Cathecol and Naphtol Groups in Salphen-Type Schiff Bases for the Preparation of Polynuclear Complexes
Abstract
1. Introduction
2. Results and Discussion
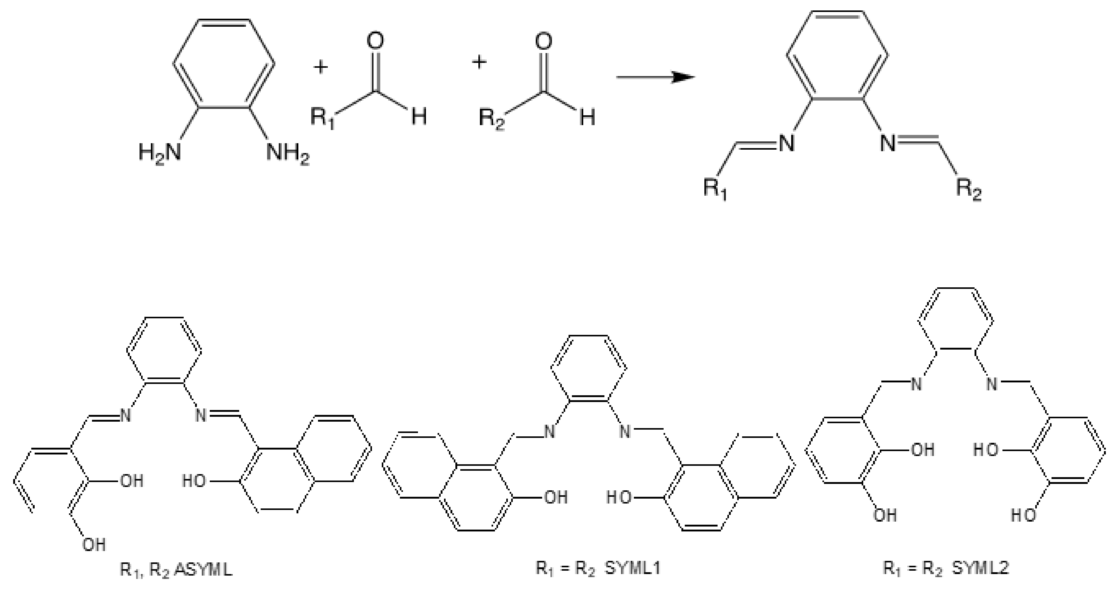
2.1. Synthesis
2.2. Description of Crystal Structures
2.3. Magnetic Properties
3. Materials and Methods
Characterization Methods
4. Conclusions
Supplementary Materials
Author Contributions
Funding
Acknowledgments
Conflicts of Interest
Abbreviations
| MDPI | Multidisciplinary Digital Publishing Institute |
| DOAJ | Directory of open access journals |
References
- Nguyen, T.N.; Wernsdorfer, W.; Abboud, K.A.; Christou, G. A supramolecular aggregate of four exchange-biased single-molecule magnets. J. Am. Chem. Soc. 2011, 133, 20688–20691. [Google Scholar] [CrossRef] [PubMed]
- Aromí, G.; Brechin, E.K. Synthesis of 3d metallic single-molecule magnets. Struct. Bond. 2006, 122, 1–67. [Google Scholar]
- Rosado Piquer, L.; Sañudo, E.C.; Rosado Piquer, L. Heterometallic 3d-4f single-molecule magnets. Dalton Trans. 2015, 44, 8771–8780. [Google Scholar] [CrossRef] [PubMed]
- Mukherjee, P.; Biswas, C.; Drew, M.G.B.; Ghosh, A. Structural variations in Ni(II) complexes of salen type di-Schiff base ligands. Polyhedron 2007, 26, 3121–3128. [Google Scholar] [CrossRef]
- Venkataramanan, N.S.; Kuppuraj, G.; Rajagopal, S. Metal-salen complexes as efficient catalysts for the oxygenation of heteroatom containing organic compounds—Synthetic and mechanistic aspects. Coord. Chem. Rev. 2005, 249, 1249–1268. [Google Scholar] [CrossRef]
- Gholizadeh Dogaheh, S.; Khanmohammadi, H.; Sañudo, E.C. Double-decker luminescent ytterbium and erbium SMMs with symmetric and asymmetric Schiff base ligands. New J. Chem. 2017, 41, 10101–10111. [Google Scholar] [CrossRef]
- Heras Ojea, M.J.; Reta Mañeru, D.; Rosado, L.; Rubio Zuazo, J.; Castro, G.R.; Tewary, S.; Rajaraman, G.; Aromí, G.; Jiménez, E.; Sañudo, E.C.; et al. Characterization of a robust Co(II) fluorescent complex deposited intact on HOPG. Chem. A Eur. J. 2014, 20, 10439–10445. [Google Scholar] [CrossRef]
- Dogaheh, S.G.; Heras Ojea, M.J.; Piquer, L.R.; Artús Suàrez, L.; Khanmohammadi, H.; Aromí, G.; Sañudo, E.C. Co II and Cu II Fluorescent Complexes with Acridine-Based Ligands. Eur. J. Inorg. Chem. 2016, 2016, 3314–3321. [Google Scholar] [CrossRef]
- Wang, H.; Liu, C.; Liu, T.; Zeng, S.; Cao, W.; Ma, Q.; Duan, C.; Dou, J.; Jiang, J. Mixed (phthalocyaninato)(Schiff-base) di-dysprosium sandwich complexes. Effect of magnetic coupling on the SMM behavior. Dalton Trans. 2013, 42, 15355–15360. [Google Scholar] [CrossRef]
- Sun, W.B.; Han, B.L.; Lin, P.H.; Li, H.F.; Chen, P.; Tian, Y.M.; Murugesu, M.; Yan, P.F. Series of dinuclear and tetranuclear lanthanide clusters encapsulated by salen-type and β-diketionate ligands: Single-molecule magnet and fluorescence properties. Dalton Trans. 2013, 42, 13397–13403. [Google Scholar] [CrossRef]
- Whiteoak, C.J.; Salassa, G.; Kleij, A.W. Recent advances with π-conjugated salen systems. Chem. Soc. Rev. 2012, 41, 622–631. [Google Scholar] [CrossRef] [PubMed]
- Yang, X.; Jones, R.A.; Wong, W.-K. Pentanuclear tetra-decker luminescent lanthanide Schiff base complexes. Dalton Trans. 2008, 1676–1678. [Google Scholar] [CrossRef] [PubMed][Green Version]
- Yang, F.; Yan, P.; Li, Q.; Chen, P.; Li, G. Salen-type triple-decker trinuclear Dy 3 complexes showing slow magnetic relaxation behavior. Eur. J. Inorg. Chem. 2012, 4287–4293. [Google Scholar] [CrossRef]
- Yan, P.-F.; Chen, S.; Chen, P.; Zhang, J.-W.; Li, G.-M. Novel quadridentate salen type triple-decker sandwich ytterbium complexes with near infrared luminescence. CrystEngComm 2011, 13, 36–39. [Google Scholar] [CrossRef]
- Gholizadeh, S.; Khanmohammadi, H.; Sañudo, E.C. A new trinuclear N–N bridged Cu (II) complex with an asymmetric Schiff base ligand derived from hydrazine. Polyhedron 2017, 133, 48–53. [Google Scholar] [CrossRef][Green Version]
- Yang, X.; Yan, X.; Guo, H.; Liu, B.; Zhao, J.; Zhou, G.; Wu, Y.; Wu, Z.; Wong, W.Y. Charged dinuclear Cu(I) complexes for solution-processed single-emitter warm white organic light-emitting devices. Dye. Pigment. 2017, 143, 151–164. [Google Scholar] [CrossRef]
- Li, G.; Congrave, D.G.; Zhu, D.; Su, Z.; Bryce, M.R. Recent advances in luminescent dinuclear iridium(III) complexes and their application in organic electroluminescent devices. Polyhedron 2018, 140, 146–157. [Google Scholar] [CrossRef]
- Li, G.; Zhu, D.; Wang, X.; Su, Z.; Bryce, M.R. Dinuclear metal complexes: Multifunctional properties and applications. Chem. Soc. Rev. 2020, 49, 765–838. [Google Scholar] [CrossRef]
- Shan, P.Y.; Li, H.F.; Chen, P.; Tian, Y.M.; Sun, W.B.; Yan, P.F. Synthesis, crystal structure, and single-molecule magnetic properties of a salen-type Zn-Dy-Zn complex. Zeitschrift fur Anorganische und Allgemeine Chemie 2015, 641, 1119–1124. [Google Scholar] [CrossRef]
- Mikhalyova, E.A.; Yakovenko, A.V.; Zeller, M.; Gavrilenko, K.S.; Lofland, S.E.; Addison, A.W.; Pavlishchuk, V.V. Structure, magnetic and luminescence properties of the lanthanide complexes Ln2(Salphen)3·H2O (Ln = Pr, Nd, Sm, Eu, Gd, Tb, Dy; H2Salphen = N,N′-bis(salicylidene)-1,2- phenylenediamine). Inorg. Chim. Acta 2014, 414, 97–104. [Google Scholar] [CrossRef]
- Rosado Piquer, L.; Royo Sánchez, R.; Sañudo, E.C.; Echeverrerría, J. Understanding the Molecule-Electrode Interface for Molecular Spintronic Devices: A Computational and Experimental Study. Molecules 2018, 23, 1441. [Google Scholar] [CrossRef] [PubMed]
- Ngan, N.K.; Lo, K.M.; Wong, C.S.R. Dinuclear and polynuclear dioxomolybdenum(VI) Schiff base complexes: Synthesis, structural elucidation, spectroscopic characterization, electrochemistry and catalytic property. Polyhedron 2012, 33, 235–251. [Google Scholar] [CrossRef]
- Rommel, S.A.; Sorsche, D.; Rau, S. A supramolecular H-bond driven light switch sensor for small anions. Dalton Trans. 2016, 45, 74–77. [Google Scholar] [CrossRef] [PubMed]
- Athanasopoulou, A.A.; Baldoví, J.J.; Carrella, L.M.; Rentschler, E. Field-induced slow magnetic relaxation in the first Dy(iii)-centered 12-metallacrown-4 double-decker. Dalton Trans. 2019, 48, 15381–15385. [Google Scholar] [CrossRef]
- Chandrasekhar, V.; Chakraborty, A.; Sañudo, E.C. Ferrocene-based compartmental ligand for the assembly of neutral ZnII/LnIII heterometallic complexes. Dalton Trans. 2013, 42, 13436–13443. [Google Scholar] [CrossRef]
- Abtab, S.M.T.; Majee, M.C.; Maity, M.; Titis, J.; Boca, R.; Chaudhury, M. Tetranuclear Hetero-Metal [CoII 2LnIII 2] (Ln = Gd, Tb, Dy, Ho, La) Complexes Involving Carboxylato Bridges in a Rare μ4−η2:η2 Mode: Synthesis, Crystal Structures, and Magnetic Properties. Inorg. Chem. 2014, 53, 1295–1306. [Google Scholar] [CrossRef]
- Mousumi, B.; Sañudo, E.C.; Cirera, J.; Ray, D. Coordination Control of a Semicarbazide Schiff Base Ligand for Spontaneous Aggregation of a Ni2Ln2 Cubane Family: Influence of Ligand Arms and Carboxylate Bridges on the Organization of the Magnetic Core Mousumi. New J. Chem. 2020, 42, 4812–4821. [Google Scholar]
- Laye, R.H.; Sañudo, E.C. Synthesis of Fe(II) and Cu(II) building blocks for metal–organic frameworks. Inorg. Chim. Acta 2009, 362, 2205–2212. [Google Scholar] [CrossRef]
- Hardy, E.E.; Wyss, K.M.; Keller, R.J.; Gorden, J.D.; Gorden, A.E.V. Tunable ligand emission of napthylsalophen triple-decker dinuclear lanthanide(iii) sandwich complexes. Dalton Trans. 2018, 47, 1337–1346. [Google Scholar] [CrossRef]
- Chien, Y.L.; Chang, M.W.; Tsai, Y.C.; Lee, G.H.; Sheu, W.S.; Yang, E.C. New salen-type dysprosium(III) double-decker and triple-decker complexes. Polyhedron 2015, 102, 8–15. [Google Scholar] [CrossRef]
- Wilson, A.J.C.; Geist, V. International Tables for Crystallography. Volume C: Mathematical, Physical and Chemical Tables. Cryst. Res. Technol. 1993, 28, 110. [Google Scholar] [CrossRef]
- Naskar, J.P.; Hati, S. New Bond-Valence Sum Model. Acta Crystallogr. Sect. B Struct. Sci. 1997, 53, 885–894. [Google Scholar] [CrossRef]
- Weihe, H.; Gudel, H.U. Angular and Distance Dependence of the Magnetic Properties of Oxo-Bridged Iron (III) Dimers. J. Am. Chem. Soc. 1997, 119, 6539–6543. [Google Scholar] [CrossRef]
- Ishikawa, N.; Sugita, M.; Ishikawa, T.; Koshihara, S.-Y.; Kaizu, Y. Lanthanide double-decker complexes functioning as magnets at the single-molecular level. J. Am. Chem. Soc. 2003, 125, 8694–8695. [Google Scholar] [CrossRef] [PubMed]
- Palenik, G.J.; Hu, S.Z. Assignment of oxidation states in metal complexes. Cerium(III) or cerium(IV) and other questions. Inorg. Chim. Acta 2009, 362, 4740–4743. [Google Scholar] [CrossRef]
- Chen, C.; Chen, H.; Yan, P.; Hou, G.; Li, G. Structure and electrochemistry of salen type cerium (IV) complexes tuned by multiform counterions. Inorg. Chim. Acta 2013, 405, 182–187. [Google Scholar] [CrossRef]
- Rodríguez-Doutón, M.; Fernández, M.; González-Noya, A.; Maneiro, M.; Pedrido, R.; Romero, M. Novel Manganese(III) Complexes with the Schiff Base N,N ′-(1,2-Phenylene)-bis(3-Hydroxysalicylidenimine). Synth. React. Inorg. Met. Nano-Met. Chem. 2006, 36, 655–662. [Google Scholar] [CrossRef]
- Liu, F.; Yang, F.; Chen, H.; Chen, Q.; Yan, P.; Li, G. Salen Type Homo-multinuclear Yb3 and Yb4 Complexes and Their NIR Luminescence. J. Inorg. Organomet. Polym. Mater. 2014, 24, 259–266. [Google Scholar] [CrossRef]









| Compound | SYML2 | SYML2-Mn | SYML1-Fe | SYML1-Cu | SYML1-Ce |
|---|---|---|---|---|---|
| Formula | C20H16N2O4·EtOH | C46H42Mn4N4O14, 4MeOH | C56H36N4O5Fe2 2CHCl3 | C28H18CuN2O2 CH2Cl2 | C56H38CeN4O5 |
| Crystal system | monoclinic | triclinic | monoclinic | monoclinic | orthorhombic |
| Space group | P 21/n | P | C 2/c | P 21/n | P21212 |
| a [Å] | 6.1465 (3) | 13.0498 (5) | 23.8428(13) | 11.2153(16) | 7.2925(2) |
| b [Å] | 14.3296 (6) | 13.4777 (5) | 13.3162(8) | 25.072(4) | 25.5351(6) |
| c [Å] | 21.8627 (7) | 16.4518 (2) | 16.7477(10) | 8.0918(12) | 12.2582(3) |
| α [º] | 90 | 89.486 (2) | 90 | 90 | 90 |
| β [º] | 98.039 (3) | 75.109 (2) | 110.838(2) | 92.767(12) | 90 |
| γ [º] | 90 | 68.798 (2) | 90 | 90 | 90 |
| V [Å3] | 1906.68 | 2594.06 (17) | 4969.51 | 2272.68 | 2282.66(10) |
| Z | 4 | 4 | 4 | 4 | 2 |
| Final R indexes | R = 0.0719 | R = 0.0617 | R1 = 0.0321 | R1 = 0.0491 | R1 = 0.0325 |
| wR = 0.2216 | wR = 0.2057 | wR2 = 0.1092 | wR2 = 0.1197 | wR2 = 0.0804 |
© 2020 by the authors. Licensee MDPI, Basel, Switzerland. This article is an open access article distributed under the terms and conditions of the Creative Commons Attribution (CC BY) license (http://creativecommons.org/licenses/by/4.0/).
Share and Cite
Gholizadeh Dogaheh, S.; Barbero, S.; Barrientos, J.; Janczak, J.; Soleimannejad, J.; Sañudo, E.C. Cathecol and Naphtol Groups in Salphen-Type Schiff Bases for the Preparation of Polynuclear Complexes. Int. J. Mol. Sci. 2020, 21, 3574. https://doi.org/10.3390/ijms21103574
Gholizadeh Dogaheh S, Barbero S, Barrientos J, Janczak J, Soleimannejad J, Sañudo EC. Cathecol and Naphtol Groups in Salphen-Type Schiff Bases for the Preparation of Polynuclear Complexes. International Journal of Molecular Sciences. 2020; 21(10):3574. https://doi.org/10.3390/ijms21103574
Chicago/Turabian StyleGholizadeh Dogaheh, Samira, Sara Barbero, Joel Barrientos, Jan Janczak, Janet Soleimannejad, and E. Carolina Sañudo. 2020. "Cathecol and Naphtol Groups in Salphen-Type Schiff Bases for the Preparation of Polynuclear Complexes" International Journal of Molecular Sciences 21, no. 10: 3574. https://doi.org/10.3390/ijms21103574
APA StyleGholizadeh Dogaheh, S., Barbero, S., Barrientos, J., Janczak, J., Soleimannejad, J., & Sañudo, E. C. (2020). Cathecol and Naphtol Groups in Salphen-Type Schiff Bases for the Preparation of Polynuclear Complexes. International Journal of Molecular Sciences, 21(10), 3574. https://doi.org/10.3390/ijms21103574

