Products of Oxidative Guanine Damage Form Base Pairs with Guanine
Abstract
1. Introduction
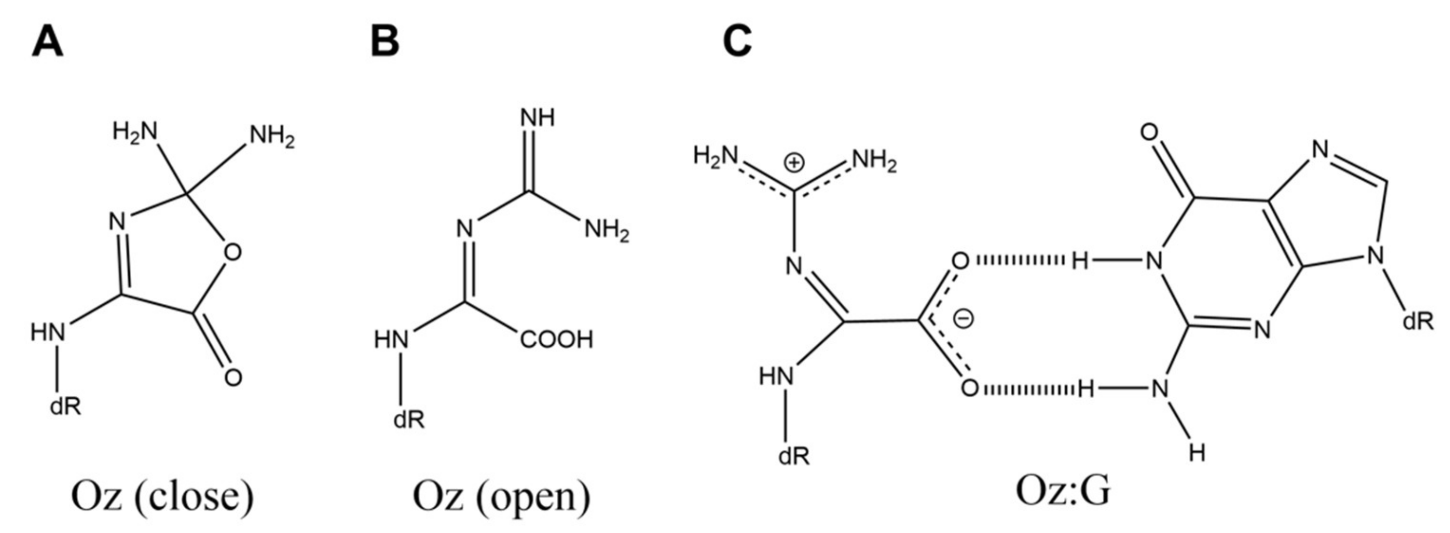
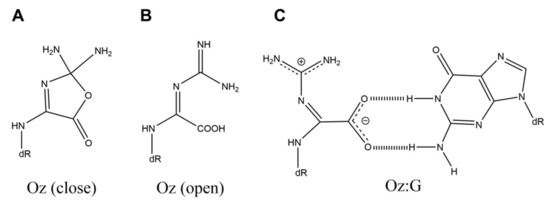
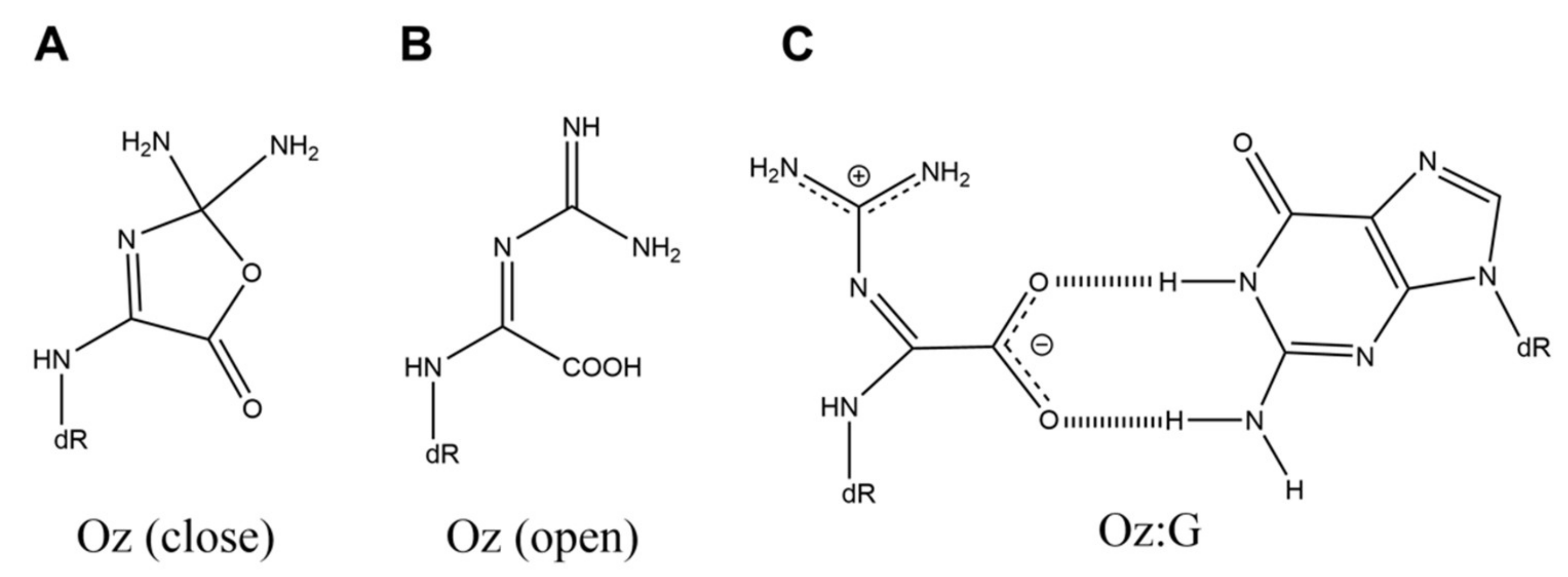
2. 2,5-Diamino-4H-imidazol-4-one (Iz) and 2,2,4-triamino-5(2H)-oxazolone (Oz)
3. Guanidinoformimine (Gf)
4. Guanidinohydantoin/Iminoallantoin (Gh/Ia) and Spiroiminodihydantoin (Sp)
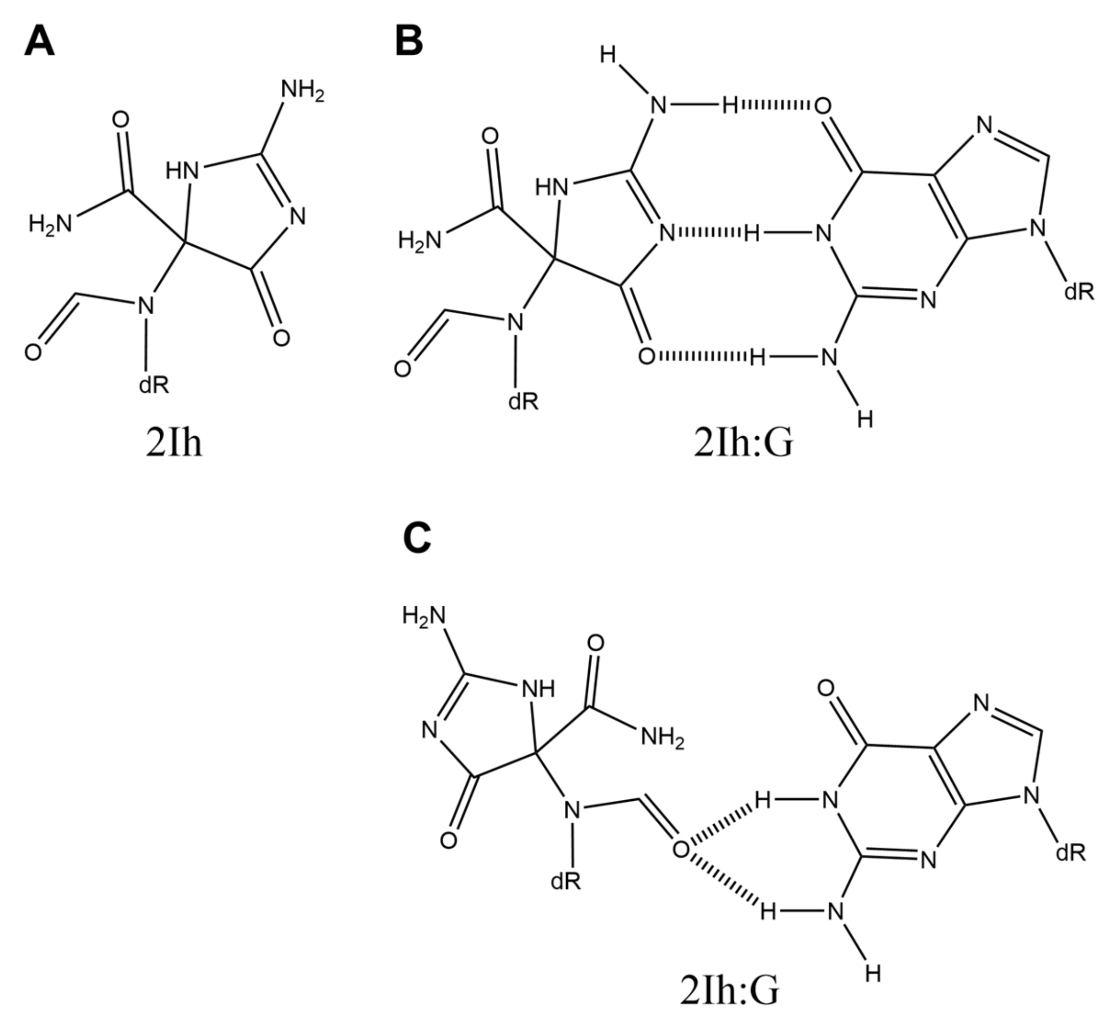
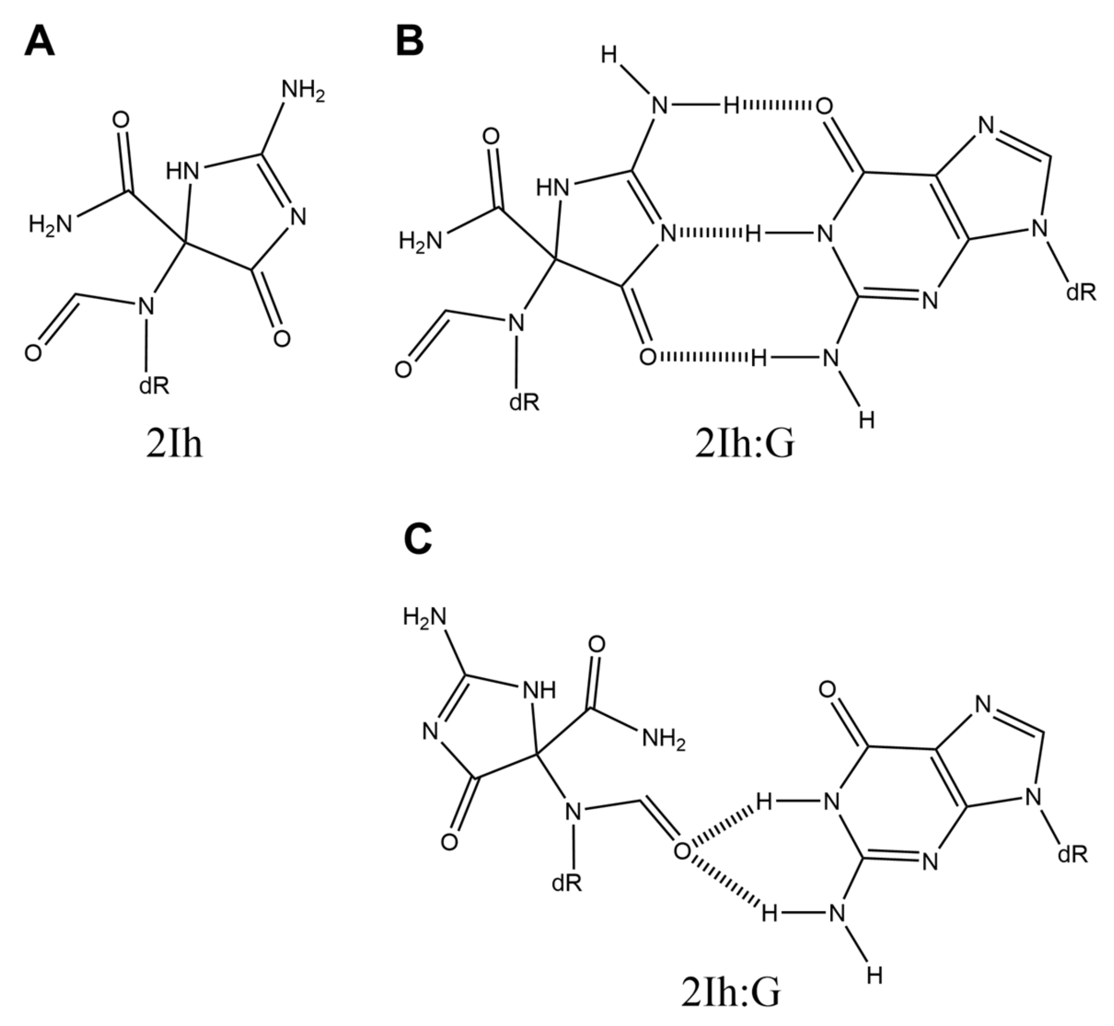
5. 5-Carboxamido-5-formamido-2-iminohydantoin (2Ih)
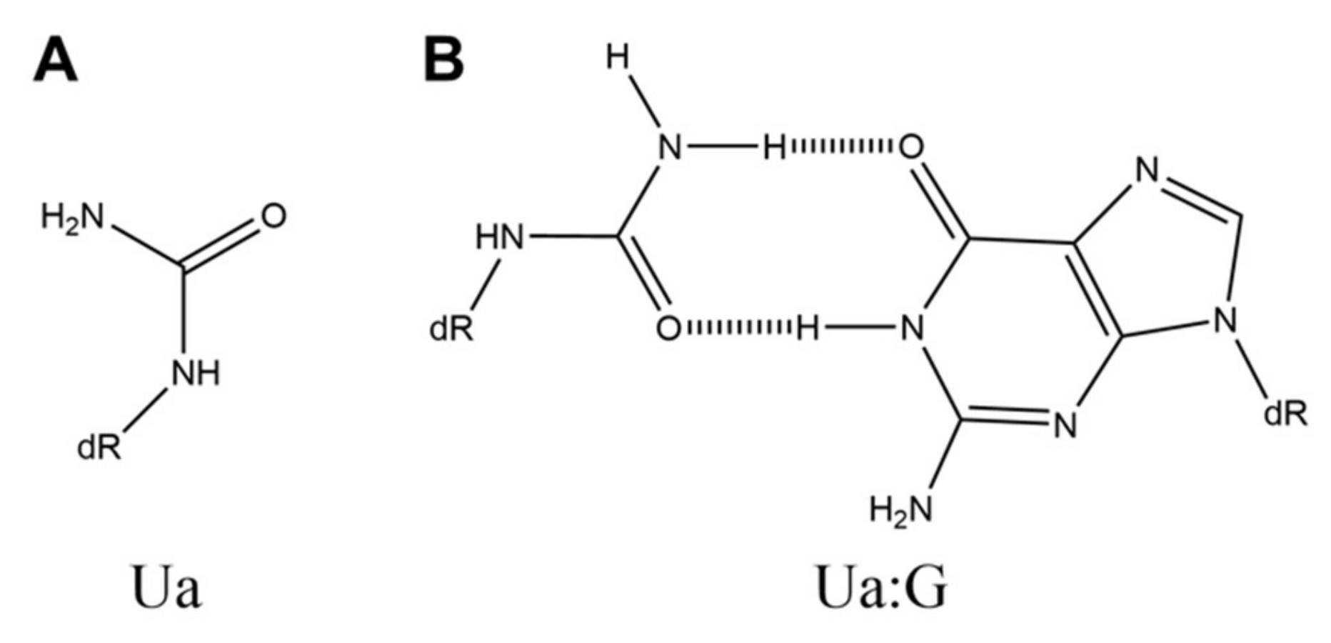
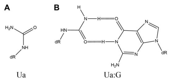
6. Urea (Ua)
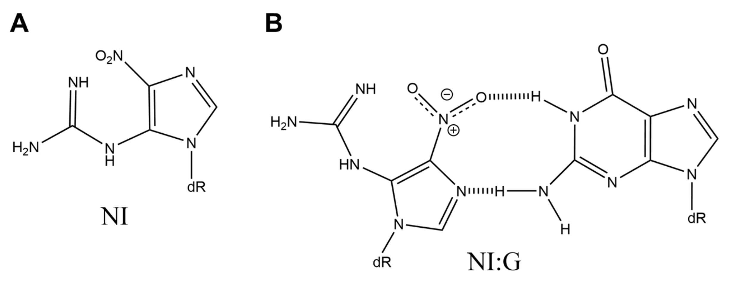
7. 5-Guanidino-4-nitroimidazole (NI)
8. Spirodi(iminohydantoin) (5-Si and 8-Si)
9. Triazine and Unknown M+7 Product
10. Other Products by Peroxynitrite
11. Alkylated Guanines
12. 8,5′-Cyclo-2′-deoxyguanosine (cG)
13. Base Pairs Related to New Medicines Against Novel Coronavirus
14. Conclusions and Future Studies
Author Contributions
Funding
Acknowledgments
Conflicts of Interest
Abbreviations
| Iz | 2,5-diamino-4H-imidazol-4-one |
| Oz | 2,2,4-triamino-5(2H)-oxazolone |
| Gf | guanidinoformimine |
| Gh | guanidinohydantoin |
| Ia | iminoallantoin |
| Sp | spiroiminodihydantoin |
| 2Ih | 5-carboxamido-5-formamido-2-iminohydantoin |
| Ua | urea |
| 8-oxoG | 8-oxoguanine |
| E. coli | Escherichia coli |
| Klenow fragment exo- | the large fragment of Escherichia coli DNA polymerase I exonuclease minus |
| dR | deoxyribose |
| NI | 5-guanidino-4-nitroimidazole |
| Si | spirodi(iminohydantoin) |
| HICA | 4-hydroxy-2,5-dioxo-imidazolidine-4-carboxylic acid |
| cG | 8,5′-cyclo-2′-deoxyguanosine |
| SARS-CoV-2 | 2019 novel coronavirus |
| RdRp | RNA-dependent RNA polymerase |
| HCV | hepatitis C virus |
| R | ribose |
References
- Steenken, S.; Jovanovic, S.V. How easily oxidizable is DNA? One-electron reduction potentials of adenosine and guanosine radicals in aqueous solution. J. Am. Chem. Soc. 1997, 119, 617–618. [Google Scholar] [CrossRef]
- Maehira, F.; Miyagi, I.; Asato, T.; Eguchi, Y.; Takei, H.; Nakatsuki, K.; Fukuoka, M.; Zaha, F. Alterations of protein kinase C, 8-hydroxydeoxyguanosine, and K-ras oncogene in rat lungs exposed to passive smoking. Clin. Chim. Acta 1999, 289, 133–144. [Google Scholar] [CrossRef]
- Pfeifer, G.P.; Besaratinia, A. Mutational spectra of human cancer. Hum. Genet. 2009, 125, 493–506. [Google Scholar] [CrossRef] [PubMed]
- Oliva, M.R.; Ripoll, F.; Muñiz, P.; Iradi, A.; Trullenque, R.; Valls, V.; Drehmer, E.; Sáez, G.T. Genetic alterations and oxidative metabolism in sporadic colorectal tumors from a Spanish community. Mol. Carcinog. 1997, 18, 232–243, Erratum in 1997, 19, 280. [Google Scholar] [CrossRef]
- Kino, K.; Sugiyama, H. UVR-induced G-C to C-G transversions from oxidative DNA damage. Mutat. Res. 2005, 571, 33–42. [Google Scholar] [CrossRef] [PubMed]
- Klein, J.C.; Bleeker, M.J.; Saris, C.P.; Roelen, H.C.P.F.; Brugghe, H.F.; van den Elst, H.; van der Marel, G.A.; van Boom, J.H.; Westra, J.G.; Kriek, E.; et al. Repair and replication of plasmids with site-specific 8-oxodG and 8-AAFdG residues in normal and repair-deficient human cells. Nucleic Acids Res. 1992, 20, 4437–4443. [Google Scholar] [CrossRef] [PubMed][Green Version]
- Moriya, M. Single-stranded shuttle phagemid for mutagenesis studies in mammalian cells: 8-oxoguanine in DNA induces targeted G•C->T•A transversions in simian kidney cells. Proc. Natl. Acad. Sci. USA 1993, 90, 1122–1126. [Google Scholar] [CrossRef]
- Bjelland, S.; Seeberg, E. Mutagenicity toxicity and repair of DNA base damage induced by oxidation. Mutat. Res. 2003, 531, 37–80. [Google Scholar] [CrossRef]
- Turesky, R.J. Heterocyclic aromatic amine metabolism, DNA adduct formation, mutagenesis, and carcinogenesis. Drug Metab. Rev. 2002, 34, 625–650. [Google Scholar] [CrossRef]
- Schut, H.A.J.; Snyderwine, E.G. DNA adduct of heterocyclic amine food mutagens: Implications for mutagenesis and carcinogenesis. Carcinogenesis 1999, 20, 353–368. [Google Scholar] [CrossRef]
- Kool, E.T. Hydrogen bonding, base stacking, and steric effects in DNA replication. Annu. Rev. Biophys. Biomol. Struct. 2001, 30, 1–22. [Google Scholar] [CrossRef] [PubMed]
- Kino, K.; Sugiyama, H.; Miyazawa, H. Molecular basis of guanine oxidation under UV-A/VIS radiation and its biological effects. In Progress in DNA Damage Research; Miura, S., Nakano, S., Eds.; Nova Science Publishers: Hauppauge, NY, USA, 2008; pp. 271–276. [Google Scholar]
- Vialas, C.; Claparols, C.; Pratviel, G.; Meunier, B. Guanine oxidation in double-stranded DNA by Mn-TMPyP/KHSO5: 5,8-dihydroxy-7,8-dihydroguanine residue as a key precursor of imidazolone and parabanic acid derivatives. J. Am. Chem. Soc. 2000, 122, 2157–2167. [Google Scholar] [CrossRef]
- Kino, K.; Sugiyama, H. Possible cause of G•C->C•G transversion mutation by guanine oxidation product, imidazolone. Chem. Biol. 2001, 8, 369–378. [Google Scholar] [CrossRef]
- Kino, K.; Saito, I.; Sugiyama, H. Product analysis of GG-specific photooxidation of DNA via electron transfer: 2-aminoimidazolone as a major guanine oxidation product. J. Am. Chem. Soc. 1998, 120, 7373–7374. [Google Scholar] [CrossRef]
- Cadet, J.; Berger, M.; Buchko, G.W.; Joshi, P.C.; Raoul, S.; Ravanat, J.-L. 2,2-Diamino-4-[(3,5-di-O-acetyl-2-deoxy-β-D-erythro-pentofuranosyl)amino]-5-(2H)-oxazolone: A novel and predominant radical oxidation product of 3′,5′-di-O-acetyl-2′-deoxyguanosine. J. Am. Chem. Soc. 1994, 116, 7403–7404. [Google Scholar] [CrossRef]
- Niles, J.C.; Wishnok, J.S.; Tannenbaum, S.R. A novel nitroimidazole compound formed during the reaction of peroxynitrite with 2′,3′,5′-tri-O-acetyl-guanosine. J. Am. Chem. Soc. 2001, 123, 12147–12151. [Google Scholar] [CrossRef]
- Luo, W.; Muller, J.G.; Burrows, C.J. The pH-dependent role of superoxide in riboflavin-catalyzed photooxidation of 8-oxo-7,8-dihydroguanosine. Org. Lett. 2001, 3, 2801–2804. [Google Scholar] [CrossRef]
- Raoul, S.; Cadet, J. Photosensitized reaction of 8-oxo-7,8-dihydro-2′-deoxyguanosine: Identification of 1-(2-deoxy-β-D-erythro-pentofuranosyl)cyanuric acid as the major singlet oxygen oxidation product. J. Am. Chem. Soc. 1996, 118, 1892–1898. [Google Scholar] [CrossRef]
- Jena, N.R.; Mishra, P.C. Normal and reverse base pairing of Iz and Oz lesions in DNA: Structural implications for mutagenesis. RSC Adv. 2016, 6, 64019–64027. [Google Scholar] [CrossRef]
- Mourgues, S.; Trzcionka, J.; Vasseur, J.-J.; Pratviel, G.; Meunier, B. Incorporation of oxidized guanine nucleoside 5′-triphosphates in DNA with DNA polymerases and preparation of single-lesion carrying DNA. Biochemistry 2008, 47, 4788–4799. [Google Scholar] [CrossRef]
- Kino, K.; Sugasawa, K.; Mizuno, T.; Bando, T.; Sugiyama, H.; Akita, M.; Miyazawa, H.; Hanaoka, F. Eukaryotic DNA polymerases α β and ε incorporate guanine opposite 2,2,4-triamino-5(2H)-oxazolone. ChemBioChem 2009, 10, 2613–2616. [Google Scholar] [CrossRef]
- Kino, K.; Ito, N.; Sugasawa, K.; Sugiyama, H.; Hanaoka, F. Translesion synthesis by human DNA polymerase η across oxidative products of guanine. Nucleic Acids Symp. Ser. 2004, 48, 171–172. [Google Scholar] [CrossRef] [PubMed]
- Neeley, W.L.; Delaney, J.C.; Henderson, P.T.; Essigmann, J.M. In vivo bypass efficiencies and mutational signatures of the guanine oxidation products 2-aminoimidazolone and 5-guanidino-4-nitroimidazole. J. Biol. Chem. 2004, 279, 43568–43573. [Google Scholar] [CrossRef] [PubMed]
- Matter, B.; Malejka-Giganti, D.; Csallany, A.S.; Tretyakova, N. Quantitative analysis of the oxidative DNA lesion, 2,2-diamino-4-(2-deoxy-β-D-erythro-pentofuranosyl)amino]-5(2H)-oxazolone (oxazolone), in vitro and in vivo by isotope dilution-capillary HPLC-ESI-MS/MS. Nucleic Acids Res. 2006, 34, 5449–5460. [Google Scholar] [CrossRef]
- Duarte, V.; Gasparutto, D.; Jaquinod, M.; Cadet, J. In vitro DNA synthesis opposite oxazolone and repair of this DNA damage using modified oligonucleotides. Nucleic Acids Res. 2000, 28, 1555–1563. [Google Scholar] [CrossRef]
- Suzuki, M.; Ohtsuki, K.; Kino, K.; Kobayashi, T.; Morikawa, M.; Kobayashi, T.; Miyazawa, H. Effects of stability of base pairs containing an oxazolone on DNA elongation. J. Nucleic Acids 2014, 2014, 178350. [Google Scholar] [CrossRef]
- Suzuki, M.; Kino, K.; Kawada, T.; Morikawa, M.; Kobayashi, T.; Miyazawa, H. Analysis of nucleotide insertion opposite 2,2,4-triamino-5(2H)-oxazolone by eukaryotic B- and Y-family DNA polymerases. Chem. Res. Toxicol. 2015, 28, 1307–1316. [Google Scholar] [CrossRef]
- Henderson, P.T.; Delaney, J.C.; Gu, F.; Tannenbaum, S.R.; Essigmann, J.M. Oxidation of 7,8-dihydro-8-oxoguanine affords lesions that are potent sources of replication errors in vivo. Biochemistry 2002, 41, 914–921. [Google Scholar] [CrossRef]
- Stathis, D.; Lischke, U.; Koch, S.C.; Deiml, C.A.; Carell, T. Discovery and mutagenicity of a guanidinoformimine lesion as a new intermediate of the oxidative deoxyguanosine degradation pathway. J. Am. Chem. Soc. 2012, 134, 4925–4930. [Google Scholar] [CrossRef]
- Duarte, V.; Muller, J.G.; Burrows, C.J. Insertion of dGMP and dAMP during in vitro DNA synthesis opposite an oxidized form of 7,8-dihydro-8-oxoguanine. Nucleic Acids Res. 1999, 27, 496–502. [Google Scholar] [CrossRef] [PubMed]
- Luo, W.; Muller, J.G.; Rachlin, E.M.; Burrows, C.J. Characterization of spiroiminodihydantoin as a product of one-electron oxidation of 8-oxo-7,8-dihydroguanosine. Org. Lett. 2000, 2, 613–616. [Google Scholar] [CrossRef]
- Ravanat, J.-L.; Cadet, J. Reaction of singlet oxygen with 2-deoxyguanosine and DNA. Isolation and characterization of the main oxidation products. Chem. Res. Toxicol. 1995, 8, 379–388. [Google Scholar] [CrossRef]
- Niles, J.C.; Wishnok, J.S.; Tannenbaum, S.R. Spiroiminodihydantoin is the major product of the 8-oxo-7,8-dihydroguanosine reaction with peroxynitrite in the presence of thiols and guanosine photooxidation by methylene blue. Org. Lett. 2001, 3, 963–966. [Google Scholar] [CrossRef]
- Leipold, M.D.; Muller, J.G.; Burrows, C.J.; David, S.S. Removal of hydantoin products of 8-oxoguanine oxidation by the Escherichia coli. Biochemistry 2000, 39, 14984–14992. [Google Scholar] [CrossRef]
- Kornyushyna, O.; Berges, A.M.; Muller, J.G.; Burrows, C.J. In vitro nucleotide misinsertion opposite the oxidized guanosine lesions spiroiminodihydantoin and guanidinohydantoin and DNA synthesis past the lesions using Escherichia coli DNA polymerase I (Klenow Fragment). Biochemistry 2002, 41, 15304–15314. [Google Scholar] [CrossRef] [PubMed]
- Zhao, X.; Muller, J.G.; Halasyam, M.; David, S.S.; Burrows, J.C. In vitro ligation of oligodeoxynucleotides containing C8-oxidized purine lesions using bacteriophage T4 DNA ligase. Biochemistry 2007, 46, 3734–3744. [Google Scholar] [CrossRef] [PubMed][Green Version]
- Luo, W.; Muller, J.G.; Rachlin, E.M.; Burrows, C.J. Characterization of hydantoin products from one-electron oxidation of 8-oxo-7,8-dihydroguanosine in a nucleoside model. Chem. Res. Toxicol. 2001, 14, 927–938. [Google Scholar] [CrossRef] [PubMed]
- Krishnamurthy, N.; Muller, J.G.; Burrows, C.J.; David, S.S. Unusual structural features of hydantoin lesions translate into efficient recognition by Escherichia coli Fpg. Biochemistry 2007, 46, 9355–9365. [Google Scholar] [CrossRef][Green Version]
- Suzuki, M.; Kino, K.; Morikawa, M.; Kobayashi, T.; Komori, R.; Miyazawa, H. Calculation of the stabilization energies of oxidatively damaged guanine base pairs with guanine. Molecules 2012, 17, 6705–6715. [Google Scholar] [CrossRef] [PubMed]
- Jena, N.R.; Gaur, V.; Mishrac, P.C. The R- and S-diastereoisomeric effects on the guanidinohydantoin-induced mutations in DNA. Phys. Chem. Chem. Phys. 2015, 17, 18111–18120. [Google Scholar] [CrossRef] [PubMed]
- Jena, N.R.; Bansal, M.; Mishrac, P.C. Conformational stabilities of iminoallantoin and its base pairs in DNA: Implications for mutagenicity. Phys. Chem. Chem. Phys. 2016, 18, 12774–12783. [Google Scholar] [CrossRef] [PubMed]
- Aller, P.; Ye, Y.; Wallace, S.S.; Burrows, C.J.; Doublié, S. Crystal structure of a replicative DNA polymerase bound to the oxidized guanine lesion guanidinohydantoin. Biochemistry 2010, 49, 2502–2509. [Google Scholar] [CrossRef]
- Beckman, J.; Wang, M.; Blaha, G.; Wang, J.; Konigsberg, W.H. Substitution of Ala for Tyr567 in RB69 DNA polymerase allows dAMP and dGMP to be inserted opposite guanidinohydantoin. Biochemistry 2010, 49, 8554–8563. [Google Scholar] [CrossRef] [PubMed]
- Oh, J.; Fleming, A.M.; Xu, J.; Chong, J.; Burrows, C.J.; Wang, D. RNA polymerase II stalls on oxidative DNA damage via a torsion-latch mechanism involving lone pair–π and CH–π interactions. Proc. Natl. Acad. Sci. USA 2020, 117, 9338–9348. [Google Scholar] [CrossRef]
- Alenko, A.; Fleming, A.M.; Burrows, C.J. Reverse transcription past products of guanine oxidation in RNA leads to insertion of A and C opposite 8-oxo-7,8-dihydroguanine and A and G opposite 5-guanidinohydantoin and spiroiminodihydantoin diastereomers. Biochemistry 2017, 56, 5053–5064. [Google Scholar] [CrossRef]
- Henderson, P.T.; Delaney, J.C.; Muller, J.G.; Neeley, W.L.; Tannenbaum, S.R.; Burrows, C.J.; Essigmann, J.M. The hydantoin lesions formed from oxidation of 7,8-dihydro-8-oxoguanine are potent sources of replication errors in vivo. Biochemistry 2003, 42, 9257–9262. [Google Scholar] [CrossRef]
- Delaney, S.; Neeley, W.L.; Delaney, J.C.; Essigmann, J.M. The substrate specificity of MutY for hyperoxidized guanine lesions in vivo. Biochemistry 2007, 46, 1448–1455. [Google Scholar] [CrossRef]
- Hori, M.; Suzuki, T.; Minakawa, N.; Matsuda, A.; Harashima, H.; Kamiya, H. Mutagenicity of secondary oxidation products of 8-oxo-7,8-dihydro-2′-deoxyguanosine 5′-triphosphate (8-hydroxy-2′-deoxyguanosine 5′-triphosphate). Mutat. Res. 2011, 714, 11–16. [Google Scholar] [CrossRef] [PubMed]
- Zhu, J.; Fleming, A.M.; Orendt, A.M.; Burrows, J. CpH-Dependent equilibrium between 5-guanidinohydantoin and iminoallantoin affects nucleotide insertion opposite the DNA lesion. J. Org. Chem. 2016, 81, 351–359. [Google Scholar] [CrossRef]
- Shukla, P.K.; Mishra, P.C. Base pairing patterns of DNA base lesion spiroiminodihydantoin: A DFT study. Int. J. Quantum Chem. 2013, 113, 2600–2604. [Google Scholar] [CrossRef]
- Jia, L.; Shafirovich, V.; Shapiro, R.; Geacintov, N.E.; Broyde, S. Structural and thermodynamic features of spiroiminodihydantoin damaged DNA duplexes. Biochemistry 2005, 44, 13342–13353. [Google Scholar] [CrossRef] [PubMed]
- Gruessner, B.; Dwarakanath, M.; Stewart, E.; Bae, Y.; Jamieson, E.R. Effect of base-pairing partner on the thermodynamic stability of the diastereomeric spiroiminodihydantoin lesion. Chem. Res. Toxicol. 2016, 29, 279–284. [Google Scholar] [CrossRef]
- Neeley, W.L.; Delaney, S.; Alekseyev, Y.O.; Jarosz, D.F.; Delaney, J.C.; Walker, G.C.; Essigmann, J.M. DNA polymerase V allows bypass of toxic guanine oxidation products in vivo. J. Biol. Chem. 2007, 282, 12741–12748. [Google Scholar] [CrossRef]
- Ding, S.; Jia, L.; Durandin, A.; Crean, C.; Kolbanovskiy, A. Absolute configurations of spiroiminodihydantoin and allantoin stereoisomers: Comparison of computed and measured electronic circular dichroism spectra. Chem. Res. Toxicol. 2009, 22, 1189–1193. [Google Scholar] [CrossRef]
- Alshykhly, O.R.; Fleming, A.M.; Burrows, C.J. Guanine oxidation product 5-carboxamido-5-formamido-2-iminohydantoin induces mutations when bypassed by DNA polymerases and is a substrate for base excision repair. Chem. Res. Toxicol. 2015, 28, 1861–1871. [Google Scholar] [CrossRef]
- Huang, J.; Yennie, C.J.; Delaney, S. Klenow fragment discriminates against the incorporation of the hyperoxidized dGTP lesion spiroiminodihydantoin into DNA. Chem. Res. Toxicol. 2015, 28, 2325–2333. [Google Scholar] [CrossRef]
- Lapi, A.; Pratviel, G.; Meunier, B. Guanine oxidation in double-stranded DNA by MnTMPyP/KHSO5: At least three independent reaction pathways. Met. Based Drugs 2001, 8, 47–56. [Google Scholar] [CrossRef]
- Mourgues, S.; Kupan, A.; Pratviel, G.; Meunier, B. Use of short duplexes for the analysis of the sequence-dependent cleavage of DNA by a chemical nuclease, a manganese porphyrin. Chembiochem 2005, 6, 2326–2335. [Google Scholar] [CrossRef]
- Ghude, P.; Schallenbeiger, M.A.; Fleming, A.M.; Muller, J.G.; Burrows, C.J. Comparison of transition metal-mediated oxidation reactions of guanine in nucleoside and single-stranded oligodeoxynucleotide contexts. Inorg. Chim. Acta 2011, 369, 240–246. [Google Scholar] [CrossRef]
- Fleming, A.M.; Muller, J.G.; Ji, I.; Burrows, C.J. Characterization of 2′-deoxyguanosine oxidation products observed in the Fenton-like system Cu(Il)/H2O2/reductant in nucleoside and oligodeoxynucleotide contexts. Org. Biomol. Chem. 2011, 9, 3338–3348. [Google Scholar] [CrossRef]
- Alshykhly, O.R.; Fleming, A.M.; Burrows, C.J. 5-Carboxamido-5-formamido-2-iminohydantoin, in addition to 8-oxo-7,8-dihydroguanine, is the major product of the iron-Fenton or X-ray radiation-induced oxidation of guanine under aerobic reducing conditions in nucleoside and DNA contexts. J. Org. Chem. 2015, 80, 6996–7007. [Google Scholar] [CrossRef] [PubMed]
- Ide, H.; Kow, Y.W.; Wallace, S.S. Thymine glycols and urea residues in M13 DNA constitute replicative blocks in vitro. Nucleic Acids Res. 1985, 13, 8035–8052. [Google Scholar] [CrossRef] [PubMed]
- Henderson, P.T.; Neeley, W.L.; Delaney, J.C.; Gu, F.; Niles, J.C.; Hah, S.S.; Tannenbaum, S.R.; Essigmann, J.M. Urea lesion formation in DNA as a consequence of 7,8-dihydro-8-oxoguanine oxidation and hydrolysis provides a potent source of point mutations. Chem. Res. Toxicol. 2005, 18, 12–18. [Google Scholar] [CrossRef] [PubMed]
- Maccabee, M.; Evans, J.S.; Glackin, M.P.; Hatahet, Z.; Wallace, S.S. Pyrimidine ring fragmentation products. Effects of lesion structure and sequence context on mutagenesis. J. Mol. Biol. 1994, 236, 514–530. [Google Scholar] [CrossRef]
- Suzuki, M.; Kino, K.; Miyazawa, H. Selectivity of bases incorporated opposite oxidative guanine damages by DNA polymerases. Rad. Biol. Res. Comm. 2012, 47, 137–164. [Google Scholar]
- Joffe, A.; Mock, S.; Yun, B.H.; Kolbanovskiy, A.; Geacintov, N.E.; Shafirovich, V. Oxidative generation of guanine radicals by carbonate radicals and their reactions with nitrogen dioxide to form site specific 5-guanidino-4-nitroimidazole lesions in oligodeoxynucleotides. Chem. Res. Toxicol. 2003, 16, 966–973. [Google Scholar] [CrossRef]
- Neeley, W.L.; Henderson, P.T.; Essigmann, J.M. Efficient synthesis of DNA containing the guanine oxidation-nitration product 5-guanidino-4-nitroimidazole: Generation by a postsynthetic substitution reaction. Org. Lett. 2004, 6, 245–248. [Google Scholar] [CrossRef]
- Jia, L.; Shafirovich, V.; Shapiro, R.; Geacintov, N.E.; Broyde, S. Flexible 5-guanidino-4-nitroimidazole DNA lesions: Structures and thermodynamics. Biochemistry 2006, 45, 6644–6655. [Google Scholar] [CrossRef]
- Gu, F.; Stillwell, W.G.; Wishnok, J.S.; Shallop, A.J.; Jones, R.A.; Tannenbaum, S.R. Peroxynitrite-induced reactions of synthetic oligo 2′-deoxynucleotides and DNA containing guanine: Formation and stability of a 5-guanidino-4-nitroimidazole lesion. Biochemistry 2002, 41, 7508–7518. [Google Scholar] [CrossRef]
- Dimitri, A.; Jia, L.; Shafirovich, V.; Geacintov, N.E.; Broyde, S.; Scicchitano, D.A. Transcription of DNA containing the 5-guanidino-4-nitroimidazole lesion by human RNA polymerase II and bacteriophage T7 RNA polymerase. DNA Repair 2008, 7, 1276–1288. [Google Scholar] [CrossRef][Green Version]
- Fleming, A.M.; Armentrout, E.I.; Zhu, J.; Muller, J.G.; Burrows, C.J. Spirodi(iminohydantoin) products from oxidation of 2′-deoxyguanosine in the presence of NH4Cl in nucleoside and oligodeoxynucleotide contexts. J. Org. Chem. 2015, 80, 711–721. [Google Scholar] [CrossRef] [PubMed]
- Delaney, S.; Delaney, J.C.; Essigmann, J.M. Chemical-biological fingerprinting: Probing the properties of DNA lesions formed by peroxynitrite. Chem. Res. Toxicol. 2007, 20, 1718–1729. [Google Scholar] [CrossRef] [PubMed]
- Moschel, R.C.; Behrman, E.J. Oxidation of nucleic acid bases by potassium peroxodisulfate in alkaline aqueous solution. J. Org. Chem. 1974, 39, 1983–1989. [Google Scholar] [CrossRef] [PubMed]
- Torres, M.C.; Varaprasad, C.V.; Johnson, F.; Iden, C.R. Formation of s-triazines during aerial oxidation of 8-oxo-7,8-dihydro-2′-deoxyguanosine in concentrated ammonia. Carcinogenesis 1999, 20, 167–172. [Google Scholar] [CrossRef][Green Version]
- Yermilov, V.; Rubio, J.; Becchi, M.; Friesen, M.D.; Pignatelli, B.; Ohshima, H. Formation of 8-nitroguanine by the reaction of guanine with peroxynitrite in vitro. Carcinogenesis 1995, 16, 2045–2050. [Google Scholar] [CrossRef]
- Niles, J.C.; Burney, S.; Singh, S.P.; Wishnok, J.S.; Tannenbaum, S.R. Peroxynitrite reaction products of 3′,5′-di-O-acetyl-8-oxo-7,8-dihydro-2′-deoxyguanosine. Proc. Natl. Acad. Sci. USA 1999, 96, 11729–11734. [Google Scholar] [CrossRef]
- Niles, J.C.; Wishnok, J.S.; Tannenbaum, S.R. A novel nitration product formed during the reaction of peroxynitrite with 2′,3′,5′-tri-O-acetyl-7,8-dihydro-8-oxoguanosine: N-nitro-N′-[1-(2,3,5-tri-O-acetyl-β-D-erythro-pentofuranosyl)-2,4-dioxoimidazolidin-5-ylidene]guanidine. Chem. Res. Toxicol. 2000, 13, 390–396. [Google Scholar] [CrossRef]
- Niles, J.C.; Wishnok, J.S.; Tannenbaum, S.R. Mass spectrometric identification of 4-hydroxy-2,5-dioxo-imidazolidine-4-carboxylic acid during oxidation of 8-oxoguanosine by peroxynitrite and KHSO5/CoCl2. Chem. Res. Toxicol. 2004, 17, 1501–1509. [Google Scholar] [CrossRef]
- Niles, J.C.; Wishnok, J.S.; Tannenbaum, S.R. Spiroiminodihydantoin and guanidinohydantoin are the dominant products of 8-oxoguanosine oxidation at low fluxes of peroxynitrite: Mechanistic studies with 18O. Chem. Res. Toxicol. 2004, 17, 1510–1519. [Google Scholar] [CrossRef]
- Kino, K.; Morikawa, M.; Kobayashi, T.; Kobayashi, T.; Komori, R.; Sei, Y.; Miyazawa, H. The oxidation of 8-oxo-7,8-dihydroguanine by iodine. Bioorg. Med. Chem. Lett. 2010, 20, 3818–3820. [Google Scholar] [CrossRef]
- Shrivastav, N.; Li, D.; Essigmann, J.M. Chemical biology of mutagenesis and DNA repair: Cellular responses to DNA alkylation. Carcinogenesis 2010, 31, 59–70. [Google Scholar] [CrossRef]
- Fleming, A.M.; Burrows, C.J. Iron Fenton oxidation of 2′-deoxyguanosine in physiological bicarbonate buffer yields products consistent with the reactive oxygen species carbonate radical anion not the hydroxyl radical. Chem. Commun. 2020, 56, 9779–9782. [Google Scholar] [CrossRef] [PubMed]
- Pednekar, V.; Weerasooriya, S.; Jasti, V.P.; Basu, A.K. Mutagenicity and genotoxicity of (5′S)-8,5′-cyclo-2′-deoxyadenosine in Escherichia coli and replication of (5′S)-8,5′-cyclopurine-2′-deoxynucleosides in vitro by DNA polymerase IV, exo-free Klenow fragment, and Dpo4. Chem. Res. Toxicol. 2014, 27, 200–210. [Google Scholar] [CrossRef] [PubMed]
- Xu, W.; Ouellette, A.M.; Wawrzak, Z.; Shriver, S.J.; Anderson, S.M.; Zhao, L. Kinetic and structural mechanisms of (5′S)-8,5′-cyclo-2′-deoxyguanosine-induced dna replication stalling. Biochemistry 2015, 54, 639–651. [Google Scholar] [CrossRef] [PubMed]
- Swanson, A.L.; Wang, J.; Wang, Y. Accurate and efficient bypass of 8,5′-cyclopurine-2′-deoxynucleosides by human and yeast DNA polymerase η. Chem. Res. Toxicol. 2012, 25, 1682–1691. [Google Scholar] [CrossRef][Green Version]
- You, C.; Swanson, A.L.; Dai, X.; Yuan, B.; Wang, J.; Wang, Y. Translesion synthesis of 8,5′-cyclopurine-2′-deoxynucleosides by DNA polymerases η, ι, and ζ. J. Biol. Chem. 2013, 288, 28548–28556. [Google Scholar] [CrossRef] [PubMed]
- Jasti, V.P.; Das, R.S.; Hilton, B.A.; Weerasooriya, S.; Zou, Y.; Basu, A.K. (5′S)-8,5′-cyclo-2′-deoxyguanosine is a strong block to replication, a potent pol V-dependent mutagenic lesion, and is inefficiently repaired in Escherichia coli. Biochemistry 2011, 50, 3862–3865. [Google Scholar] [CrossRef]
- Yuan, B.; Wang, J.; Cao, H.; Sun, R.; Wang, Y. High-throughput analysis of the mutagenic and cytotoxic properties of DNA lesions by next-generation sequencing. Nucleic Acids Res. 2011, 39, 5945–5954. [Google Scholar] [CrossRef]
- Li, G.; De Clercq, E. Therapeutic options for the 2019 novel coronavirus (2019-nCoV). Nat. Rev. Drug Discov. 2020, 19, 149–150. [Google Scholar] [CrossRef]
- Liu, C.; Zhou, Q.; Li, Y.; Garner, L.V.; Watkins, S.P.; Carter, L.J.; Smoot, J.; Gregg, A.C.; Daniels, A.D.; Jervey, S.; et al. Research and development on therapeutic agents and vaccines for COVID-19 and related human coronavirus diseases. ACS Cent. Sci. 2020, 6, 315–331. [Google Scholar] [CrossRef]
- Furuta, Y.; Takahashi, K.; Kuno-Maekawa, M.; Sangawa, S.; Uehara, K.; Kozaki, N.; Nomura, N.; Egawa, H.; Shiraki, K. Mechanism of action of T-705 against influenza virus. Antimicrob. Agents Chemother. 2005, 49, 981–986. [Google Scholar] [CrossRef]
- Jin, Z.; Smith, L.K.; Rajwanshi, V.K.; Kim, B.; Deval, J. The ambiguous base-pairing and high substrate efficiency of T-705 (Favipiravir) ribofuranosyl 5′-triphosphate towards influenza a virus polymerase. PLoS ONE 2013, 8, e68347. [Google Scholar] [CrossRef]
- Rocha-Pereira, J.; Jochmans, D.; Dallmeier, K.; Leyssen, P.; Nascimento, M.S.; Neyts, J. Favipiravir (T-705) inhibits in vitro norovirus replication. Biochem. Biophys. Res. Commun. 2012, 424, 777–780. [Google Scholar] [CrossRef]
- Smither, S.J.; Eastaugh, L.S.; Steward, J.A.; Nelson, M.; Lenk, R.P.; Lever, M.S. Post-exposure efficacy of oral T-705 (Favipiravir) against inhalational Ebola virus infection in a mouse model. Antivir. Res. 2014, 104, 153–155. [Google Scholar] [CrossRef] [PubMed]
- Furuta, Y.; Egawa, H. Nitrogenous Heterocyclic Carboxamide Derivatives or Salts Thereof and Antiviral Agents Containing Both. International Patent Application No. PCT/JP1999/004429, 18 August 1999. [Google Scholar]
- Qiu, L.; Patterson, S.E.; Bonnac, L.F.; Geraghty, R.J. Nucleobases and corresponding nucleosides display potent antiviral activities against dengue virus possibly through viral lethal mutagenesis. PLoS Negl. Trop. Dis. 2018, 12, e0006421. [Google Scholar] [CrossRef] [PubMed]
- Wang, G.; Wan, J.; Hu, Y.; Wu, X.; Prhavc, M.; Dyatkina, N.; Rajwanshi, V.K.; Smith, D.B.; Jekle, A.; Kinkade, A.; et al. Synthesis and anti-influenza activity of pyridine, pyridazine, and pyrimidine C-nucleosides as favipiravir (T-705) analogues. J. Med. Chem. 2016, 59, 4611–4624. [Google Scholar] [CrossRef]
- Crotty, S.; Maag, D.; Arnold, J.J.; Zhong, W.; Lau, J.Y.; Hong, Z.; Andino, R.; Cameron, C.E. The broad-spectrum antiviral ribonucleoside ribavirin is an RNA virus mutagen. Nat. Med. 2000, 6, 1375–1379. [Google Scholar] [CrossRef] [PubMed]
- Moriyama, K.; Negishi, K.; Briggs, M.S.; Smith, C.L.; Hill, F.; Churcher, M.J.; Brown, D.M.; Loakes, D. Synthesis and RNA polymerase incorporation of the degenerate ribonucleotide analogue rPTP. Nucleic Acids Res. 1998, 26, 2105–2111. [Google Scholar] [CrossRef][Green Version]
- Sheahan, T.P.; Sims, A.C.; Zhou, S.; Graham, R.L.; Pruijssers, A.J.; Agostini, M.L.; Leist, S.R.; Schäfer, A.; Dinnon, K.H., 3rd; Stevens, L.J.; et al. An orally bioavailable broad-spectrum antiviral inhibits SARS-CoV-2 in human airway epithelial cell cultures and multiple coronaviruses in mice. Sci. Transl. Med. 2020, 12, eabb5883. [Google Scholar] [CrossRef] [PubMed]
- Warren, T.K.; Jordan, R.; Lo, M.K.; Ray, A.S.; Mackman, R.L.; Soloveva, V.; Siegel, D.; Perron, M.; Bannister, R.; Hui, H.C.; et al. Therapeutic efficacy of the small molecule GS-5734 against Ebola virus in rhesus monkeys. Nature 2016, 531, 381–385. [Google Scholar] [CrossRef]
- Lo, M.K.; Jordan, R.; Arvey, A.; Sudhamsu, J.; Shrivastava-Ranjan, P.; Hotard, A.L.; Flint, M.; McMullan, L.K.; Siegel, D.; Clarke, M.O.; et al. GS-5734 and its parent nucleoside analog inhibit Filo-, Pneumo-, and Paramyxoviruses. Sci. Rep. 2017, 7, 43395. [Google Scholar] [CrossRef]
- Sheahan, T.P.; Sims, A.C.; Graham, R.L.; Menachery, V.D.; Gralinski, L.E.; Case, J.B.; Leist, S.R.; Pyrc, K.; Feng, J.Y.; Trantcheva, I.; et al. Broad-spectrum antiviral GS-5734 inhibits both epidemic and zoonotic coronaviruses. Sci. Transl. Med. 2017, 9, eaal3653. [Google Scholar] [CrossRef]
- Yin, W.; Mao, C.; Luan, X.; Shen, D.D.; Shen, Q.; Su, H.; Wang, X.; Zhou, F.; Zhao, W.; Gao, M.; et al. Structural basis for inhibition of the RNA-dependent RNA polymerase from SARS-CoV-2 by remdesivir. Science 2020, 368, 1499–1504. [Google Scholar] [CrossRef] [PubMed]
- Gordon, C.J.; Tchesnokov, E.P.; Woolner, E.; Perry, J.K.; Feng, J.Y.; Porter, D.P.; Götte, M. Remdesivir is a direct-acting antiviral that inhibits RNA-dependent RNA polymerase from severe acute respiratory syndrome coronavirus 2 with high potency. J. Biol. Chem. 2020, 295, 6785–6797. [Google Scholar] [CrossRef]
- Jordan, P.C.; Liu, C.; Raynaud, P.; Lo, M.K.; Spiropoulou, C.F.; Symons, J.A.; Beigelman, L.; Deval, J. Initiation, extension, and termination of RNA synthesis by a paramyxovirus polymerase. PLoS Pathog. 2018, 14, e1006889. [Google Scholar] [CrossRef] [PubMed]
- Tchesnokov, E.P.; Feng, J.Y.; Porter, D.P.; Götte, M. Mechanism of Inhibition of Ebola Virus RNA-Dependent RNA Polymerase by Remdesivir. Viruses 2019, 11, 326. [Google Scholar] [CrossRef] [PubMed]
- Oertell, K.; Harcourt, E.M.; Mohsen, M.G.; Petruska, J.; Kool, E.T.; Goodman, M.F. Kinetic selection vs. free energy of DNA base pairing in control of polymerase fidelity. Proc. Natl. Acad. Sci. USA 2016, 113, E2277–E2285. [Google Scholar] [CrossRef]
- Dizdaroglu, M.; Coskun, E.; Jaruga, P. Repair of oxidatively induced DNA damage by DNA glycosylases: Mechanisms of action, substrate specificities and excision kinetics. Mutat. Res. 2017, 771, 99–127. [Google Scholar] [CrossRef]
- Kino, K.; Takao, M.; Miyazawa, H.; Hanaoka, F. A DNA oligomer containing 2,2,4-triamino-5(2H)-oxazolone is incised by human NEIL1 and NTH1. Mutat. Res. 2012, 734, 73–77. [Google Scholar] [CrossRef]
- Kino, K.; Shimizu, Y.; Sugasawa, K.; Sugiyama, H.; Hanaoka, F. Nucleotide excision repair of 5-formyluracil in vitro is enhanced by the presence of mismatched bases. Biochemistry 2004, 43, 2682–2687. [Google Scholar] [CrossRef]












| Damage | Typical Generations of Oligomer Containing the Damage 1 | The Ease of Formation of Base Pairs 3,4 |
|---|---|---|
| Iz | G/riboflavin, 366 nm [14,15] | Tm: Iz:G > Iz:T > Iz:A > Iz:C [5] |
| Pol I: Iz:G > Iz:A [14] | ||
| Pol α: Iz:G ~ Iz:C > Iz:A [22] | ||
| Pol β: Iz:G ~ Iz:C > Iz:A [22] | ||
| E. coli: Iz:G > Iz:C [24] | ||
| Oz | Iz/heat [26] | Tm: only Oz:G 2 [27] |
| Kf exo-: only Oz:A [26] | ||
| Kf exo-: Oz:A ~ Oz:G [22] | ||
| Taq: Oz:A > Oz:G ~ Oz:C [26] | ||
| Pol α: Oz:G > Oz:A [22] | ||
| Pol β: Oz:G > Oz:A [22] | ||
| Pol γ: Oz:G > Oz:A [22] | ||
| Pol δ: only Oz:G [28] | ||
| Pol ε: only Oz:G [22] | ||
| E. coli: Oz:A > Oz:C [29] | ||
| Gf | Oz/heat [30] | Kf exo-: Gf:A > Gf:G > Gf:C [30] |
| Gh/Ia | 8-oxoG/Na2IrCl6, 4 °C [35] | Tm: Gh/Ia:A > Gh/Ia:C > Gh/Ia:G > Gh/Ia:T [36] |
| 8-oxoG/I2, KI, pH 5.7 [81] | Kf exo-: Gh/Ia:A > Gh/Ia:G [22,36] | |
| Kf exo-: Gh/Ia:G > Gh/Ia:A [36] | ||
| RB69 exo-: Gh/Ia:A > Gh/Ia:G [43,44] | ||
| Pol α: Gh/Ia:G ~ Gh/Ia:A [22] | ||
| Pol β: Gh/Ia:G > Gh/Ia:A [22] | ||
| Pol γ: Gh/Ia:A > Gh/Ia:G [22] | ||
| Pol ε: Gh/Ia:A ~ Gh/Ia:G [22] | ||
| RNA Pol II: Gh/Ia:A > Gh/Ia:G [45] | ||
| SuperScript III: Gh/Ia:G > Gh/Ia:A [46] | ||
| E. coli: Gh:G > Gh:A [47,48,54] | ||
| Sp | 8-oxoG/Na2IrCl6, 50 °C [35] | Tm: Sp:G > Sp:A > Sp:C > Sp:T [36] |
| 8-oxoG/I2, KI, pH 7.7 [81] | Tm: Sp:C > Sp:G > Sp:A > Sp:T [36] | |
| Tm: Sp1:G > Sp1:T > Sp1:A > Sp1:C [53] | ||
| Tm: Sp2:G ~ Sp2:T > Sp2:A > Sp2:C [53] | ||
| Tm: Sp2:G > Sp2:A > Sp2:T > Sp2:C [53] | ||
| Kf exo-: Sp:A > Sp:G [36] | ||
| Kf exo-: Sp:G > Sp:A [36] | ||
| Klen Taq: Sp:G > Sp:A [56] | ||
| RNA Pol II: Sp:A > Sp:G [45] | ||
| SuperScript III: Sp:G > Sp:A [46] | ||
| E. coli: Sp:G > Sp:A [47] | ||
| E. coli: Sp1:A > Sp1:G [48,54] | ||
| E. coli: Sp2:A ~ Sp2:G [48] | ||
| E. coli: Sp2:G > Sp2:A [54] | ||
| SOS-induced E. coli: Sp2:A > Sp2:G [54] | ||
| 2Ih | G/Mn-TMPyP, KHSO5 [59] | Tm: 2Ih:G > 2Ih:A > 2Ih:C > 2Ih:T [56] |
| G/X-ray, ascorbate [62] | Kf exo-: 2Ih:G > 2Ih:A [56] | |
| G/Fe(II)-EDTA, H2O2, ascorbate [62] | Klen Taq: 2Ih:G > 2Ih:A [56] | |
| G/NiCR, KHSO5 [60] | ||
| G/(AcO)2Cu, ascorbate, H2O2 [61] | ||
| Ua | oxalurate/ NaHCO3 [64] | E. coli: Ua:A > Ua:G > Ua:T [48] |
| E. coli: Ua:A > Ua:G > Ua:T > Ua:C [54] | ||
| E.coli: only Ua:A [64] | ||
| SOS-induced E. coli: Ua:G > Ua:A > Ua:T [64] | ||
| NI | G/peroxynitrate [17] | Tm: NI:G > NI:A > NI:C > NI:T [68] |
| G/308 nm, NaHCO3, NaNO2, Na2S2O8 [67] | Pol α: NI:A > NI:G > NI:C [70] | |
| Pol β: NI:C > NI:A > NI:G [70] | ||
| Kf exo-: NI:C > NI:A > NI:G [70] | ||
| T7 RNA Pol: NI:C > NI:A > NI:G > NI:U [71] | ||
| RNA Pol II: only NI:C [71] | ||
| E. coli: NI:C > NI:A > NI:T > NI:G [24] | ||
| E. coli: NI:C > NI:A > NI:G > NI:T [54] | ||
| SOS-induced E. coli: NI:C > NI:A > NI:T > NI:G [54] | ||
| 5-Si | G/riboflavin, NH4Cl, 350 nm [72] | Kf exo-: 5-Si:A > 5-Si:G > 5-Si:C ~ 5-Si:T [72] |
| G/rose bengal, NH4Cl, 350 nm [72] | (E. coli: ?:A > ?:T > ?:G > ?:C)5 [73] | |
| G/Na2IrCl6, NH4Cl [72] | (SOS-induced E. coli: ?:A > ?:G > ?:T > ?:C)5 [73] | |
| (8-oxoG/peroxynitrate) [73] | ||
| triazine | (8-oxoG/peroxynitrate) [73] | (E. coli: ?:G > ?:A > ?:T > ?:C)5 [73] |
| (SOS-induced E. coli: ?:A > ?:G > ?:T > ?:C)5 [73] | ||
| M+7 | (8-oxoG/peroxynitrate) [73] | (E. coli: ?:G > ?:T > ?:A > ?:C)5 [73] |
| cG | Kf exo-: cG:C > cG:T > cG:A ~ cG:G [84] | |
| Pol B1: cG:C > cG:A > cG:T > cG:G [85] | ||
| E. coli: cG:C > cG:T [88,89] |
Publisher’s Note: MDPI stays neutral with regard to jurisdictional claims in published maps and institutional affiliations. |
© 2020 by the authors. Licensee MDPI, Basel, Switzerland. This article is an open access article distributed under the terms and conditions of the Creative Commons Attribution (CC BY) license (http://creativecommons.org/licenses/by/4.0/).
Share and Cite
Kino, K.; Kawada, T.; Hirao-Suzuki, M.; Morikawa, M.; Miyazawa, H. Products of Oxidative Guanine Damage Form Base Pairs with Guanine. Int. J. Mol. Sci. 2020, 21, 7645. https://doi.org/10.3390/ijms21207645
Kino K, Kawada T, Hirao-Suzuki M, Morikawa M, Miyazawa H. Products of Oxidative Guanine Damage Form Base Pairs with Guanine. International Journal of Molecular Sciences. 2020; 21(20):7645. https://doi.org/10.3390/ijms21207645
Chicago/Turabian StyleKino, Katsuhito, Taishu Kawada, Masayo Hirao-Suzuki, Masayuki Morikawa, and Hiroshi Miyazawa. 2020. "Products of Oxidative Guanine Damage Form Base Pairs with Guanine" International Journal of Molecular Sciences 21, no. 20: 7645. https://doi.org/10.3390/ijms21207645
APA StyleKino, K., Kawada, T., Hirao-Suzuki, M., Morikawa, M., & Miyazawa, H. (2020). Products of Oxidative Guanine Damage Form Base Pairs with Guanine. International Journal of Molecular Sciences, 21(20), 7645. https://doi.org/10.3390/ijms21207645

