Expression of p53 Protein Associates with Anti-PD-L1 Treatment Response on Human-Derived Xenograft Model of GATA3/CR5/6-Negative Recurrent Nonmuscular Invasive Bladder Urothelial Carcinoma
Abstract
:1. Introduction
2. Results
2.1. Biomarkers’ Expression Status in High- and Low-Grade PDXs
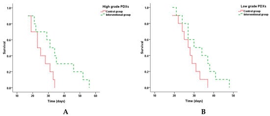
2.2. Tumor Response to Anti-PD-L1 Experimental Therapy
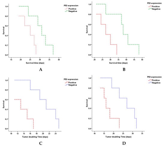
2.3. FGFR3 Gene Mutations, and p53 Expression and Response to Anti-PD-L1 Therapy
2.4. Subsection
3. Discussion
4. Materials and Methods
4.1. Ethics Statement
4.2. Study Design
4.3. Tumor Sample Sources
4.4. Laboratory Animals and Xenograft Modeling
4.5. Experimental Intervention and Surveillance
4.6. Immunohistochemistry
4.7. Reverse Transcription Real-Time Polymerase Chain Reaction
4.8. FGFR3 Gene Hotspot Mutations Detection
4.9. Statistical Analysis
5. Conclusions
- (a)
- Low-grade high-PD-L1(+) double-negative recurrent noninvasive bladder carcinoma was characterized by a higher FGFR3 expression than that of high-grade bladder tumor. There were no differences between high- and low-grade tumors in p53 protein expression and FGFR3 mutation rate;
- (b)
- Experimental anti-PD-L1 therapy with Durvalumab significantly increased animals’ survival time and tumor-doubling time, and inhibited metastatic activity in the group of high-grade high-PD-L1(+) GATA3/CR5/6-negative BC PDX acceptors, whereas it had no influence on the mentioned variables in the low-grade group except the number of remote metastasis;
- (c)
- We found no link among FGFR3 expression, FGFR3 mutations status, and animals’ survival time, tumor-doubling time, and metastatic activity in both high- and low-grade control and interventional groups;
- (d)
- The expression of p53 protein was an independent factor affecting the animals’ survival time of anti-PD-L1-treated mice with low-grade high-PD-L1(+) double-negative NMIBC PDX.
Author Contributions
Funding
Institutional Review Board Statement
Informed Consent Statement
Data Availability Statement
Acknowledgments
Conflicts of Interest
Appendix A




Appendix B
| Sample No | Tumor Stage and Grade | Gender | Age | Histology | PDX |
|---|---|---|---|---|---|
| 01 | Ta, Low grade | Female | 71 | UPC | Established |
| 02 | T1, High grade | Male | 63 | UPC | Established |
| 03 | T1, High grade | Female | 71 | UPC | Established |
| 04 | T1, Low grade | Female | 58 | UPC | Established |
| 05 | T1, High grade | Male | 70 | UPC | Established |
| 06 | T1, Low grade | Male | 53 | UPC | Not established |
| 07 | T1, High grade | Male | 59 | UPC | Established |
| 08 | Ta, Low grade | Female | 65 | UPC | Established |
| 09 | T1, Low grade | Male | 73 | UPC | Established |
| 10 | T1, High grade | Female | 58 | UPC | Established |
| 11 | T1, High grade | Male | 48 | MPC | Not established |
| 12 | T1, Low grade | Male | 70 | UPC | Established |
| 13 | T1, High grade | Male | 64 | UPC | Established |
| 14 | T1, Low grade | Female | 59 | UPC | Established |
| 15 | Ta, Low grade | Female | 72 | UPC | Established |
| 16 | T1, High grade | Male | 72 | UPC | Established |
| 17 | T1, High grade | Female | 67 | SC | Established |
| 18 | T1, Low grade | Male | 55 | UPC | Established |
| 19 | T1, Low grade | Female | 68 | UPC | Established |
| 20 | T1, High grade | Male | 46 | MPC | Established |
| 21 | T1, High grade | Female | 59 | UPC | Not established |
| 22 | Ta, Low grade | Male | 61 | UPC | Established |
| 23 | T1, Low grade | Male | 76 | UPC | Established |
| Total | High grade (11) Low grade (12) | Female (10) Male (13) | Average (Mean ± SD) 63.2 ± 2.4 | UPC (20) MPC (2) SC (1) | Established (20) Not established (3) |
References
- Sylvester, R.J.; van der Meijden, A.P.; Oosterlinck, W.; Witjes, J.A.; Bouffioux, C.; Denis, L.; Newling, D.W.; Kurth, K. Predicting Recurrence and Progression in Individual Patients with Stage Ta T1 Bladder Cancer Using EORTC Risk Tables: A Combined Analysis of 2596 Patients from Seven EORTC Trials. Eur. Urol. 2006, 49, 466–477. [Google Scholar] [CrossRef] [PubMed]
- Murphy, C.R.; Karnes, R.J. Bladder Cancer in Males: A Comprehensive Review of Urothelial Carcinoma of the Bladder. J. Men’s Health 2014, 11, 18–27. [Google Scholar] [CrossRef]
- Kamat, A.M.; Hahn, N.M.; Efstathiou, J.A.; Lerner, S.P.; Malmström, P.-U.; Choi, W.; Guo, C.C.; Lotan, Y.; Kassouf, W. Bladder cancer. Lancet 2016, 388, 2796–2810. [Google Scholar] [CrossRef]
- Botteman, M.F.; Pashos, C.; Redaelli, A.; Laskin, B.L.; Hauser, R.A. The health economics of bladder cancer: A comprehensive review of published literature. Pharmacoeconomics 2003, 21, 1315–1330. [Google Scholar] [CrossRef]
- Brausi, M.; Witjes, J.A.; Lamm, D.; Persad, R.; Palou, J.; Colombel, M.; Buckley, R.; Soloway, M.; Akaza, H.; Böhle, A. A Review of Current Guidelines and Best Practice Recommendations for the Management of Nonmuscle Invasive Bladder Cancer by the International Bladder Cancer Group. J. Urol. 2011, 186, 2158–2167. [Google Scholar] [CrossRef]
- Lotan, Y.; Shariat, S.F.; Schmitz-Dräger, B.J.; Sanchez-Carbayo, M.; Jankevicius, F.; Racioppi, M.; Minner, S.J.; Stöhr, B.; Bassi, P.F.; Grossman, H.B. Considerations on implementing diagnostic markers into clinical decision making in bladder cancer. Urol. Oncol. Semin. Orig. Investig. 2010, 28, 441–448. [Google Scholar] [CrossRef]
- Dadhania, V.; Zhang, M.; Zhang, L.; Bondaruk, J.; Majewski, T.; Siefker-Radtke, A.; Guo, C.C.; Dinney, C.; Cogdell, D.E.; Zhang, S.; et al. Meta-Analysis of the Luminal and Basal Subtypes of Bladder Cancer and the Identification of Signature Immunohistochemical Markers for Clinical Use. EBioMedicine 2016, 12, 105–117. [Google Scholar] [CrossRef] [Green Version]
- Choi, W.; Porten, S.; Kim, S.; Willis, D.; Plimack, E.R.; Hoffman-Censits, J.; Roth, B.; Cheng, T.; Tran, M.; Lee, I.-L.; et al. Identification of Distinct Basal and Luminal Subtypes of Muscle-Invasive Bladder Cancer with Different Sensitivities to Frontline Chemotherapy. Cancer Cell 2014, 25, 152–165. [Google Scholar] [CrossRef] [Green Version]
- Kastan, M.B.; Canman, C.E.; Leonard, C.J. P53, cell cycle control and apoptosis: Implications for cancer. Cancer Metastasis Rev. 1995, 14, 3–15. [Google Scholar] [CrossRef]
- Vermeulen, K.; Berneman, Z.N.; Van Bockstaele, D.R. Cell cycle and apoptosis. Cell Prolif. 2003, 36, 165–175. [Google Scholar] [CrossRef]
- Esrig, D.; Elmajian, D.; Groshen, S.; Freeman, J.A.; Stein, J.P.; Chen, S.-C.; Nichols, P.W.; Skinner, D.G.; Jones, P.A.; Cote, R.J. Accumulation of Nuclear p53 and Tumor Progression in Bladder Cancer. N. Engl. J. Med. 1994, 331, 1259–1264. [Google Scholar] [CrossRef]
- Friedrich, M.G.; Riethdorf, S.; Erbersdobler, A.; Tiemer, C.; Schwaibold, H.; Sölter, J.K.; Huland, E.; Riethdorf, L.; Conrad, S.; Hammerer, P.G.; et al. Relevance of p53 gene alterations for tumor recurrence in patients with superficial transitional cell carcinoma of the bladder. Eur. Urol. 2001, 39, 159–166. [Google Scholar] [CrossRef] [PubMed]
- Knowles, E.L.; Hernández, S.; Kogevinas, M.; Lloreta, J.; Amorós, A.; Tardon, A.; Carrato, A.; Kishore, S.; Serra, C.; Malats, N.; et al. The p53 Pathway and Outcome among Patients with T1G3 Bladder Tumors. Clin. Cancer Res. 2006, 12, 6029–6036. [Google Scholar] [CrossRef] [Green Version]
- Moonen, P.; van Balken-Ory, B.; Kiemeney, L.; Schalken, J.; Witjes, J. Prognostic Value of p53 for High Risk Superficial Bladder Cancer with Long-Term Followup. J. Urol. 2007, 177, 80–83. [Google Scholar] [CrossRef]
- Stadler, W.M.; Lerner, S.P.; Groshen, S.; Stein, J.P.; Shi, S.-R.; Raghavan, D.; Esrig, D.; Steinberg, G.; Wood, D.; Klotz, L.; et al. Phase III Study of Molecularly Targeted Adjuvant Therapy in Locally Advanced Urothelial Cancer of the Bladder Based on p53 Status. J. Clin. Oncol. 2011, 29, 3443–3449. [Google Scholar] [CrossRef] [PubMed]
- Cote, R.J.; Esrig, D.; Groshen, S.; Jones, P.A.; Skinner, N.G. p53 and treatment of bladder cancer. Nature 1997, 385, 123–124. [Google Scholar] [CrossRef] [PubMed]
- Ferreira, C.G.; Tolis, C.; Giaccone, G. p53 and chemosensitivity. Ann. Oncol. 1999, 10, 1011–1022. [Google Scholar] [CrossRef]
- Kang, H.W.; Kim, Y.-H.; Jeong, P.; Park, C.; Kim, W.T.; Ryu, D.H.; Cha, E.-J.; Ha, Y.-S.; Kim, T.-H.; Kwon, T.G.; et al. Expression levels of FGFR3 as a prognostic marker for the progression of primary pT1 bladder cancer and its association with mutation status. Oncol. Lett. 2017, 14, 3817–3824. [Google Scholar] [CrossRef] [Green Version]
- Maeng, Y.-H.; Eun, S.-Y.; Huh, J.-S. Expression of Fibroblast Growth Factor Receptor 3 in the Recurrence of Non-Muscle-Invasive Urothelial Carcinoma of the Bladder. Korean J. Urol. 2010, 51, 94–100. [Google Scholar] [CrossRef] [PubMed]
- Eswarakumar, J.; Lax, I.; Schlessinger, J. Cellular signaling by fibroblast growth factor receptors. Cytokine Growth Factor Rev. 2005, 16, 139–149. [Google Scholar] [CrossRef] [PubMed]
- van Rhijn, B.W.; Mertens, L.S.; Mayr, R.; Bostrom, P.J.; Real, F.X.; Zwarthoff, E.C.; Zuiverloon, T.C. FGFR3 mutation status and FGFR3 expression in a large bladder cancer cohort treated by radical cystectomy: Implication for anti-FGFR3 treatment? Eur. Urol. 2020, 78, 682–687. [Google Scholar] [CrossRef]
- Han, Y.; Liu, X.; Ye, H.; Tian, Y.; Ji, Z. Lower mutant-allele tumor heterogeneity is a biomarker in FGFR3-mutant bladder cancer for better prognosis. World J. Surg. Oncol. 2020, 18, 1–10. [Google Scholar] [CrossRef]
- Nannapaneni, S.; Griffith, C.C.; Magliocca, K.R.; Chen, W.; Lyu, X.; Chen, Z.; Wang, D.; Wang, X.; Shin, D.M.; Chen, Z.G.; et al. Co-expression of fibroblast growth factor receptor 3 with mutant p53, and its association with worse outcome in oropharyngeal squamous cell carcinoma. PLoS ONE 2021, 16, e0247498. [Google Scholar] [CrossRef]
- Chen, Z.G.; Nannapaneni, S.; Griffith, C.C.; Wang, D.; Zhang, C.; Magliocca, K.R.; Wang, X.; Chen, Z.; Patel, M.; Steuer, C.E.; et al. FGFR3 correlation with mutant p53 and its prognostic value in oropharyngeal squamous cell carcinoma (OPSCC). J. Clin. Oncol. 2017, 35, 6057. [Google Scholar] [CrossRef]
- Mhawech-Fauceglia, P.; Cheney, R.; Fischer, G.; Beck, A.; Herrmann, F. FGFR3 and p53 protein expressions in patients with pTa and pT1 urothelial bladder cancer. Eur. J. Surg. Oncol. (EJSO) 2006, 32, 231–237. [Google Scholar] [CrossRef]
- Shi, L.; Chen, S.; Yang, L.; Li, Y. The role of PD-1 and PD-L1 in T-cell immune suppression in patients with hematological malignancies. J. Hematol. Oncol. 2013, 6, 74. [Google Scholar] [CrossRef] [Green Version]
- Brower, V. Anti-PD-L1 inhibitor durvalumab in bladder cancer. Lancet Oncol. 2016, 17, e275. [Google Scholar] [CrossRef]
- Liu, Z.-H.; Zheng, F.-F.; Mao, Y.-L.; Ye, L.-F.; Bian, J.; Lai, D.-H.; Ye, Y.-L.; Dai, Y.-P. Effects of programmed death-ligand 1 expression on OK-432 immunotherapy following transurethral resection in non-muscle invasive bladder cancer. Oncol. Lett. 2017, 13, 4818–4824. [Google Scholar] [CrossRef] [Green Version]
- Blinova, E.; Enikeev, D.; Roshchin, D.; Samyshina, E.; Deryabina, O.; Tertychnyy, A.; Blinov, D.; Kogan, E.; Dudina, M.; Barakat, H.; et al. Relapse-Free Survival and PD-L1 Expression in First High- and Low-Grade Relapsed Luminal, Basal and Double-Negative P53-Mutant Non-Muscular Invasive Bladder Cancer Depending on Previous Chemo- and Immunotherapy. Cancers 2020, 12, 1316. [Google Scholar] [CrossRef]
- Chijiwa, T.; Kawai, K.; Noguchi, A.; Sato, H.; Hayashi, A.; Cho, H.; Shiozawa, M.; Kishida, T.; Morinaga, S.; Yokose, T.; et al. Establishment of patient-derived cancer xenografts in immunodeficient NOG mice. Int. J. Oncol. 2015, 47, 61–70. [Google Scholar] [CrossRef] [PubMed] [Green Version]
- Gong, Z.; Xu, H.; Su, Y.; Wu, W.; Hao, L.; Han, C. Establishment of a Novel Bladder Cancer Xenograft Model in Humanized Immunodeficient Mice. Cell. Physiol. Biochem. 2015, 37, 1355–1368. [Google Scholar] [CrossRef]
- Blinova, E.; Roshchin, D.; Kogan, E.; Samishina, E.; Demura, T.; Deryabina, O.; Suslova, I.; Blinov, D.; Zhdanov, P.; Osmanov, Y.; et al. Patient-Derived Non-Muscular Invasive Bladder Cancer Xenografts of Main Molecular Subtypes of the Tumor for Anti-Pd-l1 Treatment Assessment. Cells 2019, 8, 526. [Google Scholar] [CrossRef] [Green Version]
- Zhu, S.; Yu, W.; Yang, X.; Wu, C.; Cheng, F. Traditional Classification and Novel Subtyping Systems for Bladder Cancer. Front. Oncol. 2020, 10, 102. [Google Scholar] [CrossRef] [Green Version]
- Soukup, V.; Čapoun, O.; Cohen, D.; Hernández, V.; Babjuk, M.; Burger, M.; Compérat, E.; Gontero, P.; Lam, T.; MacLennan, S.; et al. Prognostic Performance and Reproducibility of the 1973 and 2004/2016 World Health Organization Grading Classification Systems in Non–muscle-invasive Bladder Cancer: A European Association of Urology Non-muscle Invasive Bladder Cancer Guidelines Panel Systematic Review. Eur. Urol. 2017, 72, 801–813. [Google Scholar] [CrossRef] [Green Version]
- Imfinzi™ (Durvalumab): US Prescribing Information. 2017. Available online: https://www.fda.gov (accessed on 4 December 2018).
- Stewart, R.; Morrow, M.; Hammond, S.A.; Mulgrew, K.; Marcus, D.; Poon, E.; Watkins, A.; Mullins, S.; Chodorge, M.; Andrews, J.; et al. Identification and Characterization of MEDI4736, an Antagonistic Anti–PD-L1 Monoclonal Antibody. Cancer Immunol. Res. 2015, 3, 1052–1062. [Google Scholar] [CrossRef] [Green Version]
- Antonia, S.; Goldberg, S.B.; Balmanoukian, A.; Chaft, J.E.; Sanborn, R.E.; Gupta, A.; Narwal, R.; Steele, K.; Gu, Y.; Karakunnel, J.J.; et al. Safety and antitumour activity of durvalumab plus tremelimumab in non-small cell lung cancer: A multicentre, phase 1b study. Lancet Oncol. 2016, 17, 299–308. [Google Scholar] [CrossRef] [Green Version]
- Gad, S.C. Mice. In Animal Models in Toxicology, 2nd ed.; Gad, S.C., Ed.; Taylor and Francis: New York, NY, USA, 2007; pp. 950–956. [Google Scholar]
- Geran, R.I.; Greenberg, N.H.; MacDonald, M.M.; Schumacher, A.M.; Abbott, B.J. Protocols for screening chemical agents and natural products against tumor and other biological systems. Cancer Chemother Rep. 1972, 3, 100–103. [Google Scholar]
- Carbone, L. Pain in Laboratory Animals: The Ethical and Regulatory Imperatives. PLoS ONE 2011, 6, e21578. [Google Scholar] [CrossRef] [PubMed]
- Langford, D.J.; Bailey, A.L.; Chanda, M.L.; Clarke, S.E.; Drummond, T.E.; Echols, S.; Glick, S.; Ingrao, J.; Klassen-Ross, T.; LaCroix-Fralish, M.L.; et al. Coding of facial expressions of pain in the laboratory mouse. Nat. Methods 2010, 7, 447–449. [Google Scholar] [CrossRef]
- Girard, P.; Verniers, D.; Coppé, M.-C.; Pansart, Y.; Gillardin, J.-M. Nefopam and ketoprofen synergy in rodent models of antinociception. Eur. J. Pharmacol. 2008, 584, 263–271. [Google Scholar] [CrossRef]
- Wacnik, P.W.; Pacharinsak, C.; Beitz, A. Animal Models of Cancer Pain. In Animal Models of Pain; Ma, C., Zhang, J.M., Eds.; Humana Press: Totowa, NJ, USA, 2010; pp. 117–145. [Google Scholar] [CrossRef] [Green Version]
- Wang, C.C.; Tsai, Y.C.; Jeng, Y.M. Biological significance of GATA3, cytokeratin 20, cytokeratin 5/6 and p53 expression in muscle-invasive bladder cancer. PLoS ONE 2019, 14, e0221785. [Google Scholar] [CrossRef] [Green Version]
- Lerner, S.P.; McConkey, D.J.; Hoadley, K.A.; Chan, K.S.; Kim, W.Y.; Radvanyi, F.; Höglund, M.; Real, F.X. Bladder Cancer Molecular Taxonomy: Summary from a Consensus Meeting. Bladder Cancer 2016, 2, 37–47. [Google Scholar] [CrossRef] [PubMed] [Green Version]
- Ventana PD-L1 (SP263) Assay Staining in Urothelial Carcinoma. Interpretation Guide. Available online: https://www.accessdata.fda.gov/cdrh_docs/pdf16/p160046c.pdf (accessed on 26 December 2019).
- Morsch, R.; on behalf of the German Study Group of Bladder Cancer (DFBK e.V.); Rose, M.; Maurer, A.; Cassataro, M.A.; Braunschweig, T.; Knüchel, R.; Vögeli, T.-A.; Ecke, T.; Eckstein, M.; et al. Therapeutic implications of PD-L1 expression in bladder cancer with squamous differentiation. BMC Cancer 2020, 20, 230. [Google Scholar] [CrossRef] [Green Version]




| Experimental Group | Tumor-Doubling Time, Days M ± SD | Number of Lung Metastasis, M ± SD | |
|---|---|---|---|
| High-Grade Double-Negative High-PD-L1(+) BC | C | 9.8 ± 0.9 | 69.3 ± 3.9 |
| T | 18.3 ± 2.1 ‡ | 35.3 ± 7.6 ‡ | |
| Low-Grade Double-Negative High-PD-L1(+) BC | C | 17.2 ± 1.6 † | 46.1 ± 2.3 † |
| T | 21.7 ± 2.1 | 22.4 ± 4.5 ‡ | |
| Study Group | Estimated Time (Days) | Log-Rank Test | p Value |
|---|---|---|---|
| High-grade BC control | 23 | 4.091 | 0.043 |
| High-Grade BC Intervention | 31 | ||
| Total | 28 | ||
| Low-grade BC control | 27 | 3.231 | 0.072 |
| Low-Grade BC Intervention | 30 | ||
| Total | 28 |
| Variable | p53 Protein Expression | Estimated Time (Days) | Log-Rank Test | p Value |
|---|---|---|---|---|
| High-grade NMIBC control group | ||||
| TDT | Positive | 8 | 1.341 | 0.247 |
| Negative | 11 | |||
| Total | 9 | |||
| ST | Positive | 23 | 0.811 | 0.368 |
| Negative | 28 | |||
| Total | 23 | |||
| High-grade NMIBC intervention group | ||||
| TDT | Positive | 14 | 0.016 | 0.900 |
| Negative | 19 | |||
| Total | 16 | |||
| ST | Positive | 31 | 0.000 | 0.982 |
| Negative | 35 | |||
| Total | 31 | |||
| Low-grade NMIBC control group | ||||
| TDT | Positive | 13 | 7.477 | 0.006 |
| Negative | 21 | |||
| Total | 16 | |||
| ST | Positive | 25 | 5.441 | 0.020 |
| Negative | 31 | |||
| Total | 27 | |||
| Low-grade NMIBC intervention group | ||||
| TDT | Positive | 16 | 6.086 | 0.014 |
| Negative | 27 | |||
| Total | 19 | |||
| ST | Positive | 27 | 6.000 | 0.014 |
| Negative | 38 | |||
| Total | 30 | |||
| Variables | Control Group | Interventional Group | ||
|---|---|---|---|---|
| HR (95% CI) | p Value | HR (95% CI) | p Value | |
| FGFR3 expression | 1.299 (0.808–2.087) | 0.280 | 1.380 (0.825–2.307) | 0.219 |
| FGFR3 mutations | 4.109 (0.369–45.773) | 0.251 | 4.165 (0.376–46.160) | 0.245 |
| p53 expression | 0.037 (0.002–0.770) | 0.033 | 0.036 (0.002–0.739) | 0.031 |
Publisher’s Note: MDPI stays neutral with regard to jurisdictional claims in published maps and institutional affiliations. |
© 2021 by the authors. Licensee MDPI, Basel, Switzerland. This article is an open access article distributed under the terms and conditions of the Creative Commons Attribution (CC BY) license (https://creativecommons.org/licenses/by/4.0/).
Share and Cite
Blinova, E.; Samishina, E.; Deryabina, O.; Blinov, D.; Roshchin, D.; Shich, E.; Tumutolova, O.; Fedoseykin, I.; Epishkina, A.; Barakat, H.; et al. Expression of p53 Protein Associates with Anti-PD-L1 Treatment Response on Human-Derived Xenograft Model of GATA3/CR5/6-Negative Recurrent Nonmuscular Invasive Bladder Urothelial Carcinoma. Int. J. Mol. Sci. 2021, 22, 9856. https://doi.org/10.3390/ijms22189856
Blinova E, Samishina E, Deryabina O, Blinov D, Roshchin D, Shich E, Tumutolova O, Fedoseykin I, Epishkina A, Barakat H, et al. Expression of p53 Protein Associates with Anti-PD-L1 Treatment Response on Human-Derived Xenograft Model of GATA3/CR5/6-Negative Recurrent Nonmuscular Invasive Bladder Urothelial Carcinoma. International Journal of Molecular Sciences. 2021; 22(18):9856. https://doi.org/10.3390/ijms22189856
Chicago/Turabian StyleBlinova, Ekaterina, Elena Samishina, Olga Deryabina, Dmitry Blinov, Dmitry Roshchin, Evgeniia Shich, Oxana Tumutolova, Ilya Fedoseykin, Anna Epishkina, Haydar Barakat, and et al. 2021. "Expression of p53 Protein Associates with Anti-PD-L1 Treatment Response on Human-Derived Xenograft Model of GATA3/CR5/6-Negative Recurrent Nonmuscular Invasive Bladder Urothelial Carcinoma" International Journal of Molecular Sciences 22, no. 18: 9856. https://doi.org/10.3390/ijms22189856
APA StyleBlinova, E., Samishina, E., Deryabina, O., Blinov, D., Roshchin, D., Shich, E., Tumutolova, O., Fedoseykin, I., Epishkina, A., Barakat, H., Kaprin, A., Zhandarov, K., Perepechin, D., Merinov, D., Brykin, G., Arutiunian, K., Serebrianyi, S., Mirontsev, A., & Kozdoba, A. (2021). Expression of p53 Protein Associates with Anti-PD-L1 Treatment Response on Human-Derived Xenograft Model of GATA3/CR5/6-Negative Recurrent Nonmuscular Invasive Bladder Urothelial Carcinoma. International Journal of Molecular Sciences, 22(18), 9856. https://doi.org/10.3390/ijms22189856

