Photochemical Properties and Stability of BODIPY Dyes
Abstract
:1. Introduction
2. Materials and Methods
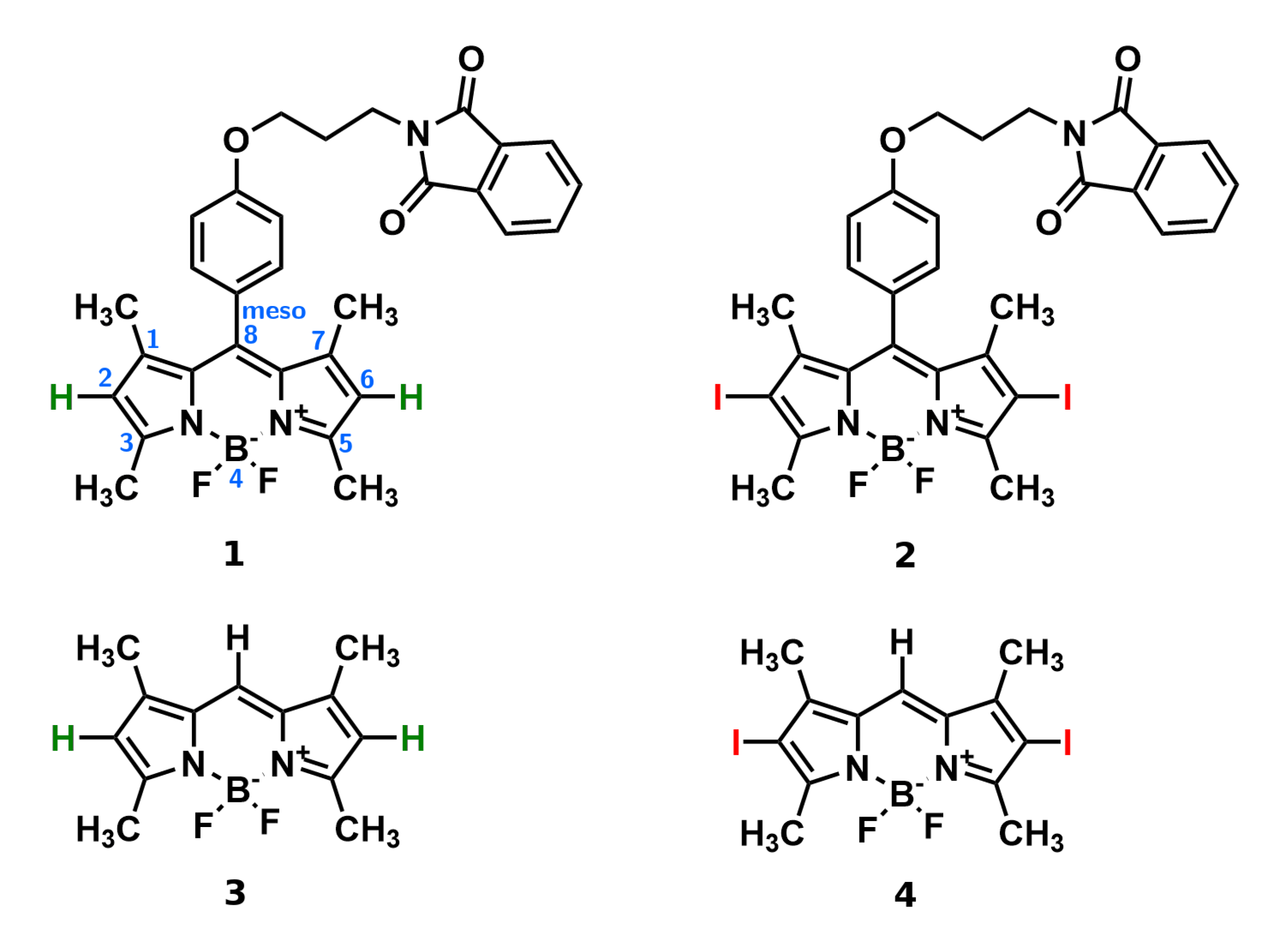
2.1. Materials
2.2. Methods
2.2.1. Spectral Properties
2.2.2. Photostability Studies
2.3. Computational Methodology
3. Results
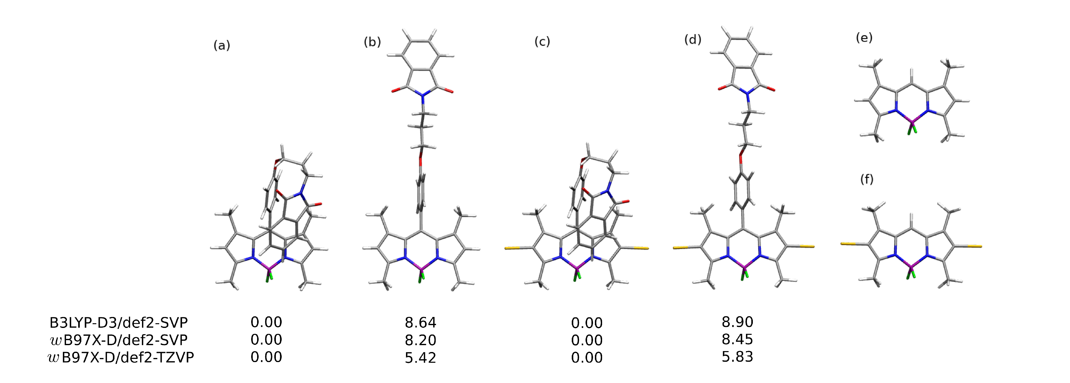
3.1. Geometrical Aspects of BOPIDY Structure
3.2. Absorption Spectroscopy
3.3. Emission Spectra
3.4. Photodegradation
4. Discussion
5. Conclusions
Supplementary Materials
Author Contributions
Funding
Institutional Review Board Statement
Informed Consent Statement
Data Availability Statement
Acknowledgments
Conflicts of Interest
References
- Wu, D.; Sedgwick, A.C.; Gunnlaugsson, T.; Akkaya, E.U.; Yoon, J.; James, T.D. Fluorescent chemosensors: The past, present and future. Chem. Soc. Rev. 2017, 46, 7105–7123. [Google Scholar] [CrossRef] [Green Version]
- Zhao, L.; Xiao, X.; Peng, L.; Gu, F.L.; Zhang, R.Q. Visible-light photocatalytic mechanism of bisphenol-A on nano-Bi2O3: A combined DFT calculation and experimental study. RSC Adv. 2014, 4, 10343. [Google Scholar] [CrossRef]
- Zhang, S.; Chen, J.; Zhao, Q.; Xie, Q.; Wei, X. Unveiling self-sensitized photodegradation pathways by DFT calculations: A case of sunscreen p-aminobenzoic acid. Chemosphere 2016, 163, 227. [Google Scholar] [CrossRef] [PubMed]
- Lan, M.; Zhao, S.; Liu, W.; Lee, C.; Zhang, W.; Wang, P. Photosensitizers for Photodynamic Therapy. Adv. Healthc. Mater. 2019, 8, 1900132. [Google Scholar] [CrossRef]
- Kwiatkowski, S.; Knapp, B.; Przystupski, D.; Saczko, J.; Kędzierska, E.; Knap-Czop, K.; Kotlińska, J.; Michel, O.; Kotowski, K.; Kulbacka, J. Photodynamic therapy—Mechanisms, photosensitizers and combinations. Biomed. Pharmacother. 2018, 106, 1098–1107. [Google Scholar] [CrossRef] [PubMed]
- Callaghan, S.; Senge, M.O. The good, the bad, and the ugly—Controlling singlet oxygen through design of photosensitizers and delivery systems for photodynamic therapy. Photochem. Photobiol. Sci. 2018, 17. [Google Scholar] [CrossRef] [PubMed]
- Prieto-Castañeda, R.P.A.; Sola-Llano, R.; Agarrabeitia, A.R.; García-Fresnadillo, D.; López-Arbeloa, I.; Villanueva, A.; Ortiz, M.J.; de la Moya, S.; Martínez-Martínez, V. Exploring BODIPY Derivatives as Singlet Oxygen Photosensitizers for PDT. Photochem. Photobiol. 2020, 96, 458–477. [Google Scholar] [CrossRef] [PubMed]
- Wolfbeis, O.S. An overview of nanoparticles commonly used in fluorescent bioimaging. Chem. Soc. Rev. 2015, 44, 4743–4768. [Google Scholar] [CrossRef] [Green Version]
- Treibs, A.; Kreuzer, F.H. Difluorboryl-Komplexe von Di- und Tripyrrylmethenen. J. Liebigs Ann. Chem. 1968, 718, 208–223. [Google Scholar] [CrossRef]
- Lu, H.; MacK, J.; Yang, Y.; Shen, Z. Structural modification strategies for the rational design of red/NIR region BODIPYs. Chem. Soc. Rev. 2014, 43, 4778–4823. [Google Scholar] [CrossRef] [PubMed] [Green Version]
- Loudet, A.; Burgess, K. BODIPY Dyes and Their Derivatives: Syntheses and Spectroscopic Properties. Chem. Rev. 2007, 107, 4891–4932. [Google Scholar] [CrossRef] [PubMed]
- Boens, N.; Verbelen, B.; Dehaen, W. Postfunctionalization of the BODIPY Core: Synthesis and Spectroscopy. Eur. J. Org. Chem. 2015, 2015, 6577–6595. [Google Scholar] [CrossRef] [Green Version]
- Lincoln, R.; Greene, L.E.; Zhang, W.; Louisia, S.; Cosa, G. Mitochondria Alkylation and Cellular Trafficking Mapped with a Lipophilic BODIPY-Acrolein Fluorogenic Probe. J. Am. Chem. Soc. 2017, 139, 16273–16281. [Google Scholar] [CrossRef]
- Zhang, X.; Xiao, Y.; Qi, J.; Qu, J.; Kim, B.; Yue, X.; Belfield, K.D. Long-wavelength, photostable, two-photon excitable BODIPY fluorophores readily modifiable for molecular probes. J. Org. Chem. 2013, 78, 9153–9160. [Google Scholar] [CrossRef]
- Turksoy, A.; Yildiz, D.; Akkaya, E.U. Photosensitization and controlled photosensitization with BODIPY dyes. Coord. Chem. Rev. 2019, 379, 47–64. [Google Scholar] [CrossRef]
- Awuah, S.G.; You, Y. Boron dipyrromethene (BODIPY)-based photosensitizers for photodynamic therapy. RSC Adv. 2012, 2, 11169. [Google Scholar] [CrossRef]
- Gupta, M.; Mula, S.; Ghanty, T.K.; Naik, D.B.; Ray, A.K.; Sharma, A.; Chattopadhyay, S. Structure and solvent-induced tuning of laser property and photostability of a boradiazaindacene (BODIPY) dye. J. Photochem. Photobiol. A Chem. 2017, 349, 162–170. [Google Scholar] [CrossRef]
- Lv, W.; Li, Y.; Li, F.; Lan, X.; Zhang, Y.; Du, L.; Zhao, Q.; Phillips, D.L.; Wang, W. Upconversion-like Photolysis of BODIPY-Based Prodrugs via a One-Photon Process. J. Am. Chem. Soc. 2019, 141, 45. [Google Scholar] [CrossRef]
- Ziems, K.; Gräfe, S.; Kupfer, S. Photo-Induced Charge Separation vs. Degradation of a BODIPY-Based Photosensitizer Assessed by TDDFT and RASPT2. Catalysts 2018, 8, 520. [Google Scholar] [CrossRef] [Green Version]
- Durantini, A.M.; Heredia, D.A.; Durantini, J.E.; Durantini, E.N. BODIPYs to the rescue: Potential applications in photodynamic inactivation. Eur. J. Med. Chem. 2018, 144, 651–661. [Google Scholar] [CrossRef]
- Palacios, Y.B.; Santamarina, S.C.; Durantini, J.E.; Durantini, E.N.; Durantini, A.M. BODIPYs bearing a dimethylaminopropoxy substituent for imaging and photodynamic inactivation of bacteria. J. Photochem. Photobiol. B Biol. 2020, 212, 112049. [Google Scholar] [CrossRef]
- Piskorz, J.; Dlugaszewska, J.; Porolnik, W.; Teubert, A.; Mielcarek, J. Boron-dipyrromethene derivatives bearing N-alkyl phthalimide and amine substituents of potential application in the photoinactivation of bacteria. Dyes Pigm. 2020, 178, 108322. [Google Scholar] [CrossRef]
- Kamkaew, A.; Lim, S.H.; Lee, H.B.; Kiew, L.V.; Chung, L.Y.; Burgess, K. BODIPY dyes in photodynamic therapy. Chem. Soc. Rev. 2013, 42, 77–88. [Google Scholar] [CrossRef]
- Gorbe, M.; Costero, A.M.; Sancenón, F.; Martínez-Máñez, R.; Ballesteros-Cillero, R.; Ochando, L.E.; Chulvi, K.; Gotor, R.; Gil, S. Halogen-containing BODIPY derivatives for photodynamic therapy. Dyes Pigm. 2019, 160, 198–207. [Google Scholar] [CrossRef]
- Zou, J.; Yin, Z.; Ding, K.; Tang, Q.; Li, J.; Si, W.; Shao, J.; Zhang, Q.; Huang, W.; Dong, X. BODIPY Derivatives for Photodynamic Therapy: Influence of Configuration versus Heavy Atom Effect. ACS Appl. Mater. Interf. 2017, 9, 32475–32481. [Google Scholar] [CrossRef]
- Ponte, F.; Mazzone, G.; Russo, N.; Sicilia, E. BODIPY for photodynamic therapy applications: Computational study of the effect of bromine substitution on 1O2 photosensitization. J. Mol. Model. 2018, 24, 183. [Google Scholar] [CrossRef] [PubMed]
- Zhang, W.; Ahmed, A.; Cong, H.; Wang, S.; Shen, Y.; Yu, B. Application of multifunctional BODIPY in photodynamic therapy. Dyes Pigm. 2021, 185, 108937. [Google Scholar] [CrossRef]
- Mai, D.K.; Kang, B.; Vales, T.P.; Badon, I.W.; Cho, S.; Lee, J.; Kim, E.; Kim, H.J. Synthesis and Photophysical Properties of Tumor-Targeted Water-Soluble BODIPY Photosensitizers for Photodynamic Therapy. Molecules 2020, 25, 3340. [Google Scholar]
- Padrutt, R.; Babu, V.; Klingler, S.; Kalt, M.; Schumer, F.; Anania, M.I.; Schneider, L.; Spingler, B. Highly Phototoxic Transplatin-Modified Distyryl-BODIPY Photosensitizers for Photodynamic Therapy. ChemMedChem 2020, 16, 694–701. [Google Scholar] [CrossRef] [PubMed]
- Mula, S.; Ray, A.K.; Banerjee, M.; Chaudhuri, T.; Dasgupta, K.; Chattopadhyay, S. Design and development of a new pyrromethene dye with improved photostability and lasing efficiency: Theoretical rationalization of photophysical and photochemical properties. J. Org. Chem. 2008, 73, 2146–2154. [Google Scholar] [CrossRef] [PubMed]
- Durantini, A.M.; Greene, L.E.; Lincoln, R.; Martínez, S.R.; Cosa, G. Reactive Oxygen Species Mediated Activation of a Dormant Singlet Oxygen Photosensitizer: From Autocatalytic Singlet Oxygen Amplification to Chemicontrolled Photodynamic Therapy. J. Am. Chem. Soc. 2016, 138, 1215–1225. [Google Scholar] [CrossRef] [PubMed]
- Palao, E.; Slanina, T.; Muchová, L.; Šolomek, T.; Vítek, L.; Klán, P. Transition-Metal-Free CO-Releasing BODIPY Derivatives Activatable by Visible to NIR Light as Promising Bioactive Molecules. J. Am. Chem. Soc. 2016, 138, 126–133. [Google Scholar] [CrossRef] [PubMed]
- Parisi, C.; Failla, M.C.; Fraix, A.; Rolando, B.; Gianquinto, E.; Spyrakis, F.; Gazzano, E.; Riganti, C.; Lazzarato, L.; Fruttero, R.; et al. Fluorescent Nitric Oxide Photodonors Based on BODIPY and Rhodamine Antennae. Chem. Eur. J. 2019, 25, 11080. [Google Scholar] [CrossRef]
- Lazzarato, L.; Gazzano, E.; Blangetti, M.; Fraix, A.; Sodano, F.; Picone, G.M.; Fruttero, R.; Gasco, A.; Riganti, C.; Sortino, S. Combination of PDT and NOPDT with a Tailored BODIPY Derivative. Antiox 2019, 8, 531. [Google Scholar] [CrossRef] [PubMed] [Green Version]
- Momeni, M.R.; Brown, A. A Local CC2 and TDA-DFT Double Hybrid Study on BODIPY/aza-BODIPY Dimers as Heavy Atom Free Triplet Photosensitizers for Photodynamic Therapy Applications. J. Phys. Chem. A 2016, 120, 2550–2560. [Google Scholar] [CrossRef]
- Momeni, M.R.; Brown, A. Why Do TD-DFT Excitation Energies of BODIPY/aza-BODIPY Families Largely Deviate from Experiment? Answers from Electron Correlated and Multireference Methods. J. Chem. Theory Comput. 2015, 11, 2619–2632. [Google Scholar] [CrossRef] [PubMed]
- Buyuktemiz, M.; Duman, S.; Dede, Y. Luminescence of BODIPY and Dipyrrin: An MCSCF Comparison of Excited States. J. Phys. Chem. A 2013, 117, 1665–1669. [Google Scholar] [CrossRef]
- Chibani, S.; Laurent, A.D.; Guennic, B.L.; Jacquemin, D. Improving the Accuracy of Excited-State Simulations of BODIPY and Aza-BODIPY Dyes with a Joint SOS-CIS(D) and TD-DFT Approach. J. Chem. Theory Comput. 2014, 10, 4574–4582. [Google Scholar] [CrossRef]
- Spiegel, J.D.; Kleinschmidt, M.; Larbig, A.; Tatchen, J.; Marian, C.M. Quantum-Chemical Studies of Excitation Energy Transfer Process in BODIPY-Based Donor-Acceptor Systems. J. Chem. Theory Comput. 2015, 11, 4316. [Google Scholar] [CrossRef]
- Ji, S.; Ge, J.; Escudero, D.; Wang, Z.; Zhao, J.; Jacquemin, D. Molecular Structure-Intersystem Crossing Relationship of Heavy-Atom-Free BODIPY Triplet Photosensitizers. J. Org. Chem. 2015, 80, 5958. [Google Scholar] [CrossRef]
- Tram, K.; Yan, H.; Jenkins, H.A.; Vassiliev, S.; Bruce, D. The synthesis and crystal structure of unsubstituted 4,4-difluoro-4-bora-3a,4a-diaza-s-indacene (BODIPY). Dyes Pigm. 2009, 82, 392–395. [Google Scholar] [CrossRef]
- Arroyo, I.J.; Hu, R.; Merino, G.; Tang, B.Z.; Pena-Cabrera, E. The Smallest and One of the Brightest. Efficient Preparation and Optical Description of the Parent Borondipyrromethene System. J. Org. Chem. 2009, 74, 5719–5722. [Google Scholar] [CrossRef]
- Schmitt, A.; Hinkeldey, B.; Wild, M.; Jung, G. Synthesis of the Core Compound of the BODIPY Dye Class: 4,4′-Difluoro-4-bora-(3a,4a)-diaza-s-indacene. J. Fluoresc. 2009, 19, 755–758. [Google Scholar] [CrossRef] [PubMed]
- Brouwer, A.M. Standards for photoluminescence quantum yield measurements in solution (IUPAC technical report). Pure Appl. Chem. 2011, 83, 2213–2228. [Google Scholar] [CrossRef] [Green Version]
- Würth, C.; Grabolle, M.; Pauli, J.; Spieles, M.; Resch-Genger, U. Relative and absolute determination of fluorescence quantum yields of transparent samples. Nat. Prot. 2013, 8, 1535–1550. [Google Scholar] [CrossRef]
- Kȩdziera, A.K.; Ziegler-Borowska, M.; Chełminiak, D.; Kuchnicki, P.; Kaczmarek, H. Effect of UV-irradiation on spectral properties of squaraine dye in diluted solutions. J. Photochem. Photobiol. A Chem. 2016, 318, 77–89. [Google Scholar] [CrossRef]
- Frisch, M.J.; Trucks, G.W.; Schlegel, H.B.; Scuseria, G.E.; Robb, M.A.; Cheeseman, J.R.; Scalmani, G.; Barone, V.; Petersson, G.A.; Nakatsuji, H.; et al. Gaussian 16 Revision C.01; Gaussian Inc.: Wallingford, CT, USA, 2016. [Google Scholar]
- Weigend, F.; Häser, M.; Patzelt, H.; Ahlrichs, R. RI-MP2: Optimized auxiliary basis sets and demonstration of efficiency. Chem. Phys. Lett. 1998, 294, 143. [Google Scholar] [CrossRef]
- Weigend, F.; Köhn, A.; Hättig, C. Efficient use of the correlation consistent basis sets in resolution of the identity MP2 calculations. J. Chem. Phys. 2002, 116, 3175. [Google Scholar] [CrossRef]
- Weigend, F.; Häser, M. RI-MP2: First derivatives and global consistency. Theor. Chem. Acc. 1997, 97, 331. [Google Scholar] [CrossRef]
- Wiberg, K.B. Application of Pople-Santry-Segal CNDO method to the cyclopropylcarbinyl and cyclobutyl cation and to bicyclobutane. Tetrahedron 1968, 24, 1083–1096. [Google Scholar] [CrossRef]
- Mayer, I. Bond Order and Valence Indices: A Personal Account. J. Comput. Chem. 2007, 28, 204–221. [Google Scholar] [CrossRef]
- Sizova, O.V.; Skripnikov, L.V.; Sokolov, A.Y. Symmetry decomposition of quantum chemical bond orders. J. Mol. Struct. THEOCHEM 2008, 870, 1–9. [Google Scholar] [CrossRef]
- Ponec, R.; Uhlik, F.; Cooper, D.L.; Jug, K. On the Definitions of Bond Index and Valence for Correlated Wave Functions. Croat. Chem. Acta 1996, 69, 933–940. [Google Scholar]
- Johnson, E.R.; Keinan, S.; Mori-Sanchez, P.; Contreras-Garcia, J.; Cohen, A.J.; Yang, W. Revealing Noncovalent Interactions. J. Am. Chem. Soc. 2010, 132, 6498–6506. [Google Scholar] [CrossRef] [Green Version]
- Contreras-Garcia, J.; Johnson, E.R.; Keinan, S.; Chaudret, R.; Piquemal, J.P.; Beratan, D.N.; Yang, W. NCIPLOT: A Program for Plotting Noncovalent Interaction Regions. J. Chem. Theory Comput. 2011, 7, 625–632. [Google Scholar] [CrossRef] [PubMed]
- Rybczyński, P.; Kaczmarek-Kędziera, A. BODIPY Dimers: Structure, Interaction and Absorption Spectrum. Struct. Chem. 2021, 32, 953–965. [Google Scholar] [CrossRef]
- Filarowski, A.; Lopatkova, M.; Lipkowski, P.; der Auweraer, M.V.; Leen, V.; Dehaen, W. Solvatochromism of BODIPY-Schiff Dye. J. Phys. Chem. B 2014, 119, 2576–2584. [Google Scholar] [CrossRef]
- de Rezende, L.C.D.; Vaidergorn, M.M.; Moraes, J.C.B.; da Silva Emery, F. Synthesis, Photophysical Properties and Solvatochromism of Meso-Substituted Tetramethyl BODIPY Dyes. J. Fluoresc. 2014, 24, 257–266. [Google Scholar] [CrossRef]
- Telegin, F.Y.; Marfin, Y.S. New insights into quantifying the solvatochromism of BODIPY based fluorescent probes. Spectrochim. Acta A Mol. Biomol. Spectr. 2021, 255, 119683. [Google Scholar] [CrossRef]
- Dura, L.; Wachtler, M.; Kupfer, S.; Kubel, J.; Ahrens, J.; Hofler, S.; Broring, M.; Dietzek, B.; Beweries, T. Photophysics of BODIPY Dyes as Readily-Designalble Photosensitizers in Light-Driven Proton Reduction. Inorganics 2017, 5, 21. [Google Scholar] [CrossRef] [Green Version]
- Hung, S.T.; Bhuyan, A.; Schademan, K.; Steverlynck, J.; McCluskey, M.D.; Koeckelberghs, G.; Kuzyk, K.C.a.M.G. Spectroscopic studies of the mechanism of reversible photodegradation of 1-substituted aminoanthraquinone-doped polymers. J. Chem. Phys. 2016, 144, 114902. [Google Scholar] [CrossRef] [PubMed] [Green Version]


















| Solvent | |||||||
|---|---|---|---|---|---|---|---|
| Unfolded | Bent | ||||||
| 1 | |||||||
| Hexane | 1.8819 | 500 | 508.5 | 0.041 | 0.19 | 442 | 448 |
| Toluene | 2.3741 | 502 | 512.0 | 0.048 | 0.22 | 446 | 452 |
| EtOAc | 5.9867 | 498 | 506.5 | 0.042 | 0.56 | 441 | 448 |
| THF | 7.4257 | 500 | 509.0 | 0.044 | 0.39 | 442 | 449 |
| DCM | 8.93 | 500 | 509.5 | 0.046 | 0.40 | 442 | 449 |
| MeOH | 32.613 | 496 | 506.5 | 0.052 | 0.35 | 438 | 446 |
| MeCN | 35.688 | 496 | 505.5 | 0.047 | 0.36 | 439 | 446 |
| DMSO | 46.826 | 500 | 510.5 | 0.051 | 0.43 | 442 | 449 |
| 2 | |||||||
| Hexane | 1.8819 | 532 | 543.0 | 0.047 | 0.02 | 454 | 469 |
| Toluene | 2.3741 | 536 | 549.5 | 0.057 | 0.01 | 458 | 473 |
| EtOAc | 5.9867 | 530 | 543.5 | 0.058 | 0.01 | 452 | 468 |
| THF | 7.4257 | 532 | 546.5 | 0.062 | 0.01 | 453 | 468 |
| DCM | 8.93 | 532 | 545.5 | 0.058 | 0.02 | 453 | 469 |
| MeOH | 32.613 | 529 | 543.0 | 0.060 | 0.01 | 449 | 465 |
| MeCN | 35.688 | 528 | 544.5 | 0.071 | 0.01 | 450 | |
| DMSO | 46.826 | 536 | 546.0 | 0.042 | 0.01 | 452 | 468 |
| Bond | 1 | 2 | |||
|---|---|---|---|---|---|
| Bent | Unfolded | Bent | Unfolded | ||
![]() | BODIPY core | ||||
| B4–N11 | 0.6852 | 0.6871 | 0.6764 | 0.6781 | |
| B4–F32 | 0.7187 | 0.7241 | 0.7255 | 0.7300 | |
| C8–C9 | 1.3325 | 1.3207 | 1.3246 | 1.3156 | |
| C8–C17 | 1.0091 | 1.0308 | 1.0173 | 1.0328 | |
| C7–C16 | 1.0575 | 1.0565 | 1.0558 | 1.0558 | |
| C5–C15 | 1.0590 | 1.0586 | 1.0585 | 1.0581 | |
| C6–I/H34 | 0.9140 | 0.9129 | 1.0235 | 1.0249 | |
| meso-substituent | |||||
| C20–O21 | 1.0413 | 1.0280 | 1.0464 | 1.0307 | |
| O21–C22 | 0.9183 | 0.9127 | 0.9168 | 0.9115 | |
| C24–N25 | 0.9593 | 0.9509 | 0.9594 | 0.9508 | |
| N25–C26 | 1.0598 | 1.0631 | 1.0597 | 1.0643 | |
| C26–O31 | 1.7237 | 1.7123 | 1.7239 | 1.7115 | |
Publisher’s Note: MDPI stays neutral with regard to jurisdictional claims in published maps and institutional affiliations. |
© 2021 by the authors. Licensee MDPI, Basel, Switzerland. This article is an open access article distributed under the terms and conditions of the Creative Commons Attribution (CC BY) license (https://creativecommons.org/licenses/by/4.0/).
Share and Cite
Rybczynski, P.; Smolarkiewicz-Wyczachowski, A.; Piskorz, J.; Bocian, S.; Ziegler-Borowska, M.; Kędziera, D.; Kaczmarek-Kędziera, A. Photochemical Properties and Stability of BODIPY Dyes. Int. J. Mol. Sci. 2021, 22, 6735. https://doi.org/10.3390/ijms22136735
Rybczynski P, Smolarkiewicz-Wyczachowski A, Piskorz J, Bocian S, Ziegler-Borowska M, Kędziera D, Kaczmarek-Kędziera A. Photochemical Properties and Stability of BODIPY Dyes. International Journal of Molecular Sciences. 2021; 22(13):6735. https://doi.org/10.3390/ijms22136735
Chicago/Turabian StyleRybczynski, Patryk, Aleksander Smolarkiewicz-Wyczachowski, Jaroslaw Piskorz, Szymon Bocian, Marta Ziegler-Borowska, Dariusz Kędziera, and Anna Kaczmarek-Kędziera. 2021. "Photochemical Properties and Stability of BODIPY Dyes" International Journal of Molecular Sciences 22, no. 13: 6735. https://doi.org/10.3390/ijms22136735
APA StyleRybczynski, P., Smolarkiewicz-Wyczachowski, A., Piskorz, J., Bocian, S., Ziegler-Borowska, M., Kędziera, D., & Kaczmarek-Kędziera, A. (2021). Photochemical Properties and Stability of BODIPY Dyes. International Journal of Molecular Sciences, 22(13), 6735. https://doi.org/10.3390/ijms22136735


