Nanoarchitectonics: Complexes and Conjugates of Platinum Drugs with Silicon Containing Nanocarriers. An Overview
Abstract
:1. Introduction
2. Platinum Drugs Conjugates
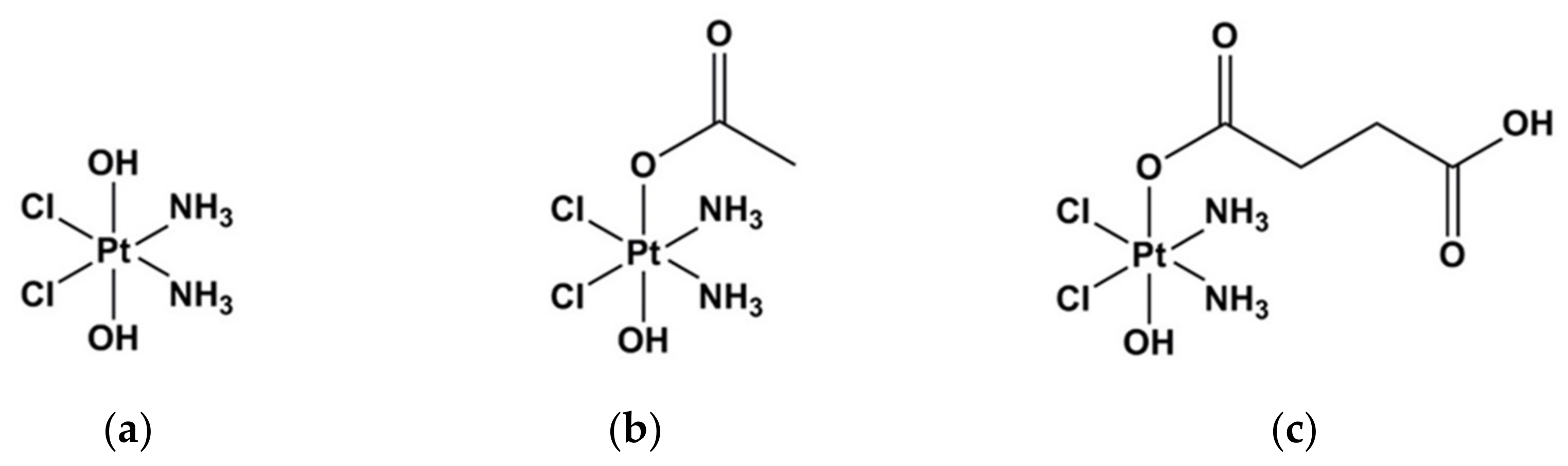
2.1. Silica-Pt(IV) Conjugates
2.2. Silica-Pt(II) Conjugates
2.3. Silsesquioxanes-Platinum Drugs Conjugates
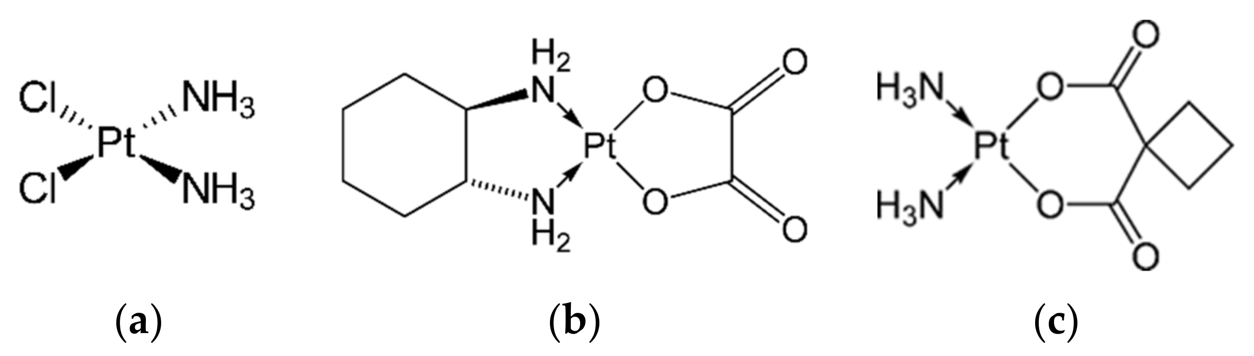
3. MSN Complexes with Platinum Drugs
3.1. Cisplatin (Pt(II)) Organosilicon Nanocomplexes
3.2. Complexes with Other Platinum Drugs
3.3. Targeted Therapy
3.4. Combination Therapy Involving Cisplatin and Other Drugs
3.5. Intelligent Silica Nanoparticles for Cisplatin Delivery
4. Conclusions
Funding
Institutional Review Board Statement
Informed Consent Statement
Data Availability Statement
Conflicts of Interest
References
- Siegel, R.L.; Miller, K.D.; Jemal, A. Cancer Statistics, 2020. CA Cancer J. Clin. 2020, 70, 7–30. [Google Scholar] [CrossRef]
- Novohradesky, V.; Zanellato, I.; Marzano, C.; Pracharova, J.; Kasparkova, J.; Gibson, D.; Gandin, V.; Osella, D.; Brabec, V. Epigenetic and antitumor effects of platinum(IV)-octanoato conjugates. Sci. Rep. 2017, 7, 3751. [Google Scholar] [CrossRef] [Green Version]
- Kumar, C.G.; Poornachandra, Y.; Pombala, S. Micro and Nano Technologies; Elsevier Inc.: Amsterdam, The Netherlands, 2017; pp. 1–61. [Google Scholar]
- Patra, M.; Johnstone, T.C.; Suntharalingam, K.; Lippard, S.J. A potent glucose–platinum conjugate exploits glucose transporters and preferentially accumulates in cancer cells. Angew. Chem. Int. 2016, 55, 2550–2554. [Google Scholar] [CrossRef] [PubMed] [Green Version]
- Johnstone, T.C.; Suntharalingam, K.; Lippard, S.J. The Next Generation of Platinum Drugs: Targeted Pt(II) Agants, Nanoparticle Delivery, and Pt(IV) Prodrgs. Chem. Rev. 2016, 116, 3436–3486. [Google Scholar] [CrossRef] [Green Version]
- Gessner, I.; Neundorf, I. Nanoparticles modified with cell-penetrating peptides: Conjugation mechanisms, physicochemical properties, and application in cancer diagnosis and therapy. Int. J. Mol. Sci. 2020, 21, 2536. [Google Scholar] [CrossRef] [Green Version]
- Ozin, G.A.; Arsenault, A.C.; Cademartini, L. Nanochemistry: A Chemical Approach to Nanomaterials, 2nd ed.; RSC Publishing: Cambridge, UK, 2009. [Google Scholar]
- Farooq, M.A.; Aquib, M.; Farooq, A.; Haleem Khan, D.; Joelle Maviah, M.B.; SiedFilli, M.; Kesse, S.; Boakye-Yiadom, K.O.; Mavlyanova, R.; Parveen, A.; et al. Recent progress in nanotechnology-based novel drug delivery systems in designing of cisplatin for cancer therapy: An overview. Artif. Cells Nanomed. Biotechnol. 2019, 47, 1674–1692. [Google Scholar] [CrossRef] [PubMed] [Green Version]
- Fan, W.; Bu, W.; Shi, J. On the latest three-stage development of nanomedicines based on upconversion nanoparticles. Adv. Mater. 2016, 28, 3987–4011. [Google Scholar] [CrossRef]
- Bar-Zeev, M.; Livney, Y.D.; Assaraf, Y.G. Targeted nanomedicine for cancer therapeutics: Towards precision medicine overcoming drug resistance. Drug Resist. Updates 2017, 31, 15–30. [Google Scholar] [CrossRef] [PubMed]
- Lu, J.; Liong, M.; Zink, J.I.; Tamanoi, F. Mesoporous silica nanoparticles as a delivery system for hydrophobic anticancer drugs. Small 2007, 3, 1341–1346. [Google Scholar] [CrossRef] [PubMed]
- Low, S.P.; Voelcker, N.H. Biocompatibility of Porous Silicon. In Handbook of Porous Silicon; Springer: Cham, Switzerland, 2014; pp. 381–393. [Google Scholar]
- Santos, H.A. Chemotherapy with Porous Silicon. In Handbook of Porous Silicon; Springer: Cham, Switzerland, 2016; pp. 1–15. [Google Scholar]
- McInnes, S.J.P.; Santos, A.; Kumeria, T. Porous Silicon Particles for Cancer Therapy and Bioimaging. In Nanooncology; Springer: Cham, Switzerland, 2018; pp. 305–340. [Google Scholar]
- Sailor, M.J. Chemical Reactivity and Surface Chemistry of Porous Silicon. In Handbook of Porous Silicon; Springer: Cham, Switzerland, 2017; pp. 1–20. [Google Scholar]
- Kwon, S.; Singh, R.K.; Perez, R.A.; Neel, E.A.; Kim, H.-W.; Chrzanowski, W.J. Silica-based mesoporous nanoparticles for controlled drug delivery. Tissue Eng. 2013, 4, 19. [Google Scholar] [CrossRef] [Green Version]
- Liong, M.; Lu, J.; Kovochich, M.; Xia, T.; Ruehm, S.G.; Nel, A.E.; Tamanoi, F.; Zink, J.I. Multifunctional inorganic nanoparticles for imaging, targeting, and drug delivery. ACS Nano. 2008, 2, 889–896. [Google Scholar] [CrossRef] [Green Version]
- Rocca, J.D.; Werner, M.E.; Kramer, S.A.; Huxford-Phillips, R.C.; Sukumar, R.; Cummings, N.D.; Vivero-Escoto, J.L.; Wang, A.Z.; Lin, W. Polysilsesquioxane nanoparticles for triggered release of cisplatin and effective cancer chemoradiotherapy. Nanomed. Nanotechnol. Biol. Med. 2015, 11, 31–38. [Google Scholar] [CrossRef] [Green Version]
- Bianco, I. Polyhedral oligomeric Silsesquioxanes (POSS)s in Medicine. J. Nanomed. 2018, 1, 1002. [Google Scholar]
- Zhang, Q.; Neoh, K.G.; Xu, L.; Lu, S.; Kang, E.T.; Mahendran, R.; Chiong, E. Functionalized mesoporous silica nanoparticles with mucoadhesive and sustained drug release properties for potential bladder cancer therapy. Langmuir 2014, 30, 6151. [Google Scholar] [CrossRef] [PubMed]
- Tang, F.; Li, L.; Chen, D. Mesoporous silica nanoparticles: Synthesis, biocompatibility and drug delivery. Adv. Mater. 2012, 24, 1504–1534. [Google Scholar] [CrossRef] [PubMed]
- Wang, Z.; Wu, P.; He, Z.; He, H.; Rong, W.; Li, J.; Zhou, D.; Huang, Y.J. Mesoporous silica nanoparticles with lactose-mediated targeting effect to deliver platinum (IV) prodrug for liver cancer therapy. Mater. Chem. B 2017, 5, 7591–7597. [Google Scholar] [CrossRef] [PubMed]
- Zhong, Y.; Jia, C.; Zhang, X.; Liao, X.; Yang, B.; Cong, Y.; Pu, S.; Gao, C. Targeting drug delivery system for platinum (IV)-Based antitumor complexes. Eur. J. Med. Chem. 2020, 194, 112229. [Google Scholar] [CrossRef] [PubMed]
- Egusquiaguirre, S.P.; Igartua, M.; Hernandez, R.M.; Pedraz, J.L. Nanoparticle delivery systems for cancer therapy: Advances in clinical and preclinical research. Clin. Transl. Oncol. 2012, 14, 83–93. [Google Scholar] [CrossRef] [PubMed]
- Park, J.H.; Gu, L.; von Maltzahn, G.; Ruoslahti, E.; Bhatia, S.N.; Sailor, M.J. Biodegradable luminescent porous silicon nanoparticles for in vivo applications. Nat. Mater. 2009, 8, 331. [Google Scholar] [CrossRef] [PubMed]
- Caballero, A.B.; Cardo, L.; Claire, S.; Craig, J.S.; Hodges, N.J.; Vladyka, A.; Albrecht, T.; Rochford, L.A.; Pikramenou, Z.; Hannon, M.J. Assisted delivery of anti-tumour platinum drugs using DNA-coiling gold nanoparticles bearing lumophores and intercalators: Towards a new generation of multimodal nanocarriers with enhanced action. Chem. Sci. 2019, 10, 9244–9256. [Google Scholar] [CrossRef] [Green Version]
- Zhang, S.; Zhong, X.; Yuan, H.; Guo, Y.; Song, D.; Qi, F.; Zhu, Z.; Wang, X.; Guo, Z. Interfering in apoptosis and DNA repair of cancer cells to conquer cisplatin resistance by platinum (IV) prodrugs. Chem. Sci. 2020, 11, 3829. [Google Scholar] [CrossRef]
- Qin, X.; Xu, G.; Chen, F.; Fang, L.; Gou, S. Novel platinum (IV) complexes conjugated with a wogonin derivative as multi-targeted anticancer agents. Bioorg. Med. Chem. 2017, 25, 2507–2517. [Google Scholar] [CrossRef]
- Ma, Z.-Y.; Wang, D.-B.; Song, X.-Q.; Wu, Y.-G.; Chen, Q.; Zhao, C.-L.; Cheng, J.-H.; Xu, J.-Y. Chlorambucil-conjugated platinum (IV) prodrugs to treat triple-negative breast cancer in vitro and in vivo. Eur. J. Med. Chem. 2018, 157, 1292–1299. [Google Scholar] [CrossRef]
- Dilruba, S.; Kalayda, G.V. Platinum-based drugs: Past, present and future. Cancer. Chemotherm. Pharmacol. 2016, 77, 1103–1124. [Google Scholar] [CrossRef] [PubMed]
- Li, X.; Liu, Y.; Tian, H. Current Developments in Pt(IV) Prodrugs Conjugated with Bioactive Ligands. Bioinorg. Chem. Appl. 2018, 2018, 8276139. [Google Scholar] [CrossRef] [Green Version]
- Huang, X.; Wang, M.; Wang, C.; Hu, W.; You, Q.; Yang, Y.; Yu, C.; Liao, Z.; Gou, S.; Wang, H. Dual-targeting antitumor conjugates derived from platinum (IV) prodrugs and microtubule inhibitor CA-4 significantly exhibited potent ability to overcome cisplatin resistance. Bioorg. Chem. 2019, 92, 103236. [Google Scholar] [CrossRef] [PubMed]
- Huang, X.; Liu, Z.; Wang, M.; Yin, X.; Wang, Y.; Dai, L.; Wang, H. Platinum (IV) complexes conjugated with chalcone analogs as dual targeting anticancer agents: In vitro and in vivo studies. Bioorg. Chem. 2020, 105, 104430. [Google Scholar] [CrossRef]
- Xu, Z.; Hu, W.; Wang, Z.; Gou, S. Platinum (IV) prodrugs multiply targeting genomic DNA, histone deacetylases and PARP-1. Eur. J. Med. Chem. 2017, 141, 211–220. [Google Scholar] [CrossRef]
- Tan, M.-X.; Wang, Z.-F.; Qin, Q.-P.; Zou, B.-Q.; Liang, H. Complexes of oxoplatin with rhein and ferulic acid ligands as platinum (IV) prodrugs with high anti-tumor activity. Dalton Trans. 2020, 49, 1613–1619. [Google Scholar] [CrossRef]
- Huang, H.; Wu, T.; Shi, H.; Wu, Y.; Yang, H.; Zhong, K.; Wang, Y.; Liu, Y. Modular design of nanobody–drug conjugates for targeted-delivery of platinum anticancer drugs with an MRI contrast agent. Chem. Commun. 2019, 55, 5175–5178. [Google Scholar] [CrossRef]
- He, S.; Cong, Y.; Zhou, D.; Li, J.; Xie, Z.; Chen, X.; Jing, X.; Huang, Y.J. A dextran–platinum (IV) conjugate as a reduction-responsive carrier for triggered drug release. Mater. Chem. B 2015, 3, 8203–8211. [Google Scholar] [CrossRef]
- Ahn, B.; Park, J.; Singha, K.; Park, H.; Kim, W.J. Mesoporous silica nanoparticle-based cisplatin prodrug delivery and anticancer effect under reductive cellular environment. J. Mater. Chem. B 2013, 1, 2829–2836. [Google Scholar] [CrossRef] [Green Version]
- Hu, H.; Arena, F.; Gianolio, E.; Boffa, C.; Di Gregorio, E.; Stefania, R.; Orio, L.; Baroni, S.; Aime, S. Mesoporous silica nanoparticles functionalized with fluorescent and MRI reporters for the visualization of murine tumors overexpressing α v β 3 receptors. Nanoscale 2016, 8, 7094–7104. [Google Scholar] [CrossRef] [Green Version]
- Karimi, M.; Mirshekari, H.; Aliakbari, M.; Sahandi-Zangabad, P.; Hamblin, M.R. Smart mesoporous silica nanoparticles for controlled-release drug delivery. Nanotechnol. Rev. 2016, 5, 195–207. [Google Scholar] [CrossRef]
- Xia, T.; Kovochich, M.; Liong, M.; Meng, H.; Kadehie, S.; George, S.; Zink, J.I.; Nel, A.E. Polyethyleneimine Coating Enhances the Cellular Uptake of Mesoporos Silica Nanoparticles and Allows Safe Delivery of siRNA and DNA Constructs. ACS Nano 2009, 3, 3273–3286. [Google Scholar] [CrossRef]
- Luo, G.-F.; Chen, W.-H.; Lei, Q.; Qiu, W.-X.; Liu, Y.-X.; Cheng, Y.-J.; Zhang, X.-Z. A triple-collaborative strategy for high-performance tumor therapy by multifunctional mesoporous silica-coated gold nanorods. Adv. Funct. Mater. 2016, 26, 4339–4350. [Google Scholar] [CrossRef]
- Liu, Y.; Tu, D.; Zhuab, H.; Chen, X. Lanthanide-doped luminescent nanoprobes: Controlled synthesis, optical spectroscopy, and bioapplications. Chem. Soc. Rev. 2013, 42, 6924–6958. [Google Scholar] [CrossRef]
- Min, Y.; Li, J.; Liu, F.; Yeow, E.K.L.; Xing, B. Near-infrared light-mediated photoactivation of a platinum antitumor prodrug and simultaneous cellular apoptosis imaging by upconversion-luminescent nanoparticles. Angew.Chem. Int. Ed. 2014, 53, 1012–1016. [Google Scholar] [CrossRef] [PubMed]
- Wang, F.; Han, Y.; Lim, C.; Lu, Y.; Wang, J.; Xu, J.; Chen, H.; Zhang, C.; Hong, M.; Liu, X. Simultaneous phase and size control of upconversion nanocrystals through lanthanide doping. Nature 2010, 463, 1061–1065. [Google Scholar] [CrossRef] [PubMed]
- Li, H.; Yu, H.; Zhu, C.; Hu, J.; Du, M.; Zhang, F.; Yang, D. Cisplatin and doxorubicin dual-loaded mesoporous silica nanoparticles for controlled drug delivery. RSC Adv. 2016, 6, 94160. [Google Scholar] [CrossRef]
- Yuan, L.; Tang, Q.Q.; Yang, D.; Zhang, J.Z.; Zhang, F.Y.; Hu, J.H. Preparation of pH-responsive mesoporous silica nanoparticles and their application in controlled drug delivery. J. Phys. Chem. C 2011, 115, 9926–9932. [Google Scholar] [CrossRef]
- Li, H.; Zhang, J.Z.; Tang, Q.; Du, M.; Hu, J.; Yang, D. Reduction-responsive drug delivery based on mesoporous silica nanoparticle core with crosslinked poly (acrylic acid) shell. Mater. Sci. Eng. C 2013, 33, 3426–3431. [Google Scholar] [CrossRef]
- Abedi, M.; Abolmaali, S.S.; Abedanzadeh, M.; Farjadian, F.; Samani, S.M.; Tamaddon, A.M. Core–shell imidazoline–functionalized mesoporous silica superparamagnetic hybrid nanoparticles as a potential theranostic agent for controlled delivery of platinum (II) compound. Int. J. Nanomed. 2020, 15, 2617–2631. [Google Scholar] [CrossRef] [PubMed] [Green Version]
- Mohapatra, S.; Rout, S.R.; Narayan, R.; Maiti, T.K. Multifunctional mesoporous hollow silica nanocapsules for targeted co-delivery of cisplatin-pemetrexed and MR imaging. Dalton Trans. 2014, 43, 15841–15850. [Google Scholar] [CrossRef] [PubMed]
- He, H.; Xiao, H.; Kuang, H.; Xie, Z.; Chen, X.; Jing, X.; Huang, Y. Synthesis of mesoporous silica nanoparticle–oxaliplatin conjugates for improved anticancer drug delivery. Colloids Surf. B Biointerfaces 2014, 117, 75–81. [Google Scholar] [CrossRef]
- Maximenko, A.; Depciuch, J.; Lopuszynska, N.; Stec, M.; Swiatkowska-Warkocka, Z.; Bayev, W.; Zielinski, P.M.; Baran, J.; Fedotova, J.; Weglarz, W.P.; et al. Fe3O4@SiO2@Au nanoparticles for MRI-guided chemo/NIR photothermal therapy of cancer cells. RSC. Adv. 2020, 10, 26508–26520. [Google Scholar] [CrossRef]
- Depciuch, J.; Miszczyk, J.; Maximenko, A.; Zielinski, P.M.; Rawojc, K.; Panek, A.; Olko, P.; Parlinska-Wojtan, M. Gold Nanopeanuts as Prospective Support for Cisplatin in Glioblastoma Nano-Chemo-Radiotherapy. Int. J. Mol. Sci. 2020, 21, 9082. [Google Scholar] [CrossRef] [PubMed]
- Ciobotaru, C.C.; Damian, C.M.; Matei, E.; Iovu, H. Covalent functionalization of graphene oxide with cisplatin. Mater. Plast. 2014, 51, 75–80. [Google Scholar]
- Dong, F.; Lu, L.; Ha, C.-S. Containing Hybrid Nanomaterials: Fascinating Platforms for Advanced Applications. Macromol. Chem. Phys. 2019, 220, 1800324. [Google Scholar] [CrossRef]
- Shi, H.; Yang, J.; You, M.; Li, Z.; He, C. Polyhedral oligomeric silsesquioxanes (POSS)-based hybrid soft gels: Molecular design, material advantages, and emerging applications. ACS Mater. Lett. 2020, 2, 296–316. [Google Scholar] [CrossRef]
- Fan, L.; Wang, X.; Wu, D. Polyhedral Oligomeric Silsesquioxanes (POSS)-based Hybrid Materials: Molecular Design, Solution Self-Assembly and Biomedical Applications. Chin. J. Chem. 2021, 39, 757–774. [Google Scholar] [CrossRef]
- Janaszewska, A.; Gradzinska, K.; Marcinkowska, M.; Klajnert-Maculewicz, B.; Stanczyk, W.A. In vitro studies of polyhedral oligo silsesquioxanes: Evidence for their low cytotoxicity. Materials 2015, 8, 6062–6070. [Google Scholar] [CrossRef] [PubMed] [Green Version]
- Sobierajska, E.; Konopka, M.; Janaszewska, A.; Piorecka, K.; Blauz, A.; Klajnert-Maculewicz, B.; Stanczyk, M.; Stanczyk, W.A. Unusual enhancement of doxorubicin activity on co-delivery with polyhedral oligomeric silsesquioxane (POSS). Materials 2017, 10, 559. [Google Scholar] [CrossRef] [Green Version]
- He, C.; Lu, J.; Lin, W.J. Hybrid nanoparticles for combination therapy of cancer. J. Control. Release 2015, 219, 224–236. [Google Scholar] [CrossRef] [Green Version]
- Noureddine, A.; Brinker, C.J. Pendant/bridged/mesoporous silsesquioxane nanoparticles: Versatile and biocompatible platforms for smart delivery of therapeutics. Chem. Eng. J. 2018, 340, 125–147. [Google Scholar] [CrossRef]
- Della Rocca, J.; Huxford, R.C.; Comstock-Duggan, E.; Lin, W. Polysilsesquioxane nanoparticles for targeted platin-based cancer chemotherapy by triggered release. Angew. Chem. Int. Ed. 2011, 50, 10330–10334. [Google Scholar] [CrossRef]
- Munaweera, I.; Koneru, B.; Shi, Y.; Di Pasqua, A.J.; Balkus, K.J. Chemoradiotherapeutic wrinkled mesoporous silica nanoparticles for use in cancer therapy. APL Mater. 2014, 2, 113315. [Google Scholar] [CrossRef]
- Munaweera, I.; Shi, Y.; Koneru, B.; Patel, A.; Dang, M.H.; Pasqua, A.J.D.; Balkus, K.J., Jr. Nitric oxide-and cisplatin-releasing silica nanoparticles for use against non-small cell lung cancer. J. Inorg. Biochem. 2015, 153, 23–31. [Google Scholar] [CrossRef]
- Singh, S.; Gupta, A. Nitric oxide: Role in tumour biology and iNOS/NO-based anticancer therapies. Cancer Chemother. Pharmacol. 2011, 67, 1211–1224. [Google Scholar] [CrossRef] [PubMed]
- Bonavida, B. Sensitizing activities of nitric oxide donors for cancer resistance to anticancer therapeutic drugs. Biochem. Pharmacol. 2020, 176, 113913. [Google Scholar] [CrossRef]
- Kafshgari, M.H.; Cavallaro, A.; Delalat, B.; Harding, F.J.; McInnes, S.J.P.; Mäkilä, E.; Salonen, J.; Vasilev, K.; Voelcker, N.H. Nitric oxide-releasing porous silicon nanoparticles. Nanoscale Res. Lett. 2014, 9, 333. [Google Scholar] [CrossRef] [PubMed] [Green Version]
- Vaeache, M.; Bezverkhy, I.; Weber, G.; Saviot, L.; Chassagnon, R.; Baras, F.; Bouyer, F. Loading of cisplatin into mesoporous silica nanoparticles: Effect of surface functionalization. Langmuir 2019, 35, 8984–8995. [Google Scholar]
- Mendiratta, S.; Hussein, M.; Nasser, H.A.; Ali, A.A.A. Multidisciplinary role of mesoporous silica nanoparticles in brain regeneration and cancers: From crossing the blood–brain barrier to treatment. Part. Part. Syst. Charact. 2019, 36, 1900195. [Google Scholar] [CrossRef] [Green Version]
- Hall, M.D.; Telma, K.A.; Chang, K.-E.; Lee, T.D.; Madigan, J.P.; Lloyd, J.R.; Goldlust, I.S.; Hoeschele, J.D.; Gottesman, M.M. Say no to DMSO: Dimethylsulfoxide inactivates cisplatin, carboplatin, and other platinum complexes. Cancer Res. 2014, 74, 3913–3922. [Google Scholar] [CrossRef] [PubMed] [Green Version]
- Lv, X.; Zhao, M.; Wang, Y.; Hu, X.; Wu, J.; Jiang, X.; Li, S.; Cui, C.; Peng, S. Loading cisplatin onto 6-mercaptopurine covalently modified MSNS: A nanomedicine strategy to improve the outcome of cisplatin therapy. Drug Des. Dev. Ther. 2016, 10, 3933–3946. [Google Scholar] [CrossRef] [Green Version]
- Palanikumar, L.; Choi, E.S.; Cheon, J.Y.; Joo, S.H.; Ryu, J.-H. Noncovalent polymer-gatekeeper in mesoporous silica nanoparticles as a targeted drug delivery platform. Adv. Funct. Mater. 2015, 25, 957–965. [Google Scholar] [CrossRef]
- Wan, X.; Zhang, G.; Liu, S. pH-disintegrable polyelectrolyte multilayer-coated mesoporous silica nanoparticles exhibiting triggered co-release of cisplatin and model drug molecules. Macromol. Rapid Commun. 2011, 32, 1082–1089. [Google Scholar] [CrossRef]
- Ortiz-Islas, E.; Manríquez-Ramírez, M.E.; Sosa-Muñoz, A.; Almaguer, P.; Arias, C.; Guevara, P.; Hernández-Cortez, G.; Aguirre-Cruz, M.L. Preparation and characterisation of silica-based nanoparticles for cisplatin release on cancer brain cells. IET Nanobiotechnol. 2020, 14, 191–197. [Google Scholar] [CrossRef]
- De, G.; Karmakar, B.; Ganguly, D. Hydrolysis–condensation reactions of TEOS in the presence of acetic acid leading to the generation of glass-like silica microspheres in solution at room temperature. J. Mater. Chem. 2000, 10, 2289–2293. [Google Scholar] [CrossRef]
- Le, N.T.; Akkaraju, G.R.; Coffer, J.L. Formation of Platinum Nanocrystals on Silicon Nanotubes and Corresponding Anti-Cancer Activity in Vitro. ACS Appl. Bio Mater. 2020, 3, 208–216. [Google Scholar] [CrossRef] [Green Version]
- Liu, X.; Jiang, J.; Chang, C.H.; Liao, Y.-P.; Lodico, J.J.; Tang, I.; Zheng, E.; Qiu, W.; Lin, M.; Wang, X.; et al. Development of Facile and Versatile Platinum Drug Delivering Silicasome Nanocarriers for Efficient Pancreatic Cancer Chemo-Immunotherapy. Small 2021, 17, 2005993. [Google Scholar] [CrossRef]
- Fernandez, M.; Javaid, F.; Chudasama, V. Advances in targeting the folate receptor in the treatment/imaging of cancers. Chem. Sci. 2018, 9, 790. [Google Scholar] [CrossRef] [Green Version]
- Alasvand, N.; Urbanska, A.M.; Rahmati, M.; Saeidifar, M.; SelcanGungor-Ozkerim, P.; Sefat, F.; Rajadas, J.; Mozafari, M. Chapter 13—Therapeutic Nanoparticles for Targeted Delivery of Anticancer Drugs. In Multifunctional Systems for Combined Delivery, Biosensing and Diagnostics; William Andrew: Norwich, NY, USA, 2017; Volume 13, pp. 245–259. [Google Scholar]
- Anarjan, F.S. Active targeting drug delivery nanocarriers: Ligands. Nano-Struct. Nano-Objects 2019, 19, 100370. [Google Scholar]
- Jurczyk, M.; Jelonek, K.; Musiał-Kulik, M.; Beberok, A.; Wrześniok, D.; Kasperczyk, J. Single-versus Dual-Targeted Nanoparticles with Folic Acid and Biotin for Anticancer Drug Delivery. Pharmaceutics 2021, 13, 326. [Google Scholar] [CrossRef] [PubMed]
- Liu, X.; Yu, D.; Jin, C.; Song, X.; Cheng, J.; Zhao, X.; Qi, X.; Zhang, G. A dual responsive targeted drug delivery system based on smart polymer coated mesoporous silica for laryngeal carcinoma treatment. New J. Chem. 2014, 38, 4830. [Google Scholar] [CrossRef]
- Zhang, J.; Peppas, N.A. Morphology of poly(methacrylic acid)/poly(N-isopropyl acrylamide) interpenetrating polymeric networks. J. Biomater. Sci. Polym. Ed. 2012, 13, 511–525. [Google Scholar] [CrossRef] [PubMed] [Green Version]
- Ortiz-Islas, E.; Sosa-Arróniz, A.; Manríquez-Ramírez, M.E.; Rodríguez-Pérez, C.E.; Tzompantzi, F.; Padilla, J.M. Mesoporous silica nanoparticles functionalized with folic acid for targeted release Cis-Pt to glioblastoma cells. Rev. Adv. Mater. Sci. 2021, 60, 25–37. [Google Scholar] [CrossRef]
- Thepphankulngarm, N.; Wonganan, P.; Sapcharoenkun, C.; Tuntulani, T.; Leeladee, P. Combining vitamin B 12 and cisplatin-loaded porous silica nanoparticles via coordination: A facile approach to prepare a targeted drug delivery system. New J. Chem. 2017, 41, 13823. [Google Scholar] [CrossRef]
- Cepeda, V.; Fuertes, M.A.; Castilla, J.; Alonso, C.; Quevedo, C.; Pérez, J.M. Biochemical mechanisms of cisplatin cytotoxicity. Anticancer Agents Med. Chem. 2007, 7, 3–18. [Google Scholar] [CrossRef]
- Chen, S.-H.; Chang, J.-Y. New insights into mechanisms of cisplatin resistance: From tumor cell to microenvironment. Int. J. Mol. Sci. 2019, 20, 4136. [Google Scholar] [CrossRef] [Green Version]
- Shen, D.-W.; Pouliot, L.M.; Hall, M.D.; Gottesman, M.M. Cisplatin resistance: A cellular self-defense mechanism resulting from multiple epigenetic and genetic changes. Pharmacol. Rev. 2012, 64, 706–721. [Google Scholar] [CrossRef] [Green Version]
- Zhang, Q.; Lu, Q.-B. New combination chemotherapy of cisplatin with an electron-donating compound for treatment of multiple cancers. Sci. Rep. 2021, 11, 788. [Google Scholar] [CrossRef]
- Vermorken, J.B.; Licitra, L.; Stöhlmacher-Williams, J.; Dietz, A.; Lopez-Picazo, J.M.; Hamid, O.; Hossain, A.M.; Chang, S.-C.; Gauler, T.C. Phase II study of pemetrexed in combination with cisplatin and cetuximab in recurrent or metastatic squamous cell carcinoma of the head and neck. Eur. J. Cancer 2013, 49, 2877–2883. [Google Scholar] [CrossRef]
- Tsai, P.-H.; Wang, M.-L.; Chang, J.-H.; Yarmishyn, A.A.; Nguyen, P.; Nguyen, N.; Chen, W.; Chien, Y.; Huo, T.; Mou, C.-Y.; et al. Dual delivery of HNF4α and cisplatin by mesoporous silica nanoparticles inhibits cancer pluripotency and tumorigenicity in hepatoma-derived CD133-expressing stem cells. ACS Appl. Mater. Interfaces 2019, 11, 19808–19818. [Google Scholar] [CrossRef] [PubMed]
- Song, F.; Li, Y.; Wang, S.; Zhang, L.; Chen, Q. Multifunctional dual-mesoporous silica nanoparticles loaded with a protein and dual antitumor drugs as a targeted delivery system. New J. Chem. 2019, 43, 17284–17297. [Google Scholar] [CrossRef]
- Tu, J.; Boyle, A.L.; Friedrich, H.; Bomans, P.H.H.; Bussmann, J.; Sommerdijk, N.A.J.M.; Jiskoot, W.; Kros, A. Mesoporous silica nanoparticles with large pores for the encapsulation and release of proteins. ACS Appl. Mater. Interfaces 2016, 8, 32211–32219. [Google Scholar] [CrossRef]
- Zhang, X.; He, C.; Yan, R.; Chen, Y.; Zhao, P.; Li, M.; Fan, T.; Yang, T.; Lu, Y.; Luo, J.; et al. HIF-1 dependent reversal of cisplatin resistance via anti-oxidative nano selenium for effective cancer therapy. Chem. Eng. J. 2020, 380, 122540. [Google Scholar] [CrossRef]
- Lu, H.; Samanta, D.; Xiang, L.; Zhang, H.; Hu, H.; Chen, I.; Bullen, J.W.; Semenza, G.L. Chemotherapy triggers HIF-1–dependent glutathione synthesis and copper chelation that induces the breast cancer stem cell phenotype. Proc. Natl. Acad. Sci. USA 2015, 112, e4600–e4609. [Google Scholar] [CrossRef] [Green Version]
- Zhang, X.; He, C.; Liu, X.; Chen, Y.; Zhao, P.; Chen, C.; Yan, R.; Li, M.; Fan, T.; Altine, B.; et al. One-pot synthesis of a microporous organosilica-coated cisplatin nanoplatform for HIF-1-targeted combination cancer therapy. Theranostics 2020, 10, 2918–2929. [Google Scholar] [CrossRef]
- Vaghasiya, K.; Ray, E.; Sharma, A.; Katare, O.P.; Verma, R.K. Matrix metalloproteinase-responsive mesoporous silica nanoparticles cloaked with cleavable protein for “self-actuating” on-demand controlled drug delivery for cancer therapy. ACS Appl. Bio Mater. 2020, 3, 4987–4999. [Google Scholar] [CrossRef]
- Juarranz, A.; Jaen, P.; Sanz-Rodriguez, F.; Cuevas, J.; Gonzalez, J.S. Photodynamic therapy of cancer. Basic principles and applications. Clin. Transl. Oncol. 2008, 10, 148–154. [Google Scholar] [CrossRef]
- Vivero-Escoto, J.L.; Elnagheeb, M. Mesoporous silica nanoparticles loaded with cisplatin and phthalocyanine for combination chemotherapy and photodynamic therapy in vitro. Nanomaterials 2015, 5, 2302–2316. [Google Scholar] [CrossRef] [PubMed]
- Vargas-Osorio, Z.; González-Gómez, M.A.; Piñeiro, Y.; Vázquez-Vázquez, C.; Rodríguez-Abreu, C.; López-Quintela, M.A.; Rivas, J.J. Novel synthetic routes of large-pore magnetic mesoporous nanocomposites (SBA-15/Fe3O4) as potential multifunctional theranostic nanodevices. Mater. Chem. B 2017, 5, 9395–9404. [Google Scholar] [CrossRef] [Green Version]
- Jermy, B.R.; Ravinayagam, V.; Alamoudi, W.A.; Almohazey, D.; Dafalla, H.; Hussain Allehaibi, L.; Baykal, A.; Toprak, M.S.; Somanathan, T. Targeted therapeutic effect against the breast cancer cell line MCF-7 with a CuFe2O4/silica/cisplatin nanocomposite formulation. Beilstein J. Nanotechnol. 2019, 10, 2217–2228. [Google Scholar] [CrossRef] [Green Version]
- Jermy, B.R.; Ravinayagam, V.; Akhtar, S.; Alamoudi, W.A.; Alhamed, N.A.; Baykal, A.J. Magnetic mesocellular foam functionalized by curcumin for potential multifunctional therapeutics. J. Supercond. Nov. Magn. 2019, 32, 2077–2090. [Google Scholar] [CrossRef]
- Rejeeth, C.; Vivek, R.; Kannan, S. A novel magnetic drug delivery nanocomplex with a cisplatin-conjugated Fe3O4 core and a PEG-functionalized mesoporous silica shell for enhancing cancer drug delivery efficiency. RSC Adv. 2015, 5, 94534–94538. [Google Scholar] [CrossRef]
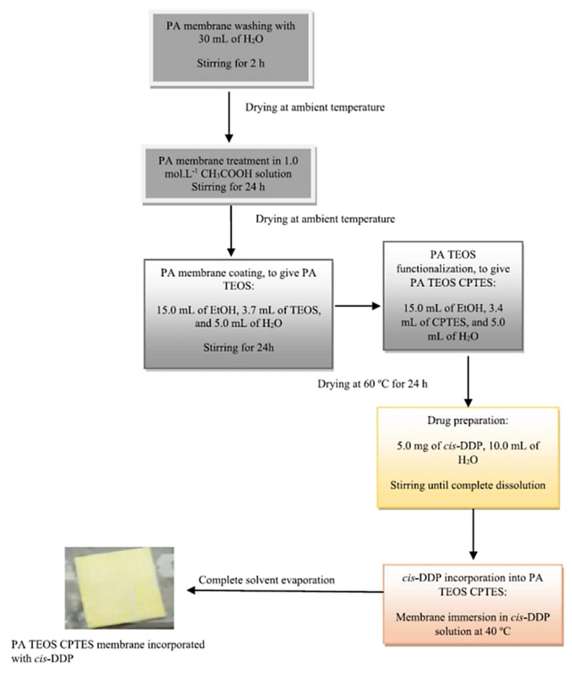
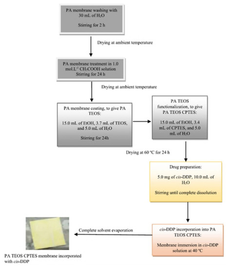
- De Souza, É.A.; Rocha, L.A.; de Faria, E.H.; Ciuffia, K.J.; Nassar, E.J.; Silva, J.V.L.; Oliveira, M.F.; Maia, I.A. Incorporation of the chemotherapy medication cisplatin into polyamide membrane. J. Inorg. Biochem. 2018, 180, 171–178. [Google Scholar] [CrossRef]
- Shen, J.; Li, Y.; Zuo, Y.; Zou, Q.; Li, J.; Huang, D.; Wang, X.J. Characterization and cytocompatibility of surface modified polyamide66. Biomed. Mater. Res. Part. B 2009, 91, 897. [Google Scholar] [CrossRef]
- Irvine, D.J.; Dane, E.L. Enhancing cancer immunotherapy with nanomedicine. Nat. Rev. Immunol. 2020, 20, 321–334. [Google Scholar] [CrossRef] [PubMed]
- Parthiban, V.; Yen, P.Y.M.; Uruma, Y.; Lai, P.-S. Designing synthetic glycosylated photosensitizers for photodynamic therapy. Bull. Chem. Soc. Jpn. 2020, 93, 978–984. [Google Scholar] [CrossRef]
- Bayda, S.; Adeel, M.; Tuccinardi, T.; Cordani, M.; Rizzolio, F. The history of nanoscience and nanotechnology: From chemical–physical applications to nanomedicine. Molecules 2020, 25, 112. [Google Scholar] [CrossRef] [PubMed] [Green Version]








































| Platinum Drug | Organosilicon Nanocarrier | Other Ligand/Carrier/Drug | Targeting Ligand | Cell Line/IC50 | Size (nm) | Refs. |
|---|---|---|---|---|---|---|
| cisPt(IV) | polysilsesquioxane system | PEG | A549/14.91 μM NCI-H460/2.07 μM | 150.3 ± 5 | [18] | |
| cisPt(IV) | MNS | mPEG2k | lactose (LA) | HepG-2/10.46 μM normal fibroblast L929 cells | - | [22] |
| cisPt(IV) | MNS | FITC | HeLa/0.22 μM A549/1.07 μM MCF-7/0.38 μM | ~2 nm | [38] | |
| cisPt(IV) | MSGNR | β-cyclodextrin, AlPcS4, Ad-PEG, Ad-LA | HepG2 COS7 normal cells | ~14 nm (MSGNR) | [42] | |
| cisPt(IV) | UCNPs@SiO2 | bridge peptide sequence (KKKKKC), oligo(ethyl glycol) (dPEG6) | A2780 A2780cis | - | [44] | |
| hydrated cisplatin prodrugs | MSN | polyacrylamide, doxorubicin | HeLa/0.208 μM(24 h) A357/<0.080 μM(24 h) | 291 nm | [46] | |
| cis-diaquadiamino platinum(II) | mesoporous magnetic silica nanoparticles | A2780 | 225 ± 23 nm | [49] | ||
| cis-diaquadiamino platinum(II) | CoFe2O4 encapsulating silica NPs | rhodamine isothiocyanate (RITC) | folic acid (FA) | HeLa (FR+Ve)/3.0 μg/mL HaCat (FR−ve)/4.6 μg/mL 3T3/7.2 μg/mL | 96 nm | [50] |
| oxaliplatin | MSN-COOH | HepG-2 | [51] | |||
| cisplatin | Fe3O4@SiO2@Au NPs | SW480 SW620 | below 40 nm (Fe3O4@SiO2@Au) | [52] |
| Platinum Drug | Organosilicon Nanocarrier | Other Ligand/Carrier/Drug | Targeting Ligand | Cell line/IC50 | Size (nm) | Refs. |
|---|---|---|---|---|---|---|
| cisplatin | amine-functionalized mesoporous silica (AMS) | nitric oxide | H596/45.3 μM A549/69.1 μM WI-38/58.6 μM BEAS2B/9.1 μM | ~50 nm (AMS) | [64] | |
| cisplatin | MSN-PEG MSN-PEI MSN-SH | - | ~140 nm (nanocarriers) | [68] | ||
| cisplatin | MSN (containing thiol groups) | 6-mercaptopurine | - | 98 nm–115 nm | [71] | |
| cisplatin | MSN | PEG-PDS | peptide Arg-Gly-Asp-D -Phe-Cys (cRGDfC) | KB cells | ~200 nm (nanocarrier) | [72] |
| cisplatin | MSN-NH2 | Polyelectrolyte: cationic poly (allylamine hydrochloride) and negatively charged P(DMA-co-TPAMA), model drug-rhodamine | - | ~150 nm (MSN-NH2) | [73] | |
| cisplatin | MSNP SiNP | C6 | ~100 nm | [74] | ||
| carboplatin, oxaliplatin, cisplatin | MSN | DOPC lipid 165Ho | - | 82 nm (165Ho-MS) | [63] | |
| activated Pt drugs | MSN | PEG | - | - | [77] | |
| cisplatin | MSN | poly[(N-isopropylacrylamide)-co-(methacrylic acid)] | folic acid | Hep2 | - | [82] |
| cisplatin | MSN | folic acid | LN18/149 μg/mL | 100 nm (MNS) | [84] | |
| cisplatin | MSN | vitamin B12 | - | 316 ± 6 | [85] | |
| cisplatin | MSN | polyethyleneimine HNF4α | CD133− and CD133+ Huh7 cells | 243.1 nm | [91] | |
| cisplatin | MSN | doxorubicin, bovine serum albumin | cyclodextrin and folic acid | HeLa | 173 ± 9 nm | [92] |
| cisplatin | layer of microporous silica and tetrasulfide-bridged organic silica | acriflavine mPEG-silane | A549 | - | [96] | |
| cisplatin | MSN functionalized with APTES and glutaraldehyde | collagen | A549 | 189.6 ± 5.2 nm | [97] | |
| cisplatin | MSN | aluminum chloride phthalocyanine | HeLa/4.2 µM | 96.5 ± 10.5 (MNS) 112.7 ± 19.5 (AlClPc/cisplatin-MSNs) | [99] | |
| cisplatin | monodisperse spherical hydrophilic silica (HYPS) | CuFe2O4 | MCF-7 | 80 nm (HYPS) | [101] | |
| cisplatin | mesoporous silica | magnetic particles (Fe3O4), PEG | HeLa MCF-7 | 50 nm | [103] | |
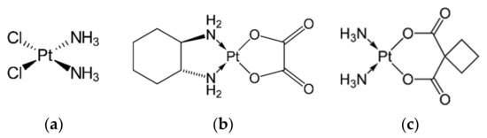
| cisplatin | polyamide membranes | GM07492A/23.95 μgM | [104] |
Publisher’s Note: MDPI stays neutral with regard to jurisdictional claims in published maps and institutional affiliations. |
© 2021 by the authors. Licensee MDPI, Basel, Switzerland. This article is an open access article distributed under the terms and conditions of the Creative Commons Attribution (CC BY) license (https://creativecommons.org/licenses/by/4.0/).
Share and Cite
Piorecka, K.; Kurjata, J.; Stanczyk, W.A. Nanoarchitectonics: Complexes and Conjugates of Platinum Drugs with Silicon Containing Nanocarriers. An Overview. Int. J. Mol. Sci. 2021, 22, 9264. https://doi.org/10.3390/ijms22179264
Piorecka K, Kurjata J, Stanczyk WA. Nanoarchitectonics: Complexes and Conjugates of Platinum Drugs with Silicon Containing Nanocarriers. An Overview. International Journal of Molecular Sciences. 2021; 22(17):9264. https://doi.org/10.3390/ijms22179264
Chicago/Turabian StylePiorecka, Kinga, Jan Kurjata, and Wlodzimierz A. Stanczyk. 2021. "Nanoarchitectonics: Complexes and Conjugates of Platinum Drugs with Silicon Containing Nanocarriers. An Overview" International Journal of Molecular Sciences 22, no. 17: 9264. https://doi.org/10.3390/ijms22179264
APA StylePiorecka, K., Kurjata, J., & Stanczyk, W. A. (2021). Nanoarchitectonics: Complexes and Conjugates of Platinum Drugs with Silicon Containing Nanocarriers. An Overview. International Journal of Molecular Sciences, 22(17), 9264. https://doi.org/10.3390/ijms22179264

