Antibacterial Composites of Cuprous Oxide Nanoparticles and Polyethylene
Abstract
1. Introduction
2. Results and Discussion
2.1. Immobilization of Cu2ONPs onto A Solid Phase
2.2. Leaching of Copper from Immobilized Cu2ONPs
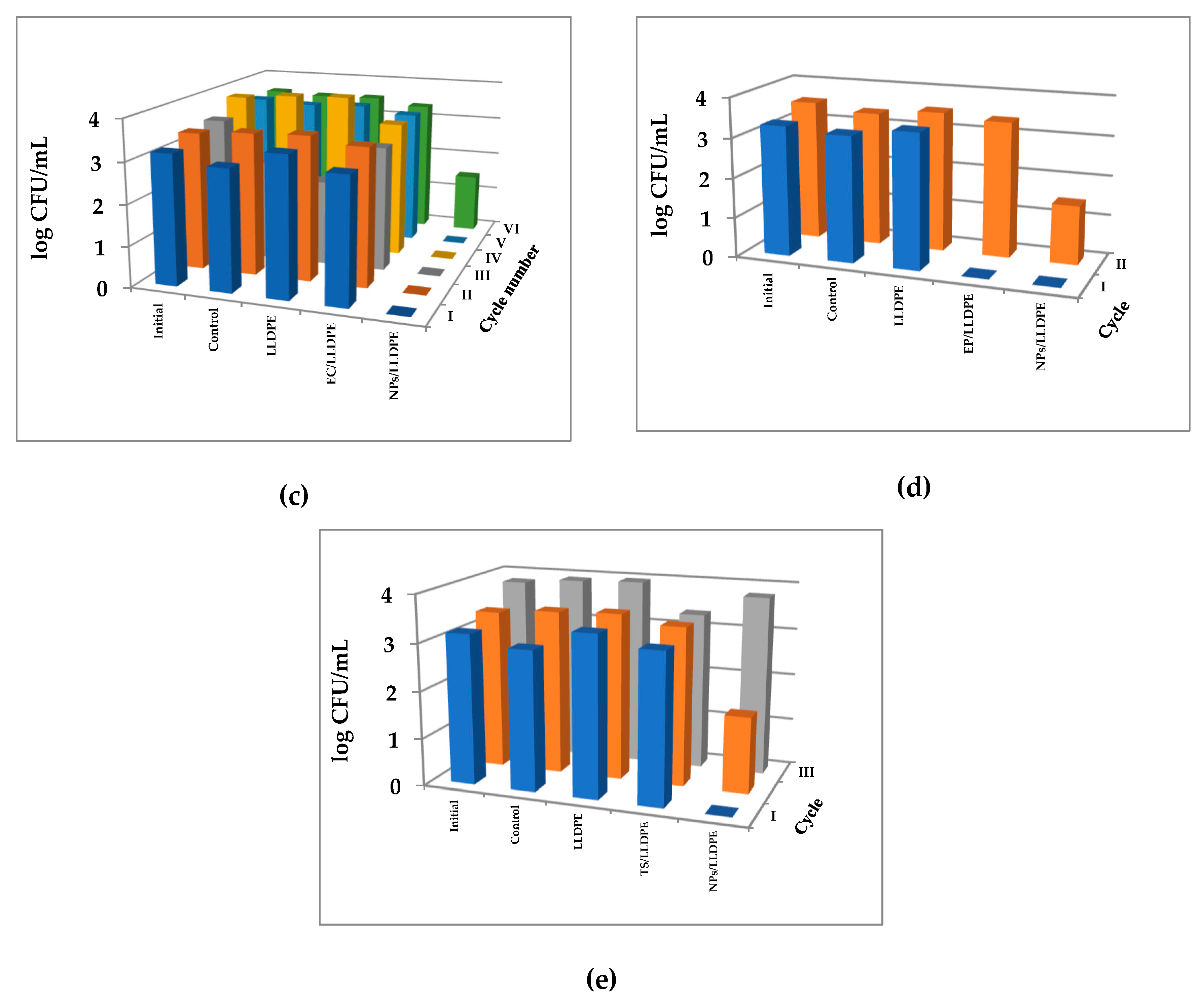
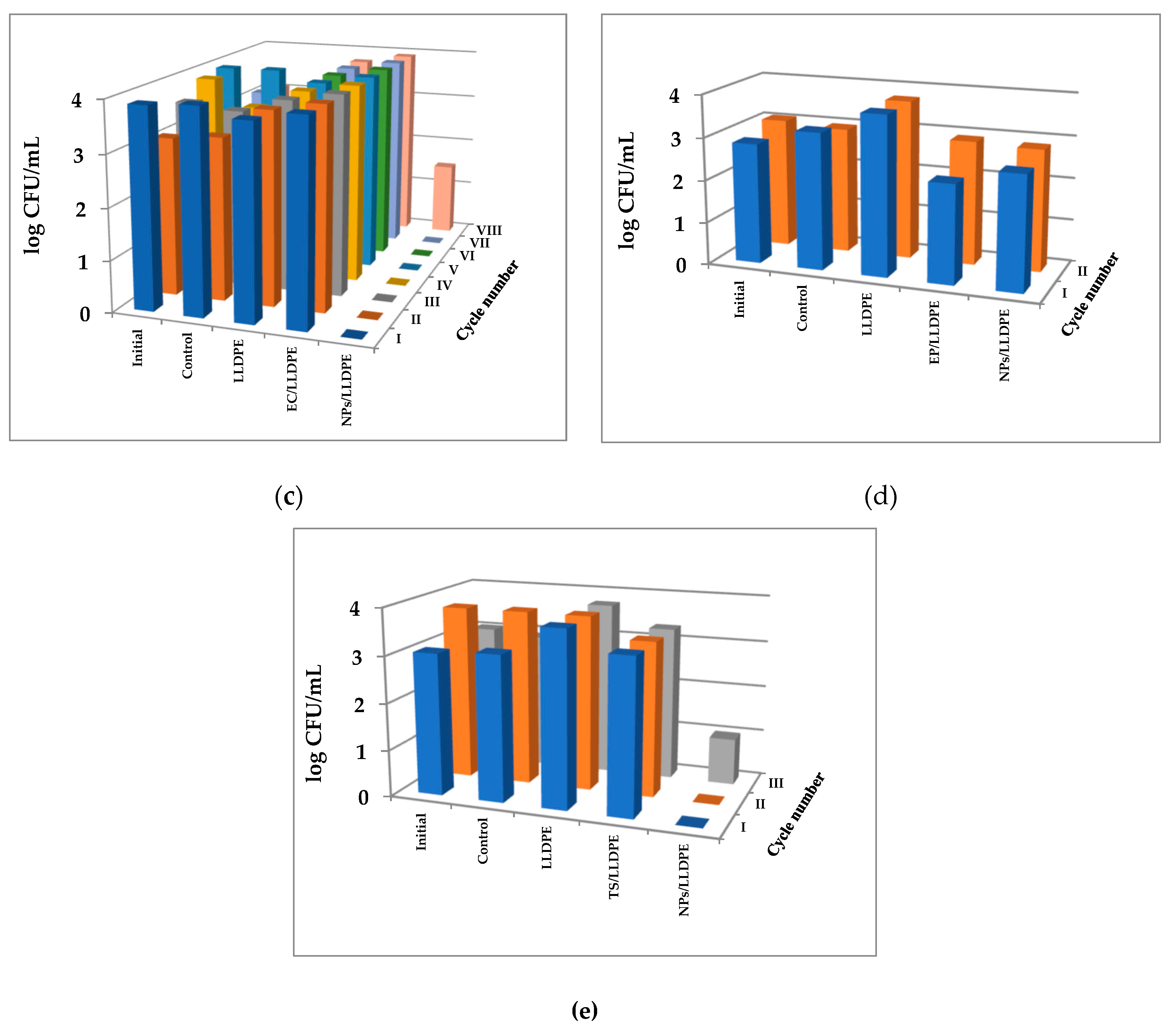
2.3. Antibacterial Activity of Immobilized Cu2ONPs
3. Materials and Methods
3.1. Materials
3.2. Immobilization of Cu2ONPs onto LLDPE Polymer by Thermal Adhesion
3.3. Attachment of Cu2ONPs to the LLDPE Polymer
3.4. Immobilization of Cu2ONPs into A LLDPE Matrix by Extrusion
3.5. Bacterial Growth
3.6. Testing of Antibacterial Activity
3.7. Leaching of Copper Ions from Samples of Immobilized Cu2ONPs into Tap Water
3.8. SEM Imaging and EDS Analysis of Immobilized Cu2ONPs
3.9. XRD Analysis of Powder and Immobilized Cu2ONPs
3.10. Statistical Analysis
4. Conclusions
Author Contributions
Funding
Acknowledgments
Conflicts of Interest
Abbreviations
| NPs Cu2ONPs PE | Nanoparticles Cuprous oxide nanoparticles Polyethylene |
| LLDPE EDS SEM XRD | Linear low-density polyethylene Energy-dispersive X-ray spectroscopy Scanning electron microscope X-ray diffraction |
References
- National Research Council. Polymer Science and Engineering: The Shifting Research Frontiers; National Academy Press: Washington, DC, USA, 1994; pp. 114–115.
- Prest, E.I.; Hammes, F.; van Loosdrecht, M.C.M.; Vrouwenvelder, J.S. Biological stability of drinking water: Controlling factors, methods, and challenges. Front. Microbiol. 2016, 7, 1–24. [Google Scholar] [CrossRef] [PubMed]
- Brocca, D.; Arvin, E.; Mosbaek, H. Identification of organic compounds migrating from polyethylene pipelines into drinking water. Water Res. 2002, 36, 3675–3680. [Google Scholar] [CrossRef]
- Lee, Y. An evaluation of microbial and chemical contamination sources related to the deterioration of tap water quality in the household water supply system. Int. J. Environ. Res. Public Health 2013, 10, 4143–4160. [Google Scholar] [CrossRef] [PubMed]
- Health Aspects of Plumbing; World Health Organization (WHO): Geneva, Switzerland, 2006; pp. 50–51. Available online: http://www.who.int/water_sanitation_health/publications/plumbinghealthasp.pdf (accessed on 24 December 2018).
- Mahapatra, A.; Padhi, N.; Mahapatra, D.; Bhatt, M.; Sahoo, D.; Jena, S.; Dash, D.; Chayani, N. Study of Biofilm in bacteria from water pipelines. J. Clin. Diagn. Res. 2015, 9, 9–11. [Google Scholar] [CrossRef] [PubMed]
- WHO World Water Day Report. 2014. Available online: https://www.who.int/water_sanitation_health/takingcharge.html (accessed on 24 December 2018).
- Yan, M.; Han, M.L. Behavior of I/Br/Cl-THMs and their projected toxicities under simulated cooking conditions: Effects of heating, table salts and residual chlorine. J. Hazard. Mater. 2016, 314, 105–112. [Google Scholar] [CrossRef] [PubMed]
- Adhikary, J.; Meistelman, M.; Burg, A.; Shamir, D.; Meyerstein, D.; Albo, Y. Reactive dehalogenation of monobromo- and tribromoacetic acid by sodium borohydride catalyzed by gold nanoparticles entrapped in sol-gel matrices follows different pathways. Eur. J. Inorg. Chem. 2017, 1510–1515. [Google Scholar] [CrossRef]
- Borkow, G.; Gabbay, J. Copper as a biocidal tool. Curr. Med. Chem. 2005, 12, 2163–2175. [Google Scholar] [CrossRef]
- Palza, H. Antimicrobial polymers with metal nanoparticles. Int. J. Mol. Sci. 2015, 16, 2099–2116. [Google Scholar] [CrossRef]
- Jordan, F.T.W.; Nassar, T.J. The survival of infections bronchitis (IB) virus in water. Avian Pathol. 1973, 2, 91–101. [Google Scholar] [CrossRef]
- Kalatehjari, P.; Yousefian, M.; Khalilzadeh, M.A. Assessment of antifungal effects of copper nanoparticles on the growth of the fungus Saprolegnia sp. on white fish (Rutilus frisii kutum) eggs. Egypt J. Aquat. Res. 2015, 41, 303–306. [Google Scholar] [CrossRef]
- Zatcoff, R.C.; Smith, M.S.; Borkow, G. Treatment of tinea pedis with socks containing copper-oxide impregnated fibers. Foot 2008, 18, 136–141. [Google Scholar] [CrossRef] [PubMed]
- Mallick, S.; Sharma, S.; Banerjee, M.; Ghosh, S.S.; Chatopadhyay, A.; Paul, A. Iodine-stabilized Cu nanoparticle chitosan composite for antibacterial applications. Appl. Mater. Interfaces 2012, 4, 1313–1323. [Google Scholar] [CrossRef] [PubMed]
- Warnes, S.L.; Keevil, C.V. Mechanism of copper surface toxicity in vancomycin-resistant enterococci following wet or dry surface contact. Appl. Environ. Microb. 2011, 77, 6049–6059. [Google Scholar] [CrossRef]
- Warnes, S.L.; Caves, V.; Keevil, C.V. Mechanism of copper surface toxicity in Escherichia coli O157:H7 and Salmonella involves immediate membrane depolarization followed by slower rate of DNA destruction which differs from that observed for Gram-positive bacteria. Environ. Microbiol. 2012, 14, 1730–1743. [Google Scholar] [CrossRef] [PubMed]
- Macomber, L.; Rensing, C.; Imlay, J.A. Intracellular copper does not catalyze the formation of oxidative DNA damage in Escherichia coli. J. Bacteriol. 2007, 189, 1616–1626. [Google Scholar] [CrossRef] [PubMed]
- Hong, R.; Kang, T.Y.; Michels, C.A.; Gadura, N. Membrane lipid peroxidation in copper alloy-mediated contact killing of Escherichia coli. Appl. Environ. Microb. 2012, 78, 1776–1784. [Google Scholar] [CrossRef]
- Howlett, N.G.; Avery, S.V. Induction of lipid peroxidation during heavy metal stress in Saccharomyces cerevisiae and influence of plasma membrane fatty acid unsaturation. Appl. Environ. Microb. 1997, 63, 2971–2976. [Google Scholar]
- Stadtman, E.R.; Levine, R.L. Free radical-mediated oxidation of free amino acids and amino acid residues in proteins. Amino Acids 2003, 25, 207–218. [Google Scholar] [CrossRef]
- Karllson, H.L.; Cronholm, P.; Hedberg, Y.; Tornberg, M.; Battice, L.D.; Svedhen, S.; Wallinder, I.O. Cell membrane damage and protein interaction induced by copper containing nanoparticles—Importance of the metal release process. Toxicology 2013, 313, 59–69. [Google Scholar] [CrossRef]
- Gunawan, C.; Teoh, W.Y.; Marquis, C.P.; Amal, R. Cytotoxic origin of copper(II) oxide nanoparticles: Comparative studies with micron-sized particles, leachate, and metal salts. ACS Nano 2011, 5, 7214–7225. [Google Scholar] [CrossRef]
- Delgado, K.; Quijada, R.; Palma, R.; Palza, H. Polypropylene with embedded copper metal or copper oxide nanoparticles as a novel plastic antimicrobial agent. Lett. Appl. Microbiol. 2011, 53, 50–54. [Google Scholar] [CrossRef] [PubMed]
- Rodriguez-Llamazares, S.; Mondaca, M.; Badilla, C.; Maldonado, A. PVC/copper oxide composites and their effect on bacterial adherence. J. Child. Chem. Soc. 2012, 57, 1163–1165. [Google Scholar] [CrossRef]
- Araújo, C.S.T.; Carvalho, D.C.; Rezende, H.C.; Almeida, I.L.S.; Coelho, L.M.; Coelho, N.M.M.; Marques, T.L.; Alves, V.N. Bioremediation of waters contaminated with heavy metals using Moringa oleifera seeds as biosorbent. In Applied bioremediation—Active and Passive Approaches; Patil, Y.B., Rao, P., Eds.; InTech Open Access Publisher: Rijeka, Croatia, 2013; pp. 227–255. [Google Scholar]
- US EPA. Water Regulations. Basic Information about Regulated Drinking Water Contaminants. Basic Information about Copper in Drinking Water. 2013. Available online: http://water.epa.gov/drink/contaminants/basicinformation/copper.cfm (accessed on 24 December 2018).
- Guidelines for Drinking-Water Quality, 4th ed.; WHO Press: Geneva, Switzerland, 2011; pp. 340–341. ISBN 978 92 4 154815 1. Available online: http://apps.who.int/iris/bitstream/handle/10665/44584/9789241548151_eng.pdf;jsessionid=B1CEC2F9092D877380BECBFE2B075603?sequence=1 (accessed on 24 December 2018).
- Public Health Regulations. The sanitary quality of drinking water and drinking water facilities. Collect. Regul. 2013, 7262, 24. Available online: https://www.health.gov.il/Subjects/Environmental_Health/drinking_water/Documents/Briut47-Eng.pdf (accessed on 24 December 2018).
- Sewerage and Drainage Act. 1999. Available online: https://sso.agc.gov.sg/SL/SDA1999-RG5?DocDate=20161003 (accessed on 24 December 2018).
- Sewer Use Program of Utilities Board. Regulations for Wastewater Discharge Limits for Sewer Wastewater; The City of Sylacauga: Sylacauga, AL, USA, 2011; Available online: http://www.sylacauga.net/utilities/wastewater/Sewer_Use_Regulations%20August%202011.pdf (accessed on 24 December 2018).











| Composite | Rate of Copper Leaching, µg cm−2 day−1 | Percent of Leached Copper |
|---|---|---|
| Obtained by thermal adhesion | 0.019 | 0.15 |
| Obtained using ethyl cyanoacrylate | 0.025 | 0.17 |
| Obtained using epoxy resin | 1.32 | 1.11 |
| Obtained using trimethoxyvinylsilane | 0.166 | 1.06 |
© 2019 by the authors. Licensee MDPI, Basel, Switzerland. This article is an open access article distributed under the terms and conditions of the Creative Commons Attribution (CC BY) license (http://creativecommons.org/licenses/by/4.0/).
Share and Cite
Gurianov, Y.; Nakonechny, F.; Albo, Y.; Nisnevitch, M. Antibacterial Composites of Cuprous Oxide Nanoparticles and Polyethylene. Int. J. Mol. Sci. 2019, 20, 439. https://doi.org/10.3390/ijms20020439
Gurianov Y, Nakonechny F, Albo Y, Nisnevitch M. Antibacterial Composites of Cuprous Oxide Nanoparticles and Polyethylene. International Journal of Molecular Sciences. 2019; 20(2):439. https://doi.org/10.3390/ijms20020439
Chicago/Turabian StyleGurianov, Yanna, Faina Nakonechny, Yael Albo, and Marina Nisnevitch. 2019. "Antibacterial Composites of Cuprous Oxide Nanoparticles and Polyethylene" International Journal of Molecular Sciences 20, no. 2: 439. https://doi.org/10.3390/ijms20020439
APA StyleGurianov, Y., Nakonechny, F., Albo, Y., & Nisnevitch, M. (2019). Antibacterial Composites of Cuprous Oxide Nanoparticles and Polyethylene. International Journal of Molecular Sciences, 20(2), 439. https://doi.org/10.3390/ijms20020439

