Use of 3D Human Liver Organoids to Predict Drug-Induced Phospholipidosis
Abstract
1. Introduction
2. Results
2.1. Liver Cell Characterization
2.1.1. Hepatic Marker Expression
2.1.2. Glycogen Storage
2.1.3. Hepatic Protein Expression
2.2. Cell Viability Changes
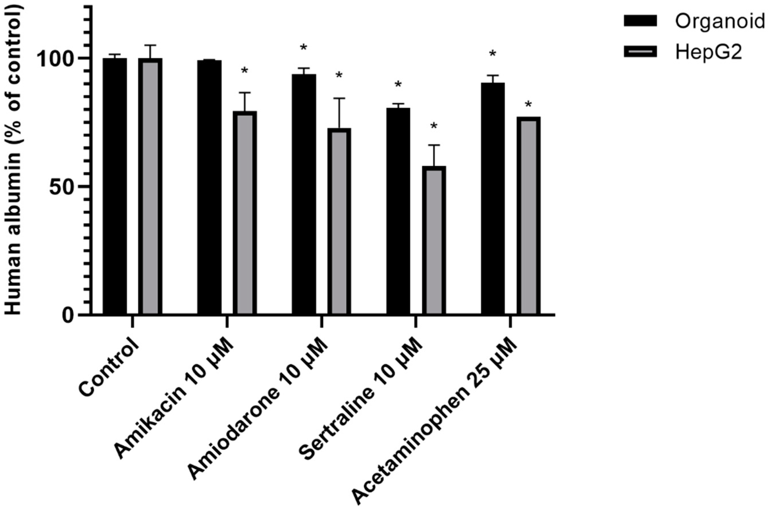
2.3. Albumin Secretion Content
2.4. Evaluation of Drug-Induced Phospholipidosis
2.4.1. Morphological Changes
2.4.2. Comparison of LAMP-2 Expression
2.4.3. Confirmation of Drug-Induced Phospholipidosis
2.4.4. Gene Expression Changes under Conditions of Drug-Induced Phospholipidosis
3. Discussion
4. Materials and Methods
4.1. Chemicals
4.2. Cell Culture
4.2.1. Human Liver Organoids
4.2.2. HepG2 Cells
4.3. Treatment of Cells
4.4. RT-qPCR
4.5. PAS Staining
4.6. Immunostaining (Immunofluorescence and Immunohistochemistry)
4.7. Histological Examination
4.8. Detection of Lysosome-Associated Membrane Protein 2 (LAMP-2)
4.9. Cell Viability Assay
4.10. Albumin Content Measurement
4.11. Identification of Lamellar Bodies
4.12. Statistical Analysis
5. Conclusions
Author Contributions
Funding
Conflicts of Interest
Abbreviations
| 3D | three-dimensional |
| 2D | two-dimensional |
| PL | phospholipidosis |
| HBSS | Hanks’ Balanced Salt Solution |
| EBSS | Earle’s Balanced Salt Solution |
| BME 2 | Basement Membrane Extract |
| EM | expansion medium |
| DM | differentiation medium |
| FBS | fetal bovine serum |
| PBS | phosphate-buffered saline |
| LAMP-2 | lysosome-associated membrane protein 2 |
| qPCR | quantitative real-time polymerase chain reaction |
| RT | reverse transcription |
| GAPDH | glyceraldehyde-3-phosphate dehydrogenase |
| PAS | Periodic Acid Schiff |
References
- Asaoka, Y.; Togashi, Y.; Imura, N.; Sai, T.; Miyoshi, T.; Miyamoto, Y. Immunohistochemistry of LAMP-2 and adipophilin for phospholipidosis in liver and kidney in ketoconazole-treated mice. Exp. Toxicol. Pathol. 2013, 65, 817–823. [Google Scholar] [CrossRef]
- Gräbner, R. Influence of cationic amphiphilic drugs on the phosphatidylcholine hydrolysis by phospholipase A2. Biochem. Pharmacol. 1987, 36, 1063–1067. [Google Scholar] [CrossRef]
- Halliwell, W.H. Cationic Amphiphilic Drug-Induced Phospholipidosis. Toxicol. Pathol. 1997, 25, 53–60. [Google Scholar] [CrossRef] [PubMed]
- Reasor, M.J.; Kacew, S. Drug-induced phospholipidosis: Are there functional consequences? Exp. Biol. Med. 2001, 226, 825–830. [Google Scholar] [CrossRef] [PubMed]
- Kaufmann, A.M.; Krise, J. Lysosomal Sequestration of Amine-Containing Drugs: Analysis and Therapeutic Implications. J. Pharm. Sci. 2007, 96, 729–746. [Google Scholar] [CrossRef]
- Lenz, B.; Braendli-Baiocco, A.; Engelhardt, J.; Fant, P.; Fischer, H.; Francke, S.; Fukuda, R.; Groters, S.; Harada, T.; Harleman, H.; et al. Characterizing Adversity of Lysosomal Accumulation in Nonclinical Toxicity Studies: Results from the 5th ESTP International Expert Workshop; SAGE Publications Sage CA: Los Angeles, CA, USA, 2018. [Google Scholar]
- Reasor, M.J.; Hastings, K.L.; Ulrich, R.G. Drug-induced phospholipidosis: Issues and future directions. Expert Opin. Drug Saf. 2006, 5, 567–583. [Google Scholar] [CrossRef] [PubMed]
- Laurent, G.; Kishore, B.; Tulkens, P.M. Aminoglycoside-induced renal phospholipidosis and nephrotoxicity. Biochem. Pharmacol. 1990, 40, 2383–2392. [Google Scholar] [CrossRef]
- Terry, R.D.; Weiss, M. Studies in Tay-Sachs disease. II. Ultrastructure of the cerebrum. J. Neuropathol. Exp. Neurol. 1963, 22, 18–55. [Google Scholar] [CrossRef] [PubMed]
- Lazarus, S.S.; Vethamany, V.G.; Schneck, L.; Volk, B.W. Fine structure and histochemistry of peripheral blood cells in Niemann-Pick disease. Lab. Investig. 1967, 17, 155–170. [Google Scholar]
- Rigas, B.; E Rosenfeld, L.; Barwick, K.W.; Enriquez, R.; Helzberg, J.; Batsford, W.P.; E Josephson, M.; Riely, C.A. Amiodarone hepatotoxicity: A clinicopathologic study of five patients. Ann. Intern. Med. 1986, 104, 348–351. [Google Scholar] [CrossRef]
- Shepherd, N.A.; Dawson, A.M.; Crocker, P.R.; Levison, D.A. Granular cells as a marker of early amiodarone hepatotoxicity: A pathological and analytical study. J. Clin. Pathol. 1987, 40, 418–423. [Google Scholar] [CrossRef] [PubMed]
- Sun, H.; Xia, M.; Shahane, S.A.; Jadhav, A.; Austin, C.P.; Huang, R. Are hERG channel blockers also phospholipidosis inducers? Bioorg. Med. Chem. Lett. 2013, 23, 4587–4590. [Google Scholar] [CrossRef] [PubMed]
- Slavov, S.; Stoyanova-Slavova, I.; Li, S.; Zhao, J.; Huang, R.; Beger, R.D.; Xia, M. Why are most phospholipidosis inducers also hERG blockers? Arch. Toxicol. 2017, 91, 3885–3895. [Google Scholar] [CrossRef] [PubMed]
- Kacew, S.; Bergeron, M.G. Pathogenic factors in aminoglycoside-induced nephrotoxicity. Toxicol. Lett. 1990, 51, 241–259. [Google Scholar] [CrossRef]
- Mingeot-Leclercq, M.-P.; Tulkens, P.M. Aminoglycosides: Nephrotoxicity. Antimicrob. Agents Chemother. 1999, 43, 1003–1012. [Google Scholar] [CrossRef]
- Al-Shammari, B.; Khalifa, M.; Bakheet, S.A.; Yasser, M. A Mechanistic Study on the Amiodarone-Induced Pulmonary Toxicity. Oxidative Med. Cell. Longev. 2016, 2016, 6265853. [Google Scholar] [CrossRef]
- Martin, W.J.; Standing, J.E. Amiodarone pulmonary toxicity: Biochemical evidence for a cellular phospholipidosis in the bronchoalveolar lavage of human subjects. J. Pharmacol. Exp. Ther. 1988, 244, 774–779. [Google Scholar]
- D’Amico, D.J.; Kenyon, K.R.; Ruskin, J.N. Amiodarone keratopathy: Drug-induced lipid storage disease. Arch. Ophthalmol. 1981, 99, 257–261. [Google Scholar] [CrossRef]
- Jacobs, J.M.; Costa-Jussà, F.R. The pathology of amiodarone neurotoxicity: II. Peripheral neuropathy in man. Brain 1985, 108, 753–769. [Google Scholar] [CrossRef]
- Rappersberger, K.; Hönigsmann, H.; Ortel, B.; Tanew, A.; Konrad, K.; Wolff, K. Photosensitivity and Hyperpigmentation in Amiodarone-Treated Patients: Incidence, Time Course, and Recovery. J. Investig. Dermatol. 1989, 93, 201–209. [Google Scholar] [CrossRef]
- Pirovino, M.; Müller, O.; Zysset, T.; Honegger, U. Amiodarone-induced hepatic phospholipidosis: Correlation of morphological and biochemical findings in an animal model. Hepatology 1988, 8, 591–598. [Google Scholar] [CrossRef] [PubMed]
- Saito, K.; Maekawa, K.; Ishikawa, M.; Senoo, Y.; Urata, M.; Murayama, M.; Nakatsu, N.; Yamada, H.; Saito, Y. Glucosylceramide and Lysophosphatidylcholines as Potential Blood Biomarkers for Drug-Induced Hepatic Phospholipidosis. Toxicol. Sci. 2014, 141, 377–386. [Google Scholar] [CrossRef] [PubMed]
- Lecommandeur, E.; Baker, D.; Cox, T.M.; Nicholls, A.W.; Griffin, J.L. Alterations in endo-lysosomal function induce similar hepatic lipid profiles in rodent models of drug-induced phospholipidosis and Sandhoff disease. J. Lipid Res. 2017, 58, 1306–1314. [Google Scholar] [CrossRef] [PubMed]
- Chatman, L.A.; Morton, D.; Johnson, T.O.; Anway, S.D. A Strategy for Risk Management of Drug-Induced Phospholipidosis. Toxicol. Pathol. 2009, 37, 997–1005. [Google Scholar] [CrossRef]
- Lecureux, L.; Cheng, C.S.; Herbst, J.; Reilly, T.P.; Lehman-McKeeman, L.; Otieno, M. Evaluation and validation of multiple cell lines and primary mouse macrophages to predict phospholipidosis potential. Toxicol. In Vitro 2011, 25, 1934–1943. [Google Scholar] [CrossRef]
- Bhandari, N.; Figueroa, D.J.; Lawrence, J.W.; Gerhold, D.L. Phospholipidosis Assay in HepG2 Cells and Rat or Rhesus Hepatocytes Using Phospholipid Probe NBD-PE. Assay Drug Dev. Technol. 2008, 6, 407–419. [Google Scholar] [CrossRef]
- Shahane, S.A.; Huang, R.; Gerhold, D.; Baxa, U.; Austin, C.P.; Xia, M. Detection of phospholipidosis induction: A cell-based assay in high-throughput and high-content format. J. Biomol. Screen. 2013, 19, 66–76. [Google Scholar] [CrossRef] [PubMed]
- Van De Water, F.; Havinga, J.; Ravesloot, W.; Horbach, G.; Schoonen, W. High content screening analysis of phospholipidosis: Validation of a 96-well assay with CHO-K1 and HepG2 cells for the prediction of in vivo based phospholipidosis. Toxicol. In Vitro 2011, 25, 1870–1882. [Google Scholar] [CrossRef]
- Broutier, L.; Andersson-Rolf, A.; Hindley, C.J.; Boj, S.F.; Clevers, H.; Koo, B.-K.; Huch, M. Culture and establishment of self-renewing human and mouse adult liver and pancreas 3D organoids and their genetic manipulation. Nat. Protoc. 2016, 11, 1724–1743. [Google Scholar] [CrossRef]
- Xu, H.; Jiao, Y.; Qin, S.; Zhao, W.; Chu, Q.; Wu, K. Organoid technology in disease modelling, drug development, personalized treatment and regeneration medicine. Exp. Hematol. 2018, 7, 1–12. [Google Scholar] [CrossRef]
- Meng, Q. Three-dimensional culture of hepatocytes for prediction of drug-induced hepatotoxicity. Expert Opin. Drug Metab. Toxicol. 2010, 6, 733–746. [Google Scholar] [CrossRef] [PubMed]
- Kostadinova, R.; Boess, F.; Applegate, D.; Suter, L.; Weiser, T.; Singer, T.; Naughton, B.; Roth, A. A long-term three dimensional liver co-culture system for improved prediction of clinically relevant drug-induced hepatotoxicity. Toxicol. Appl. Pharmacol. 2013, 268, 1–16. [Google Scholar] [CrossRef] [PubMed]
- Donato, M.T.; Gomez-Lechon, M.J. Drug-induced liver steatosis and phospholipidosis: Cell-based assays for early screening of drug candidates. Curr. Drug Metab. 2012, 13, 1160–1173. [Google Scholar] [CrossRef] [PubMed]
- Nioi, P.; Perry, B.K.; Wang, E.-J.; Gu, Y.-Z.; Snyder, R.D. In Vitro Detection of Drug-Induced Phospholipidosis Using Gene Expression and Fluorescent Phospholipid Based Methodologies. Toxicol. Sci. 2007, 99, 162–173. [Google Scholar] [CrossRef]
- Sawada, H.; Takami, K.; Asahi, S. A Toxicogenomic Approach to Drug-Induced Phospholipidosis: Analysis of Its Induction Mechanism and Establishment of a Novel in Vitro Screening System. Toxicol. Sci. 2004, 83, 282–292. [Google Scholar] [CrossRef]
- Tengstrand, E.A.; Miwa, G.T.; Hsieh, F.Y. Bis (monoacylglycerol) phosphate as a non-invasive biomarker to monitor the onset and time-course of phospholipidosis with drug-induced toxicities. Expert Opin. Drug Metab. Toxicol. 2010, 6, 555–570. [Google Scholar] [CrossRef]
- Nonoyama, T.; Fukuda, R. Drug-induced Phospholipidosis -Pathological Aspects and Its Prediction. J. Toxicol. Pathol. 2008, 21, 9–24. [Google Scholar] [CrossRef]
- Shen, C.; Shen, C.; Zhang, G.; Hu, W. Rifampicin exacerbates isoniazid-induced toxicity in human but not in rat hepatocytes in tissue-like cultures. Br. J. Pharmacol. 2007, 153, 784–791. [Google Scholar] [CrossRef]
- Shen, C.; Zhang, G.; Qiu, H.; Shen, C. Acetaminophen-induced hepatotoxicity of gel entrapped rat hepatocytes in hollow fibers. Chem. Interact. 2006, 162, 53–61. [Google Scholar] [CrossRef]
- Kikkawa, R.; Fujikawa, M.; Yamamoto, T.; Hamada, Y.; Yamada, H.; Horii, I. In vivo hepatotoxicity study of rats in comparison with in vitro hepatotoxicity screening system. J. Toxicol. Sci. 2006, 31, 23–34. [Google Scholar] [CrossRef]
- O′brien, P.J.; Chan, K.; Silber, P.M. Human and animal hepatocytes in vitro with extrapolation in vivo. Chem. Interact. 2004, 150, 97–114. [Google Scholar] [CrossRef] [PubMed]
- Neal, J.; Li, X.; Zhu, J.; Giangarra, V.; Grzeskowiak, C.L.; Ju, J.; Liu, I.H.; Chiou, S.-H.; Salahudeen, A.A.; Smith, A.R.; et al. Organoid Modeling of the Tumor Immune Microenvironment. Cell 2018, 175, 1972–1988. [Google Scholar] [CrossRef] [PubMed]
- Pettinato, G.; Lehoux, S.; Ramanathan, R.; Salem, M.M.; He, L.-X.; Muse, O.; Flaumenhaft, R.; Thompson, M.T.; Rouse, E.A.; Cummings, R.D.; et al. Generation of fully functional hepatocyte-like organoids from human induced pluripotent stem cells mixed with Endothelial Cells. Sci. Rep. 2019, 9, 8920. [Google Scholar] [CrossRef] [PubMed]
- Farrell, R.E. Chapter 2—RNA Isolation Strategies. In RNA Methodologies, 4th ed.; Farrell, R.E., Ed.; Academic Press: San Diego, CA, USA, 2010; pp. 45–80. [Google Scholar] [CrossRef]
- Ma, J.Y.; Snook, S.; Garrovillo, S.; Johnson, C.; La, D. An Immunohistochemical Investigation of Renal Phospholipidosis and Toxicity in Rats. Int. J. Toxicol. 2017, 36, 386–394. [Google Scholar] [CrossRef]
- Obert, L.; Sobocinski, G.P.; Bobrowski, W.F.; Metz, A.L.; Rolsma, M.D.; Altrogge, D.M.; Dunstan, R.W. An Immunohistochemical Approach to Differentiate Hepatic Lipidosis from Hepatic Phospholipidosis in Rats. Toxicol. Pathol. 2007, 35, 728–734. [Google Scholar] [CrossRef]
- Chen, P.M.; Gombart, Z.J.; Chen, J.W. Chloroquine treatment of ARPE-19 cells leads to lysosome dilation and intracellular lipid accumulation: Possible implications of lysosomal dysfunction in macular degeneration. Cell Biosci. 2011, 1, 10. [Google Scholar] [CrossRef]











© 2020 by the authors. Licensee MDPI, Basel, Switzerland. This article is an open access article distributed under the terms and conditions of the Creative Commons Attribution (CC BY) license (http://creativecommons.org/licenses/by/4.0/).
Share and Cite
Lee, J.-Y.; Han, H.-J.; Lee, S.-J.; Cho, E.-H.; Lee, H.-B.; Seok, J.-H.; Lim, H.S.; Son, W.-C. Use of 3D Human Liver Organoids to Predict Drug-Induced Phospholipidosis. Int. J. Mol. Sci. 2020, 21, 2982. https://doi.org/10.3390/ijms21082982
Lee J-Y, Han H-J, Lee S-J, Cho E-H, Lee H-B, Seok J-H, Lim HS, Son W-C. Use of 3D Human Liver Organoids to Predict Drug-Induced Phospholipidosis. International Journal of Molecular Sciences. 2020; 21(8):2982. https://doi.org/10.3390/ijms21082982
Chicago/Turabian StyleLee, Ji-Young, Hyo-Jeong Han, Sang-Joon Lee, Eun-Ho Cho, Han-Byul Lee, Ju-Hyung Seok, Hee Seon Lim, and Woo-Chan Son. 2020. "Use of 3D Human Liver Organoids to Predict Drug-Induced Phospholipidosis" International Journal of Molecular Sciences 21, no. 8: 2982. https://doi.org/10.3390/ijms21082982
APA StyleLee, J.-Y., Han, H.-J., Lee, S.-J., Cho, E.-H., Lee, H.-B., Seok, J.-H., Lim, H. S., & Son, W.-C. (2020). Use of 3D Human Liver Organoids to Predict Drug-Induced Phospholipidosis. International Journal of Molecular Sciences, 21(8), 2982. https://doi.org/10.3390/ijms21082982

