Effect of Extreme Ultraviolet (EUV) Radiation and EUV Induced, N2 and O2 Based Plasmas on a PEEK Surface’s Physico-Chemical Properties and MG63 Cell Adhesion
Abstract
:1. Introduction
2. Results and Discussion
2.1. Changes in Surface Morphology of the PEEK Surfaces
2.2. Chemical Analysis of Non-Modified and Modified PEEK Surfaces
- C-C=C (C1)—at 284.8 eV (FWHM 1.3 eV) represents the structure in carbon rings (carbon atoms marked as 1 in Figure 3).
- C*-O-C* (C2)—at 286.4 eV (FWHM 1.6–1.7 eV)—carbon atoms marked with 2 on Figure 3.
- C*=O (C3)—at 286.7 eV (FWHM 1.7–1.8 eV)—carbon atoms marked with 3 on Figure 3.
- O*=C (O1)—at 531.1 eV (FWHM 1.5 eV).
- C-O*-C (O2)—at 533.2 eV (FWHM 1.6 eV).

- C sp2 (C4)—at 284.4 eV (FWHM 1.4 eV)—as this peak is shifted to lower binding energies than the C1 peak associated with the carbon ring of the non-modified material, it was considered that it is highly probable that the C4 peak represents carbon rings in which hydrogen and oxygen atoms have been detached. Therefore, the structure formed on the modified surface obtained the characteristics of a graphite material, which is described as carbon in the form of sp2.
- C*-COO (C5)—at 285.4–285. eV (FWHM 1.4–1.5 eV)—this peak is related to secondary chemical shifts. It is most probably a result of the break of the bonds between atoms marked as 3 and 2 (Figure 3), which linked adjacent carbon rings.
- C*-N (C6)—at 286.4–286.5 eV (FWHM 1.5–1.6 eV)—this peak is related to the incorporation of nitrogen atoms into the PEEK structure being the result of break of the bonds of the carbon marked as 2 or 3 (Figure 3) and introduction of nitrogen atoms in that place.
- C*-OH (C7)—at 286.7–286.9 eV (FWHM 1.5–1.6 eV)—this peak is related to the OH groups formed on the surface of modified PEEK, connected with carbon atoms.
- O-C*-O (C8)—at 287.5–287.6 eV (FWHM 1.3–1.6 eV)—the peak is most likely the result of breaking the bond between the carbon marked as 3 (Figure 3) and the carbon ring. The empty bond is then filled with an oxygen atom.
- O=C*-O (C9)—at 288.0–288.1 eV (FWHM 1.5–1.7 eV)—according to the literature [36], this peak’s position corresponds the most to the carbon atom structure presented bonded with two oxygen atoms. A structure like this most probably forms as a result of breaking bonds between carbon atoms, marked with 3 and 1, and attaching at that place an additional oxygen atom.
- N-C*=O (C10)—at 288.1–288.2 eV (FWHM 1.6–1.7 eV)—the peak most probably formed as a result of carbon bond breaking (carbon marked as 3—Figure 3) and filling it with a nitrogen atom.
- C*=O(OH) (C11)—at 288.9–289.2 eV (FWHM 1.4–1.7 eV)—the peak most probably formed as a result of breaking the bond between the atom marked as 3 (Figure 3) and the carbon ring and then attaching the OH group to the carbon atom marked as 3.
- C*-OON (C12)—at 289.4–289.5 eV (FWHM 1.3–1.5 eV)—due to a huge chemical shift of this peak relative to the C1 peak, it was assumed that this structure most probably contains two oxygen atoms and a single nitrogen atom. The proof for the presence of this peak is a huge change of the shape of the C1s’ envelope around the binding energy values of 289.3–289.5 eV. The presence of the peak is also confirmed by the incorporation of nitrogen atoms.
- C* -(=O)-O-C=O (C13)—at 290.2–290.3 eV (FWHM 1.5–1.6 eV)—as the peak is strongly shifted towards higher binding energy, its position most probably represents this structure [36].
- O-C*(=O)-O (C14)—at 291.0–291.3 eV (FWHM 1.4–1.5 eV)—this peak is the most shifted towards higher binding energy. According to the literature, such position of this peak indicates that the carbon atom must be bonded with three oxygen atoms and must be double-bonded with at least one of them [36].
- N*-C (N1)—at 399.3–399.4 eV (FWHM 2.1 eV)—this peak corresponds to C6.
- N*-C=O (N2)—at 400.2–400.3 eV (FWHM 1.8 eV)—this peak corresponds to C10.
- N*-x (N3)—at 400.9–401.1 eV (FWHM 2.1 eV)—this peak is difficult to interpret in undisputable manner. Referring to the examinations of the reference polymers which contain nitrogen atoms (nylon, PU, Kapton) and confronting with literature data, one can assume these are nitrogen atoms bonded with carbon atoms forming chemical bonds with at least two oxygen atoms.
- C-O*-H (O3)—at ~531.9–532.1 eV (FWHM 1.4 eV)—this peak corresponds with the C*-OH group (C7). The OH group can be formed as a result of the oxygen plasma modification as well as due to filling empty bonds in the material structure after taking the sample out from the vacuum chamber (the reaction of water vapor from the atmosphere with the reactive PEEK surface).
- N-C=O* (O4)—at 532.2 eV (FWHM 1.5–1.6 eV)—this peak corresponds to C10.
- OH (water) (O5)—at 534.2–535.5 eV (FWHM 1.6–1.8 eV)—this peak most probably comes from OH groups of the water adsorbed on the surface of the sample after it has been taken from the vacuum.
- O=C-O* (O6)—at 534.2–534.3 eV (FWHM 1.8–1.9 eV)—this peak position corresponds to the oxygen atoms single-bonded with carbon atom which is double bonded with another oxygen atom. A structure like this can be formed as a result of breaking one of the carbon atoms bonds, marked as 3, in the PEEK chemical structure (Figure 3) and placing an oxygen atom in this place.
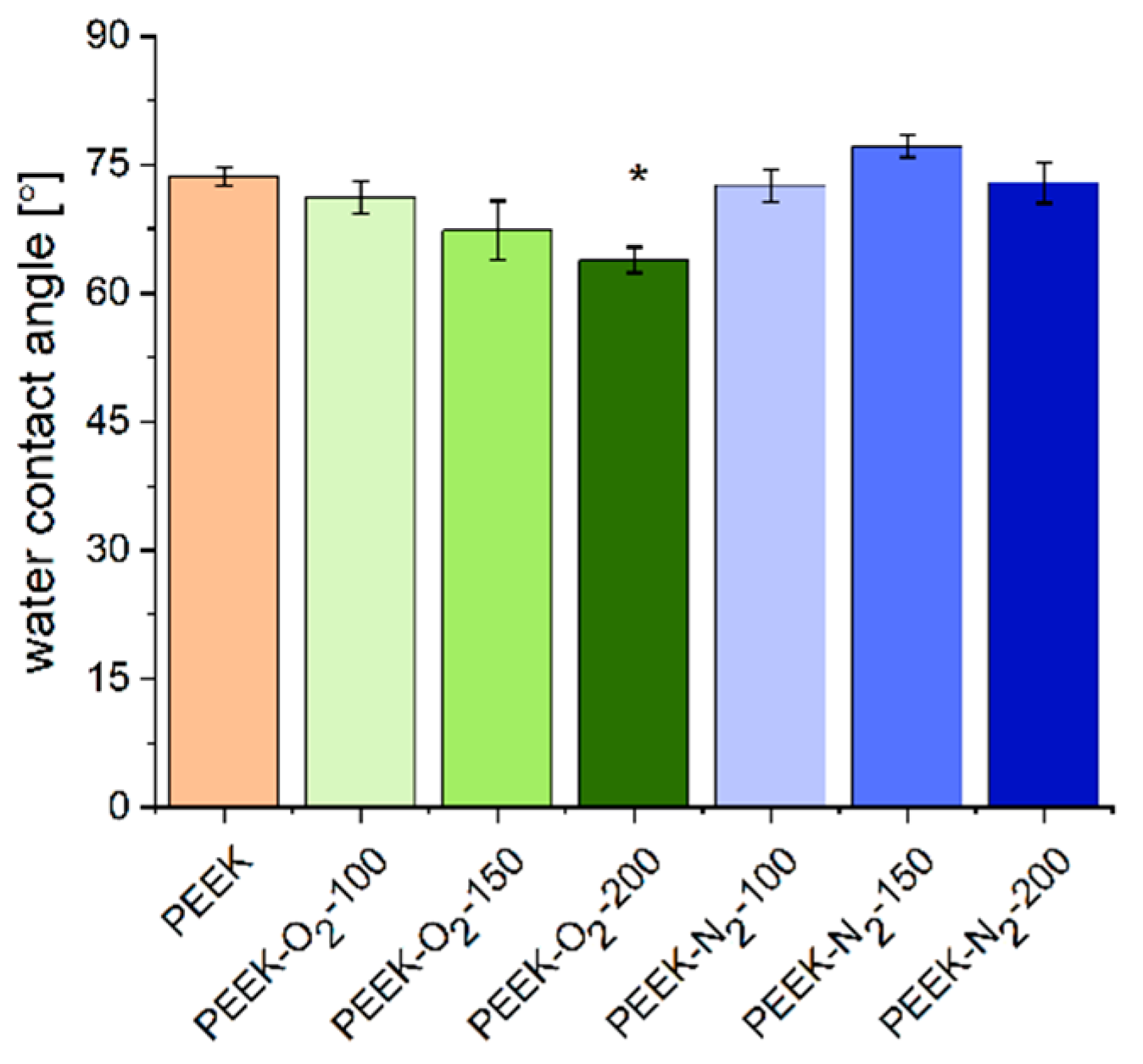
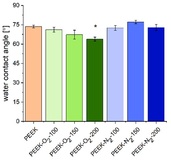
2.3. Wettability
2.4. Cell Adhesion and Viability
3. Materials and Methods
3.1. Modifications of PEEK Foils
3.2. Characterization of PEEK Surfaces
3.2.1. Atomic Force Microscopy (AFM) and Scanning Electron Microscopy (SEM)
3.2.2. X-ray Photoelectron Spectroscopy (XPS)
3.2.3. Water Contact Angle
3.3. Cell Culture and Viability Tests
3.3.1. Cell Culture
3.3.2. Cell Viability
- FI sample–fluorescence intensity of the sample after 24 h of culturing,
- FI control–fluorescence intensity of the control after 24 h of a culturing.
3.4. Cell Adhesion
3.5. Statistical Analysis
4. Conclusions
Author Contributions
Funding
Acknowledgments
Conflicts of Interest
References
- Toth, J.M.; Wang, M.; Estes, B.T.; Scifert, J.L.; Seim, H.B.; Turner, A.S. Polyetheretherketone as a biomaterial for spinal applications. Biomaterials 2006, 27, 324–334. [Google Scholar] [CrossRef] [PubMed] [Green Version]
- Kurtz, S.M.; Devine, J.N. PEEK biomaterials in trauma, orthopedic, and spinal implants. Biomaterials 2007, 28, 4845–4869. [Google Scholar] [CrossRef] [Green Version]
- Reisinger, B.; Fahrner, M.; Frischauf, I.; Yakunin, S.; Švorcík, V.; Fiedorowicz, H.; Bartnik, A.; Romanin, C.; Heitz, J. EUV micropatterning for biocompatibility control of PET. Appl. Phys. A 2010, 100, 511–516. [Google Scholar] [CrossRef]
- Czwartos, J.; Budner, B.; Bartnik, A.; Kasprzycka, W.; Fiedorowicz, H. Effect of photoionized plasma and EUV induced surface modification on physico-chemical properties and cytocompatibility of PLLA. Express Polym. Lett. 2020, 14, 1063–1077. [Google Scholar] [CrossRef]
- Jafari, S.; Hosseini Salekdeh, S.S.; Solouk, A.; Yousefzadeh, M. Electrospun polyethylene terephthalate (PET) nanofibrous conduit for biomedical application. Polym. Adv. Technol. 2020, 31, 284–296. [Google Scholar] [CrossRef]
- Slepicka, P.; Slepicková Kasálková, N.; Pinkner, A.; Sajdl, P.; Kolská, Z.; Švorcík, V. Plasma induced cytocompatibility of stabilized poly-L-lactic acid doped with graphene nanoplatelets. React. Funct. Polym. 2018, 131, 266–275. [Google Scholar] [CrossRef]
- Fajstavrova, K.; Rimpelova, S.; Fajstavr, D.; Svorcik, V.; Slepicka, P. Cell behavior of primary fibroblasts and osteoblasts on plasma-treated fluorinated polymer coated with honeycomb polystyrene. Materials 2021, 14, 889. [Google Scholar] [CrossRef] [PubMed]
- Ding, R.; Chen, T.; Xu, Q.; Wei, R.; Feng, B.; Weng, J.; Duan, K.; Wang, J.; Zhang, K. Mixed modification of the surface microstructure and chemical state of polyetheretherketone to improve its antimicrobial activity, hydrophilicity, cell adhesion, and bone integration. ACS Biomater. Sci. Eng. 2020, 6, 842–851. [Google Scholar] [CrossRef] [PubMed]
- Wang, W.; Luo, C.J.; Huang, J.; Edirisinghe, M. PEEK surface modification by fast ambient-temperature sulfonation for bone implant applications. J. R. Soc. Interface 2019, 16, 20180955. [Google Scholar] [CrossRef]
- Durham, J.W., III; Montelongo, S.A.; Ong, J.L.; Guda, T.; Allen, M.J.; Rabiei, A. Hydroxyapatite coating on PEEK implants: Biomechanical and histological study in a rabbit model. Mater. Sci. Eng. C 2016, 68, 723–731. [Google Scholar] [CrossRef] [Green Version]
- Barkarmo, S.; Wennerberg, A.; Hoffman, M.; Kjellin, P.; Breding, K.; Handa, P.; Stenport, V. Nano-hydroxyapatite-coated PEEK implants: A pilot study in rabbit bone. J. Biomed. Mater. Res. A 2013, 101, 465–471. [Google Scholar] [CrossRef]
- Wilson, A.; Jones, I.; Salmat-Zadeh, F.; Watts, J.F. Laser surface modification of poly(etheretherketone) to enhance surface free energy, wettability and adhesion. Int. J. Adhes. Adhes. 2015, 62, 69–77. [Google Scholar] [CrossRef] [Green Version]
- Riveiro, A.; Soto, R.; Comesana, R.; Boutinguiza, M.; del Val, J.; Quintero, F.; Lusquinos, F.; Pou, J. Laser surface modification of PEEK. Appl. Surf. Sci. 2012, 258, 9437–9442. [Google Scholar] [CrossRef]
- Novotna, Z.; Reznickova, A.; Rimpelova, S.; Vesely, M.; Kolska, Z.; Svorcik, V. Tailoring of PEEK bioactivity for improved cell interaction: Plasma treatment in action. RSC Adv. 2015, 5, 41428–41436. [Google Scholar] [CrossRef] [Green Version]
- Briem, D.; Strametz, S.; Schröder, K.; Meenen, N.M.; Lehmann, W.; Linhart, W.; Ohl, A.; Rueger, M.J. Response of primary fibroblasts and osteoblasts to plasma treated polyetheretherketone (PEEK) surfaces. J. Mater. Sci. Mater. Med. 2005, 16, 671–677. [Google Scholar] [CrossRef]
- Liu, C.; Bai, J.; Wang, Y.; Chen, L.; Wang, D.; Ni, S.; Liu, H. The effects of three cold plasma treatments on the osteogenic activity and antibacterial property of PEEK. Dent. Mater. 2021, 37, 81–93. [Google Scholar] [CrossRef] [PubMed]
- Fu, Q.; Gabriel, M.; Schmidt, F.; Muller, W.-D.; Schwitalla, A.D. The impact of different low-pressure plasma types on the physical, chemical and biological surface properties of PEEK. Dent. Mater. 2021, 37, e15–e22. [Google Scholar] [CrossRef] [PubMed]
- Fedel, M.; Micheli, V.; Thaler, M.; Awaja, F. Effect of nitrogen plasma treatment on the crystallinity and self-bonding of polyetheretherketone (PEEK) for biomedical applications. Polym. Adv. Technol. 2020, 31, 240–247. [Google Scholar] [CrossRef] [PubMed] [Green Version]
- Wiącek, A.E.; Terpiłowski, K.; Jurak, M.; Worzakowska, M. Effect of low-temperature plasma on chitosan-coated PEEK polymer characteristics. Eur. Polym. J. 2016, 78, 1–13. [Google Scholar] [CrossRef]
- Dupuis, A.; Ho, T.H.; Fahs, A.; Lafabrier, A.; Louarn, G.; Bacharouche, J.; Airoudj, A.; Aragon, E.; Chailan, J.-F. Improving adhesion of powder coating on PEEK composite: Influence of atmospheric plasma parameters. Appl. Surf. Sci. 2015, 357, 1196–1204. [Google Scholar] [CrossRef]
- Gravis, D.; Poncin-Epaillard, F.; Coulon, J.-F. Correlation between the surface chemistry, the surface free energy and the adhesion of metallic coatings onto plasma-treated Poly(ether ether ketone). Appl. Surf. Sci. 2020, 501, 144242. [Google Scholar] [CrossRef]
- Wang, Y.; Liu, C.; Chen, L.; Bai, J.; Wang, D.; Gan, K.; Liu, H. The effect of nitrogen plasma treatment on adhesive properties of PEEK. J. Adhes. Sci. Technol. 2020, 34, 2672–2682. [Google Scholar] [CrossRef]
- Bartnik, A.; Fiedorowicz, H.; Jarocki, R.; Kostecki, J.; Szczurek, M.; Wachulak, P.W. Laser-plasma EUV source dedicated for surface processing of polymers. Nucl. Instrum. Methods Phys. Res. A 2011, 647, 125–131. [Google Scholar] [CrossRef]
- Ahad, I.U.; Butruk, B.; Ayele, M.; Budner, B.; Bartnik, A.; Fiedorowicz, H.; Ciach, T.; Brabazon, D. Extreme ultraviolet (EUV) surface modification of polytetrafluoroethylene (PTFE) for control of biocompatibility. Nucl. Instrum. Methods Phys. Res. B 2015, 364, 98–107. [Google Scholar] [CrossRef] [Green Version]
- Hopp, B.; Bor, Z.; Homolya, E.; Mihalik, E. Investigation of conical structures created by ArF excimer laser irradiation of polycarbonate. Appl. Surf. Sci. 1997, 109, 232–235. [Google Scholar] [CrossRef]
- Dyer, P.E.; Jenkins, S.D.; Sidhu, J. Development and origin of conical structures on XeCl laser ablated polyimide. Appl. Phys. Lett. 1986, 49, 453–455. [Google Scholar] [CrossRef]
- Hopp, B.; Bor, Z.; Homolya, E.; Mihalik, E. Conical structures produced by excimer laser irradiation of polymers. Proc. SPIE 1998, 3423, 389–393. [Google Scholar] [CrossRef]
- Krajnovich, D.J.; Vazquez, J.M. Formation of “intrinsic” surface defects during 248 nm photoablation of polyimide. J. Appl. Phys. 1993, 73, 3001–3008. [Google Scholar] [CrossRef]
- Murthy, N.S.; Prabhu, R.D.; Martin, J.J.; Zhou, L.; Headrick, R.L. Self-assembled and etched cones on laser ablated polymer surfaces. J. Appl. Phys. 2006, 100, 023538:1–023538:12. [Google Scholar] [CrossRef]
- Bartnik, A.; Fiedorowicz, H.; Jarocki, R.; Kostecki, J.; Rakowski, R.; Szczurek, A.; Szczurek, M. Micro- and Nanoprocessing of Polymers Using a Laser Plasma Extreme Ultraviolet Source. Acta Phys. Pol. A 2010, 117, 384–390. [Google Scholar] [CrossRef]
- Bartnik, A.; Fiedorowicz, H.; Jarocki, R.; Kostecki, J.; Szczurek, M. PMMA and FEP surface modifications induced with EUV pulses in two selected wavelength ranges. Appl. Phys. A 2010, 98, 61–65. [Google Scholar] [CrossRef]
- Bartnik, A.; Fiedorowicz, H.; Jarocki, R.; Kostecki, J.; Szczurek, M.; Bilinski, A.; Chernyayeva, O.; Sobczak, J.W. Physical and chemical modifications of PET surface using a laser-plasma EUV source. Appl. Phys. A 2010, 99, 831–836. [Google Scholar] [CrossRef]
- Bartnik, A.; Fiedorowicz, H.; Burdyńska, S.; Jarocki, R.; Kostecki, J.; Szczurek, M. Combined effect of EUV irradiation and acetone treatment on PET surface. Appl. Phys. A 2011, 103, 173–178. [Google Scholar] [CrossRef]
- Lippert, T. Laser Application of Polymers. Adv. Polym. Sci. 2004, 168, 51–246. [Google Scholar] [CrossRef]
- Czwartos, J.; Budner, B.; Bartnik, A.; Wachulak, P.; Fiedorowicz, H.; Mierczyk, Z. Physico-chemical Surface modifications of polyetheretherketone (PEEK) using extreme ultraviolet (EUV) radiation and EUV induced nitrogen plasma. Materials 2020, 13, 4466. [Google Scholar] [CrossRef]
- Briggs, D. Surface Analysis of Polymers by XPS and Static SIMS; Cambridge University Press: Cambridge, UK, 1998. [Google Scholar]
- Chen, M.; Ouyang, L.; Lu, T.; Wang, H.; Meng, F.; Yang, Y.; Ning, C.; Ma, J.; Liu, X. Enhanced Bioactivity and Bacteriostasis of Surface Fluorinated Polyetheretherketone. ACS Appl. Mater. Interfaces 2017, 9, 16824–16833. [Google Scholar] [CrossRef]
- Terpiłowski, K.; Wiącek, A.E.; Jurak, M. Influence of nitrogen plasma treatment on the wettability of polyetheretherketone and deposited chitosan layers. Adv. Polym. Technol. 2018, 37, 1557–1569. [Google Scholar] [CrossRef] [Green Version]
- Lech, A.; Butruk-Raszeja, B.A.; Ciach, T.; Ławniczak-Jabłońska, K.; Kuźmiuk, P.; Bartnik, A.; Wachulak, P.; Fiedorowicz, H. Surface Modification of PLLA, PTFE and PVDF with Extreme Ultraviolet (EUV) to Enhance Cell Adhesion. Int. J. Mol. Sci. 2020, 21, 9679. [Google Scholar] [CrossRef] [PubMed]
- Boespflug, G.; Maire, M.; De Crescenzo, G.; Lerouge, S.; Wertheimer, M.R. Characterization and comparison of N-, O-, and N+O-functionalized polymer surfaces for efficient (HUVEC) endothelial cell colonization. Plasma Process. Polym. 2017, 14, 1–11. [Google Scholar] [CrossRef]
- Girard-Lauriault, P.-L.; Mwale, F.; Iordanova, M.; Demers, C.; Desjardins, P.; Wertheimer, M.R. Atmospheric pressure deposition of micropatterned nitrogen-rich plasma-polymer films for tissue engineering. Plasma Process. Polym. 2005, 2, 263–270. [Google Scholar] [CrossRef]
- Girard-Lauriault, P.-L.; Truica-Marasescu, F.; Petit, A.; Wang, H.T.; Desjardins, P.; Antoniou, J.; Mwale, A.; Wertheimer, M.R. Adhesion of human U937 monocytes to nitrogen-rich organic thin films: Novel insights into the mechanism of cellular adhesion. Macromol. Biosci. 2009, 9, 911–921. [Google Scholar] [CrossRef]
- Zhang, W.; Luo, Y.; Wang, H.; Jiang, J.; Pu, S.; Chu, P.K. Ag and Ag/N2 plasma modification of polyethylene for the enhancement of antibacterial properties and cell growth/proliferation. Acta Biomater. 2008, 4, 2028–2036. [Google Scholar] [CrossRef] [PubMed]
- Ertel, S.I.; Ratner, B.D.; Horbett, T.A. Radiofrequency plasma deposition of oxygen-containing films on polystyrene and poly(ethylene terephthalate) substrates improves endothelial cell growth. J. Biomed. Mater. Res. 1990, 24, 1637–1659. [Google Scholar] [CrossRef]
- Vroman, L.; Adams, A.L.; Fischer, G.C.; Munoz, P.C. Interaction of high molecular weight kininogen, factor XII, and fibrinogen in plasma at interfaces. Blood 1980, 55, 156–159. [Google Scholar] [CrossRef] [PubMed] [Green Version]
- Steele, J.G.; Johnson, G.; McFarland, C.; Dalton, B.A.; Gengenbach, T.R.; Chatelier, R.C.; Underwood, P.A.; Giesse, H.J. Roles of serum vitronectin and fibronectin in initial attachment of human vein endothelial cells and dermal fibroblasts on oxygen- and nitrogen-containing surfaces made by radiofrequency plasmas. J. Biomater. Sci. Polym. 1995, 6, 511–532. [Google Scholar] [CrossRef]
- Awaja, F.; Bax, D.V.; Zhang, S.; James, N.; McKenzie, D.R. Cell adhesion to PEEK treated by plasma immersion ion implantation and deposition for active medical implants. Plasma Process. Polym. 2012, 9, 355–362. [Google Scholar] [CrossRef]
- Wang, H.; Lu, T.; Meng, F.; Zhu, H.; Liu, X. Enhanced osteoblast responses to poly ether ether ketone surface modified by water plasma immersion ion implantation. Colloids Surf. B Biointerfaces 2014, 117, 89–97. [Google Scholar] [CrossRef] [PubMed]
- Poulsson, A.H.C.; Eglin, D.; Zeiter, S.; Camenisch, K.; Sprecher, C.; Agarwal, Y.; Nehrbass, D.; Wilson, J.; Richards, R.G. Osseointegration of machined, injection moulded and oxygen plasma modified PEEK implants in a sheep model. Biomaterials 2014, 35, 3717–3728. [Google Scholar] [CrossRef]
- Bartnik, A.; Lisowski, W.; Sobczak, J.; Wachulak, P.; Budner, B.; Korczyc, B.; Fiedorowicz, H. Simultaneous treatment of polymer surface by EUV radiation and ionized nitrogen. Appl. Phys. A 2021, 109, 39–43. [Google Scholar] [CrossRef] [Green Version]











| Symbol of the Peak | Chemical Group | Position [eV] | FWHM [eV] | PEEK [at.%] | PEEK -N2- 100 [at.%] | PEEK -N2- 150 [at.%] | PEEK -N2- 200 [at.%] | PEEK -O2- 100 [at.%] | PEEK -O2- 150 [at.%] | PEEK -O2- 200 [at.%] |
|---|---|---|---|---|---|---|---|---|---|---|
| C1 | C-C=C | 284.8 | 1.3 | 62.3 | 15.7 | 22.2 | 15.5 | 10.7 | 10.9 | 7.2 |
| C2 | C*-O-C* | 286.4 | 1.6–1.7 | 19.9 | 11.1 | 7.4 | 4.9 | 14.9 | 8.9 | 6.3 |
| C3 | C=O | 286.7 | 1.7–1.8 | 4.0 | 1.4 | 1.3 | 2.2 | 0.9 | 0.6 | 0.5 |
| C4 | C sp2 | 284.4 | 1.4 | - | 15.9 | 9.2 | 13.5 | |||
| C5 | C*-COO | 285.4–285.8 | 1.4–1.5 | - | 30.9 | 32.1 | 26.7 | 36.3 | 12.2 | 15.2 |
| C6 | C*-N | 286.4–286.5 | 1.5–1.6 | - | 2.8 | 5.0 | 8.6 | |||
| C7 | C*-OH | 286.7–286.9 | 1.5–1.6 | 8.4 | 29.6 | 25.0 | ||||
| C8 | O-C*-O | 287.5–287.6 | 1.3–1.6 | - | 4.4 | 3.0 | 2.5 | 2.4 | 2.7 | 9.2 |
| C9 | O=C*-O | 288.0–288.1 | 1.5–1.7 | 3.1 | 3.5 | 4.1 | ||||
| C10 | N-C*=O | 288.1-288.2 | 1.6–1.7 | - | 0.7 | 1.9 | 3.0 | |||
| C11 | C*=O(OH) | 288.9–289.2 | 1.4–1.7 | - | 1.5 | 1.3 | 1.2 | 1.2 | 2.5 | 2.3 |
| C12 | C*-OON | 289.4–289.5 | 1.3–1.5 | - | - | 0.3 | 0.4 | |||
| C13 | C*(=O)-O-C=O | 290.2–290.3 | 1.5–1.6 | 1.4 | 3.2 | 3.8 | ||||
| C14 | O-C*-O(=O) | 291.0–291.3 | 1.4–1.5 | 0.2 | 0.5 | 0.8 | ||||
| N1 | N*-C | 399.3–399.4 | 2.1 | - | 2.8 | 5.0 | 8.6 | |||
| N2 | N*-C=O | 400.2–400.3 | 1.8 | - | 0.7 | 1.9 | 3.0 | |||
| N3 | N*-x | 400.9–401.1 | 2.1 | - | 2.0 | 0.5 | 0.7 | |||
| O1 | O*=C | 531.1 | 1.5 | 4.0 | 1.4 | 1.3 | 2.2 | 0.9 | 0.6 | 0.5 |
| O2 | C-O*-C | 533.2 | 1.6 | 9.9 | 5.5 | 3.7 | 2.4 | 7.5 | 4.4 | 3.2 |
| O3 | C-O*H | 531.9–532.1 | 1.4 | - | 1.5 | 1.3 | 1.2 | 1.7 | 0.7 | 0.7 |
| O4 | N-C=O* | 532.2 | 1.5–1.6 | - | 0.7 | 1.9 | 3.0 | |||
| O5 | OH (water) | 534.2–535.5 | 1.6–1.8 | - | 1.1 | 1.0 | 0.6 | 0.5 | 5.6 | 7.6 |
| O6 | O=C-O* | 534.2–534.3 | 1.8–1.9 | - | - | 10.0 | 14.1 | 13.7 |
| Elements | PEEK [at.%] | PEEK-N2-100 [at.%] | PEEK-N2-150 [at.%] | PEEK-N2-200 [at.%] | PEEK-O2-100 [at.%] | PEEK-O2-150 [at.%] | PEEK-O2-200 [at.%] |
|---|---|---|---|---|---|---|---|
| C | 86.2 | 84.4 | 83.7 | 78.5 | 79.5 | 74.6 | 74.4 |
| N | - | 5.5 | 7.4 | 12.3 | - | - | - |
| O | 13.9 | 10.2 | 9.2 | 9.4 | 20.6 | 25.4 | 25.7 |
Publisher’s Note: MDPI stays neutral with regard to jurisdictional claims in published maps and institutional affiliations. |
© 2021 by the authors. Licensee MDPI, Basel, Switzerland. This article is an open access article distributed under the terms and conditions of the Creative Commons Attribution (CC BY) license (https://creativecommons.org/licenses/by/4.0/).
Share and Cite
Czwartos, J.; Budner, B.; Bartnik, A.; Wachulak, P.; Butruk-Raszeja, B.A.; Lech, A.; Ciach, T.; Fiedorowicz, H. Effect of Extreme Ultraviolet (EUV) Radiation and EUV Induced, N2 and O2 Based Plasmas on a PEEK Surface’s Physico-Chemical Properties and MG63 Cell Adhesion. Int. J. Mol. Sci. 2021, 22, 8455. https://doi.org/10.3390/ijms22168455
Czwartos J, Budner B, Bartnik A, Wachulak P, Butruk-Raszeja BA, Lech A, Ciach T, Fiedorowicz H. Effect of Extreme Ultraviolet (EUV) Radiation and EUV Induced, N2 and O2 Based Plasmas on a PEEK Surface’s Physico-Chemical Properties and MG63 Cell Adhesion. International Journal of Molecular Sciences. 2021; 22(16):8455. https://doi.org/10.3390/ijms22168455
Chicago/Turabian StyleCzwartos, Joanna, Bogusław Budner, Andrzej Bartnik, Przemysław Wachulak, Beata A. Butruk-Raszeja, Adam Lech, Tomasz Ciach, and Henryk Fiedorowicz. 2021. "Effect of Extreme Ultraviolet (EUV) Radiation and EUV Induced, N2 and O2 Based Plasmas on a PEEK Surface’s Physico-Chemical Properties and MG63 Cell Adhesion" International Journal of Molecular Sciences 22, no. 16: 8455. https://doi.org/10.3390/ijms22168455
APA StyleCzwartos, J., Budner, B., Bartnik, A., Wachulak, P., Butruk-Raszeja, B. A., Lech, A., Ciach, T., & Fiedorowicz, H. (2021). Effect of Extreme Ultraviolet (EUV) Radiation and EUV Induced, N2 and O2 Based Plasmas on a PEEK Surface’s Physico-Chemical Properties and MG63 Cell Adhesion. International Journal of Molecular Sciences, 22(16), 8455. https://doi.org/10.3390/ijms22168455

