Biologically Active Diterpenoids in the Clerodendrum Genus—A Review
Abstract
1. Introduction
2. A Review of Diterpenoid Compounds Isolated from Clerodendrum Genus
2.1. Clerodendrum bungei
2.2. Clerodendrum cyrtophyllum
2.3. Clerodendrum eriophyllum
2.4. C. formicarum
2.5. Clerodendrum inerme
2.6. Clerodendrum infortunatum
2.7. Clerodendrum kaichianum
2.8. Clerodendrum kiangsiense and C. mandarinorum
2.9. Clerodendrum splendens
2.10. Clerodendrum trichotomum
| Species | Material | Solvent and Extraction Method | Isolated Diterpenoids | References |
|---|---|---|---|---|
| C. trichotomum | Roots | The dried roots were first extracted with petroleum ether/EtOAc (1:1) three times at room temperature, assisted by ultrasonication. After filtration, the filtrate was concentrated at reduced pressure to give a dark brown residue | 6-methoxyvillosin C (79) 18-hydroxy-6-methoxyvillosin C (80) (10R,16S)-12,16-epoxy-11,14-dihydroxy-6-methoxy-17(15→16)-abeo-abieta-5,8,11,13-tetraene-3,7-dione (81) Trichotomone D (82) (10R,16R)-12,16-epoxy-11,14,17-trihydroxy-17(15→16),18(4→3)-diabeo-abieta-3,5,8,11,13-pentaene-2,7-dione (83) Trichotomone F (84) 12,16-epoxy-11,14-dihydroxy-6-methoxy-17(15→16)-abeo-abieta-5,8,11,13,15-pentanene-3,7-dione (31) Uncinatone (9) Mandarone E (70) Formidiol (30) Teuvincenone E (86) Teuvincenone F (10) Trichotomone H (87) Villosin C (85) | [93] |
| C. trichotomum | Roots | Dried roots of C. trichotomum were exhaustively extracted with petroleum ether/EtOAc (1:1) at room temperature, yielding a semi-dry residua | Trichotomone (78) | [92] |
| C. trichotomum | Stems | The air-dried stems were cut into small pieces and extracted with 85% EtOH under reflux three times. The combined extracts were filtered and the solvent was removed under reduced pressure with a rotary evaporator at 60 °C to obtain a brown crude extract. | Sugiol (18) Teuvincenone F (10) Teuvincenone A (48) Teuvincenone H (88) Uncinatone (9) Teuvincenone B (89) Cyrtophyllone B (21) | [88] |
| C. trichotomum | Stems | The air-dried stems were cut into small pieces and extracted with 85% EtOH under reflux three times. The combined extracts were filtered and the solvent was removed under vacum to obtain a crude extract. | Villosin B (90) Villosin C (85) Cyrtophyllone B (21) Uncinatone (9) Teuvincenone B (89) Sugiol (18) Teuvincenone F (10) Teuvincenone A (48) Teuvincenone H (88) | [95] |
| C. trichotomum | Roots | Cut and air-dried roots were extracted under reflux with 95% EtOH Extract was filtered and organic solvents evaporated to receive the crude residue | 15,16-dehydroteuvincenone G (91) 3-dihydroteuvincenone G (92) 17-hydroxymandarone B (93) Trichotomin A (94) 15,16-dihydroformidiol (95) 18-hydroxyteuvincenone E (96) 2α-hydrocaryopincaolide F (97) 15α-hydroxyuncinatone (98) 15α-hydroxyteuvincenone E (99) Trichotomin B (100) Trichotomside A (101) Trichotomside B (102) | [96] |
3. The Latest Data
4. Concluding Remarks
Author Contributions
Funding
Institutional Review Board Statement
Informed Consent Statement
Data Availability Statement
Acknowledgments
Conflicts of Interest
References
- Rueda, R.M. The Genus Clerodendrum (Verbenaceae) in Mesoamerica. Ann. Mo. Bot. Gard. 1993, 80, 870–890. [Google Scholar] [CrossRef]
- Leeratiwong, C.; Chantaranothai, P.; Paton, A.J. A synopsis of the genus Clerodendrum L. (Lamiaceae) in Thailand. Trop. Nat. Hist. 2011, 11, 177–211. [Google Scholar]
- Shou-liang, C.; Gilbert, M.G. Verbenaceae. In Flora of China; Missouri Botanical Garden: St. Louis, MI, USA; Science Press: Beijing, China, 1994; pp. 1–49. [Google Scholar]
- Munir, A.M. A Taxonomic Revision of the Genus Clerodendrum L. (Verbenaceae) in Australia. J. Adelaide Bot. Gard. 1989, 11, 101–173. [Google Scholar]
- Harley, R.M.; Atkins, S.; Budantsev, A.L.; Cantino, P.D.; Conn, B.J.; Grayer, R.; Harley, M.M.; Kok, R.; Krestovskaja, T.; Morales, R.; et al. The Family and Genera of Vascular Plants; Springer: Berlin/Heidelberg, Germany, 2004; pp. 167–275. [Google Scholar]
- Mabberley, D.J. A Portable Dictionary of Plants, Their Classification and Uses, 3rd ed.; Cambridge University Press: Cambridge, UK, 2008. [Google Scholar]
- Muthu, C.; Baskar, K.; Ignacimuthu, S.; Ai-Khaliel, A.S. Ovicidal and oviposition deterrent activities of the flavonoid pectolinaringenin from Clerodendrum phlomidis against Earias vittella. Phytoparasitica 2013, 41, 365–372. [Google Scholar] [CrossRef]
- Shrivastava, N.; Patel, T. Clerodendrum and healthcare: An overview. Med. Aromat. Plant Sci. Biot. 2007, 1, 209–223. [Google Scholar]
- Chethana, G.S.; Hari, V.K.R.; Gopinath, S.M. Review on Clerodendrum inerme. J. Pharm. Sci. Innov. 2013, 2, 38–40. [Google Scholar]
- Baker, J.T.; Borris, R.P.; Carté, B.; Geoffrey, A.; Soejarto, C.D.D.; Cragg, G.M.; Gupta, M.P.; Iwu, M.M.; Madulid, D.R.; Tyler, V.E. Natural product drug discovery and development; new perspective on international collaboration. J. Nat. Prod. 1995, 58, 1325–1357. [Google Scholar] [CrossRef]
- Hazekamp, A.; Verpoorte, R.; Panthong, A.; Hazekamp, A.; Verpoorte, R.; Panthong, A. Isolation of a bronchodilator flavonoid from the Thai medicinal plant Clerodendrum petasites. J. Ethnopharmacol. 2001, 78, 45–49. [Google Scholar] [CrossRef]
- Nishida, R.; Kawai, K.; Amano, T.; Kuwahara, Y. Pharnacophagous feeding stimulate activity of neoclerodane diterpenoids for the turnip sawfly, Athalia rosae ruficornis. Biochem. Syst. Ecol. 2004, 32, 15–25. [Google Scholar] [CrossRef]
- Ganapaty, S.; Rao, D.V. Triterpenoids of the stem bark of Cleodendrum morifolium. Indian J. Pharm. Sci. 1985, 47, 167–168. [Google Scholar]
- Achari, B.; Chaudhuri, C.; Saha, C.R.; Dutta, P.K.; Pakrashi, S.C. A clerodane diterpene and other constituents of Clerodendrum inerme. Phytochemistry. 1990, 29, 3671–3673. [Google Scholar] [CrossRef]
- Sinha, N.K.; Seth, K.K.; Pandey, V.B.; Dasgupta, B.; Shah, A.H. Flavonoids from the flowers of Clerodendron infortunatum. Planta Med. 1981, 42, 296–298. [Google Scholar] [CrossRef] [PubMed]
- Chae, S.; Kang, K.A.; Ju, S.K.; Jin, W.H.; Kang, S.S. Trichotomoside: A new antioxidative phenylpropanoid glycoside from Clerodendron trichotomum. Chem. Biodivers. 2006, 3, 41–48. [Google Scholar] [CrossRef]
- Kim, K.H.; Kim, S.; Min, Y.J.; Ham, I.H.; Wan, K.W. Anti-inflammatory phenylpropanoid glycosides from Clerodendron trichotomum leaves. Arch. Pharm. Res. 2009, 32, 7–13. [Google Scholar] [CrossRef] [PubMed]
- Akihisa, T.; Ghosh, P.; Thakur, S.; Nagata, H.; Tamura, T.; Matsumoto, T. 24, 24-dimethyl-25-dehydrolophenol, a 4α-methylsterol from Clerodendrum inerme. Phytochemistry 1990, 29, 1639–1641. [Google Scholar] [CrossRef]
- Xu, R.L.; Wang, R.; Wei, H.; Shi, Y.P. New cyclohexylethanoids from the leaves of Clerodendrum trichotomum. Phytochem. Lett. 2014, 7, 111–113. [Google Scholar] [CrossRef]
- Jadeja, R.; Thounaojam, M.; Ansarullah; Ramchandran, A.V.; Devkar, R. Phytochemical constituents and free radical scavenging activity of Clerodendrum glandulosum Coleb methanolic extract. J. Complement. Integr. Med. 2009, 6, 1–23. [Google Scholar] [CrossRef]
- Adsersen, A.; Adsersen, H.; Brimer, L. Cyanogenic constituents in plants from the Galapagos Islands. Biochem. Syst. Ecol. 1988, 16, 65–77. [Google Scholar] [CrossRef]
- Kuźma, Ł. Plant Cell and Tissue Differentiation and Secondary Metabolites. In Reference Series in Phytochemistry; Springer: Cham, Swizherland, 2020; pp. 561–584. [Google Scholar]
- Hu, Z.; Liu, X.; Tian, M.; Ma, Y.; Jin, B.; Gao, W.; Cui, G.; Guo, J.; Huang, L. Recent progress and new perspectives for diterpenoid biosynthesis in medicinal plants. Med. Res. Rev. 2021, 41, 2971–2997. [Google Scholar] [CrossRef]
- Kingston, D.G.I. Taxol: The chemistry and structure-activity relationships of a novel anticancer agent. Trends Biotechnol. 1994, 12, 222–227. [Google Scholar] [CrossRef]
- Lindner, E.; Dohadwalla, A.N.; Bhattacharya, B.K. Positive inotropic and blood pressure lowering activity of a diterpene derivative isolated from Coleus forskohli: Forskolin. Arzneimittel-Forschung 1978, 28, 284–289. [Google Scholar] [PubMed]
- Monteiro, A.S.N.; Campos, D.R.; Albuquerque, A.A.S.; Evora, P.R.B.; Ferreira, L.G.; Celotto, A.C. Effect of diterpene manool on the arterial blood pressure and vascular reactivity in normotensive and hypertensive rats. Arq. Bras. Cardiol. 2020, 115, 669–677. [Google Scholar] [CrossRef] [PubMed]
- Laurenza, A.; Sutkowski, E.M.; Seamon, K.B. Forskolin: A specific stimulator of adenylyl cyclase or a diterpene with multiple sites of action? Trends Pharmacol. Sci. 1989, 10, 442–447. [Google Scholar] [CrossRef]
- Kuźma, Ł.; Różalski, M.; Walencka, E.; Różalska, B.; Wysokińska, H. Antimicrobial activity of diterpenoids from hairy roots of Salvia sclarea L.: Salvipisone as a potential anti-biofilm agent active against antibiotic resistant staphylococci. Phytomedicine 2007, 14, 31–35. [Google Scholar] [CrossRef] [PubMed]
- Kuźma, Ł.; Wysokińska, H.; Różalski, M.; Krajewska, U.; Kisiel, W. An unusual taxodione derivative from hairy roots of Salvia austriaca. Fitoterapia 2012, 83, 770–773. [Google Scholar] [CrossRef] [PubMed]
- Kuźma, Ł.; Wysokińska, H.; Sikora, J.; Olszewska, P.; Mikiciuk-Olasik, E.; Szymański, P. Taxodione and Extracts from Salvia austriaca roots as human cholinesterase inhibitors. Phytother. Res. 2016, 30, 234–242. [Google Scholar] [CrossRef]
- Fronza, M.; Lamy, E.; Günther, S.; Heinzmann, B.; Laufer, S.; Merfort, I. Abietane diterpenes induce cytotoxic effects in human pancreatic cancer cell line MIA PaCa-2 through different modes of action. Phytochemistry 2012, 78, 107–119. [Google Scholar] [CrossRef]
- Spiridonov, N.A.; Arkhipov, V.V.; Foigel, A.G.; Shipulina, L.D.; Fomkina, M.G. Protonophoric and uncoupling activity of royleanones from Salvia officinalis and euvimals from Eucalyptus viminalis. Phytother. Res. 2003, 17, 1228–1230. [Google Scholar] [CrossRef]
- Reveglia, P.; Cimmino, A.; Masi, M.; Nocera, P.; Berova, N.; Ellestad, G.; Evidente, A. Pimarane diterpenes: Natural source, stereochemical configuration, and biological activity. Chirality 2018, 30, 1115–1134. [Google Scholar] [CrossRef]
- Sun, L.; Wang, Z.; Ding, G.; Bi, Y.; Meng, Z.; Xiao, W. Isolation and structure characterization of two new diterpenoids from Clerodendrum bungei. Phytochem. Lett. 2014, 7, 221–224. [Google Scholar] [CrossRef]
- Fan, T.; Min, Z.; Iinuma, M. Two novel diterpenoids from Clerodendrum bungei. Chem. Pharm. Bull. 1999, 12, 1797–1798. [Google Scholar] [CrossRef]
- Liu, S.; Zhu, H.; Zhang, S.; Zhang, X.; Yu, Q.; Xuan, L. Abietane Diterpenoids from Clerodendrum bungei. J. Nat. Prod. 2008, 71, 755–759. [Google Scholar] [CrossRef] [PubMed]
- Kim, S.-K.; Cho, S.-B.; Moon, H.-I. Anti-complement activity of isolated compounds from the roots of Clerodendrum bungei Steud. Phytother. Res. 2010, 24, 1720–1723. [Google Scholar] [CrossRef] [PubMed]
- Liu, Q.; Hu, H.-J.; Li, P.-F.; Yang, Y.-B.; Wub, L.-H.; Chou, G.-X.; Wanga, Z.-T. Diterpenoids and phenylethanoid glycosides from the roots of Clerodendrum bungei and their inhibitory effects against angiotensin converting enzyme and α-glucosidase. Phytochemistry 2014, 103, 196–202. [Google Scholar] [CrossRef] [PubMed]
- Wu, D.X.; Yu, J.H.; Song, X.Q.; Ma, Y.Z.; Shan, P.; Zhang, H. Diterpenoids from the Roots of Clerodendrum bungei. Rec. Nat. Prod. 2022, 16, 27–33. [Google Scholar]
- Slamenová, D.; Masterová, I.; Lábaj, J.; Horváthová, E.; Kubala, P.; Jakubíková, J.; Wsólová, L. Cytotoxic and DNA-damaging effects of diterpenoid quinones from the roots of Salvia officinalis L. on colonic and hepatic human cells cultured in vitro. Basic Clin. Pharmacol. Toxicol. 2004, 94, 282–290. [Google Scholar] [CrossRef]
- Han, H.-J.; Tan, N.-H.; Zeng, G.-Z.; Fan, J.-T.; Huang, H.-Q.; Ji, C.-J.; Jia, R.-R.; Zhao, Q.-S.; Zhang, Y.-J.; Hao, X.-J.; et al. Natural inhibitors of DNA topoisomerase I with cytotoxicities. Chem. Biodivers. 2008, 5, 1364–1368. [Google Scholar] [CrossRef]
- Tian, X.-D.; Min, Z.-D.; Xie, N.; Lei, Y.; Tian, Z.-Y.; Zheng, Q.-T.; Xu, R.-N.; Tanaka, T.; Iinuma, M.; Mizuno, M. Abietane diterpenes from Clerodendron cyrtophyllum. Chem. Pharm. Bull. 1993, 42, 1415–1417. [Google Scholar] [CrossRef]
- Costa-Lotufo, L.V.; Silveira, E.R.; Barros, M.C.; Lima, M.A.; De Moraes, M.E.; De Moraes, M.O.; Pessoa, C. Antiproliferative effects of abietane diterpenes from Aegiphila lhotzkyana. Planta Med. 2004, 70, 180–182. [Google Scholar]
- Murata, T.; Ishikawa, Y.; Saruu, E.; Selenge, E.; Sasaki, K.; Umehara, K.; Yoshizaki, F.; Batkhuu, J. Abietane-type diterpenoids from the roots of Caryopteris mongolica and their cholinesterase inhibitory activities. Phytochemistry 2016, 130, 152–158. [Google Scholar] [CrossRef]
- Beentje, H.J. Kenya Trees, Shrubs and Lianas; National Museums of Kenya: Nairobi, Kenya, 1994; p. 613. [Google Scholar]
- Muthaura, C.N.; Rukunga, G.M.; Chhabra, S.C.; Omar, S.A.; Guantai, A.N.; Gathirwa, J.W.; Tolo, F.M.; Mwitari, P.G.; Keter, L.K.; Kirira, P.G.; et al. Antimalarial activity of aome plants traditionally used in Meru district of Kenya. Phytother. Res. 2007, 21, 860–867. [Google Scholar] [CrossRef] [PubMed]
- Machumi, F.; Samoylenko, V.; Yenesewa, A.; Deresea, S.; Midiwoa, J.O.; Wiggers, F.T.; Jacob, M.R.; Tekwani, B.L.; Khan, S.I.; Walker, L.A.; et al. Antimicrobial and antiparasitic abietane diterpenoids from the roots of Clerodendrum eriophyllum. Nat. Prod. Commun. 2010, 5, 853–858. [Google Scholar] [CrossRef] [PubMed]
- Edwards, O.E.; Feniak, G.; Los, M. Diterpenoid quinones of Inula royleana D. C. Can. J. Chem. 1962, 40, 1540–1546. [Google Scholar] [CrossRef]
- Kuźma, Ł.; Kisiel, W.; Królicka, A.; Wysokińska, H. Genetic transformation of Salvia austriaca by Agrobacterium rhizogenes and diterpenoid isolation. Pharmazie 2011, 66, 904–907. [Google Scholar]
- Moujir, L.; Gutiérrez-Navarro, A.M.; Andrés, L.S.; Luis, J.G. Bioactive diterpenoids isolated from Salvia mellifera. Phytother. Res. 1996, 10, 172–174. [Google Scholar] [CrossRef]
- Yang, Z.; Kitano, Y.; Chiba, K.; Shibata, N.; Kurokawa, H.; Doi, Y.; Arakawa, Y.; Tada, M. Synthesis of variously oxidized abietane diterpenes and their antibacterial activities against MRSA and VRE. Bioorg. Med. Chem. 2001, 9, 347–356. [Google Scholar] [CrossRef]
- Kupchan, S.M.; Karim, A.; Marcks, C. Tumor inhibitors. XXXIV. Taxodione and taxodone, two novel diterpenoid quinone methide tumor inhibitors from Taxodium distichum. J. Am. Chem. Soc. 1968, 90, 5923–5924. [Google Scholar] [CrossRef]
- Zhang, J.; Rahman, A.A.; Jain, S.; Jacob, M.R.; Khan, S.I.; Tekwani, B.L.; Ilias, M. Antimicrobial and antiparasitic abietane diterpenoids from Cupressus sempervirens. Res. Rep. Med. Chem. 2012, 2, 1–6. [Google Scholar]
- Đapić, N.M.; Ristić, M.S. Chemical profile of Taxodium distichum winter cones. Acta Period. Technol. 2017, 48, 77–83. [Google Scholar] [CrossRef]
- Bajpai, V.K.; Sonwal, S.; Hwang, S.-K.; Shukla, S.; Khan, I.; Dey, D.K.; Chen, L.; Simal-Gandara, J.; Xiao, J.; Huh, Y.S.; et al. Sugiol, a diterpenoid: Therapeutic actions and molecular pathways involved. Pharmacol. Res. 2021, 163, 105313. [Google Scholar] [CrossRef]
- Bajpai, V.K.; Sharma, A.; Kang, S.C.; Baek, K.-H. Antioxidant, lipid peroxidation inhibition and free radical scavenging efficacy of a diterpenoid compound sugiol isolated from Metasequoia glyptostroboides. Asian Pac. J. Trop. Med. 2014, 7, 9–15. [Google Scholar] [CrossRef]
- Juvik, O.J.; Nguyen, X.H.T.; Andersen, H.L.; Fossen, T. Growing with dinosaurs: Natural products from the Cretaceous relict Metasequoia glyptostroboides Hu & Cheng—a molecular reservoir from the ancient world with potential in modern medicine. Phytochem. Rev. 2016, 15, 161–195. [Google Scholar] [PubMed]
- Bajpai, V.K.; Kim, N.-H.; Kim, K.; Kang, S.C. Antiviral potential of a diterpenoid compound sugiol from Metasequoia glyptostroboides. Pak. J. Pharm. Sci. 2016, 29, 1077–1080. [Google Scholar] [PubMed]
- González, M.A.; Clark, J.; Connelly, M.; Rivas, F. Antimalarial activity of abietane ferruginol analogues possessing a phthalimide group. Bioorg. Med. Chem. Lett. 2014, 24, 5234–5237. [Google Scholar] [CrossRef]
- Becerra, J.; Flores, C.; Mena, J.; Aqueveque, P.; Alarcón, J.; Bittner, M.; Hernández, V.; Hoeneisen, M.; Ruiz, E.; Silva, M. Antifungal and antibacterial activity of diterpenes isolated from wood extractables of chilean Podocarpaceae. J. Chil. Chem. Soc. 2002, 47, 151–157. [Google Scholar] [CrossRef]
- Smith, E.C.J.; Williamson, E.M.; Wareham, N.; Kaatz, G.W.; Gibbons, S. Antibacterials and modulators of bacterial resistance from the immature cones of Chamaecyparis lawsoniana. Phytochemistry 2007, 68, 210–217. [Google Scholar] [CrossRef]
- Różalski, M.; Kuźma, Ł.; Krajewska, U.; Wysokińska, H. Cytotoxic and proapoptotic activity of diterpenoids from in vitro cultivated Salvia sclarea roots. Studies on the leukemia cell lines. Z. Naturforsch. 2006, 61, 483–488. [Google Scholar] [CrossRef] [PubMed]
- Tayarani-Najaran, Z.; Mousavi, S.H.; Tajfard, F.; Asili, J.; Soltani, S.; Hatamipour, M.; Emamid, S.A. Cytotoxic and apoptogenic properties of three isolated diterpenoids from Salvia chorassanica through bioassay-guided fractionation. Food Chem. Toxicol. 2013, 57, 346–351. [Google Scholar] [CrossRef]
- Han, L.; Huang, X.; Dahse, H.-M.; Moellmann, U.; Grabley, S.; Lin, W.; Sattler, I. New abietane diterpenoids from the mangrove Avicennia marina. Planta Med. 2008, 74, 432–437. [Google Scholar] [CrossRef] [PubMed]
- Ali, A.S.; Ahmed, Z.; Ngoupayo, J.; Ali, M.I. Terpenoids from Clerodendrum formicarum Gürke (Lamiaceae) of Cameroon. Z. Naturforsch. 2010, 65, 521–524. [Google Scholar] [CrossRef]
- Raha, P.; Das, A.K.; Adityachaudhuri, N.; Majumder, P.L. Cleroinermin, a neo-clerodane diterpenoid from Clerodendron inermi. Phytochemistry 1991, 30, 3812–3814. [Google Scholar] [CrossRef]
- Fan, X.; Lin, S.; Zhu, C.; Hu, J.; Liu, Y.; Chen, X.; Chen, N.; Wang, W.; Shi, J. Terpenoids of Heteroplexis micocephala and their bioactivities. Zhongguo Zhong Yao Za Zhi. 2010, 35, 315–322. [Google Scholar] [PubMed]
- Kumari, G.N.K.; Balachandran, J.; Aravind, S.; Ganesh, M.R. Antifeedant and growth inhibitory effects of some neo-clerodane diterpenoids isolated from Clerodendron Species (Verbenaceae) on Earias vitella and Spodoptera litura. J. Agric. Food Chem. 2003, 51, 1555–1559. [Google Scholar] [CrossRef] [PubMed]
- Pandey, R.; Verma, R.K.; Gupta, M.M. Neo-clerodane diterpenoids from Clerodendrum inerme. Phytochemistry 2005, 66, 643–648. [Google Scholar] [CrossRef]
- Vinh, L.B.; Minh, N.T.N.; Yang, S.Y.; Kim, J.H.; Vien, L.T.; Huong, P.T.T.; Thanh, N.V.; Cuong, N.X.; Nam, N.H.; Minh, C.V.; et al. A new rearranged abietane diterpene from Clerodendrum inerme with antioxidant and cytotoxic activities. Nat. Prod. Res. 2018, 32, 2001–2007. [Google Scholar] [CrossRef]
- Pandey, R.; Verma, R.K.; Singh, S.C.; Gupta, M.M. 4α-Methyl-24β-ethyl-5α-cholesta-14,25-dien-3 β -ol and 24 β -ethylcholesta-5, 9(11), 22E-trien-3 β -ol, sterols. Phytochemistry 2003, 63, 415–420. [Google Scholar] [CrossRef]
- Bahadori, M.B.; Eskandani, M.; De Mieri, M.; Hamburger, M.; Nazemiyeh, H. Anti-proliferative activity-guided isolation of clerodermic acid from Salvia nemorosa L.: Geno/cytotoxicity and hypoxia-mediated mechanism of action. Food Chem. Toxicol. 2018, 120, 155–163. [Google Scholar] [CrossRef]
- Heymann, H.; Tezuka, Y.; Kikuchi, T.; Supriyatna, S. Constituents of Sindora sumatrana MIQ. III.New trans-clerodane diterpenoids from the dried pods. Chem. Pharm. Bull. 1994, 42, 1202–1207. [Google Scholar] [CrossRef]
- Crentsil, J.A.; Yamthe, L.R.T.; Anibea, B.Z.; Broni, E.; Kwofie, S.K.; Tetteh, J.K.A.; Osei-Safo, D. Leishmanicidal Potential of Hardwickiic Acid Isolated From Croton sylvaticus. Front. Pharmacol. 2020, 11, 753. [Google Scholar] [CrossRef]
- Abbaszadeh, G.; Srivastava, C.; Walia, S. Insect growth inhibitory activity of clerodane diterpenoids isolated from Clerodendron infortunatum L. on the cotton bollworm, Helicoverpa armigera (Hubner). Natl. Acad. Sci. Lett. 2012, 35, 457–464. [Google Scholar] [CrossRef]
- Uddin, J.; Russo, D.; Haque, A.; Çiçek, S.Z.; Sönnichsen, F.D.; Milella, L.; Zidorn, C. Bioactive Abietane-Type Diterpenoid Glycosides from Leaves of Clerodendrum infortunatum (Lamiaceae). Molecules 2021, 26, 4121. [Google Scholar] [CrossRef] [PubMed]
- Abbaszadeh, G.; Srivastava, C.; Walia, S. Insecticidal and antifeedant activities of clerodane diterpenoids isolated from the Indian bhant tree, Clerodendron infortunatum, against the cotton bollworm, Helicoverpa armigera. J. Insect Sci. 2014, 14, 29. [Google Scholar] [CrossRef] [PubMed]
- Bremner, P.D.; Simmonds, M.S.J.; Blaney, W.M.; Veitch, N.C. Neo-clerodane diterpenoid insect antifeedants from Ajuga reptans cv Catlins Giant. Phytochemistry 1998, 47, 1227–1232. [Google Scholar] [CrossRef]
- Rongtao, L.; Morris-Natschkeb, S.L.; Kuo-Hsiung, L. Clerodane diterpenes: Sources, structures, and biological activities. Nat. Prod. Rep. 2016, 33, 1166–1226. [Google Scholar]
- Xu, M.; Shen, L.; Wang, K.; Du, Q. Two New Abietane diterpenoids from the stems of Clerodendrum kaichianum P. S. Hsu. Helv. Chim. Acta 2011, 94, 539–544. [Google Scholar] [CrossRef]
- Xu, M.; Shen, L.; Wang, K.; Du, Q.; Wang, N. Bioactive diterpenes from Clerodendrum kaichianum. Nat. Prod. Commun. 2011, 6, 3–5. [Google Scholar] [CrossRef]
- Xu, M.; Wang, S.; Jia, O.; Zhu, Q.; Shi, L. Bioactive diterpenoids from Clerodendrum kiangsiense. Molecules 2016, 21, 86. [Google Scholar] [CrossRef]
- Fan, T.; Min, Z.; Songc, G.; Iinumac, M.; Tanaka, T. Abietane diterpenoids from Clerodendrum mandarinorum. Phytochemistry 1999, 51, 1005–1008. [Google Scholar] [CrossRef]
- Inaba, Y.; Hasuda, T.; Hitotsuyanagi, Y.; Aoyagi, Y.; Fujikawa, N.; Onozaki, A.; Watanabe, A.; Kinoshita, T.; Takeya, K. Abietane diterpenoids and a sesquiterpene pyridine alkaloid from Euonymus lutchuensis. J. Nat. Prod. 2013, 76, 1085–1090. [Google Scholar] [CrossRef]
- Fan, T.-P.; Min, Z.-D.; Iinuma, M.; Tanaka, T. Rearranged abietane diterpenoids from Clerodendrum mandarinorum. J. Asian Nat. Prod. Res. 2000, 2, 237–243. [Google Scholar] [CrossRef]
- Khan, I.; Nisar, M.; Shah, M.R.; Shah, H.; Gilani, S.N.; Gul, F.; Abdullah, S.M.; Ismail, M.; Khan, N.; Kaleem, W.A.; et al. Anti-inflammatory activities of taxusabietane A isolated from Taxus wallichiana Zucc. Fitoterapia 2011, 82, 1003–1007. [Google Scholar] [CrossRef] [PubMed]
- Zaher, A.M.; Lin, J.; Arai, M. Cytotoxic activity of abietane-type diterpenes isolated from Taxodium distichum against cancer cells adapted to nutrient-starved conditions. Nat. Prod. Commun. 2020, 15, 1934578X20915298. [Google Scholar] [CrossRef]
- Costa-Lotufo, L.V.; Araújo, E.C.C.; Lima, M.A.S.; Moraes, M.E.A.; Pessoa, C.; Silviera, E.R.; Moraes, M.O. Antiproliferative effects of abietane diterpenoids isolated from Hyptis martiusii Benth (Labiatae). Pharmazie 2004, 59, 78–79. [Google Scholar]
- Zadali, R.; Ebrahimi, S.N.; Tofighi, Z.; Es-Haghi, A.; Hamburger, M.; Kaiser, M.; D’Ambola, M.; De Tommasi, N.; Hadjiakhoondi, A. Antiprotozoal activity of diterpenoids isolated from Zhumeria majdae- absolute configuration by circular dichroism. DARU J. Pharm. Sci. 2020, 28, 455–462. [Google Scholar] [CrossRef] [PubMed]
- Musayeib, N.M.A.; Amina, M.; Al-Hamoud, G.A.; Mohamed, G.A.; Ibrahim, S.R.M.; Shabana, S. Plectrabarbene, a new abietane diterpene from Plectranthus barbatus aerial parts. Molecules 2020, 25, 2365. [Google Scholar] [CrossRef] [PubMed]
- Faiella, L.; Temraz, A.; Cotugno, R.; De Tommasi, N.; Braca, A. Diterpenes and phenylpropanoids from Clerodendrum splendens. Planta Med. 2013, 79, 1341–1347. [Google Scholar] [CrossRef]
- Wang, W.-X.; Zhu, J.-J.; Zou, Y.; Hong, Z.-L.; Liu, S.-T.; Li, M.; Huang, Y.; Xiong, J.; Zhao, Y.; Yang, G.-X.; et al. Trichotomone, a new cytotoxic dimeric abietane-derived diterpene from Clerodendrum trichotomum. Tetrahedron. Lett. 2013, 54, 2549–2552. [Google Scholar] [CrossRef]
- Wang, W.-X.; Xiong, J.; Tang, Y.; Zhu, J.-J.; Li, M.; Zhao, Y.; Yang, G.-X.; Xia, G.; Hu, J.-F. Rearranged abietane diterpenoids from the roots of Clerodendrum trichotomum and their cytotoxicities against human tumor cells. Phytochemistry 2013, 89, 89–95. [Google Scholar] [CrossRef]
- Li, L.-Z.; Wang, M.-H.; Sun, J.-B.; Liang, J.-Y. Abietane diterpenoids and other constituents from Clerodendrum trichotomum. Biochem. Syst. Ecol. 2014, 56, 218–220. [Google Scholar] [CrossRef]
- Li, L.; Wu, L.; Wang, M.; Sun, J.; Liang, J. Abietane diterpenoids from Clerodendrum trichotomum and correction of NMR data of villosin C and B. Nat. Prod. Commun. 2014, 9, 907–910. [Google Scholar] [CrossRef]
- Hu, H.-J.; Zhou, Y.; Han, Z.-Z.; Shi, Y.-H.; Zhang, S.-S.; Wang, Z.-T.; Wang, Z.T.; Yang, L. Abietane diterpenoids from the roots of Clerodendrum trichotomum and their nitric oxide inhibitory activities. J. Nat. Prod. 2018, 81, 1508–1516. [Google Scholar] [CrossRef] [PubMed]
- Li, P.; Li, L.; Zhu, Q.; Xu, M. Abietane Diterpenoids Isolated from Clerodendrum bracteatum and Their Antioxidant and Cytotoxic Activities. Molecules 2021, 26, 4870. [Google Scholar] [CrossRef] [PubMed]
- Qi, J.; Zhang, Y.; Liu, Q.; Liu, H.C.; Fan, Y.; Yue, J. Clerodenoids A–F: C-ring aromatized and/or rearranged abietane diterpenoids from Clerodendrum chinense var. simplex. Chin. J. Chem. 2021, 39, 1891–1897. [Google Scholar] [CrossRef]
- Lozama, A.; Prisinzano, T.E. Chemical methods for the synthesis and modification of neoclerodane diterpenes. Bioorg. Med. Chem. Lett. 2009, 19, 5490–5495. [Google Scholar] [CrossRef] [PubMed][Green Version]
- Quaglio, D.; Mangoni, M.L.; Stefanelli, R.; Corradi, S.; Casciaro, B.; Vergine, V.; Lucantoni, F.; Cavinato, L.; Cammarone, S.; Loffredo, M.R.; et al. ent-Beyerane Diterpenes as a Key Platform for the Development of ArnT-Mediated Colistin Resistance Inhibitors. J. Org. Chem. 2020, 85, 10891–10901. [Google Scholar] [CrossRef]
- Rico-Martínez, M.; Medina, F.G.; Marrero, J.G.; Osegueda-Robles, S. Biotransformation of diterpenes. RSC Adv. 2014, 4, 10627–10647. [Google Scholar] [CrossRef]
- de Sousa, I.P.; Teixeira, M.V.S.; Furtado, N.A.J.C. An overview of biotransformation and toxicity of diterpenes. Molecules 2018, 23, 1387. [Google Scholar] [CrossRef]





















| Species | Material | Solvent and Extraction Method | Isolated Diterpenoids | References |
|---|---|---|---|---|
| C. bungei | Roots | 70% aqueous acetone. Dried roots extracted in room temperature. Solvent removed in vacuo. | 12-O-D-glucopyranosyl-3,11,16-trihydroxyabieta-8,11,13-triene (3) 3,12-O-D-diglucopyranosyl-11,16-dihydroxyabieta-8,11,13-triene (4) 19-O-D-carboxyglucopyranosyl-12-O-D-glucopyranosyl-11,16-dihydroxyabieta-8,11,13-triene (5) 11,16-dihydroxy-12-O-D-glucopyranosyl-17(15f16),18(4f3)-abeo-4-carboxy-3,8,11,13-abietatetraen-7-one (6) 19-hydroxyteuvincenone F (7) ajugaside A (8) uncinatone (9) | [36] |
| C. bungei | Stem | EtOH. Dried and pulverised stems were extracted three times with hot solvent. The solvent was removed in vacuo. | bungone A (1) bungone B (2) sugiol (18) uncinatone (9) teuvincenone F (10) | [35] |
| C. bungei | Roots | 95% EtOH. Air-dried powdered root parts were extracted three times at room temperature. The solvent was removed in vacuo. The crude EtOH extract was suspended in hot water and then partitioned with EtOAc four times. | 3β-(β-D-glucopyranosyl)isopimara-7,15-diene-11α,12a-diol (11) 16-O-β-D-glucopyranosyl-3β-20-epoxy-3-hydroxyabieta-8,11,13-triene (12) | [34] |
| C. bungei | Roots | 70% aqueous acetone. Air-dried roots were extracted at room temperature. The extract was filtered through a Buchner funnel using Whatman No. 1 filter paper. The solvent was removed in vacuo. | 12-O-β-D-glucopyranosyl-3,11,16-trihydroxyabieta-8,11,13-triene (3) 3,12-O-β-D-diglucopyranosyl-11,16-dihydroxyabieta-8,11,13-triene (4) ajugaside A (8) uncinatone (9) 19-hydroxyteuvincenone F (7) | [37] |
| C. bungei | Roots | EtOH. Dried roots were extracted three times under conditions of reflux (every 2 h). Organic extracts were combined. The solvent was removed under reduced pressure. EtOH. Dried roots were extracted three times at room temperature for three times. The residue was re-suspended in L water and partitioned successively with EtOAc and n-BuOH. | bungnate A (13) bungnate B (14) 15-dehydrocyrtophyllone A (15) 15-dehydro-17-hydroxycyrtophyllone A (16) 12,16-epoxy-11,14,17-trihydroxy-6-methoxy-17(15→16)-abeo-abieta-5,8,11,13-tetraene-7-one (16) cyrtophyllone A (17) villosin C (85) teuvincenone F (10) 19-hydroxyteuvincenone F (7) mandarone E (70) 12-O-β-D-glucopyranosyl-3,11,16-trihydroxyabieta-8,11,13-triene (3) uncinatone (9) crolerodendrum B (42) crolerodendrum A (43) | [38] [39] |
| Species | Material | Solvent and Extraction Method | Isolated Diterpenoids | References |
|---|---|---|---|---|
| C. cyrtophyllum | Stem | EtOH. The whole plant was dried and pulverised. It was extracted three times with hot solvent. The solvent was recovered in vacuo. | Cyrtophyllone A (17) Cyrtophyllone B (21) Teuvincenone F (10) Uncinatone (9) | [42] |
| Sugiol (18) |
| Species | Material | Solvent and Extraction Method | Isolated Diterpenoids | References |
|---|---|---|---|---|
| C. eriophyllum | Roots | 1:1 MeOH/CH2Cl2; MeOH. Roots were dried and pulverised. They were extracted by cold percolation at room temperature using three portions of 1:1 MeOH/CH2Cl2 and then extracted with 100% MeOH once. | 12-hydroxy-8,12-abietadiene-3,11,14-trione (22) Royleanone (23) Taxodione (24) 6-deoxy-taxodione (25) Sugiol (18) Ferruginol (26) 6-hydroxysalvinolone (27) 6,11,12,16-tetrahydroxy-5,8,11,13-abietatetra-en-7-one (28) Uncinatone (9) 11-hydroxy-8,11,13-abietatriene-12-O-β-xylopyranoside (29) | [47] |
| Species | Material | Solvent and Extraction Method | Isolated Diterpenoids | References |
|---|---|---|---|---|
| C. formicarum | Leaves | EtOH. Leaves were dried under shade for a week. Powdered material was soaked in ethanol for six days. The resulting extract was concentrated by evaporation under vacuum distillation. | formidiol (30) 12,16-epoxy-11,14-dihydroxy-6-methoxy-17(15→16)-abeo-abieta-5,8,11,13,15-pentanene-3,7-dione (31) | [65] |
| Species | Material | Solvent and Extraction Method | Isolated Diterpenoids | References |
|---|---|---|---|---|
| C. inerme | Leaves | Hexane–EtOAc. Dried and finely powdered aerial parts of the plant were extracted with hexane—EtOAc (40:60)—fraction 1; and hexane—EtOAc (25:75)—fraction 2. | Inermes A (39) Inermes B (40) 14,15-dihydro-15β-methoxy-3-epicaryoptin (41) | [69] |
| Aerial parts | MeOH. Dried and powdered aerial parts were extracted in a Soxhlet apparatus for 15 h. The extract was concentrated under red. pres., dil. with H2O and the liberated solid was exhaustively extracted with Et2O. | Cleroinermin (32) | [66] | |
| Leaves | MeOH. Air-dried and powdered roots were extracted three times by sonication for 30 min., concentrated under reduced pressure. They were suspended in water and successively partitioned with dichloromethane three times. | Crolerodendrum B (42) Crolerodendrum A (43) Uncinatone (9) Harwickiic acid (44) 14,15-dihydro-15β-methoxy-3-epicaryoptin (41) | [70] | |
| Aerial parts | The shade-dried, crushed aerial parts were percolated with n-hexane (three times) for 24 h. The resulting extract was then concentrated under vacuum to obtain a residue | clerodendrin B (33) 3-epicaryoptin (34) Clerodendrin C (35) 2-acetoxyclerodendrin B (36) 15-hydroxyepicaryoptin (37) | [68] |
| Species | Material | Solvent and Extraction Method | Isolated Diterpenoids | References |
|---|---|---|---|---|
| C. infortunatum | Aerial parts Leaves | The shade was dried, the crushed aerial parts were exhaustively extracted with n-hexane (3×). The extract was then | Clerodin (45) (5R,10S,16R)-11,16,19-trihydroxy- 12-O-β-D-glucopyranosyl- (1→2)-β-D-glucopyranosyl- 17(15→16),18(4→3)-diabeo- 3,8,11,13-abietatetraene-7-one (5R,10S,16R)-11,16-dihydroxy- 12-O-β-D-glucopyranosyl-(1→2)- β-D-glucopyranosyl-17(15→16),18(4→3)- diabeo-4-carboxy-3,8,11,13-abietatetraene-7-one | [68] [76] |
| concentrated in vacuo to ∼250 mL The leaves were extracted with acetone. The extract was concentrated in vacuo. The residue was solvated in a solution of water: methanol and partitioned with ethyl acetate and n-butanol, respectively. | ||||
| Leaves | n-hexane/MeOH. The leaves were dried in the shade at room temperature and then ground in an electric grinder. The leaf powder was soaked in n-hexane for 72 h, shaken occasionally. The extract was filtered, concentrated in a rotary vacuum evaporator, then partitioned into hexane and methanol. After filtration, the leaf powder residue was further extracted with methanol and concentrated. This extract was further partitioned with hexane, ethyl acetate, and butanol. | clerodin (45) 15-methoxy-14,5- dihydroclerodin (46) 15-hydroxy-14,15-dihyroclerodin (47) | [75] |
| Species | Material | Solvent and Extraction Method | Isolated Diterpenoids | References |
|---|---|---|---|---|
| C. kaichianum | Stem | EtOH. The air-dried and powdered stems was extracted with 75% aq. EtOH three times each at 75 °C for 4 h. The EtOH extracts were combined and evaporated. | 17-hydroxyteuvincenone G (51) 17-hydroxyteuvincen-5(6)-enone G (52) Teuvincenone A (48) 11,14-dihydroxyabieta-8,11,13-trien-7-one (49) Dehydroabietan-7-one (50) Sugiol (18) | [80] |
| (16R)-12,16-epoxy-11,14,17-trihydroxy-17(15→16)-abeo-8,11,13-abietatrien-7-one (58) Villosin A (53) Salvinolone (54) 14-deoxycoleon U (55) 5,6-dehydrosugiol (56) Coleon U (57) | [81] |
| Species | Material | Solvent and Extraction Method | Isolated Diterpenoids | References |
|---|---|---|---|---|
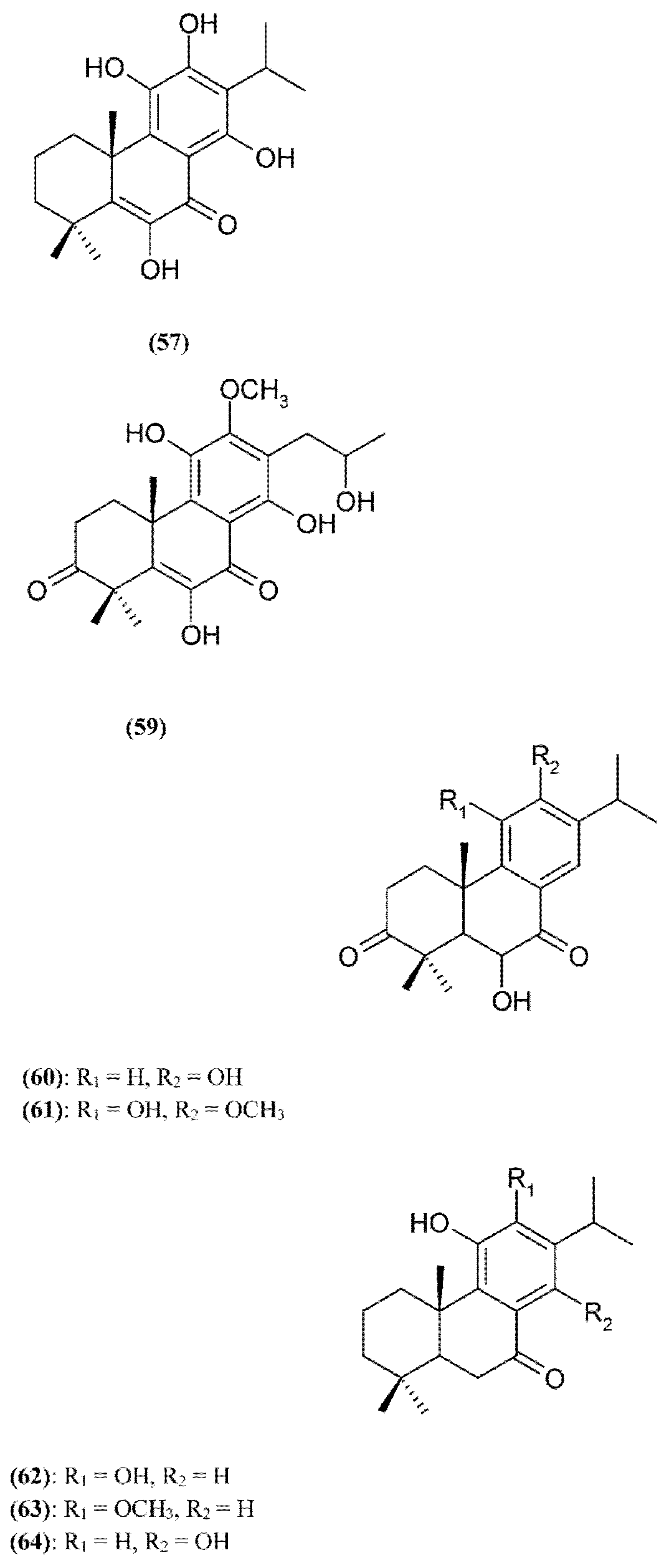
| C. kiangsiense | Stem | EtOH. The air-dried and powdered stems extracted by 90% ethanol three times at 65 °C. The solvents were combined and evaporated to dryness under vacuum. | 12-methoxy-6,11,14,16-tetrahydroxy-17(15→16)-abeo-5,8,11,13-abietatetraen-3,7-dione (59) Mandarone A (60) Taxusabietane A (61) 12-O-demethyl-cryptojaponol (62) Cryptojaponol (63) 11,14-dihydroxy-8,11,13-abietatrien-7-one (64) Fortunin E (65) Fortunin F (66) | [82] |
| Species | Material | Solvent and Extraction Method | Isolated Diterpenoids | References |
|---|---|---|---|---|
| C. mandarinorum | Stem | EtOH. The naturally dried and pulverised stems were extracted with hot EtOH three times. The solvent was removed in vacuo. | Mandarone D (69) Mandarone E (70) Mandarone F (71) Mandarone G (72) Mandarone H (73) | [85] |
| Mandarone A (60) Mandarone B (67) Mandarone C (68) | [83] |
| Species | Material | Solvent and Extraction Method | Isolated Diterpenoids | References |
|---|---|---|---|---|
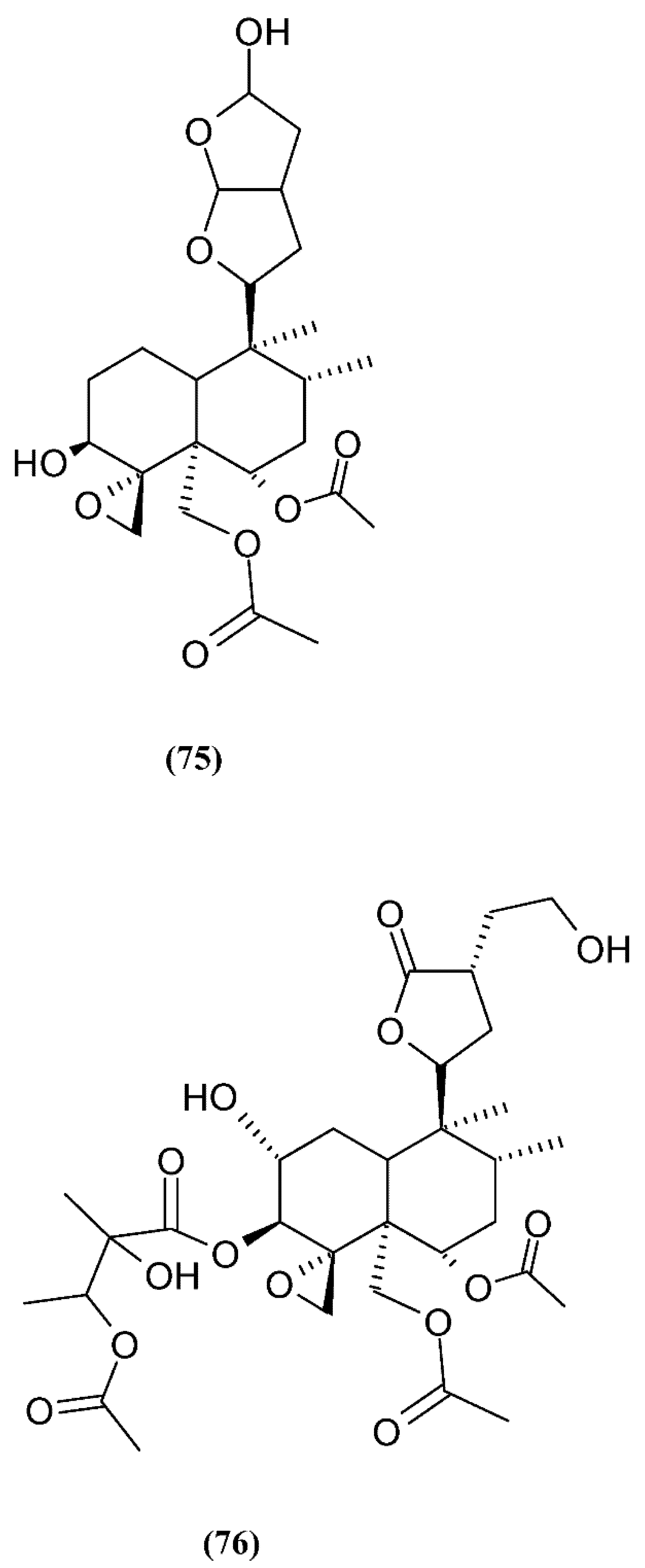
| C. splendens | Aerial parts | Dried powdered aerial parts of C. splendens were successively and separately extracted for 48 h with n-hexane, CHCl3, CHCl3–MeOH (9:1), and MeOH, by exhaustive maceration | 2α-acetoxy-3β-(2′,3′-diacetoxy-2′-methyl)-butanoyloxy-14-hydro-15-hydroxyclerodin (74) 3β,15-dihydroxy-14-hydro-clerodin (75) 2α,15-dihydroxy-3β-(2′-hydroxy-2′-methyl-3′-acetoxy)-butanoyloxy-6α,18-diacetoxy-4α,17-epoxy-clerodan-11,16-lactone (76) 3β,14S,15-trihydroxy-6α,18-diacetoxy-4α,17-epoxy-clerodan-11,16-lactone (77) | [91] |
| Species | Material | Solvent and Extraction Method | Isolated Diterpenoids | References |
|---|---|---|---|---|
| C. bracteatum | Stems | EtOH. Cut and air-dried stems were extracted under reflux with 90% Ethanol and evaporated to to afford a gummy residue. The crude extract was suspended in water and fractionated with EtOAc and n-BuOH. | (10S,16S)-12,16-epoxy-17(15→16)-abeo-3,5,8,12-abietatetraen-7,11,14-trione (103) 11,14,16-trihydroxy-6,12-dimethoxy-17(15→16)-abeo-5,8,11,13- abietatetraen- 3,7-dione (104) | [97] |
| Species | Material | Solvent and Extraction Method | Isolated Diterpenoids | References |
|---|---|---|---|---|
| C. chinense | Roots | EtOH. The dried roots were soaked with 95% EtOH (20 L × 3) and the residue was suspended in water followed by extraction with EtOAc to afford an EtOAc extract | Clerodenoid A Clerodenoid B Clerodenoid C Clerodenoid D Clerodenoid E Clerodenoid F | [98] |
| Compound Name | Occurence in Clerodendrum Species | Biological Activity | References of the Active Compounds |
|---|---|---|---|
| uncinatone | C. bungei (roots), C. eriophyllum (roots), C. inerme (aerial parts) C. trichotomum (roots) | Cytotoxic; inhibition the cell proliferation and induction cell-cycle G2/M phase arrest; anti-complement activity on the classical pathway complement system, antileishmanial, antioxidant; | [36,41,70] |
| 12-O-β-D-glucopyranosyl-3,11,16-trihydroxyabieta-8,11,13-triene; 3,12-O-β-D-diglucopyranosyl-11,16-dihydroxyabieta- 8,11,13-triene; 19-hydroxyteuvincenone F | C. bungei (roots) | anti-complement activity on the classical pathway complement system; | [37] |
| 16-O-β-D-D-glucopyranosyl-3β-20-epoxy-3-hydroxyabieta-8,11,13-triene | C. bungei (roots) | Cytotoxic | [34] |
| 15-Dehydrocyrtophyllone A | C. bungei (roots) | ACE (angiotensin-converting enzyme) inhibition; | [38] |
| cyrtophyllone B | C. cyrtophyllum (whole plant) | cytotoxic; acethyl- and butyrylcholineesterase inhibition; | [43] |
| royleanone; taxodione; 6-deoxy-taxodione; sugiol; ferruginol; 6-hydroxysalvinolone; 6,11,12,16-tetrahydroxy-5,8,11,13-abietatetra-en-7-one; | C.eriophyllum (roots) | Cytotoxic, weak antibacterial; cytotoxic, antibacterial, acethyl- and butyrylcholineesterase inhibition; antibacterial and antileishmanial antioxidant, antibacterial, antiviral, anticancer, anti-tumor and anti-inflammatory, antiviral, cytotoxic; antibacterial, antifungal, antimalarial, cytotoxic; apoptose induction, antifungal, cytotoxic; antibacterial, antifungal, cytostatic, cytotoxic; | [50,51] [30,50,51,52] [53] [55,56,57,58] [59,60,61,62] [47,63] [64] |
| 12,16-epoxy-11,14-dihydroxy-6-methoxy-17(15→16)-abeo-abieta-5,8,11,13,15-pentanene-3,7-dione | C. formicarum (leaves) | antiproliferative | [43] |
| cleroinermin; clerodendrin B; 3-epicaryoptin; clerodendrin C; 2-acetoxyclerodendrin B; 15-hydroxyepicaryoptin; clerodermic acid harwickiic acid crolerodendrum B | Clerodendrum inerme (aerial parts) Clerodendrum inerme and C. bungei (aerial parts) | Neuroprotective, insecticidal, antiproliferative and apoptose induction antileishmanial, cytotoxic, antioxidant, antioxidant, α-glucosidase inhibition | [67] [68] [72] [74] [70] [39] |
| clerodin; 15-methoxy-14,15-dihydroclerodin; 15-hydroxy-14,15-dihyroclerodin | C. infortunatum (leaves) | insecticidal | [68,75,77] |
| (5R,10S,16R)-11,16,19-trihydroxy- 12-O-β-D-glucopyranosyl-(1→2)-β-D-glucopyranosyl-17(15→16),18(4→3)-diabeo-3,8,11,13-abietatetraene-7-one (5R,10S,16R)-11,16-dihydroxy-12-O-β-D-glucopyranosyl-(1→2)-β-D-glucopyranosyl-17(15→16),18(4→3)-diabeo-4-carboxy-3,8,11,13-abietatetraene-7-one 17-hydroxyteuvincenone G; 17-hydroxyteuvincen-5(6)-enone G; villosin A; salvinolone; 14-deoxyloleon U; 5,6-dehydrosugiol; coleon U; (16R)-12,16-epoxy-11,14,17-trihydroxy-17(15→16)-abeo-8,11,13-abietatrien-7-one | C. infortunatum (leaves) C. kaichianum (steams) | Acethyl- and buthyrylcholinesterase (AChE and BChE) inhibition, α-amylase and α-glucosidase inhibition cytotoxic | [76] [80,81] |
| taxusabietane A; cryptojaponol; 11,14-dihydroxy-8,11,13-abietatrien-7-one | C. kiangsiense (aerial parts) | Anti-inflammatory Cytotoxic Cytotoxic, antiprotozoal | [86] [87] [88,89] |
| 2α-acetoxy-3β-(2′,3′-diacetoxy-2′-methyl)-butanoyloxy-14-hydro-15-hydroxyclerodin; 2α,15-dihydroxy-3β-(2′-hydroxy-2′-methyl-3′-acetoxy)-butanoyloxy-6α,18-diacetoxy-4α,17-epoxy-clerodan-11,16-lactone | C. splendens | Antiproliferative | [91] |
| trichotomone D, F and H; teuvincenone E and H, uncinatone; mandarone E villosin B and C 15,16-dehydroteuvincenone G; trichotomin A; 2α-hydrocaryopincaolide F; villosin C; 15-dehydro-17-hydroxycyrtophyllone A; demethylcryptojaponol; 6β-hydroxydemethylcryptojaponol; trichotomone (10S,16S)-12,16-epoxy-17(15→16)-abeo-3,5,8,12-abietatetraen-7,11,14-trione 11,14,16-trihydroxy-6,12-dimethoxy-17(15→16)-abeo-5,8,11,13-abietatetraen- 3,7-dione Clerodenoid A Clerodenoid D Clerodenoid E Clerodenoid F | C. trichotomum (roots) (steams) (roots) Clerodendrum bracteatum (stems) Clerodendrum chinense (roots) | Cytotoxic Cytotoxic Anti-inflammatory Antioxidant, cytotoxic Cytotoxic | [92,93] [95] [96] [97] [98] |
Publisher’s Note: MDPI stays neutral with regard to jurisdictional claims in published maps and institutional affiliations. |
© 2022 by the authors. Licensee MDPI, Basel, Switzerland. This article is an open access article distributed under the terms and conditions of the Creative Commons Attribution (CC BY) license (https://creativecommons.org/licenses/by/4.0/).
Share and Cite
Kuźma, Ł.; Gomulski, J. Biologically Active Diterpenoids in the Clerodendrum Genus—A Review. Int. J. Mol. Sci. 2022, 23, 11001. https://doi.org/10.3390/ijms231911001
Kuźma Ł, Gomulski J. Biologically Active Diterpenoids in the Clerodendrum Genus—A Review. International Journal of Molecular Sciences. 2022; 23(19):11001. https://doi.org/10.3390/ijms231911001
Chicago/Turabian StyleKuźma, Łukasz, and Jan Gomulski. 2022. "Biologically Active Diterpenoids in the Clerodendrum Genus—A Review" International Journal of Molecular Sciences 23, no. 19: 11001. https://doi.org/10.3390/ijms231911001
APA StyleKuźma, Ł., & Gomulski, J. (2022). Biologically Active Diterpenoids in the Clerodendrum Genus—A Review. International Journal of Molecular Sciences, 23(19), 11001. https://doi.org/10.3390/ijms231911001

