashi, T.; Yokota, I.; Morikawa, K.; Suda, G.; Sho, T.; Nakai, M.; et al. Comparative glycomic analysis of sialyl linkage isomers by sialic acid linkage-specific alkylamidation in combination with stable isotope labeling of α2,3-linked sialic acid residues. Anal. Chem. 2019, 91, 13343–13348. [Google Scholar] [CrossRef]
- Svarovsky, S.A.; Joshi, L. Cancer glycan biomarkers and their detection—Past, present and future. Anal. Methods 2014, 6, 3918–3936. [Google Scholar] [CrossRef]
- Hirano, K.; Furukawa, K. Biosynthesis and Biological Significances of LacdiNAc Group on N- and O-Glycans in Human Cancer Cells. Biomolecules 2022, 12, 195. [Google Scholar] [CrossRef]
- Shewell, L.K.; Day, C.J.; Kutasovic, J.R.; Abrahams, J.L.; Wang, J.; Poole, J.; Niland, C.; Ferguson, K.; Saunus, J.M.; Lakhani, S.R.; et al. N-glycolylneuraminic acid serum biomarker levels are elevated in breast cancer patients at all stages of disease. BMC Cancer 2022, 22, 334. [Google Scholar] [CrossRef]
- Vreeker, G.C.M.; Hanna-Sawires, R.G.; Mohammed, Y.; Bladergroen, M.R.; Nicolardi, S.; Dotz, V.; Nouta, J.; Bonsing, B.A.; Mesker, W.E.; van der Burgt, Y.E.M.; et al. Serum N-Glycome analysis reveals pancreatic cancer disease signatures. Cancer Med. 2020, 9, 8519–8529. [Google Scholar] [CrossRef]
- Yu, L.; Huo, Z.; Yang, J.; Palma-Gudiel, H.; Boyle, P.A.; Schneider, J.A.; Bennett, D.A.; Zhao, J. Human Brain and Blood N-Glycome Profiling in Alzheimer’s Disease and Alzheimer’s Disease-Related Dementias. Front. Aging Neurosci. 2021, 13, 765259. [Google Scholar] [CrossRef]
- Vreeker, G.C.M.; Vangangelt, K.M.H.; Bladergroen, M.R.; Nicolardi, S.; Mesker, W.E.; Wuhrer, M.; van der Burgt, Y.E.M.; Tollenaar, R.A.E.M. Serum N-glycan profiles differ for various breast cancer subtypes. Glycoconj. J. 2021, 38, 387–395. [Google Scholar] [CrossRef]
- Zahradnikova, M.; Ihnatova, I.; Lattova, E.; Uhrik, L.; Stuchlikova, E.; Nenutil, R.; Valik, D.; Nalezinska, M.; Chovanec, J.; Zdrahal, Z.; et al. N-Glycome changes reflecting resistance to platinum-based chemotherapy in ovarian cancer. J. Proteom. 2021, 230, 103964. [Google Scholar] [CrossRef]
- Dong, X.; Mondello, S.; Kobeissy, F.; Ferri, R.; Mechref, Y. Serum Glycomics Profiling of Patients with Primary Restless Legs Syndrome Using LC–MS/MS. J. Proteome Res. 2020, 19, 2933–2941. [Google Scholar] [CrossRef]
- Alocci, D.; Mariethoz, J.; Gastaldello, A.; Gasteiger, E.; Karlsson, N.G.; Kolarich, D.; Packer, N.H.; Lisacek, F. GlyConnect: Glycoproteomics Goes Visual, Interactive, and Analytical. J. Proteome Res. 2019, 18, 664–677. [Google Scholar] [CrossRef]
- Uematsu, R.; Furukawa, J.I.; Nakagawa, H.; Shinohara, Y.; Deguchi, K.; Monde, K.; Nishimura, S.I. High Throughput Quantitative Glycomics and Glycoform-focused Proteomics of Murine Dermis and Epidermis. Mol. Cell. Proteom. 2005, 4, 1977–1989. [Google Scholar] [CrossRef]
- Yoshida, Y.; Furukawa, J.I.; Naito, S.; Higashino, K.; Numata, Y.; Shinohara, Y. Quantitative analysis of total serum glycome in human and mouse. Proteomics 2016, 16, 2747–2758. [Google Scholar] [CrossRef]
- Robin, T.; Mariethoz, J.; Lisacek, F. Examining and Fine-tuning the Selection of Glycan Compositions with GlyConnect Compozitor. Mol. Cell. Proteom. 2020, 19, 1602–1618. [Google Scholar] [CrossRef]







| Residue ID | Name | Mass (Da) | Description | Range a |
|---|---|---|---|---|
| 1 | Hex | 162.0528 | Hexose | 0–6 |
| 2 | HexNAc | 203.0793 | N-acetylhexosamine | 0–5 |
| 3 | Fuc | 146.0579 | Fucose | 0–3 |
| 6 | 3-8NeuAc | 304.1270 | α2,3- or α2,8-linkage of NeuAc (SALSA: methylamine amidation) | NeuAc + NeuGc + GlcA: 0–4 GlcA: 0–1 |
| 7 | 6NeuAc | 332.1583 | α2,6-linkage of NeuAc (SALSA: isopropylamine amidation) | |
| 8 | 3-8NeuGc | 320.1219 | α2,3- or α2,8-linkage of NeuGc (SALSA: methylamine amidation) | |
| 9 | 6NeuGc | 348.1532 | α2,6-linkage of NeuGc (SALSA: isopropylamine amidation) | |
| 14 | GlcA | 217.0950 | Glucuronic acid (SALSA: isopropylamine amidation) |
| Button Name | Function |
|---|---|
| TAG list | Generating a glycan list to be employed in TAG Expression. TAG List is a separate program written in the awk script language, as in the previous version [20]. This function is not in the menu but is executed as a separate program. |
| Make input file from MassList and plate file | Automatically creating TAG Expression input files from masslist and plate files. |
| Run TAG_Expression (calibration curve) | Glycan annotation and quantitation to generate calibration curves for annotated glycans. |
| Convert Excel MS files to multi-CSV files | Convert tabbed Excel files (xlsx format) to multi-CSV files for TAG Expression. |
| File Name | Description |
|---|---|
| Summary.csv | The summary file of the analysis containing the observed mass, the expression level estimated from the area, its mean value, standard deviation, CV, and the URL to search the attributed structure against Glyconnect for each plausible glycan. See main text for details. |
| each_glycan_quant_point.html | Data are compiled into a scatter plot for calibration curves. Linear fitting is performed, and a, b, and R2 are also outputs. Data are in HTML format and can be viewed with ordinary web browsers. |
| each_glycan_quant_point_rcut.html | Only glycans with R2 > 0.8 are shown in the scatter plot for the calibration curve. Linear fitting is performed, and a, b, and R2 are also outputs. Data are in HTML format and can be viewed with ordinary web browsers. |
| Mass | Composition |
|---|---|
| Mannose-Rich Hybrid a | |
| 2383.8768 | (Hex)5 (HexNAc)1 (6NeuAc)1 + (Man)3(GlcNAc)2 |
| 2414.8714 | (Hex)5 (HexNAc)1 (Fuc)1 (GlcA)1 + (Man)3(GlcNAc)2 |
| LacDiNAc | |
| 2474.9665 | (HexNAc)4 (Fuc)2 (6NeuAc)1 + (Man)3(GlcNAc)2 |
| 2677.0618 | (Hex)1 (HexNAc)4 (6NeuAc)2 + (Man)3(GlcNAc)2 |
Publisher’s Note: MDPI stays neutral with regard to jurisdictional claims in published maps and institutional affiliations. |
© 2022 by the authors. Licensee MDPI, Basel, Switzerland. This article is an open access article distributed under the terms and conditions of the Creative Commons Attribution (CC BY) license (https://creativecommons.org/licenses/by/4.0/).
Share and Cite
Miura, N.; Hanamatsu, H.; Yokota, I.; Akasaka-Manya, K.; Manya, H.; Endo, T.; Shinohara, Y.; Furukawa, J.-i. Toolbox Accelerating Glycomics (TAG): Improving Large-Scale Serum Glycomics and Refinement to Identify SALSA-Modified and Rare Glycans. Int. J. Mol. Sci. 2022, 23, 13097. https://doi.org/10.3390/ijms232113097
Miura N, Hanamatsu H, Yokota I, Akasaka-Manya K, Manya H, Endo T, Shinohara Y, Furukawa J-i. Toolbox Accelerating Glycomics (TAG): Improving Large-Scale Serum Glycomics and Refinement to Identify SALSA-Modified and Rare Glycans. International Journal of Molecular Sciences. 2022; 23(21):13097. https://doi.org/10.3390/ijms232113097
Chicago/Turabian StyleMiura, Nobuaki, Hisatoshi Hanamatsu, Ikuko Yokota, Keiko Akasaka-Manya, Hiroshi Manya, Tamao Endo, Yasuro Shinohara, and Jun-ichi Furukawa. 2022. "Toolbox Accelerating Glycomics (TAG): Improving Large-Scale Serum Glycomics and Refinement to Identify SALSA-Modified and Rare Glycans" International Journal of Molecular Sciences 23, no. 21: 13097. https://doi.org/10.3390/ijms232113097
APA StyleMiura, N., Hanamatsu, H., Yokota, I., Akasaka-Manya, K., Manya, H., Endo, T., Shinohara, Y., & Furukawa, J.-i. (2022). Toolbox Accelerating Glycomics (TAG): Improving Large-Scale Serum Glycomics and Refinement to Identify SALSA-Modified and Rare Glycans. International Journal of Molecular Sciences, 23(21), 13097. https://doi.org/10.3390/ijms232113097

