Sugarcane ScDREB2B-1 Confers Drought Stress Tolerance in Transgenic Nicotiana benthamiana by Regulating the ABA Signal, ROS Level and Stress-Related Gene Expression
Abstract
1. Introduction
2. Results
2.1. ScDREB2B-1 Belonged to the A-2 Group of the DREB Transcription Factor Family
2.2. Transcripts of ScDREB2B-1 Could Be Induced by Sodium Chloride, Polyethylene Glycol and Abscisic Acid Stress
2.3. The Promoter of ScDREB2B-1 Was Rich in Cis-Acting Elements Related to Stress and the Expression of Its Homologous Gene in S. spontaneum Could Also Be Induced by Drought Stress
2.4. ScDREB2B-1 Protein Has Transcriptional Self-Activation Activity
2.5. Overexpression of ScDREB2B-1 Improved Drought Tolerance of Transgenic N. benthamiana by Increasing Proline Content and Water-Retention Ability
2.6. Overexpression of ScDREB2B-1 Improved the Tolerance of Transgenic N. benthamiana to Drought Stress by Regulating the ABA Signal
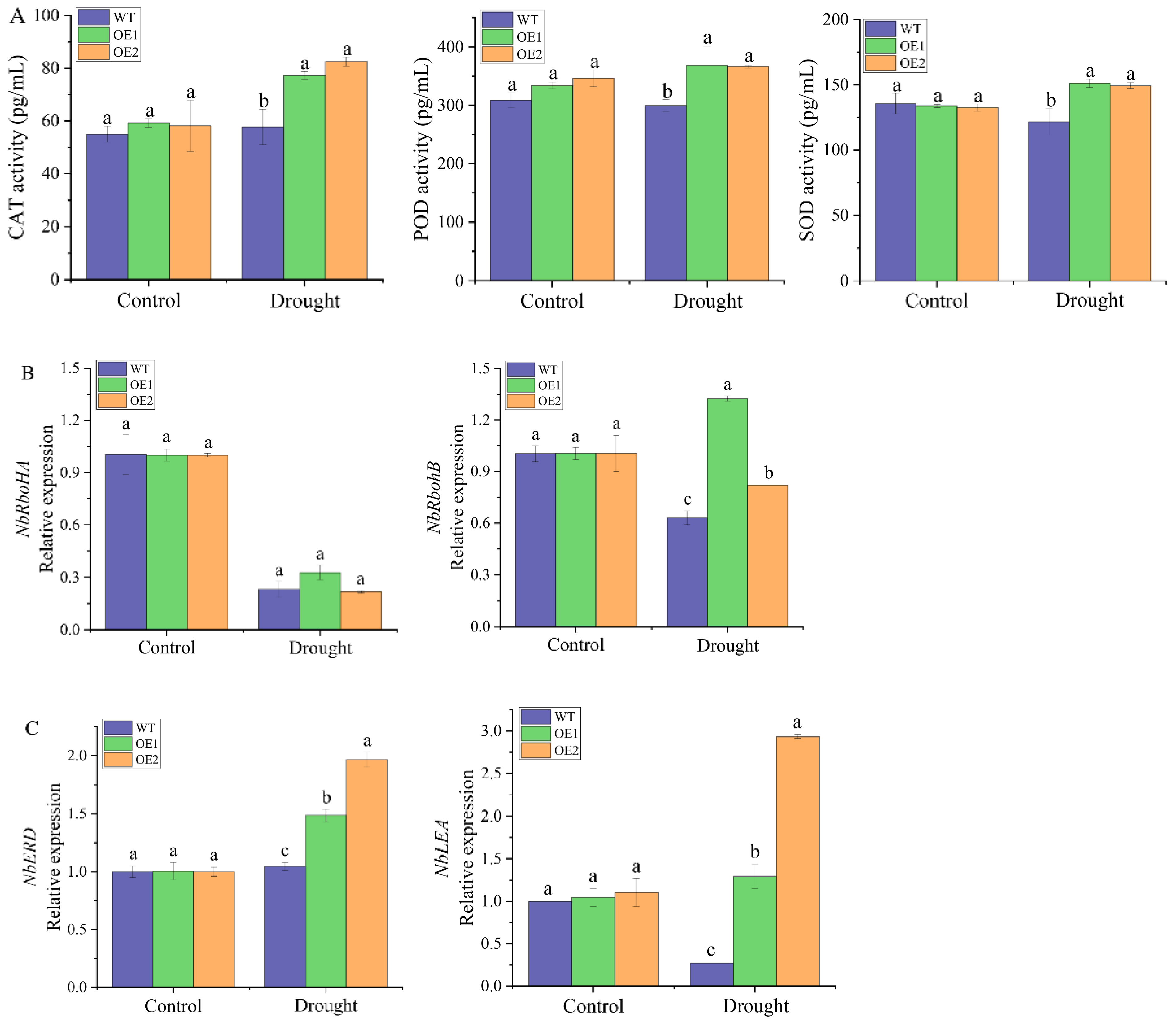
2.7. Overexpression of the ScDREB2B-1 Upregulated Reactive Oxygen Species Scavenging Enzyme Activity and the Expression Level of Stress-Responsive Genes in N. benthamiana under Drought Conditions
2.8. Proposed Model for the Overexpression of Sugarcane ScDREB2B-1-Mediated Regulation of N. benthamiana Plants under Drought Stress
3. Discussion
4. Materials and Methods
4.1. Cloning and Sequence Analysis of the Sugarcane ScDREB2B-1 Gene
4.2. Sugarcane Materials and Stress Treatments
4.3. Expression Analysis of ScDREB2B-1 in Sugarcane under Different Stressors
4.4. Promoter Cloning of the ScDREB2B-1 Gene and Expression Profile Analysis of Its Homologous Gene in S. spontaneum under Drought Treatment
4.5. Transcriptional Self-Activation Activity Assay
4.6. Production of Transgenic Seedlings
4.7. Phenotypic Analysis of Transgenic N. benthamiana under Drought Stress
4.8. Measurements of the Physiological and Biochemical Indexes in Transgenic Plants
4.9. Expression Analysis of Stress Response Genes in Transgenic Plants
5. Conclusions
Supplementary Materials
Author Contributions
Funding
Institutional Review Board Statement
Informed Consent Statement
Data Availability Statement
Acknowledgments
Conflicts of Interest
References
- Li, R.D.; Mao, J.; Dao, J.M.; Fan, X.; Yang, S.L.; Deng, J.; Zhang, Y.B. Biological characteristics of main sugarcane cultivars in China. Chin. J. Trop. Crops 2022, 43, 1347–1356. [Google Scholar]
 - Liu, X.F.; Fu, B.J. Drought impacts on crop yield: Progress, challenges and prospect. Acta Geogr. Sin. 2021, 76, 2632–2646. [Google Scholar]
 - Zhang, Y.B.; Deng, J.; Yang, S.L.; Fan, X.; Li, R.D.; Quan, Y.J. Research progress of sugarcane cultivation technology in the world. Sugarcane Canesugar 2021, 50, 1–5. [Google Scholar]
 - Century, K.; Reuber, T.L.; Ratcliffe, O.J. Regulating the regulators: The future prospects for transcription-factor-based agricultural biotechnology products. Plant Physiol. 2008, 147, 20–29. [Google Scholar] [CrossRef]
 - Gaponenko, A.K.; Shulga, O.A.; Mishutkina, Y.B.; Tsarkova, E.A.; Timoshenko, A.A.; Spechenkova, N.A. Perspectives of use of transcription factors for improving resistance of wheat productive varieties to abiotic stresses by transgenic technologies. Russ. J. Genet. 2018, 54, 27–35. [Google Scholar] [CrossRef]
 - Zhuang, J.; Anyia, A.; Vidmar, J.; Xiong, A.S.; Zhang, J. Discovery and expression assessment of the AP2-like genes in Hordeum vulgare. Acta Physiol. Plant. 2011, 33, 1639–1649. [Google Scholar] [CrossRef]
 - Sakuma, Y.; Liu, Q.; Dubouzet, J.G.; Abe, H.; Shinozaki, K.; Yamaguchi-Shinozaki, K. DNA-binding specificity of the ERF/AP2 domain of Arabidopsis DREBs, transcription factors involved in dehydration- and cold-inducible gene expression. Biochem. Biophys. Res. Commun. 2002, 290, 998–1009. [Google Scholar] [CrossRef]
 - Yan, H.W.; Hong, L.; Zhou, Y.Q.; Jiang, H.Y.; Zhu, S.W.; Fan, J.; Cheng, B.J. A genome-wide analysis of the ERF gene family in sorghum. Genet. Mol. Res. 2013, 12, 2038–2055. [Google Scholar] [CrossRef]
 - Lata, C.; Prasad, M. Role of DREBs in regulation of abiotic stress responses in plants. J. Exp. Bot. 2011, 62, 4731–4748. [Google Scholar] [CrossRef]
 - Agarwal, P.K.; Agarwal, P.; Reddy, M.K.; Sopory, S.K. Role of DREB transcription factors in abiotic and biotic stress tolerance in plants. Plant Cell Rep. 2006, 25, 1263–1274. [Google Scholar] [CrossRef]
 - Xiong, L.M.; Schumaker, K.S.; Zhu, J.K. Cell signaling during cold, drought, and salt stress. Plant Cell 2002, 14, S165–S183. [Google Scholar] [CrossRef]
 - Medina, J.; Bargues, M.; Terol, J.; Perez-Alonso, M.; Salinas, J. The Arabidopsis CBF gene family is composed of three genes encoding AP2 domain-containing proteins whose expression is regulated by low temperature but not by abscisic acid or dehydration. Plant Physiol. 1999, 119, 463–470. [Google Scholar] [CrossRef]
 - Kume, S.; Kobayashi, F.; Ishibashi, M.; Ohno, R.; Nakamura, C.; Takumi, S. Differential and coordinated expression of Cbf and Cor/Lea genes during long-term cold acclimation in two wheat cultivars showing distinct levels of freezing tolerance. Genes Genet. Syst. 2005, 80, 185–197. [Google Scholar] [CrossRef]
 - Wang, Q.Y.; Guan, Y.C.; Wu, Y.R.; Chen, H.L.; Chen, F.; Chu, C.C. Overexpression of a rice OsDREB1F gene increases salt, drought, and low temperature tolerance in both Arabidopsis and rice. Plant Mol. Biol. 2008, 67, 589–602. [Google Scholar] [CrossRef]
 - Shen, Y.G.; Zhang, W.K.; He, S.J.; Zhang, J.S.; Liu, Q.; Chen, S.Y. An EREBP/AP2-type protein in Triticum aestivum was a DRE-binding transcription factor induced by cold, dehydration and ABA stress. Theor. Appl. Genet. 2003, 106, 923–930. [Google Scholar] [CrossRef]
 - Kizis, D.; Pages, M. Maize DRE-binding proteins DBF1 and DBF2 are involved in rab17 regulation through the drought responsive element in an ABA-dependent pathway. Plant J. 2002, 30, 679–689. [Google Scholar] [CrossRef]
 - Haake, V.; Cook, D.; Riechmann, J.L.; Pineda, O.; Thomashow, M.F.; Zhang, J.Z. Transcription factor CBF4 is a regulator of drought adaptation in Arabidopsis. Plant Physiol. 2002, 130, 639–648. [Google Scholar] [CrossRef]
 - Moon, S.J.; Min, M.K.; Kim, J.A.; Kim, D.Y.; Yoon, I.S.; Kwon, T.R.; Byun, M.O.; Kim, B.G. Ectopic expression of OsDREB1G, a member of the OsDREB1 subfamily, confers cold stress tolerance in rice. Front. Plant Sci. 2019, 10, 297. [Google Scholar] [CrossRef]
 - Dubouzet, J.G.; Sakuma, Y.; Ito, Y.; Kasuga, M.; Dubouzet, E.G.; Miura, S.; Seki, M.; Shinozaki, K.; Shinozaki, K.Y. OsDREB genes in rice, Oryza sativa L.; encode transcription activators that function in drought-, high-salt- and cold-responsive gene expression. Plant J. 2003, 33, 751–763. [Google Scholar] [CrossRef]
 - Zhang, X.X.; Tang, Y.J.; Ma, Q.B.; Yang, C.Y.; Mu, Y.H.; Suo, H.C.; Luo, L.H.; Nian, H. OsDREB2A, a rice transcription factor, significantly affects salt tolerance in transgenic soybean. PLoS ONE 2013, 8, e83011. [Google Scholar] [CrossRef]
 - Peng, X.J.; Ma, X.Y.; Fan, W.H.; Su, M.; Cheng, L.Q.; Iftekhar, A.; Byung-Hyun, L.; Qi, D.M.; Shen, S.H.; Liu, G.S. Improved drought and salt tolerance of Arabidopsis thaliana by transgenic expression of a novel DREB gene from Leymus chinensis. Plant Cell Rep. 2011, 30, 1493–1502. [Google Scholar]
 - Maruyama, K.; Sakuma, Y.; Kasuga, M.; Ito, Y.; Seki, M.; Goda, H.; Shimada, Y.; Yoshida, S.; Shinozaki, K.; Yamaguchi-Shinozaki, K. Identification of cold-inducible downstream genes of the Arabidopsis DREB1A/CBF3 transcriptional factor using two microarray systems. Plant J. 2004, 38, 982–993. [Google Scholar] [CrossRef] [PubMed]
 - Reis, R.R.; da Cunha, B.A.D.B.; Martins, P.K.; Martins, M.T.B.; Alekcevetch, J.C.; Chalfun-Júnior, A.; Andrade, A.C.; Ribeiro, A.P.; Qin, F.; Mizoi, J.; et al. Induced over-expression of AtDREB2A CA improves drought tolerance in sugarcane. Plant Sci. 2014, 221–222, 59–68. [Google Scholar] [CrossRef] [PubMed]
 - Gupta, K.; Agarwal, P.K.; Reddy, M.K.; Jha, B. SbDREB2A, an A-2 type DREB transcription factor from extreme halophyte Salicornia brachiata confers abiotic stress tolerance in Escherichia coli. Plant Cell Rep. 2010, 29, 1131–1137. [Google Scholar] [CrossRef]
 - Wang, G.D.; Xu, X.P.; Wang, H.; Liu, Q.; Yang, X.T.; Liao, L.X.; Cai, G.H. A tomato transcription factor, SlDREB3 enhances the tolerance to chilling in transgenic tomato. Plant Physiol. Bioch. 2019, 142, 254–262. [Google Scholar] [CrossRef]
 - Chen, M.; Xu, Z.S.; Xia, L.Q.; Li, L.C.; Cheng, X.G.; Dong, J.H.; Wang, Q.Y.; Ma, Y.Z. Cold-induced modulation and functional analyses of the DRE-binding transcription factor gene, GmDREB3, in soybean (Glycine max L.). J. Exp. Bot. 2008, 60, 121–135. [Google Scholar] [CrossRef]
 - Sharma, V.; Goel, P.; Kumar, S.; Singh, A.K. An apple transcription factor, MdDREB76, confers salt and drought tolerance in transgenic tobacco by activating the expression of stress-responsive genes. Plant Cell Rep. 2019, 38, 221–241. [Google Scholar] [CrossRef]
 - Wang, M.L.; Zhuang, J.; Zou, Z.W.; Li, Q.H.; Xin, H.H.; Li, X.H. Overexpression of a Camellia sinensis DREB transcription factor gene (CsDREB) increases salt and drought tolerance in transgenic Arabidopsis thaliana. J. Plant Biol. 2017, 60, 452–461. [Google Scholar] [CrossRef]
 - Matsukura, S.; Mizoi, J.; Yoshida, T.; Todaka, D.; Ito, Y.; Maruyama, K.; Shinozaki, K.; Yamaguchi-Shinozaki, K. Comprehensive analysis of rice DREB2-type genes that encode transcription factors involved in the expression of abiotic stress-responsive genes. Mol. Genet. Genom. 2010, 283, 185–196. [Google Scholar] [CrossRef]
 - Chanprame, S.; Tanawan, P.; Sakulrat, S.; Chanakan, L. Isolation, characterization and expression of transcription factor ScDREB2 from wild, commercial and interspecific hybrid sugarcane in salinity condition. J. Plant Biotechnol. 2019, 46, 97–105. [Google Scholar] [CrossRef][Green Version]
 - Malhotra, P.K.; Mittal, A.; Chopra, R.; Kaur, M.; Thind, K.S. Genetic augmentation of sugarcane with stress-inducible DREB1A transcription factor using biolistic approach. Sugar Tech 2017, 19, 469–475. [Google Scholar] [CrossRef]
 - Li, C. Study on Drought Resistance of Transgenic Tobacco with SoDREB2 and Transgenic Sugarcane with SoDREB2. Master’s Dissertation, College of Agriculture, Guangxi University, Nanning, China, 2016. [Google Scholar]
 - Qian, Z.F.; Meng, Y.; Xu, R.; Shen, X.Y.; Chen, S.Y.; Wang, X.H.; He, L.L.; Li, F.S. Cloning and expression analysis of ErDREB1A gene in the wild species of Erianthus fulvus. Genom. Appl. Biol. 2021, 40, 827–834. [Google Scholar]
 - Wu, Y. The Study on Drought Resistance of Genetic Transformation of Erianthus arundinaceus’s DREB2B Gene into Sugarcane. Ph.D. Thesis, Fujian Agriculture and Forest University, Fuzhou, China, 2009. [Google Scholar]
 - Shi, X.K. Assessment of the Drought Resistance and Genetic Stability in Sugarcane Mediated with DREB Gene. Master’s Thesis, Fujian Agriculture and Forest University, Fuzhou, China, 2010. [Google Scholar]
 - Jiang, H.T. Drought Resistance and Expression of Related Genes in Sugarcane Mediated with Ea-DREB2B Gene at Seedling Stage. Master’s Thesis, College of Agriculture, Guangxi University, Nanning, China, 2016. [Google Scholar]
 - Augustine, S.M.; Narayan, J.A.; Syamaladevi, D.P.; Appunu, C.; Chakravarthi, M.; Ravichandran, V.; Tuteja, N.; Subramonian, N. Overexpression of EaDREB2 and pyramiding of EaDREB2 with the pea DNA helicase gene (PDH45) enhance drought and salinity tolerance in sugarcane (Saccharum spp. hybrid). Plant Cell Rep. 2015, 34, 247–263. [Google Scholar] [CrossRef]
 - Qin, F.; Kakimoto, M.; Sakuma, Y.; Maruyama, K.; Osakabe, Y.; Tran, L.S.P.; Shinozaki, K.; Yamaguchi-Shinozaki, K. Regulation and functional analysis of ZmDREB2A in response to drought and heat stresses in Zea mays L. Plant J. 2007, 50, 54–69. [Google Scholar] [CrossRef]
 - Shan, D.P.; Huang, J.G.; Yang, Y.T.; Guo, Y.H.; Wu, C.A.; Yang, G.D.; Gao, Z.; Zheng, C.C. Cotton GhDREB1 increases plant tolerance to low temperature and is negatively regulated by gibberellic acid. New Phytol. 2007, 176, 70–81. [Google Scholar] [CrossRef]
 - Yin, Y.M.; Jiang, X.X.; Ren, M.Y.; Xue, M.; Nan, D.; Wang, Z.L.; Xing, Y.P.; Wang, M.Y. AmDREB2C, from Ammopiptanthus mongolicus, enhances abiotic stress tolerance and regulates fatty acid composition in transgenic Arabidopsis. Plant Physiol. Biochem. 2018, 130, 517–528. [Google Scholar] [CrossRef]
 - Xie, D.L.; Cui, J.H.; Chang, J.H. Cloning and expression analysis of SbDREB2 gene from Sorghum bicolor. Acta Agron. Sin. 2013, 39, 1352–1359. [Google Scholar] [CrossRef]
 - Dong, C.; Xi, Y.; Chen, X.L.; Cheng, Z.M. Genome-wide identification of AP2/EREBP in Fragaria vesca and expression pattern analysis of the FvDREB subfamily under drought stress. BMC Plant Biol. 2021, 21, 295–299. [Google Scholar] [CrossRef]
 - Agarwal, P.; Agarwal, P.K.; Joshi, A.J.; Sopory, S.K.; Reddy, M.K. Overexpression of PgDREB2A transcription factor enhances abiotic stress tolerance and activates downstream stress-responsive genes. Mol. Biol. Rep. 2010, 37, 1125–1135. [Google Scholar] [CrossRef]
 - Chen, S.M.; Cui, X.L.; Chen, Y.; Gu, C.S.; Miao, H.B.; Gao, H.H.; Chen, F.D.; Liu, Z.L.; Guan, Z.Y.; Fang, W.M. CgDREBa transgenic chrysanthemum confers drought and salinity tolerance. Environ. Exp. Bot. 2011, 74, 255–260. [Google Scholar] [CrossRef]
 - Mallikarjuna, G.; Mallikarjuna, K.; Reddy, M.K.; Kaul, T. Expression of OsDREB2A transcription factor confers enhanced dehydration and salt stress tolerance in rice (Oryza sativa L.). Biotechnol. Lett. 2011, 33, 1689–1697. [Google Scholar] [CrossRef]
 - Chen, H.L.; Liu, L.P.; Wang, L.X.; Wang, S.H.; Cheng, X.Z. VrDREB2A, a DREB-binding transcription factor from Vigna radiata, increased drought and high-salt tolerance in transgenic Arabidopsis thaliana. J. Plant Res. 2016, 129, 263–273. [Google Scholar] [CrossRef]
 - Savitri, E.S.; Fauziah, S.M. Characterization of drought tolerance of GmDREB2 soybean mutants (Glycine max (L.) Merr) by ethyl methane sulfonate induction. AIP Conf. Proc. 2019, 2018, 020017. [Google Scholar]
 - Sapes, G.; Sala, A. Relative water content consistently predicts drought mortality risk in seedling populations with different morphology, physiology, and times to death. Plant Cell Environ. 2021, 44, 3322–3335. [Google Scholar] [CrossRef]
 - Ankita, S.; Surinder, K.S.; Alok, K.; Gill, R.K.; Sarvjeet, S. Proline content and membrane permeability index in response to water stress in recombinant inbred lines of lentil. Vegetos-Int. J. Plant Sci. 2017, 30, 63–72. [Google Scholar] [CrossRef]
 - Chen, M.; Wang, Q.Y.; Cheng, X.G.; Xu, Z.S.; Li, L.C.; Ye, X.G.; Xia, L.Q.; Ma, Y.Z. GmDREB2, a soybean DRE-binding transcription factor, conferred drought and high-salt tolerance in transgenic plants. Biochem. Biophys. Res. Commun. 2007, 353, 299–305. [Google Scholar] [CrossRef]
 - Chen, J.H.; Xia, X.L.; Yin, W.L. Expression profiling and functional characterization of a DREB2-type gene from Populus euphratica. Biochem. Biophys. Res. Commun. 2009, 378, 483–487. [Google Scholar] [CrossRef]
 - Bhattacharjee, S. Reactive oxygen species and oxidative burst: Roles in stress, senescence and signal transduction in plants. Curr. Sci. 2005, 89, 1113–1121. [Google Scholar]
 - Li, T.; Huang, Y.; Khadr, A.; Wang, Y.H.; Xu, Z.S.; Xiong, A.S. DcDREB1A, a DREB-binding transcription factor from Daucus carota, enhances drought tolerance in transgenic Arabidopsis thaliana and modulates lignin levels by regulating lignin-biosynthesis-related genes. Environ. Exp. Bot. 2020, 169, 103896. [Google Scholar] [CrossRef]
 - Jia, H.H.; Wang, C.; Wang, F.; Liu, S.C.; Li, G.L.; Guo, X.Q. GhWRKY68 reduces resistance to salt and drought in transgenic Nicotiana benthamiana. PLoS ONE 2015, 10, e0120646. [Google Scholar] [CrossRef]
 - Li, X.W.; Xie, Y.P.; Lu, L.Y.; Yan, M.J.; Fang, N.; Xu, J.D.; Wang, L.P.; Yan, Y.; Zhao, T.; Nocker, S.; et al. Contribution of methylation regulation of MpDREB2A promoter to drought resistance of Malus prunifolia. Plant Soil 2019, 441, 15–32. [Google Scholar] [CrossRef]
 - Eszterhas, S.K.; Bouhassira, E.E.; Martin, D.I.K.; Fiering, S. Transcriptional interference by independently regulated genes occurs in any relative arrange arrangement of the genes and is influenced by chromosomal integration position. Mol. Cell. Biol. 2002, 22, 469–479. [Google Scholar] [CrossRef] [PubMed]
 - Chiaramonte, F.; Miller, W.; Bouhassira, E.E. Gene length and proximity to neighbors affect genome-wide expression levels. Genome Res. 2003, 13, 2602–2608. [Google Scholar] [CrossRef] [PubMed]
 - Whitelaw, B.A.; Harris, S.; McCleanaghar, M.; Simons, P.J.; Clark, J.A. Position-independent expression of the ovine β-lactoglobulin gene in transgenic mice. Biochem. J. 1992, 286, 3–39. [Google Scholar] [CrossRef]
 - Knotts, S.; Rindt, H.; Robbins, J. Position independent expression and developmental regulation is directed by the b myosin heavy chain gene’s 5′ upstream region in transgenic mice. Nucleic Acid Res. 1995, 23, 3301–3309. [Google Scholar] [CrossRef] [PubMed][Green Version]
 - Henikoff, S. Conspiracy of silence among repeated transgenes. BioEssays 1998, 20, 532–535. [Google Scholar] [CrossRef]
 - Plotkin, J.B.; Kudla, G. Synonymous but not the same: The causes and consequences of codon bias. Nat. Rev. Genet. 2010, 12, 32–42. [Google Scholar] [CrossRef]
 - Liu, S.X.; Wang, X.L.; Wang, H.W.; Xin, H.B.; Yang, X.H.; Yan, J.B.; Li, J.S.; Tran, L.S.P.; Shinozaki, K.; Yamaguchi-Shinozaki, K.; et al. Genome-wide analysis of ZmDREB genes and their association with natural variation in drought tolerance at seedling stage of Zea mays L. PLoS Genet. 2013, 9, e1003790. [Google Scholar] [CrossRef]
 - Chen, Y.F.; Li, Z.; Su, W.H.; Sun, T.T.; Wang, Z.T.; Cen, G.L.; Que, Y.X.; Meng, Y.T.; Xu, L.P.; Su, Y.C. Identification and expression analysis of AP2/ERF gene family in sugarcane. Chin. J. Appl. Environ. Biol. 2022, 28, 67–81. [Google Scholar]
 - Hoagland, D.R.; Arnon, D.S. The water culture method for growing plants without soil. Calif. Agric. Exp. Stn. Circ. 1950, 347, 32. [Google Scholar]
 - Guo, J.L.; Ling, H.; Wu, Q.B.; Xu, L.P.; Que, Y.X. The choice of reference genes for assessing gene expression in sugarcane under salinity and drought stresses. Sci. Rep. 2014, 4, 7042. [Google Scholar] [CrossRef]
 - Chen, S.F.; Zhou, Y.Q.; Chen, Y.R.; Gu, J. Fastp: An ultra-fast all-in-one FASTQ preprocessor. Bioinformatics 2018, 34, i884–i890. [Google Scholar] [CrossRef]
 - Kim, D.; Langmead, B.; Salzberg, S.L. HISAT: A fast spliced aligner with low memory requirements. Nat. Methods 2015, 12, 357–360. [Google Scholar] [CrossRef]
 - Zhang, J.S.; Zhang, X.T.; Tang, H.B.; Zhang, Q.; Hua, X.T.; Ma, X.K.; Zhu, F.; Jones, T.; Zhu, X.G.; Bowers, J.; et al. Allele-defined genome of the autopolyploid sugarcane Saccharum spontaneum L. Nature Genet. 2018, 50, 1565–1573. [Google Scholar] [CrossRef]
 - Chen, C.J.; Chen, H.; Zhang, Y.; Thomas, H.R.; Frank, M.H.; He, Y.H.; Xia, R. TBtools: An integrative toolkit developed for interactive analyses of big biological data. Mol. Plant 2020, 13, 1194–1202. [Google Scholar] [CrossRef]
 - Budeguer, F.; Enrique, R.; Perera, M.F.; Racedo, J.; Castagnaro, A.P.; Noguera, A.S.; Welin, B. Genetic transformation of sugarcane, current status and future prospects. Front. Plant Sci. 2021, 12, 768609. [Google Scholar] [CrossRef]
 - Yao, R.; Shi, M.L.; Pan, S.Y.; Shen, G.F.; Zhang, Z.F. Progress on Agrobacterium tumefaciens-mediated plant transformation. Curr. Biotechnol. 2011, 1, 260–265. [Google Scholar]
 - Chen, X.B.; Wang, J.; Zhu, M.; Jia, H.H.; Liu, D.D.; Hao, L.L.; Guo, X.Q. A cotton Raf-like MAP3K gene, GhMAP3K40, mediates reduced tolerance to biotic and abiotic stress in Nicotiana benthamiana by negatively regulating growth and development. Plant Sci. 2015, 240, 10–24. [Google Scholar] [CrossRef]
 










Publisher’s Note: MDPI stays neutral with regard to jurisdictional claims in published maps and institutional affiliations.  | 
© 2022 by the authors. Licensee MDPI, Basel, Switzerland. This article is an open access article distributed under the terms and conditions of the Creative Commons Attribution (CC BY) license (https://creativecommons.org/licenses/by/4.0/).
Share and Cite
Chen, Y.; Li, Z.; Sun, T.; Wang, D.; Wang, Z.; Zhang, C.; Que, Y.; Guo, J.; Xu, L.; Su, Y. Sugarcane ScDREB2B-1 Confers Drought Stress Tolerance in Transgenic Nicotiana benthamiana by Regulating the ABA Signal, ROS Level and Stress-Related Gene Expression. Int. J. Mol. Sci. 2022, 23, 9557. https://doi.org/10.3390/ijms23179557
Chen Y, Li Z, Sun T, Wang D, Wang Z, Zhang C, Que Y, Guo J, Xu L, Su Y. Sugarcane ScDREB2B-1 Confers Drought Stress Tolerance in Transgenic Nicotiana benthamiana by Regulating the ABA Signal, ROS Level and Stress-Related Gene Expression. International Journal of Molecular Sciences. 2022; 23(17):9557. https://doi.org/10.3390/ijms23179557
Chicago/Turabian StyleChen, Yufeng, Zhu Li, Tingting Sun, Dongjiao Wang, Zhoutao Wang, Chang Zhang, Youxiong Que, Jinlong Guo, Liping Xu, and Yachun Su. 2022. "Sugarcane ScDREB2B-1 Confers Drought Stress Tolerance in Transgenic Nicotiana benthamiana by Regulating the ABA Signal, ROS Level and Stress-Related Gene Expression" International Journal of Molecular Sciences 23, no. 17: 9557. https://doi.org/10.3390/ijms23179557
APA StyleChen, Y., Li, Z., Sun, T., Wang, D., Wang, Z., Zhang, C., Que, Y., Guo, J., Xu, L., & Su, Y. (2022). Sugarcane ScDREB2B-1 Confers Drought Stress Tolerance in Transgenic Nicotiana benthamiana by Regulating the ABA Signal, ROS Level and Stress-Related Gene Expression. International Journal of Molecular Sciences, 23(17), 9557. https://doi.org/10.3390/ijms23179557
        
