Antibacterial Activities of Lipopeptide (C10)2-KKKK-NH2 Applied Alone and in Combination with Lens Liquids to Fight Biofilms Formed on Polystyrene Surfaces and Contact Lenses
Abstract
1. Introduction
2. Results
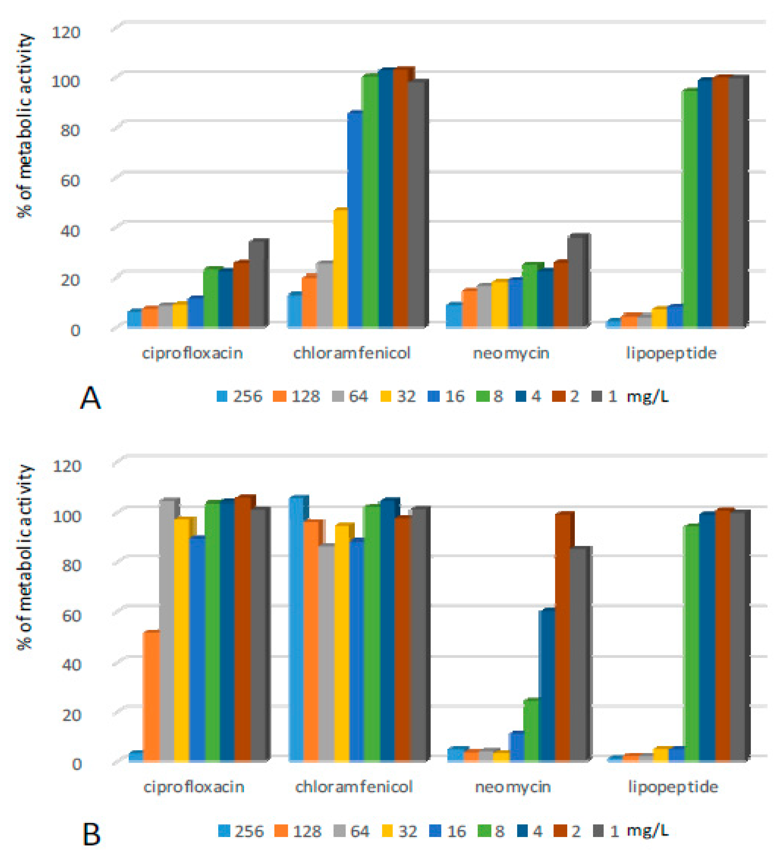
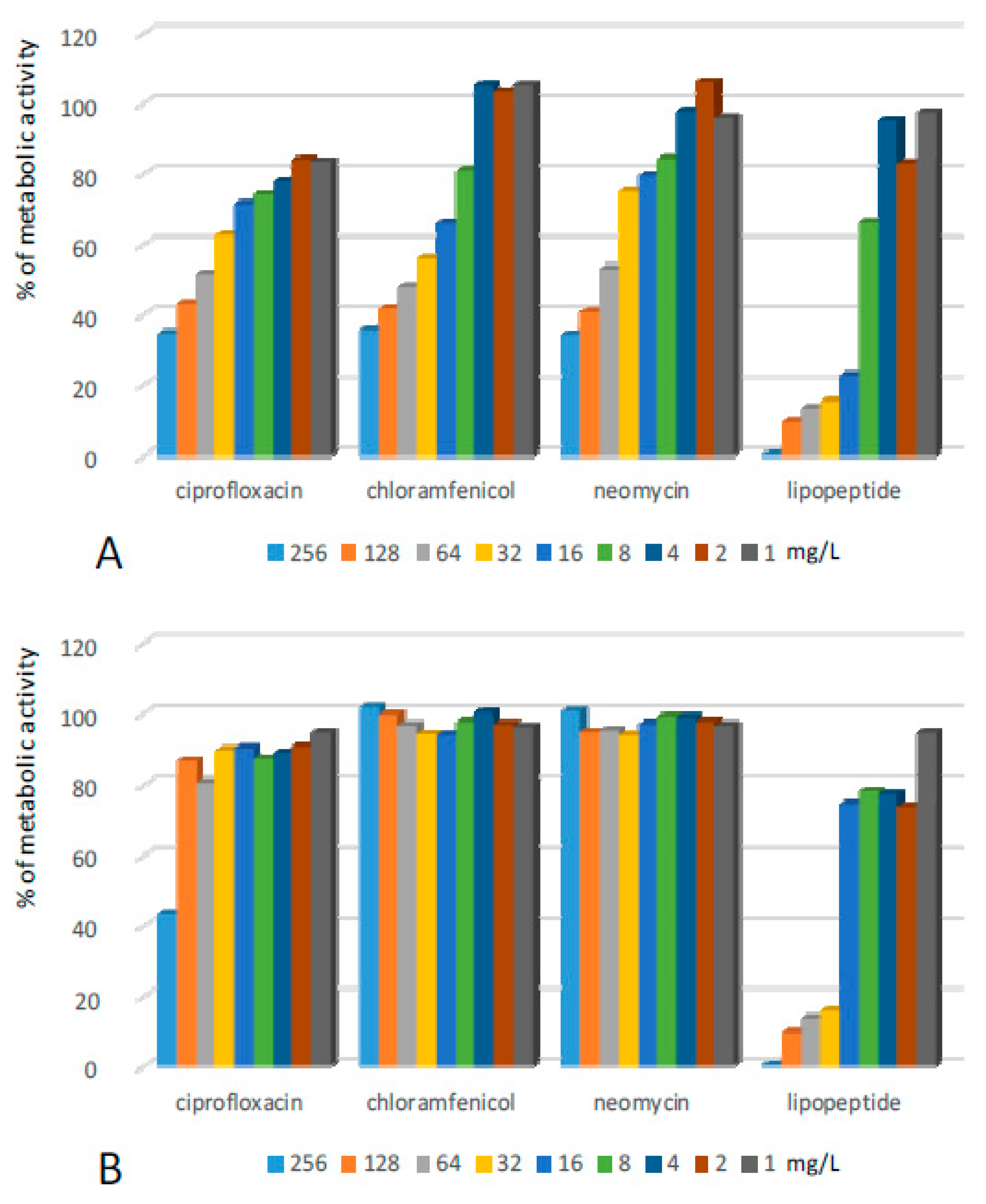
2.1. Activity of the Lipopeptide and Conventional Antibiotics against Biofilms Formed on Polystyrene
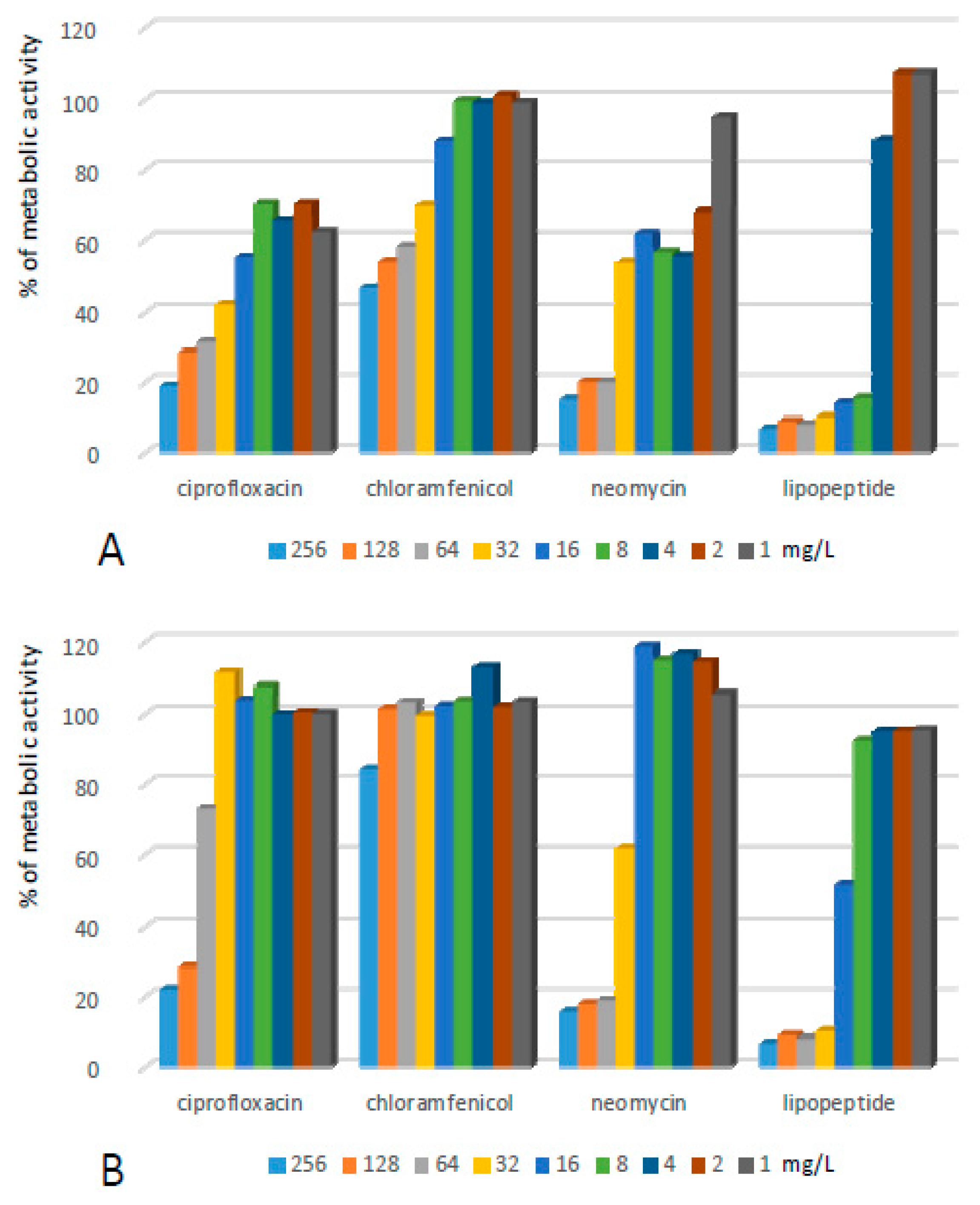
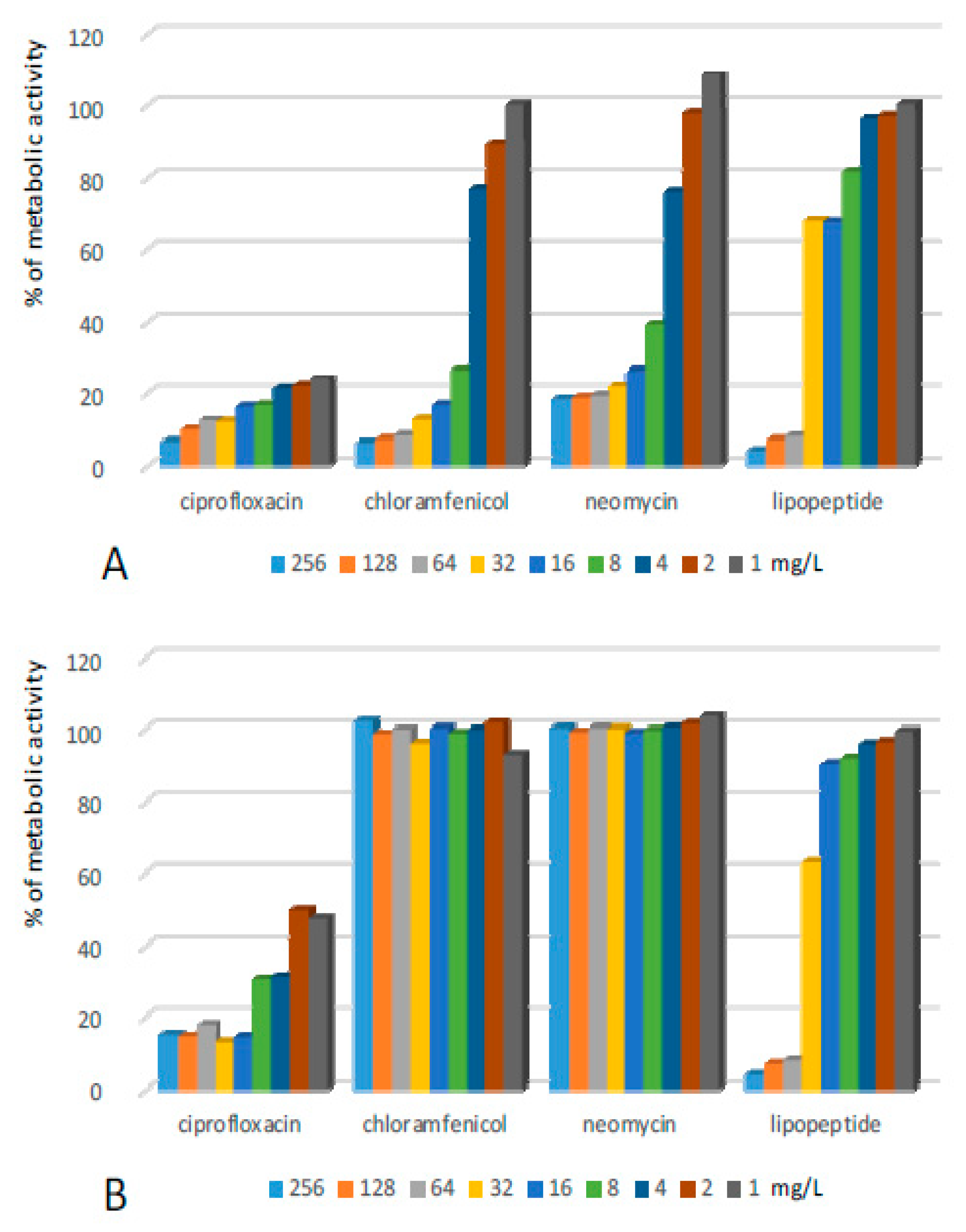
2.2. Activity of Lipopeptide and CL Solutions against Biofilms Formed on CLs
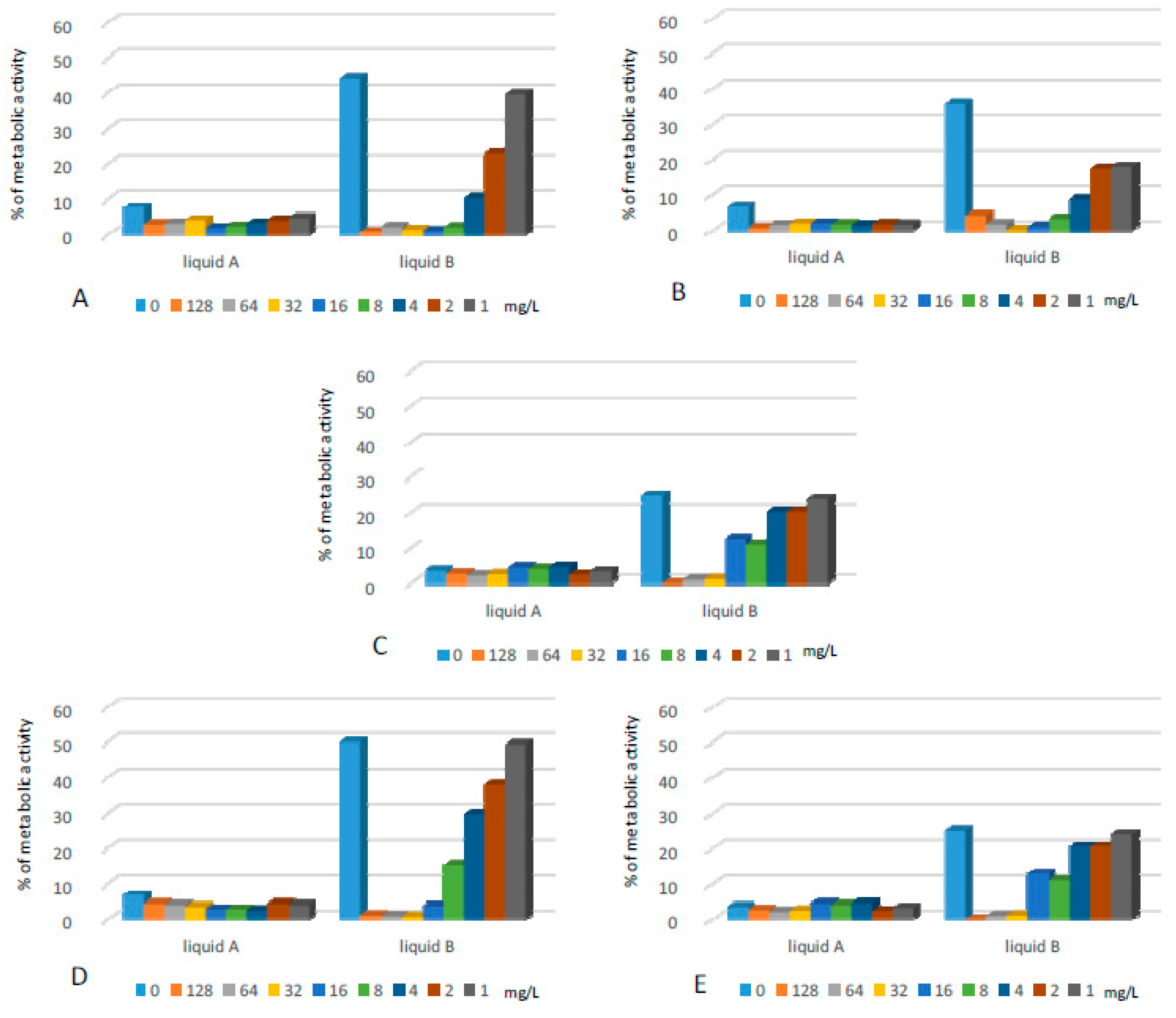
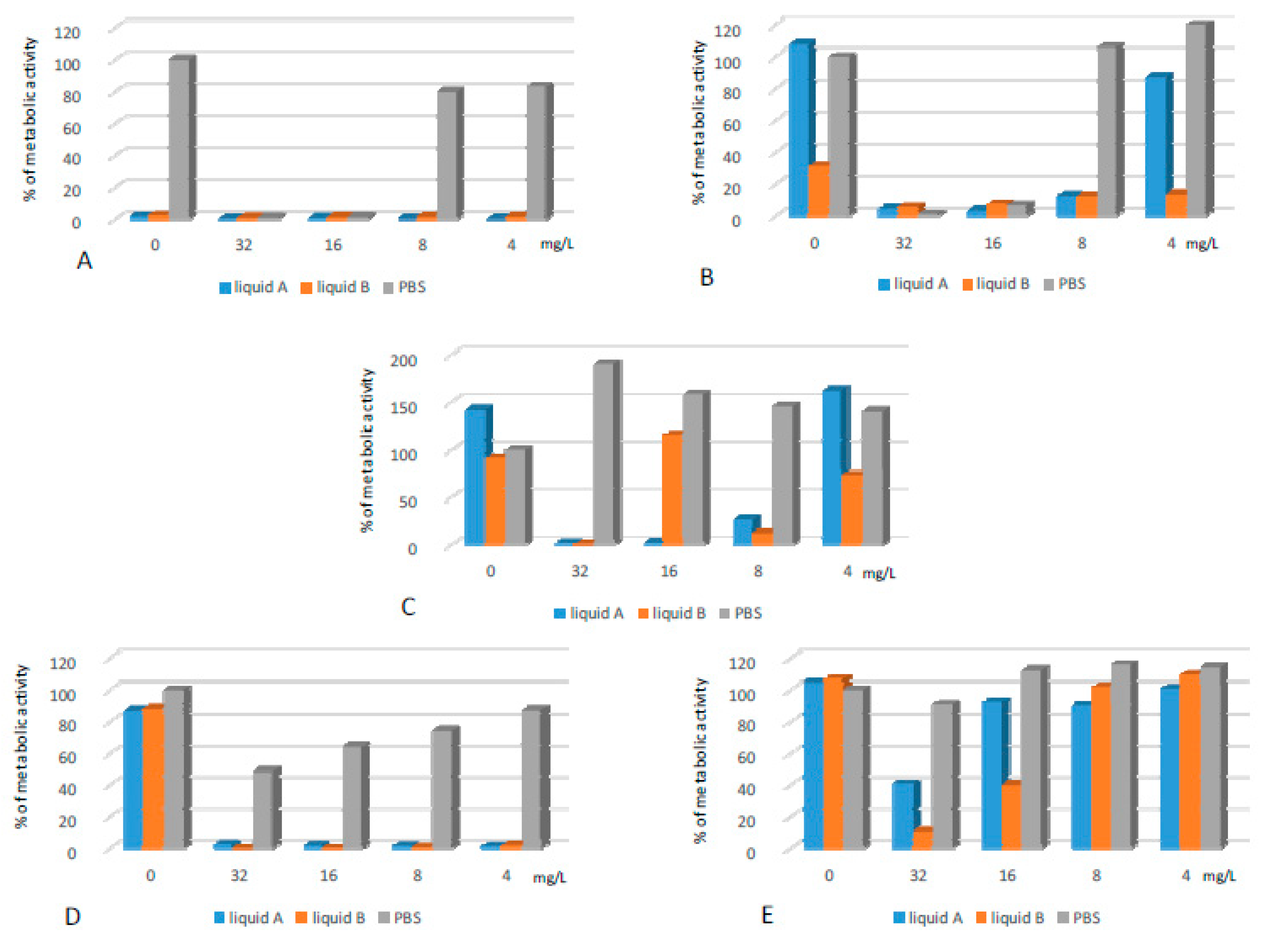
2.3. Antibiofilm Activity of the Lipopeptide Applied in Combination with CL Liquids
2.3.1. Biofilms Formed on Polystyrene Surfaces
2.3.2. Biofilms Formed on CLs
2.4. Eye Corrosion
3. Discussion
4. Materials and Methods
4.1. Bacterial Strains and Culture Conditions
4.2. Antimicrobials and CL Liquids
4.3. Activity of Lipopeptide and Antibiotics against Biofilms Formed on 96-Well Plates
4.4. Activity of Lipopeptide and Antibiotics against Biofilms Formed on 96-Well Plates after the Withdrawal of the Applied Antimicrobial
4.5. Activity of Lipopeptide and CL Liquids against Biofilms Formed on CLs
4.6. Antibiofilm Activity of the Lipopeptide Applied in Combination with Commercially-Available Lens Liquids
4.6.1. The Effect of the Lipopeptide on the Effectiveness of the Lens Liquids against Biofilms Formed on 96-Well Polystyrene Plates
4.6.2. Activity of the Lipopeptide, Lens Liquids and Their Combinations against Biofilms Formed on CLs after Withdrawal of the Antimicrobial Solution
4.7. Eye Irritation Calculation Assay
Author Contributions
Funding
Conflicts of Interest
Abbreviations
| AMP | Antimicrobial peptide |
| CL | Contact lens |
| EC | Escherichia coli |
| EF | Enterococcus faecalis |
| MHB II | Mueller Hinton Broth II |
| SA | Staphylococcus aureus |
| SE | Staphylococcus epidermidis |
| PA | Pseudomonas aeruginosa |
| PBS | Phosphoric buffer |
References
- Nischal, P.M. First global report on antimicrobial resistance released by the WHO. Natl. Med. J. India 2014, 27, 241. [Google Scholar] [PubMed]
- Peters, B.M.; Jabra-Rizk, M.A.; O’May, G.A.; Costerton, J.W.; Shirtliff, M.E. Polymicrobial interactions: Impact on pathogenesis and human disease. Clin. Microbiol. Rev. 2012, 25, 193–213. [Google Scholar] [CrossRef] [PubMed]
- Stewart, P.S.; Costerton, J.W. Antibiotic resistance of bacteria in biofilms. Lancet 2001, 358, 135–138. [Google Scholar] [CrossRef]
- van Duin, D.; Paterson, D.L. Multidrug-Resistant Bacteria in the Community: Trends and Lessons Learned. Infect. Dis. Clin. N. Am. 2016, 30, 377–390. [Google Scholar] [CrossRef] [PubMed]
- Frieri, M.; Kumar, K.; Boutin, A. Antibiotic resistance. J. Infect. Public Health 2017, 10, 369–378. [Google Scholar] [PubMed]
- Gill, E.E.; Franco, O.L.; Hancock, R.E. Antibiotic adjuvants: Diverse strategies for controlling drug-resistant pathogens. Chem. Biol. Drug Des. 2015, 85, 56–78. [Google Scholar] [CrossRef]
- Adermann, K.; Hoffmann, R.; Otvos, L. IMAP 2012: Antimicrobial peptides to combat (multi)drug-resistant pathogens. Protein Pept. Lett. 2014, 21, 319–320. [Google Scholar] [CrossRef]
- Zhou, L.; Huang, L.Q.; Beuerman, R.W.; Grigg, M.E.; Li, S.F.; Chew, F.T.; Ang, L.; Stern, M.E.; Tan, D. Proteomic analysis of human tears: Defensin expression after ocular surface surgery. J. Proteome Res. 2004, 3, 410–416. [Google Scholar] [CrossRef]
- Kolar, S.S.; McDermott, A.M. Role of host-defence peptides in eye diseases. Cell. Mol. Life Sci. 2011, 68, 2201–2213. [Google Scholar] [CrossRef]
- Hell, E.; Giske, C.G.; Nelson, A.; Romling, U.; Marchini, G. Human cathelicidin peptide LL37 inhibits both attachment capability and biofilm formation of Staphylococcus epidermidis. Lett. Appl. Microbiol. 2010, 50, 211–215. [Google Scholar] [CrossRef]
- Haney, E.F.; Mansour, S.C.; Hancock, R.E. Antimicrobial Peptides: An Introduction. Methods Mol. Biol. 2017, 1548, 3–22. [Google Scholar] [PubMed]
- Ansari, J.M.; Abraham, N.M.; Massaro, J.; Murphy, K.; Smith-Carpenter, J.; Fikrig, E. Anti-Biofilm Activity of a Self-Aggregating Peptide against Streptococcus mutans. Front. Microbiol. 2017, 8, 488. [Google Scholar] [CrossRef] [PubMed]
- Silva, N.C.; Sarmento, B.; Pintado, M. The importance of antimicrobial peptides and their potential for therapeutic use in ophthalmology. Int. J. Antimicrob. Agents 2013, 41, 5–10. [Google Scholar] [CrossRef] [PubMed]
- Gunshefski, L.; Mannis, M.J.; Cullor, J.S.; Schwab, I.R.; Jaynes, J.; Smith, W.L.; Mabry, E.; Murphy, C.J. In vitro antimicrobial activity of Shiva-11 against ocular pathogens. Cornea 1994, 13, 237–242. [Google Scholar] [CrossRef] [PubMed]
- Mannis, M.J. The use of antimicrobial peptides in ophthalmology: An experimental study in corneal preservation and the management of bacterial keratitis. Trans. Am. Ophthalmol. Soc. 2002, 100, 243–271. [Google Scholar] [PubMed]
- Nos-Barbera, S.; Portoles, M.; Morilla, A.; Ubach, J.; Andreu, D.; Paterson, C.A. Effect of hybrid peptides of cecropin A and melittin in an experimental model of bacterial keratitis. Cornea 1997, 16, 101–106. [Google Scholar] [CrossRef] [PubMed]
- Willcox, M.D.; Hume, E.B.; Aliwarga, Y.; Kumar, N.; Cole, N. A novel cationic-peptide coating for the prevention of microbial colonization on contact lenses. J. Appl. Microbiol. 2008, 105, 1817–1825. [Google Scholar] [CrossRef] [PubMed]
- Cole, N.; Hume, E.B.; Vijay, A.K.; Sankaridurg, P.; Kumar, N.; Willcox, M.D. In vivo performance of melimine as an antimicrobial coating for contact lenses in models of CLARE and CLPU. Investig. Ophthalmol. Vis. Sci. 2010, 51, 390–395. [Google Scholar] [CrossRef]
- Sousa, L.B.; Mannis, M.J.; Schwab, I.R.; Cullor, J.; Hosotani, H.; Smith, W.; Jaynes, J. The use of synthetic Cecropin (D5C) in disinfecting contact lens solutions. CLAO J. 1996, 22, 114–117. [Google Scholar]
- Schwab, I.R.; Dries, D.; Cullor, J.; Smith, W.; Mannis, M.; Reid, T.; Murphy, C.J. Corneal storage medium preservation with defensins. Cornea 1992, 11, 370–375. [Google Scholar] [CrossRef]
- Dawgul, M.; Baranska-Rybak, W.; Kamysz, E.; Karafova, A.; Nowicki, R.; Kamysz, W. Activity of short lipopeptides and conventional antimicrobials against planktonic cells and biofilms formed by clinical strains of Staphylococcus aureus. Future Med. Chem. 2012, 4, 1541–1551. [Google Scholar] [CrossRef] [PubMed]
- Bandurska, K.; Berdowska, A.; Barczynska-Felusiak, R.; Krupa, P. Unique features of human cathelicidin LL-37. Biofactors 2015, 41, 289–300. [Google Scholar] [CrossRef] [PubMed]
- Falagas, M.E.; Kasiakou, S.K. Toxicity of polymyxins: A systematic review of the evidence from old and recent studies. Crit. Care 2006, 10, R27. [Google Scholar] [CrossRef] [PubMed]
- Vlieghe, P.; Lisowski, V.; Martinez, J.; Khrestchatisky, M. Synthetic therapeutic peptides: Science and market. Drug Discov. Today 2010, 15, 40–56. [Google Scholar] [CrossRef]
- Fosgerau, K.; Hoffmann, T. Peptide therapeutics: Current status and future directions. Drug Discov. Today 2015, 20, 122–128. [Google Scholar] [CrossRef]
- Giuliani, A.; Rinaldi, A.C. Beyond natural antimicrobial peptides: Multimeric peptides and other peptidomimetic approaches. Cell. Mol. Life Sci. 2011, 68, 2255–2266. [Google Scholar] [CrossRef]
- Straus, S.K.; Hancock, R.E. Mode of action of the new antibiotic for Gram-positive pathogens daptomycin: Comparison with cationic antimicrobial peptides and lipopeptides. Biochim. Biophys. Acta 2006, 1758, 1215–1223. [Google Scholar] [CrossRef]
- Mangoni, M.L.; Shai, Y. Short native antimicrobial peptides and engineered ultrashort lipopeptides: Similarities and differences in cell specificities and modes of action. Cell. Mol. Life Sci. 2011, 68, 2267–2280. [Google Scholar] [CrossRef]
- Laverty, G.; Gorman, S.P.; Gilmore, B.F. The potential of antimicrobial peptides as biocides. Int. J. Mol. Sci. 2011, 12, 6566–6596. [Google Scholar] [CrossRef]
- Jaskiewicz, M.; Neubauer, D.; Kamysz, W. Comparative Study on Antistaphylococcal Activity of Lipopeptides in Various Culture Media. Antibiotics 2017, 6, 15. [Google Scholar] [CrossRef]
- Baranska-Rybak, W.; Pikula, M.; Dawgul, M.; Kamysz, W.; Trzonkowski, P.; Roszkiewicz, J. Safety profile of antimicrobial peptides: Camel, citropin, protegrin, temporin a and lipopeptide on HaCaT keratinocytes. Acta Pol. Pharm. 2013, 70, 795–801. [Google Scholar] [PubMed]
- Catiau, L.; Traisnel, J.; Delval-Dubois, V.; Chihib, N.E.; Guillochon, D.; Nedjar-Arroume, N. Minimal antimicrobial peptidic sequence from hemoglobin alpha-chain: KYR. Peptides 2011, 32, 633–638. [Google Scholar] [CrossRef] [PubMed]
- Vallon-Eberhard, A.; Makovitzki, A.; Beauvais, A.; Latge, J.P.; Jung, S.; Shai, Y. Efficient clearance of Aspergillus fumigatus in murine lungs by an ultrashort antimicrobial lipopeptide, palmitoyl-lys-ala-DAla-lys. Antimicrob. Agents Chemother. 2008, 52, 3118–3126. [Google Scholar] [CrossRef] [PubMed]
- Pikula, M.; Zielinski, M.; Specjalski, K.; Baranska-Rybak, W.; Dawgul, M.; Langa, P.; Jassem, E.; Kamysz, W.; Trzonkowski, P. In Vitro Evaluation of the Allergic Potential of Antibacterial Peptides: Camel and Citropin. Chem. Biol. Drug Des. 2016, 87, 562–568. [Google Scholar] [CrossRef] [PubMed]
- Greber, K.E.; Dawgul, M.; Kamysz, W.; Sawicki, W.; Lukasiak, J. Biological and surface-active properties of double-chain cationic amino acid-based surfactants. Amino Acids 2014, 46, 1893–1898. [Google Scholar] [CrossRef] [PubMed]
- Dawgul, M.A.; Greber, K.E.; Bartoszewska, S.; Baranska-Rybak, W.; Sawicki, W.; Kamysz, W. In Vitro Evaluation of Cytotoxicity and Permeation Study on Lysine- and Arginine-Based Lipopeptides with Proven Antimicrobial Activity. Molecules 2017, 22, 2173. [Google Scholar] [CrossRef] [PubMed]
- Greber, K.E.; Ciura, K.; Belka, M.; Kawczak, P.; Nowakowska, J.; Baczek, T.; Sawicki, W. Characterization of antimicrobial and hemolytic properties of short synthetic cationic lipopeptides based on QSAR/QSTR approach. Amino Acids 2018, 50, 479–485. [Google Scholar] [CrossRef]
- Greber, K.E.; Zielinska, J.; Nierzwicki, L.; Ciura, K.; Kawczak, P.; Nowakowska, J.; Baczek, T.; Sawicki, W. Are the short cationic lipopeptides bacterial membrane disruptors? Structure-Activity Relationship and molecular dynamic evaluation. Biochim. Biophys. Acta Biomembr. 2019, 1861, 93–99. [Google Scholar] [CrossRef]
- Ciura, K.; Belka, M.; Kawczak, P.; Baczek, T.; Markuszewski, M.J.; Nowakowska, J. Combined computational-experimental approach to predict blood-brain barrier (BBB) permeation based on “green” salting-out thin layer chromatography supported by simple molecular descriptors. J. Pharm. Biomed. Anal. 2017, 143, 214–221. [Google Scholar] [CrossRef]
- McDermott, A.M. The role of antimicrobial peptides at the ocular surface. Ophthalmic Res. 2009, 41, 60–75. [Google Scholar] [CrossRef]
- Szczotka-Flynn, L.B.; Bajaksouzian, S.; Jacobs, M.R.; Rimm, A. Risk factors for contact lens bacterial contamination during continuous wear. Optom. Vis. Sci. 2009, 86, 1216–1226. [Google Scholar] [CrossRef] [PubMed]
- Szczotka-Flynn, L.; Lass, J.H.; Sethi, A.; Debanne, S.; Benetz, B.A.; Albright, M.; Gillespie, B.; Kuo, J.; Jacobs, M.R.; Rimm, A. Risk factors for corneal infiltrative events during continuous wear of silicone hydrogel contact lenses. Investig. Ophthalmol. Vis. Sci. 2010, 51, 5421–5430. [Google Scholar] [CrossRef] [PubMed]
- Szczotka-Flynn, L.; Debanne, S.M.; Cheruvu, V.K.; Long, B.; Dillehay, S.; Barr, J.; Bergenske, P.; Donshik, P.; Secor, G.; Yoakum, J. Predictive factors for corneal infiltrates with continuous wear of silicone hydrogel contact lenses. Arch. Ophthalmol. 2007, 125, 488–492. [Google Scholar] [CrossRef] [PubMed]
- Dutta, D.; Ozkan, J.; Willcox, M.D. Biocompatibility of antimicrobial melimine lenses: Rabbit and human studies. Optom. Vis. Sci. 2014, 91, 570–581. [Google Scholar] [CrossRef]
- Dutta, D.; Kamphuis, B.; Ozcelik, B.; Thissen, H.; Pinarbasi, R.; Kumar, N.; Willcox, M.D.P. Development of Silicone Hydrogel Antimicrobial Contact Lenses with Mel4 Peptide Coating. Optom. Vis. Sci. 2018, 95, 937–946. [Google Scholar] [CrossRef] [PubMed]
- Mannis, M.J.; Cullor, J. The use of synthetic cecropin (Shiva-11) in preservative-free timolol and contact lens solutions. Invest. Ophthalmol. Vis. Sci. 1993, 34, 859. [Google Scholar]
- Maciejewska, M.; Bauer, M.; Neubauer, D.; Kamysz, W.; Dawgul, M. Influence of Amphibian Antimicrobial Peptides and Short Lipopeptides on Bacterial Biofilms Formed on Contact Lenses. Materials 2016, 9, 873. [Google Scholar] [CrossRef]
- Keren, I.; Kaldalu, N.; Spoering, A.; Wang, Y.; Lewis, K. Persister cells and tolerance to antimicrobials. FEMS Microbiol. Lett. 2004, 230, 13–18. [Google Scholar] [CrossRef]
- Kostakioti, M.; Hadjifrangiskou, M.; Hultgren, S.J. Bacterial biofilms: Development, dispersal, and therapeutic strategies in the dawn of the postantibiotic era. Cold Spring Harb. Perspect. Med. 2013, 3, a010306. [Google Scholar] [CrossRef]
- Jorge, P.; Grzywacz, D.; Kamysz, W.; Lourenco, A.; Pereira, M.O. Searching for new strategies against biofilm infections: Colistin-AMP combinations against Pseudomonas aeruginosa and Staphylococcus aureus single- and double-species biofilms. PLoS ONE 2017, 12, e0174654. [Google Scholar] [CrossRef]
- Bormann, N.; Koliszak, A.; Kasper, S.; Schoen, L.; Hilpert, K.; Volkmer, R.; Kikhney, J.; Wildemann, B. A short artificial antimicrobial peptide shows potential to prevent or treat bone infections. Sci. Rep. 2017, 7, 1506. [Google Scholar] [CrossRef] [PubMed]
- Dawgul, M.; Maciejewska, M.; Jaskiewicz, M.; Karafova, A.; Kamysz, W. Antimicrobial peptides as potential tool to fight bacterial biofilm. Acta. Pol. Pharm. 2014, 71, 39–47. [Google Scholar] [PubMed]
- Cruz, C.D.; Shah, S.; Tammela, P. Defining conditions for biofilm inhibition and eradication assays for Gram-positive clinical reference strains. BMC Microbiol. 2018, 18, 173. [Google Scholar] [CrossRef] [PubMed]
- Shapiro, J.A.; Nguyen, V.L.; Chamberlain, N.R. Evidence for persisters in Staphylococcus epidermidis RP62a planktonic cultures and biofilms. J. Med. Microbiol. 2011, 60, 950–960. [Google Scholar] [CrossRef] [PubMed]
- Potera, C. ANTIBIOTIC RESISTANCE: Biofilm Dispersing Agent Rejuvenates Older Antibiotics. Environ. Health Perspect. 2010, 118, A288. [Google Scholar] [CrossRef]
- Fisher, R.A.; Gollan, B.; Helaine, S. Persistent bacterial infections and persister cells. Nat. Rev. Microbiol. 2017, 15, 453–464. [Google Scholar] [CrossRef] [PubMed]
- Schmidt, N.W.; Deshayes, S.; Hawker, S.; Blacker, A.; Kasko, A.M.; Wong, G.C. Engineering persister-specific antibiotics with synergistic antimicrobial functions. ACS Nano 2014, 8, 8786–8793. [Google Scholar] [CrossRef]
- Kamysz, W.; Silvestri, C.; Cirioni, O.; Giacometti, A.; Licci, A.; Della Vittoria, A.; Okroj, M.; Scalise, G. In vitro activities of the lipopeptides palmitoyl (Pal)-Lys-Lys-NH(2) and Pal-Lys-Lys alone and in combination with antimicrobial agents against multiresistant gram-positive cocci. Antimicrob. Agents Chemother. 2007, 51, 354–358. [Google Scholar] [CrossRef]
- Serrano, G.N.; Zhanel, G.G.; Schweizer, F. Antibacterial activity of ultrashort cationic lipo-beta-peptides. Antimicrob. Agents Chemother. 2009, 53, 2215–2217. [Google Scholar] [CrossRef]
- Laverty, G.; McLaughlin, M.; Shaw, C.; Gorman, S.P.; Gilmore, B.F. Antimicrobial activity of short, synthetic cationic lipopeptides. Chem. Biol. Drug Des. 2010, 75, 563–569. [Google Scholar] [CrossRef]
- Shai, Y.; Makovitzky, A.; Avrahami, D. Host defense peptides and lipopeptides: Modes of action and potential candidates for the treatment of bacterial and fungal infections. Curr. Protein Pept. Sci. 2006, 7, 479–486. [Google Scholar] [CrossRef] [PubMed]
- Greber, K.E.; Dawgul, M.; Kamysz, W.; Sawicki, W. Cationic Net Charge and Counter Ion Type as Antimicrobial Activity Determinant Factors of Short Lipopeptides. Front. Microbiol. 2017, 8, 123. [Google Scholar] [CrossRef] [PubMed]
- Gerner, I.; Liebsch, M.; Spielmann, H. Assessment of the eye irritating properties of chemicals by applying alternatives to the Draize rabbit eye test: The use of QSARs and in vitro tests for the classification of eye irritation. Altern. Lab. Anim. 2005, 33, 215–237. [Google Scholar] [PubMed]








| Compound | MBEC 90 | MBEC II 90 | MBEC 50 | MBEC II 50 |
|---|---|---|---|---|
| Staphylococcus epidermidis | ||||
| Ciprofloxacin | 16 | 256 | ≤1 | 128 |
| Chloramphenicol | 256 | >256 | 32 | >256 |
| Neomycin | 16 | 16 | ≤1 | 8 |
| Lipopeptide | 16 | 16 | 16 | 16 |
| Staphylococcus aureus | ||||
| Ciprofloxacin | >256 | >256 | 16 | 128 |
| Chloramphenicol | >256 | >256 | 128 | >256 |
| Neomycin | 64 | 64 | 4 | 64 |
| Lipopeptide | 32 | 32 | 8 | 16 |
| Enterococcus feacalis | ||||
| Ciprofloxacin | >256 | >256 | 64 | 256 |
| Chloramphenicol | >256 | >256 | 32 | >256 |
| Neomycin | >256 | >256 | 64 | >256 |
| Lipopeptide | 32 | 32 | 16 | 32 |
| Escherichia coli | ||||
| Ciprofloxacin | 32 | 32 | ≤1 | ≤1 |
| Chloramphenicol | 16 | >256 | 8 | >256 |
| Neomycin | >256 | >256 | 8 | >256 |
| Lipopeptide | 64 | 64 | 64 | 64 |
| Pseudomonas aeruginosa | ||||
| Ciprofloxacin | ≤1 | 32 | ≤1 | 16 |
| Chloramphenicol | 128 | >256 | 4 | 256 |
| Neomycin | 64 | >256 | 8 | 128 |
| Lipopeptide | 256 | >256 | 64 | 64 |
© 2019 by the authors. Licensee MDPI, Basel, Switzerland. This article is an open access article distributed under the terms and conditions of the Creative Commons Attribution (CC BY) license (http://creativecommons.org/licenses/by/4.0/).
Share and Cite
Paduszynska, M.A.; Maciejewska, M.; Greber, K.E.; Sawicki, W.; Kamysz, W. Antibacterial Activities of Lipopeptide (C10)2-KKKK-NH2 Applied Alone and in Combination with Lens Liquids to Fight Biofilms Formed on Polystyrene Surfaces and Contact Lenses. Int. J. Mol. Sci. 2019, 20, 393. https://doi.org/10.3390/ijms20020393
Paduszynska MA, Maciejewska M, Greber KE, Sawicki W, Kamysz W. Antibacterial Activities of Lipopeptide (C10)2-KKKK-NH2 Applied Alone and in Combination with Lens Liquids to Fight Biofilms Formed on Polystyrene Surfaces and Contact Lenses. International Journal of Molecular Sciences. 2019; 20(2):393. https://doi.org/10.3390/ijms20020393
Chicago/Turabian StylePaduszynska, Malgorzata Anna, Magdalena Maciejewska, Katarzyna Ewa Greber, Wieslaw Sawicki, and Wojciech Kamysz. 2019. "Antibacterial Activities of Lipopeptide (C10)2-KKKK-NH2 Applied Alone and in Combination with Lens Liquids to Fight Biofilms Formed on Polystyrene Surfaces and Contact Lenses" International Journal of Molecular Sciences 20, no. 2: 393. https://doi.org/10.3390/ijms20020393
APA StylePaduszynska, M. A., Maciejewska, M., Greber, K. E., Sawicki, W., & Kamysz, W. (2019). Antibacterial Activities of Lipopeptide (C10)2-KKKK-NH2 Applied Alone and in Combination with Lens Liquids to Fight Biofilms Formed on Polystyrene Surfaces and Contact Lenses. International Journal of Molecular Sciences, 20(2), 393. https://doi.org/10.3390/ijms20020393

