Platinum(IV) Complexes of trans-1,2-diamino-4-cyclohexene: Prodrugs Affording an Oxaliplatin Analogue that Overcomes Cancer Resistance
Abstract
1. Introduction
2. Results
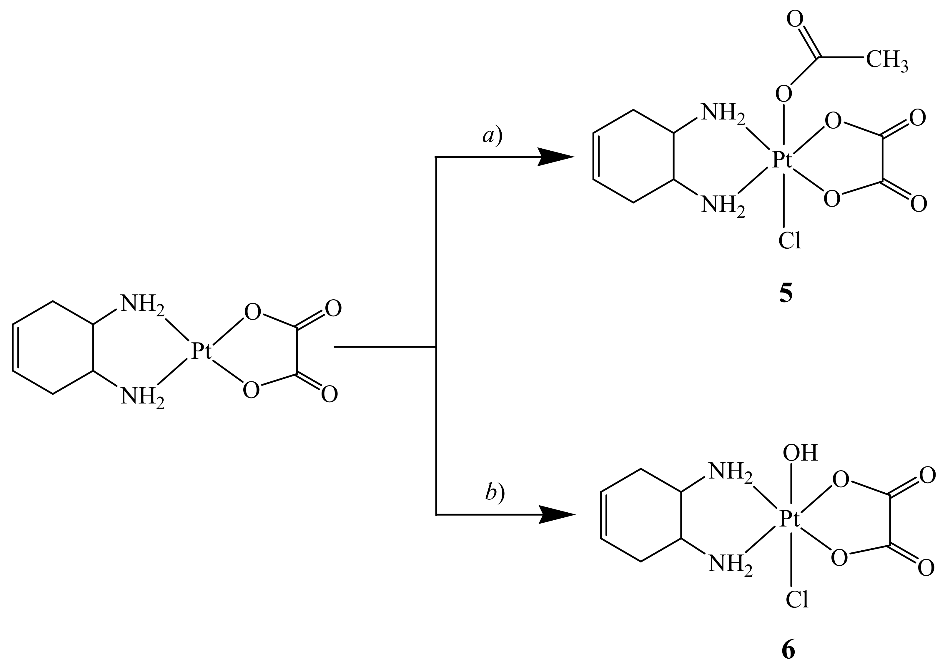
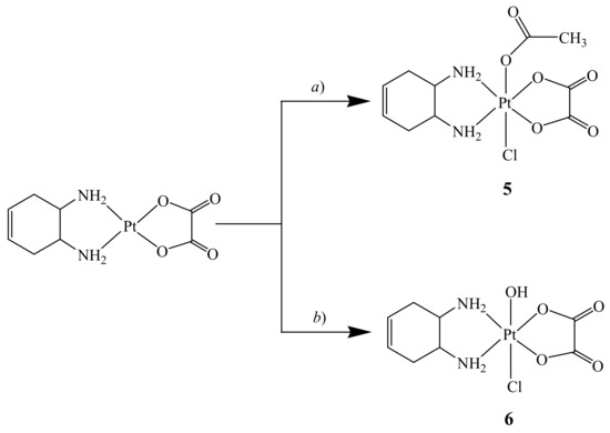
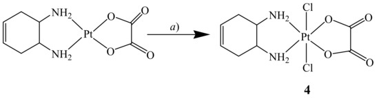
2.1. Synthesis and Characterization of Complexes 1–6
2.2. Lipophilicity of the Complexes
2.3. Cyclic Voltammetry
2.4. Characterization of the Surface Reduction
2.5. Cytotoxicity Assays
3. Materials and Methods
3.1. Starting Materials and Instrumental Details
3.2. Synthesis and Characterization of Platinum Complexes
3.2.1. cis,trans,cis-[Pt(OXA)(OH)2(DACHEX)] (1)
3.2.2. cis,trans,cis-[Pt(OXA)(AcO)2(DACHEX)] (AcO = acetate = OOCCH3) (2)
3.2.3. cis,trans,cis-[Pt(OXA)(BzO)2(DACHEX)] (BzO = benzoate = OOC-C6H5) (3)
3.2.4. cis,trans,cis-[Pt(OXA)Cl2(DACHEX)] (4)
3.2.5. cis,trans,cis-[Pt(OXA)(AcO)Cl(DACHEX)] (5)
3.2.6. cis,trans,cis-[Pt(OXA)(OH)Cl(DACHEX)] (6)
3.3. LogPo/w Determination
3.4. Electrochemical Measurements
3.5. Surface Chemical Characterization
3.6. Cellular Cultures
3.6.1. MTT Test
3.6.2. Spheroid Cultures
3.6.3. Acid Phosphatase (APH) Assay
3.6.4. Cellular Accumulation of Pt
3.6.5. DNA Platination
4. Conclusions
Supplementary Materials
Author Contributions
Funding
Acknowledgments
Conflicts of Interest
Abbreviations
| APH | Acid phosphatase |
| BzO | Benzoate |
| CDDP | Cisplatin |
| CV | Cyclic voltammetry |
| DACH | Diaminocyclohexane |
| DACHEX | Diaminocyclohexene |
| HSQC | Heteronuclear single quantum spectroscopy |
| ICP-AES | Inductively coupled plasma atomic emission spectroscopy |
| MTT | 3-(4,5-dimethylthiazol-2-yl)-2,5-diphenyltertrazolium |
| OXP | Oxaliplatin |
| SCE | Saturated calomel electrode |
| SDS | Sodium dodecyl sulfate |
| XPS | X-ray photoelectron spectroscopy |
References
- Galanski, M.; Jakupec, M.; Keppler, B. Update of the Preclinical Situation of Anticancer Platinum Complexes: Novel Design Strategies and Innovative Analytical Approaches. Curr. Med. Chem. 2005, 12, 2075–2094. [Google Scholar] [CrossRef]
- Wang, X.; Guo, Z. Targeting and delivery of platinum-based anticancer drugs. Chem. Soc. Rev. 2013, 202–224. [Google Scholar] [CrossRef] [PubMed]
- Garg, A.D.; More, S.; Rufo, N.; Mece, O.; Sassano, M.L.; Agostinis, P.; Zitvogel, L.; Kroemer, G.; Galluzzi, L. Trial watch: Immunogenic cell death induction by anticancer chemotherapeutics. Oncoimmunology 2017, 6, e1386829. [Google Scholar] [CrossRef] [PubMed]
- Bruno, P.M.; Liu, Y.; Park, G.Y.; Murai, J.; Koch, C.E.; Eisen, T.J.; Pritchard, J.R.; Pommier, Y.; Lippard, S.J.; Hemann, M.T. A subset of platinum-containing chemotherapeutic agents kills cells by inducing ribosome biogenesis stress. Nat. Med. 2017, 23, 461. [Google Scholar] [CrossRef] [PubMed]
- Wang, D.; Lippard, S.J. Cellular processing of platinum anticancer drugs. Nat. Rev. Drug Discov. 2005, 4, 307–320. [Google Scholar] [CrossRef]
- Margiotta, N.; Marzano, C.; Gandin, V.; Osella, D.; Ravera, M.; Gabano, E.; Platts, J.A.; Petruzzella, E.; Hoeschele, J.D.; Natile, G. Revisiting [PtCl₂(cis-1,4-DACH)]: An underestimated antitumor drug with potential application to the treatment of oxaliplatin-refractory colorectal cancer. J. Med. Chem. 2012, 55, 7182–7192. [Google Scholar] [CrossRef]
- Hoeschele, J.D.; Margiotta, N.; Gandin, V.; Petruzzella, E.; Marzano, C. Method of Treating Colorectal Cancer. US Patent 9,220,705, 2015. Available online: https://patents.google.com/patent/US20140255394A1/en (accessed on 27 March 2020).
- Kasparkova, J.; Suchankova, T.; Halamikova, A.; Zerzankova, L.; Vrana, O.; Margiotta, N.; Natile, G.; Brabec, V. Cytotoxicity, cellular uptake, glutathione and DNA interactions of an antitumor large-ring PtII chelate complex incorporating the cis-1,4-diaminocyclohexane carrier ligand. Biochem. Pharmacol. 2010, 79, 552–564. [Google Scholar] [CrossRef]
- Brabec, V.; Malina, J.; Margiotta, N.; Natile, G.; Kasparkova, J. Thermodynamic and Mechanistic Insights into Translesion DNA Synthesis Catalyzed by Y-Family DNA Polymerase Across a Bulky Double-Base Lesion of an Antitumor Platinum Drug. Chem.—A Eur. J. 2012, 18, 15439–15448. [Google Scholar] [CrossRef]
- Papadia, P.; Gandin, V.; Barbanente, A.; Ruello, A.G.; Marzano, C.; Micoli, K.; Hoeschele, J.D.; Natile, G.; Margiotta, N. A minimal structural variation can overcome tumour resistance of oxaliplatin: The case of 4,5-dehydrogenation of the cyclohexane ring. RSC Adv. 2019, 9, 32448–32452. [Google Scholar] [CrossRef]
- Hall, M.D.; Mellor, H.R.; Callaghan, R.; Hambley, T.W. Basis for Design and Development of Platinum(IV) Anticancer Complexes. J. Med. Chem. 2007, 50, 3403–3411. [Google Scholar] [CrossRef]
- Johnstone, T.C.; Suntharalingam, K.; Lippard, S.J. The Next Generation of Platinum Drugs: Targeted Pt(II) Agents, Nanoparticle Delivery, and Pt(IV) Prodrugs. Chem. Rev. 2016, 116, 3436–3486. [Google Scholar] [CrossRef]
- Kenny, R.G.; Chuah, S.W.; Crawford, A.; Marmion, C.J. Platinum(IV) Prodrugs—A Step Closer to Ehrlich’s Vision? Eur. J. Inorg. Chem. 2017, 2017, 1596–1612. [Google Scholar] [CrossRef]
- Gabano, E.; Ravera, M.; Osella, D. The drug targeting and delivery approach applied to pt-antitumour complexes. A coordination point of view. Curr. Med. Chem. 2009, 16, 4544–4580. [Google Scholar] [CrossRef]
- Gabano, E.; Ravera, M.; Osella, D. Pros and cons of bifunctional platinum(iv) antitumor prodrugs: Two are (not always) better than one. Dalt. Trans. 2014, 43, 9813. [Google Scholar] [CrossRef] [PubMed]
- Gibson, D. Platinum(IV) anticancer prodrugs—hypotheses and facts. Dalt. Trans. 2016, 45, 12983–12991. [Google Scholar] [CrossRef] [PubMed]
- Gandin, V.; Marzano, C.; Pelosi, G.; Ravera, M.; Gabano, E.; Osella, D. trans, cis, cis -Bis(benzoato)dichlorido(cyclohexane-1 R,2 R -diamine)platinum(IV): A Prodrug Candidate for the Treatment of Oxaliplatin-Refractory Colorectal Cancer. ChemMedChem 2014, 9, 1299–1305. [Google Scholar] [CrossRef] [PubMed]
- Margiotta, N.; Savino, S.; Marzano, C.; Pacifico, C.; Hoeschele, J.D.; Gandin, V.; Natile, G. Cytotoxicity-boosting of kiteplatin by Pt(IV) prodrugs with axial benzoate ligands. J. Inorg. Biochem. 2016, 160, 85–93. [Google Scholar] [CrossRef]
- Petruzzella, E.; Margiotta, N.; Ravera, M.; Natile, G. NMR investigation of the spontaneous thermal- and/or photoinduced reduction of trans dihydroxido Pt(IV) derivatives. Inorg. Chem. 2013, 52, 2393–2403. [Google Scholar] [CrossRef]
- Margiotta, N.; Ranaldo, R.; Intini, F.P.; Natile, G. Cationic intermediates in oxidative addition reactions of Cl2 to [PtCl2(cis-1,4-DACH)]. Dalton Trans. 2011, 40, 12877–12885. [Google Scholar] [CrossRef]
- Platts, J.A.; Oldfield, S.P.; Reif, M.M.; Palmucci, A.; Gabano, E.; Osella, D. The RP-HPLC measurement and QSPR analysis of logPo/w values of several Pt(II) complexes. J. Inorg. Biochem. 2006, 100, 1199–1207. [Google Scholar] [CrossRef]
- Rappel, C.; Galanski, M.; Yasemi, A.; Habala, L.; Keppler, B.K. Analysis of anticancer platinum(II)-complexes by microemulsion electrokinetic chromatography: Separation of diastereomers and estimation of octanol-water partition coefficients. Electrophoresis 2005, 26, 878–884. [Google Scholar] [CrossRef] [PubMed]
- Barbanente, A.; Gandin, V.; Ditaranto, N.; Marzano, C.; Hoeschele, J.D.; Suranna, G.P.; Papadia, P.; Natile, G.; Margiotta, N. A Pt(IV) prodrug of kiteplatin with the bone-targeting pyrophosphate ligand. Inorganica Chim. Acta 2019, 494, 98–104. [Google Scholar] [CrossRef]
- Curci, A.; Denora, N.; Iacobazzi, R.M.; Ditaranto, N.; Hoeschele, J.D.; Margiotta, N.; Natile, G. Synthesis, characterization, and in vitro cytotoxicity of a Kiteplatin-Ibuprofen Pt(IV) prodrug. Inorganica Chim. Acta 2018, 472, 221–228. [Google Scholar] [CrossRef]
- Choi, S.; Filotto, C.; Bisanzo, M.; Delaney, S.; Lagasee, D.; Whitworth, J.L.; Jusko, A.; Li, C.; Wood, N.A.; Willingham, J.; et al. Reduction and Anticancer Activity of Platinum(IV) Complexes. Inorg. Chem. 1998, 37, 2500–2504. [Google Scholar] [CrossRef]
- Delaney, S.; Bisanzo, M.; Spaulding, K.; Filotto, C.; Whitworth, J.L.; Willingham, J.; Wood, N.A.; Lagasee, D.; Li, C.; Jusko, A.; et al. Reduction and Anticancer Activity of Platinum(IV) Complexes. Inorg. Chem. 2002, 37, 2500–2504. [Google Scholar] [CrossRef]
- Reithofer, M.; Galanski, M.; Roller, A.; Keppler, B.K. An Entry to Novel Platinum Complexes: Carboxylation of Dihydroxoplatinum(IV) Complexes with Succinic Anhydride and Subsequent Derivatization. Eur. J. Inorg. Chem. 2006, 2006, 2612–2617. [Google Scholar] [CrossRef]
- Wilson, J.J.; Lippard, S.J. Synthesis, Characterization, and Cytotoxicity of Platinum(IV) Carbamate Complexes. Inorg. Chem. 2011, 50, 3103–3115. [Google Scholar] [CrossRef]
- Vaska, L.; Peone, J. A simple synthetic route to d 8 complexes of rhodium and iridium. An electronegativity scale for anionic ligands. J. Chem. Soc. D Chem. Commun. 1971, 418. [Google Scholar] [CrossRef]
- Ang, W.H.; Pilet, S.; Scopelliti, R.; Bussy, F.; Juillerat-Jeanneret, L.; Dyson, P.J. Synthesis and Characterization of Platinum(IV) Anticancer Drugs with Functionalized Aromatic Carboxylate Ligands: Influence of the Ligands on Drug Efficacies and Uptake. J. Med. Chem. 2005, 48, 8060–8069. [Google Scholar] [CrossRef]
- Kim, J.B. Three-dimensional tissue culture models in cancer biology. Semin. Cancer Biol. 2005, 15, 365–377. [Google Scholar] [CrossRef]
- Lazarević, T.; Rilak, A.; Bugarčić, Ž.D. Platinum, palladium, gold and ruthenium complexes as anticancer agents: Current clinical uses, cytotoxicity studies and future perspectives. Eur. J. Med. Chem. 2017, 142, 8–31. [Google Scholar] [CrossRef] [PubMed]
- Ravera, M.; Gabano, E.; Pelosi, G.; Fregonese, F.; Tinello, S.; Osella, D. A New Entry to Asymmetric Platinum(IV) Complexes via Oxidative Chlorination. Inorg. Chem. 2014, 53, 9326–9335. [Google Scholar] [CrossRef] [PubMed]
- Savino, S.; Denora, N.; Iacobazzi, R.M.; Porcelli, L.; Azzariti, A.; Natile, G.; Margiotta, N. Synthesis, characterization, and cytotoxicity of the first oxaliplatin Pt(IV) derivative having a TSPO ligand in the axial position. Int. J. Mol. Sci. 2016, 17, 1010. [Google Scholar] [CrossRef] [PubMed]
- Gandin, V.; Pellei, M.; Tisato, F.; Porchia, M.; Santini, C.; Marzano, C. A novel copper complex induces paraptosis in colon cancer cells via the activation of ER stress signalling. J. Cell. Mol. Med. 2012, 16, 142–151. [Google Scholar] [CrossRef]
- Savino, S.; Marzano, C.; Gandin, V.; Hoeschele, J.; Natile, G.; Margiotta, N. Multi-Acting Mitochondria-Targeted Platinum(IV) Prodrugs of Kiteplatin with α-Lipoic Acid in the Axial Positions. Int. J. Mol. Sci. 2018, 19, 2050. [Google Scholar] [CrossRef]












| Complex | Solvent | Ha | Hb | Hf | Hc | He | Hd | other |
|---|---|---|---|---|---|---|---|---|
| 1 | D2O | - | - | 5.53 | 3.23 | 2.81 | 2.51 | - |
| 1 | DMSO-d6 | 7.79 | 6.91 | 5.40 | 2.80 | 2.49 | 2.37 | 0.74(OH) |
| 2 | D2O | - | - | 5.52 | 3.31 | 2.81 | 2.50 | 2.08(CH3) |
| 2 | DMSO-d6 | 8.53 | 8.33 | 5.43 | 2.92 | 2.61 | 2.34 | 1.95(CH3) |
| 3 | Acetone-d6 | 9.08 | 8.29 | 5.55 | 3.55 | 2.99 | 2.65 | 7.92(CHg) 7.55(CHh) 7,43(CHi) |
| 3 | DMSO-d6 | 8.69 | 8.32 | 5.47 | 3.13 | 2.68 | - | 7.87(CHg) 7.56(CHh) 7.45(CHi) |
| 4 | Acetone-d6 | 7.75 | 6.98 | 5.59 | 3.47 | 2.97 | 2.13 | - |
| 4 | DMSO-d6 | 8.40 | 7.69 | 5.39 | 2.87 | 2.55 | - | - |
| 5 | CD3OD | - | - | 5.49 | 3.17(c) 3.11(c’) | 2.71 | 2.49(d) 2.39(d’) | 2.06(CH3) |
| 5 | DMSO-d6 | 8.52 | 7.76 | 5.41 | 2.89 | 2.59 | 2.13 | - |
| 6 | CD3OD | - | - | 5.48 | 3.13(c) 3.07(c’) | 2.68 | 2.48(d) 2.42(d’) | - |
| 6 | DMSO-d6 | 8.11(a) 7.27(a’) | 7.89(b) 7.27(b’) | 5.40 | 3.04 | 2.84 | 2.40 | 1.03(OH) |
| Complex | Solvent | OC(O) oxa | Cf | Cc | Cd/Ce | Other |
|---|---|---|---|---|---|---|
| 1 | DMSO-d6 | 164.7 | 124.3 | 57.1 | 30.9 | - |
| 2 | DMSO-d6 | 163.3 | 124.3 | 57.8 | 31.5 | 178.3(OC(O)) 22.9(CH3) |
| 3 | Acetone-d6 | 163.6 | 129.1 | 60.1 | 33.4 | 133.4(Cg) 133.3(Ch) 130.6(Ci) |
| 4 | Acetone-d6 | 163.4 | 125.0 | 60.0 | 32.8 | - |
| 5 | CD3OD | 166.7 | 125.4(Cf) 125.2(Cf’) | 60.3(Cc) 60.2(Cc’) | 33.1(Cd) 32.9(Cd’) | 23.9(CH3) |
| 6 | CD3OD | 167.1 | 125.4(Cf) 125.2(Cf’) | 60.2(Cc) 59.3(Cc’) | 33.1(Cd) 32.6(Cd’) | - |
| Complex | Potential (V) | logPo/w |
|---|---|---|
| 1 | −1.05 | −3.05 |
| 2 | −1.03 | −2.69 |
| 3 | −0.99 | −0.26 |
| 4 | −0.72 | −1.65 |
| 5 | −0.82 | −2.03 |
| 6 | −0.48 | −2.39 |
| [Pt(OXA)(DACHEX)] | − | −2.43 |
| % Relative Abundance Pt(IV)/(II) | |||
|---|---|---|---|
| As Irradiated | After 30 min Irradiation | % of Reduction | |
| 1 | 86/14 | 48/52 | 44 |
| 3 | 68/32 | 23/77 | 66 |
| 2 | 65/35 | 23/77 | 65 |
| 4,5 | 50/50 | 17/83 | 67 |
| 6 | 45/55 | 17/83 | 64 |
| Compound | IC50 (µM) ± SD | |||||
|---|---|---|---|---|---|---|
| A431 | 2008 | HCT-15 | PSN-1 | LoVo | LoVo OXP | |
| 1 | 0.49 ± 0.2 | 0.72 ± 0.1 | 0.44 ± 0.1 | 3.15 ± 0.8 | 0.84 ± 0.3 | >2 |
| 2 | 0.55 ± 0.1 | 0.33 ± 0.5 | 1.27 ± 0.5 | 2.85 ± 0.7 | 0.59 ± 0.1 | >2 |
| 3 | 0.16 ± 0.07 | 0.14 ± 0.03 | 0.41 ± 0.1 | 0.54 ± 0.3 | 0.07 ± 0.02 | 0.09 ± 0.02 (1.3) |
| 4 | 0.43 ± 0.2 | 0.42 ± 0.1 | 1.17 ± 0.2 | 3.08 ± 1.1 | 0.39 ± 0.03 | >2 |
| 5 | 1.51 ± 0.6 | 0.93 ± 0.3 | 1.97 ± 0.4 | 3.58 ± 1.4 | 0.25 ± 0.05 | >2 |
| 6 | 1.31 ± 0.7 | 1.87 ± 0.4 | 1.67 ± 0.4 | 5.25 ± 1.2 | 0.66 ± 0.02 | >2 |
| CDDP | 1.43 ± 0.4 | 2.23 ± 0.1 | 15.28 ± 2.6 | 16.6 ± 4.2 | 7.6 ± 1.5 | - |
| OXP | 3.8 ± 1.3 | 1.53 ± 0.9 | 1.15 ± 0.4 | 7.9 ± 3.5 | 1.1 ± 0.6 | 14.3 ± 2.1 (13) |
| IC50 (µM) ± SD | ||||||||
|---|---|---|---|---|---|---|---|---|
| 1 | 2 | 3 | 4 | 5 | 6 | CDDP | OXP | |
| A431 | 5.8 ± 0.8 | 3.4 ± 0.9 | 1.8 ± 0.4 | 9.9 ± 2.6 | 26.4 ± 5.5 | 30.2 ± 3.8 | 58.3 ± 0.9 | 36.3 ± 1.2 |
© 2020 by the authors. Licensee MDPI, Basel, Switzerland. This article is an open access article distributed under the terms and conditions of the Creative Commons Attribution (CC BY) license (http://creativecommons.org/licenses/by/4.0/).
Share and Cite
Papadia, P.; Micoli, K.; Barbanente, A.; Ditaranto, N.; Hoeschele, J.D.; Natile, G.; Marzano, C.; Gandin, V.; Margiotta, N. Platinum(IV) Complexes of trans-1,2-diamino-4-cyclohexene: Prodrugs Affording an Oxaliplatin Analogue that Overcomes Cancer Resistance. Int. J. Mol. Sci. 2020, 21, 2325. https://doi.org/10.3390/ijms21072325
Papadia P, Micoli K, Barbanente A, Ditaranto N, Hoeschele JD, Natile G, Marzano C, Gandin V, Margiotta N. Platinum(IV) Complexes of trans-1,2-diamino-4-cyclohexene: Prodrugs Affording an Oxaliplatin Analogue that Overcomes Cancer Resistance. International Journal of Molecular Sciences. 2020; 21(7):2325. https://doi.org/10.3390/ijms21072325
Chicago/Turabian StylePapadia, Paride, Katia Micoli, Alessandra Barbanente, Nicoletta Ditaranto, James D. Hoeschele, Giovanni Natile, Cristina Marzano, Valentina Gandin, and Nicola Margiotta. 2020. "Platinum(IV) Complexes of trans-1,2-diamino-4-cyclohexene: Prodrugs Affording an Oxaliplatin Analogue that Overcomes Cancer Resistance" International Journal of Molecular Sciences 21, no. 7: 2325. https://doi.org/10.3390/ijms21072325
APA StylePapadia, P., Micoli, K., Barbanente, A., Ditaranto, N., Hoeschele, J. D., Natile, G., Marzano, C., Gandin, V., & Margiotta, N. (2020). Platinum(IV) Complexes of trans-1,2-diamino-4-cyclohexene: Prodrugs Affording an Oxaliplatin Analogue that Overcomes Cancer Resistance. International Journal of Molecular Sciences, 21(7), 2325. https://doi.org/10.3390/ijms21072325

