Abstract
Glycation is a non-enzymatic post-translational modification of proteins, formed by the reaction of reducing sugars and α-dicarbonyl products of their degradation with amino and guanidino groups of proteins. Resulted early glycation products are readily involved in further transformation, yielding a heterogeneous group of advanced glycation end products (AGEs). Their formation is associated with ageing, metabolic diseases, and thermal processing of foods. Therefore, individual glycation adducts are often considered as the markers of related pathologies and food quality. In this context, their quantification in biological and food matrices is required for diagnostics and establishment of food preparation technologies. For this, exhaustive protein hydrolysis with subsequent amino acid analysis is the strategy of choice. Thereby, multi-step enzymatic digestion procedures ensure good recoveries for the most of AGEs, whereas tandem mass spectrometry (MS/MS) in the multiple reaction monitoring (MRM) mode with stable isotope dilution or standard addition represents “a gold standard” for their quantification. Although the spectrum of quantitatively assessed AGE structures is continuously increases, application of untargeted profiling techniques for identification of new products is desired, especially for in vivo characterization of anti-glycative systems. Thereby, due to a high glycative potential of plant metabolites, more attention needs to be paid on plant-derived AGEs.
1. Introduction
Glycation is a non-enzymatic post-translational modification of proteins with reducing sugars and α-dicarbonyl products of their degradation [1]. In the first step (early glycation), reducing sugars, aldoses and ketoses, react with amino groups yielding aldimines and ketoimines (Schiff bases), which are readily involved in Amadori and Heyns rearrangements, yielding 1-amino-deoxyketosyl and 2-amino-deoxyaldos-2-yl adducts [2,3]. These early glycation products are involved in further oxidative (glycoxidation) and non-oxidative degradation (Figure 1), yielding a heterogeneous group of advanced glycation end-products (AGEs, Figure 2) [4,5]. AGEs can be also formed by the “oxidative glycosylation” pathway [6], via interaction of lysyl and arginyl residues with α-dicarbonyls, like glyoxal (GO), methylglyoxal (MGO), and 3-deoxyglucasone (3-DG) [7]—the intermediates of monosaccharide autoxidation [8], lipid peroxidation [9], polyol pathway [10], and non-enzymatic conversion of triosophosphates [11].
Figure 1.
The major pathways of AGE formation: oxidative glycosylation [12], Namiki pathway [13], enolization [14], oxidative [15] and non-oxidative [16] degradation of early glycation products, polyol [17], and lipid peroxidation [18]. 3-DG, 3-deoxyglucasone; GO, glyoxal; MGO, methylglyoxal.
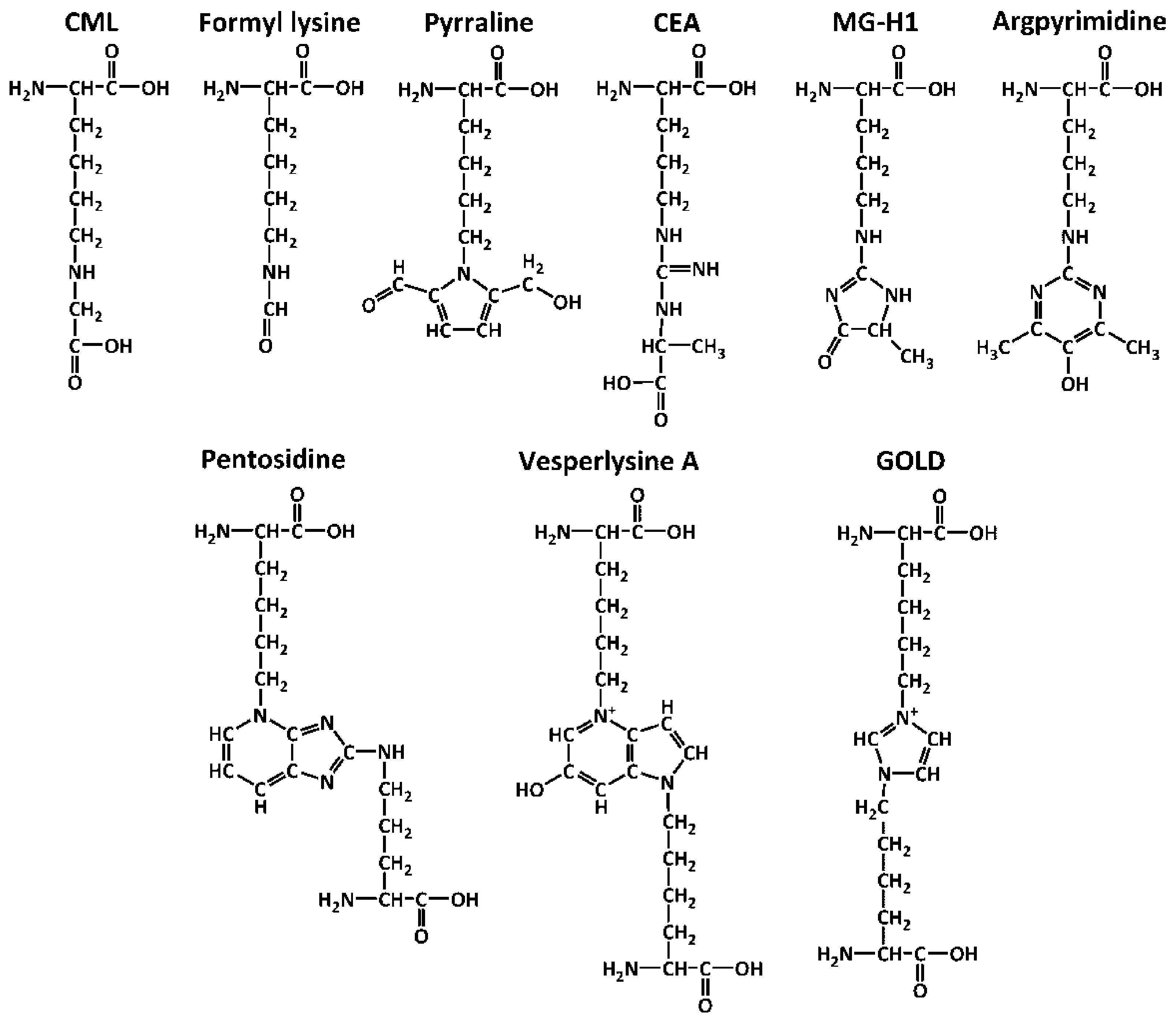
Figure 2.
Advanced glycation end products (AGEs) originating from lysine (Nε-(carboxymethyl)lysine, CML; Nε-(formyl)lysine; pyrraline), arginine (Nδ-(carboxyethyl)arginine, CEA; Nδ-(5-methyl-4-oxo-5-hydroimidazo-linone-2-yl)ornithine, MG-H1; argpyrimidine) and of cross-link nature (pentosidine; vesperlysine A; glyoxal-derived lysine dimer, GOLD).
Generally, glycation can occur internally, i.e., in animal (human) [16,19,20], plant [21,22], and bacterial [23] organisms, or externally—during thermal processing of foods [24]. Accompanying accumulation of AGEs in human body results in cross-linking of long-living proteins, like crystallines and collagens [25]. Moreover, interaction of AGEs with multi-ligand immunoglobulin-like receptors (e.g., RAGEs—receptors for advanced glycation end products) triggers nuclear translocation of the transcription factor NF-κB and induction of inflammation-specific genes [26]. In turn, it results in development of sub-clinical systemic inflammation [27], which impacts in atherosclerosis [28], ageing [29], neurodegenerative disorders, like Alzheimer and Parkinson diseases [30,31], diabetes mellitus (DM) and its complications [32,33,34,35,36,37,38,39,40].
Among lysine-derived AGEs, Nε-(carboxymethyl)lysine (CML) and Nε-(carboxyethyl)lysine (CEL), formed via both glycoxidative and autoxidative pathways, are the most well-studied representatives [41,42], whereas interaction of lysyl residues with 3-DG, 3-deoxypentosone (3-DP), and glyceraldehyde yield pyrraline, formyline, and glyceraldehyde-derived pyridinium (GLAP), respectively (Figure 2) [43,44,45]. Recently, Glomb and co-workers characterized a group of amide AGEs, represented by Nε-glycoloyl-, -formyl-, -acetyl-, -glycerinyl(lysine), Nε-[2-[(5-amino-5-carboxypentyl)amino]-2-oxoethyl]lysine (GOLA) [14,46], and confirmed its clinical relevance [19]. In human tissues, arginine-related AGEs are dominated with GO-derived (1-(4-amino-4-carboxybutyl)-2-imino-5-oxo-imidazolidine, Glarg) [47], and three MGO-derived hydroimidazolones-Nδ-(5-methyl-4-oxo-5-hydroimidazo-linone-2-yl)-l-ornithine (MG-H1, the major adduct) [48], 2-amino-5-(2-amino-5-hydro-5-methyl-4-imidazolon-1-yl)pentanoic acid (MG-H2) and 2-amino-5-(2-amino-4-hydro-4-methyl-5-imidazolon-1-yl)pentanoic acid (MG-H3) [49]. Under alkaline conditions, Glarg and MG-H3 can be hydrolyzed to yield Nδ-carboxymethyl- (CMA) and Nδ-(carboxyethyl)arginine (CEA), respectively [50,51]. Modification with two MGO molecules yields Nδ-(5-hydroxy-4,6-dimethylpyrimidine-2-yl)-l-ornithine (argpyrimidine) [52] and Nδ-(4-carboxy-4,6-dimethyl-5,6-dihydroxy-1,4,5,6-tetrahydropyrimidine-2-yl)-l-ornithine (tetra-hydropyrimidine, THP) [53]. Cross-linking is an essential feature of advanced glycation (Figure 2). In this context, pentosidine was identified at the late 1980s as the first cross-link AGE [54]. Later, crossline and vesperlysines A, B, and C were reported as modifications of lens proteins under hyperglycemic conditions [55,56,57]. Reaction of α-dicarbonyls, i.e., GO, MGO, and 3-DG with two lysine residues result in formation of imidazolium cross-links, i.e., glyoxal-, methylglyoxal-, and 3-deoxyglucasone-derived lysine dimers (GOLD, MOLD, and DOLD, respectively) [58,59].
As glycation products are recognized as the markers of food quality [24], ageing [37] and metabolic diseases [60,61,62], numerous analytical approaches were established to address their contents in corresponding matrices. Thus, Amadori-modified proteins (e.g., glycated hemoglobin HbA1c) can be effectively separated from unglycated counterparts by cation exchange chromatography (CXC) [63], and selectively enriched by boronic acid affinity chromatography (BAC) [64,65], or its combination with immunochemical methods, for example, enzyme-linked boronate-immunoassay (ELBIA) [66,67]. In the easiest way, AGEs can be quantified spectrophotometrically by a characteristic increase in absorbance (300–400 nm) [68,69] or by fluorescence at the excitation and emission wavelengths of 370 and 440 nm, respectively [70,71]. However, both these techniques lack specificity, and do not provide information about individual AGE classes, that dramatically reduces their diagnostic potential. Alternatively, this kind of information can be delivered by immunoassays. However, these techniques suffer from a high degree of non-specific binding and typically do not allow simultaneous quantification of several AGEs [72,73].
In this context, implementation of mass spectrometry (MS) in analysis of protein glycation products dramatically increases its sensitivity, selectivity, precision, and robustness [74,75]. Indeed, it provides an effective tool for structural characterization and quantification of individual early and advanced glycation products on the levels of individual glycated amino acids [76], peptides [77,78], and proteins [79,80]. Currently, these techniques are being effectively introduced in food quality control [81,82] and medical diagnostics [83,84,85]. Here we provide a comprehensive review of existing chromatographic and mass spectrometric techniques used for characterization of protein glycation adducts, i.e., analytical approaches relying on the methods of amino acid analysis. Thereby we consider individual protein-derived and free amino acids as the targets of MS analysis and discuss them in the context of the actual trends in Maillard research.
2. Methods of Amino Acid Analysis in Glycation Research
Generally, analysis at the level of individual amino acids (either free, or obtained by exhaustive hydrolysis of proteins) is the most straightforward and direct way to characterize the structures and quantities of glycation products, occurring in artificial and natural systems [86]. Therefore, the employed analytical strategies most commonly rely on amino acid analysis protocols, and provide a direct access to absolute quantities of individual glycation adduct classes (as well as unmodified amino acids) in biological samples of various origin and complexity [65]. Thereby, different experimental setups allow identification of individual modifications and quantification of glycation rates in proteins, as well as the products of their in vivo hydrolysis (so-called “glycation free adducts”) [74]. This workflow proved to be well-compatible with physiological experiments, performed at the molecular [87], cellular [88] or organism [76] levels, and applicable to in vitro model experiments and receptor affinity studies [89]. Whereas the early works addressed mostly simple model glycation systems (with consideration of only Amadori compound and CML as the major products), later studies employed multistep enzymatic hydrolysis protocols and covered a wide panel of glycation and oxidation products [74]. The main landmarks, indicating development of Maillard reaction analytics, based on amino acid analysis, are summarized in Table 1.
Table 1.
Overview of analytical techniques employed in analysis of free and protein-bound glycation adducts.
2.1. GC-MS Analysis of Free Glycated Amino Acids
In the early model glycation studies, gas chromatography (GC) with flame ionization detection (FID) was used for analysis of acetylated CML derivatives [90] (Table 1). Alternatively, detection could be performed by electron (impact) ionization mass spectrometry (EI-MS), which provided reliable confirmation of the compound structures by characteristic fragmentation patterns [41]. From another hand, CML could be successfully analyzed in the form of trifluoroacetyl methyl esters [91] or as isobutyl alcohol-pentafluoropropionic anhydride derivatives [92]. Additional information about the structures of AGE derivatives could be obtained by the combination of chemical ionization and tandem mass spectrometry (MS/MS) [92], whereas selected ion monitoring (SIM) provided higher sensitivity and specificity in the analysis of serum free glycated adducts [93].
2.2. Exhaustive Degradation of Proteins to Obtain Amino Acid Glycation Adducts
Obviously, for analysis of glycation adducts in proteins, the polypeptide chain needs to be degraded to give access to individual monomers. In the simplest way, it can be achieved by pyrolysis GC-MS (Py-GC-MS). Thus, based on the experiments with polylysine [94], Lapolla and co-workers proposed this technique as a potential tool for DM diagnostics, and demonstrated clear differences of pyrolysis profiles obtained for glycated albumin from those, acquired with untreated protein [95] (Table 1). However, this approach has at least two essential disadvantages: from one hand, high temperatures, applied for degradation of the polypeptide chain, result in degradation of glycated amino acid side chains (that might lead to the loss of structural information), from another, the pattern of resulted pyrolysis cleavage products is difficult to interpret.
In this context, exhaustive degradation of proteins, yielding free amino acids, seems to be an advantageous technique (Figure 3). In the easiest and the most straightforward way, it can be achieved by acid hydrolysis in presence of 6 N HCl at 100–110 °C during 18–24 h [98,102] (Table 1). The ease of the experimental setup, high reliability, reproducibility, and quantitative character of hydrolysis are the obvious advantages of this technique. Because of this, the method is often applied to quantification of CML in foods or biological matrices. For example, the contents of CML and pyrraline were addressed as the indicators of advanced glycation during heat treatment of carrots [104]. Analogously, HPLC-ESI-MS was applied to quantification of CML in various dairy products [105,106,107]. However, acid hydrolysis has some intrinsic limitations, which need to be kept in mind when applying it to analysis of glycation adducts. First, incubation at high temperatures results in a rapid glycoxidative degradation of Amadori moieties, already present in the protein sequence before incubation [108], that ultimately results in overestimation (up to 12 times) of CML [100]. To make an appropriate correction for the generation of CML during sample preparation, hydrolysis is additionally performed after a pre-incubation of the protein with NaBH4—a strong reducing reagent, readily converting Amadori and Heyns compounds in corresponding alcohols [107]. From the other hand, incubation at high temperatures and low pH results in degradation of arginine-derived hydroimidazolones (such as Glarg, MG-H, and 3DG-H), their precursors (corresponding hydroxyimidazolidinones) and products (CMA, CEA, Argpyr and THP). At least, for hydroimidazolones this degradation can reach 90% under the acid hydrolysis conditions [49]. Finally, under these conditions, Amadori compounds degrade to form Nε-(2-furoyl-methyl)-l-lysine (furosine) [101] and hydroxymethylfurfural [109], the products known to accompany thermal degradation of Nε-(fructosyl)lysine (Amadori compounds) in foods since more than fifty years [110,111,112]. Although the formation of furosine is temperature-dependent, it is successfully used in food chemistry for estimation of “blocked” (i.e., glycated) lysine residues in proteins [113]. In the most reliable way it can be done by LC-MS or MS/MS using a standard isotope dilution approach [96,114]. However, for biological applications, enzymatic hydrolysis is the method of choice [74]. Thus, in medical and food research, acid hydrolysis is currently presumably used for normalization of analysis by determination of unmodified amino acids, but not for quantitative assessment of glycation adducts [74].
Figure 3.
The overview of protein hydrolysis workflows (alkaline [99], acid [19,115] and enzymatic [19,115,116]), compatible with subsequent chromatography-based analysis. Concentrations: Ba(OH)2, 1.7 mol/L [99]; HCl, 6 N [19,115]; pronase E, two additions of 0.3 unit [19], 400 PU [115], 20 μg [116]; leucine aminopeptidase, 1unit [19], 0.4 unit [115]; carboxypeptidase Y, 0.95 unit [19]; pepsin, 1 FIP-U [115]; prolidase, 1 unit [115]; collagenase, 0.04 mg/mL [116].
In some cases, the limitations of acid hydrolysis can be overcome by employing protein degradation under alkaline conditions in presence of barium hydroxide, as it was done by Portero-Otin et al. for quantification of pyrraline in proteins, glycated in vitro (bovine serum albumin (BSA) and collagen) and in plasma [99] (Table 1). Application of this method, however, might result in a strong underestimation of Glarg and MG-H3 due to their high susceptibility to alkali hydrolysis, accompanied with conversion of these imidazolones in CMA and CEA, respectively [46,117]. Thus, enzyme-based techniques of protein degradation are the methods of choice for analysis of protein-bound glycation adducts [74]. Indeed, currently, exhaustive enzymatic hydrolysis allows reliable quantification of dozens of individual glycation adducts formed by free amino acids, proteins, and nucleic acids [76].
Typically, the hydrolysis procedure relies on a sequential treatment of a dissolved protein sample with individual proteinases, or their combinations. For example, Glomb and co-workers proposed several robust and reliable protocols, relying on sequential treatment with proteinase K, pronase E, amino- and carboxypeptidase (24-h incubations) [46] (Table 1, Figure 3). According to the protocol established in Henle’s lab, this procedure can be prefaced by an incubation with pepsin, whereas the last reaction can be complemented with prolidase (Figure 3) [115,118]. For specific proteins, treatment with additional appropriate protease(s) can be introduced. For example, Iijima and co-workers replaced pepsin with collagenase when analyzing in vitro collagen glycation mixtures (Figure 3) [116]. For urine samples, an acylase treatment, to assess N-acetyl amino acid conjugates, can be additionally applied [65]. Later on, some further extensions of this protocol were done by Thornalley and co-workers. For example, pepsin can be omitted in analysis of apolipoprotein B100, whereas digestion of hemoglobin can be performed under carbon monoxide to prevent artefactual heme-catalyzed glycoxidation [74].
When setting up enzymatic hydrolysis, it is necessary to memorize, that, because of long incubation times, anti-bacterial compounds (e.g., thymol) need to be added to the incubation mixtures [19,46]. Also, dialysis or ultrafiltration can be applied as a part of the sample clean-up [49]. Finally, to exclude contamination with non-protein (and, hence, non-digested) biopolymers, hydrolysates can be ultrafiltrated with a low molecular weight (3 kDa) cut-off centrifugal filtering devices [19,46]. Additionally, to estimate the analyte losses, related to long incubations, acid hydrolysis can be set-up in parallel to the enzymatic incubation [19].
2.3. Analysis of Protein-Bound and Free Glycation Adducts by HPLC-ESI-MS
Although, the composition of protein hydrolysates and free glycation adducts can be addressed by GC-MS [41], typically, analysis of glycation products relies on high-performance liquid chromatography-mass spectrometry (HPLC-MS) and, most often, electrospray ionization (ESI) [76] (Table 1). Thereby, in absolute majority of cases, separation relies on one of the four most established techniques: (i) reversed phase (RP)-HPLC after appropriate derivatization of free amino acid adducts, also obtained in protein hydrolysates, (ii) ion pair (IP)-RP-HPLC, (iii) hydrophilic interaction liquid chromatography (HILIC), and (iv) chromatography on carbon columns.
Derivatization techniques are employed in LC-MS analysis of glycation products since decades. Thus, Thornalley and co-workers used aminoquinolyl-N-hydroxysuccinimydyl-carbamate (AQC) for detection of glycation adducts in glycated albumin with limits of detection (LODs) of several picomols [49,59] (Table 1). This compound forms derivatives, which can be detected by fluorescence (Ex/Em wavelengths of 250/395 nm) and absorption (248 nm) [112]. Essential disadvantages of this method are long analysis times and a relatively low analytical resolution, limited by the resolution of chromatographic system. Chevalier et al. applied derivatization with phenylisothiocyanate (PITC) to the analysis of in vitro glycated β-lactoglobulin (BLG) [98]. This method turned to be rather insensitive: the authors could not detect any glycated amino acids, although decrease in the contents of unglycated lysines could be confirmed. Analysis of CML, formed in vivo in plasma proteins, was successfully accomplished by RP-HPLC of acid hydrolysates treated with 9-fluorenylmethoxycarbonyl (Fmoc) chloride [119]. This method, relying on fluorescence detection (Ex/Em wavelengths of 260/310 nm) was calibrated by standard addition. Recently, it was extended to analysis of CEL and tandem mass spectrometric (MS/MS) detection [120]. Unfortunately, as acid hydrolysis was used, this protocol was not suitable for analysis of acid-labile AGEs. The same is the true for the method of Hartkopf et al. relying on the derivatization of CML with o-phthaldialdehyde (OPA) in acidic hydrolysates [100]. Similarly, Ehrlich and co-workers, described analysis of CML as Nα-(2,4-dinitro-5-fluorophenyl)-l-valinamide (l-VDVA) derivatives in acidic collagen hydrolysates [121,122]. It is necessary to note, however, that all these methods can be easily extended to a much wider range of AGEs if adapted to enzymatic hydrolysis. One of the most sensitive methods, reported recently for quantification of AGEs, is derivatization with 2,4,6-trinitrobenzene sulfonate followed with LC-MS/MS analysis in the multiple reaction monitoring (MRM) mode. This method was successfully applied to the analysis of free glycation adducts and resulted in detection limits as low as 10 fmol [123].
It is important to note, that some AGEs can be retained on reversed phase without derivatization. Thus, Lederer and Klaiber performed such separations for 2-ammonio-6-([2-[(4-ammonio-5-oxido-5-oxopentyl)amino]-4,5-dihydro-1H-imidazol-5-ylidene]amino)-hexanoate (GODIC) and 2-ammonio-6-([2-[(4-ammonio-5-oxido-5-oxopentyl) amino]-4-methyl-4,5-dihydro-1H-imidazol-5-ylidene]amino)hexanoate (MODIC), which are relatively hydrophobic [97] (Table 1). However, in some cases, a good retention can be achieved for less hydrophobic compounds as well. For example, application of chromatographic systems, containing low amounts of methanol in mobile phase allows efficient separation of such glycation products as Nε-(2-furoylmethyl)valine and Nε-(2-furoylmethyl)lysine (furosine) on C18 reversed phase [124].
Ion pair-reversed phase chromatography (IP-RPC) is another chromatographic technique, widely used in Maillard research [103] (Table 1). In contrast to the approaches, described above, it allows analyzing of glycation adducts without derivatization. Generally, ion pair reagents, such as trifluoroacetic and heptafluorobutyric acids (TFA and HFBA, respectively) are conventionally used for purification of glycation products, providing their retention on reversed phase [125,126]. Although 0.1% TFA was successfully used as an eluent modifier for separation of argpyrimidine and pentosidine on a Hypercarb™ column [65], HFBA is a more common ion pair reagent in analysis of glycated amino acids. Thus, in the beginning of the current decade, Glomb and co-workers proposed an IP-RPC method for a high-throughput analysis of a representative pattern of at least 20 individual AGEs [19]. This method, recently extended to the detection of a wider panel of amide AGEs [127], relies on a relatively high concentrations of the ion pair reagent (0.12% v/v HFBA), which allowed a good retention of the analytes with essentially varying hydrophobicity. Interestingly, despite a high concentration of a non-volatile additive, ion suppression was moderate, and high method sensitivities (LOD typically about or below 1 pmol/mg of hydrolyzed protein) could be achieved due to combination of this approach with MS/MS analysis in a MRM mode. Thereby, quantification relied on the standard addition approach [19]. Therefore, this method combines high precision and reliability with relatively low cost requirements. During the recent decade, it’s applicability to the variety of matrices was comprehensively proved [128,129,130]. When a less variety of glycation products is supposed to be analyzed, the method can be modified appropriately. Thus, depending on the hydrophobic properties of analytes and chemistry of the reversed phase, HFBA can be supplemented to the eluents in the concentrations of 0.01 [131] or even 0.005% [45]. Although it might compromise method performance and/or minimize the spectrum of reliably detected glycation products, these conditions might reduce negative effects of ion pair reagents on mass spectrometric hardware. From the other hand, to achieve a better chromatographic behavior of hydrophilic glycation products, HFBA can be replaced by nonafluoropentanoic acid (NFPA), which has a longer hydrophobic chain in its structure and results, therefore, in a better retention of analytes and advantageous peak symmetry [132].
HILIC provides another option to quantify glycation adducts without an additional derivatization step. Thus, Yamanaka et al. applied a zwitterionic column to analysis of CML in plasma of diabetic rats [102] (Table 1). A further extension of this approach was recently suggested by Nomi and co-workers, who utilized a combination of HILIC and ion exchange separation provided by an Intrada amino acid column (Imtakt Co. Ltd., Kyoto, Japan) [133]. The authors addressed the composition of free AGEs in souses and beer, and reported quantification of seven different adducts.
Finally, HPLC on carbon columns allows quantitative retention and efficient separation of a wide selection of early and advanced glycation end products [65] (Table 1). Thus, this approach can be considered as an alternative to IP-RP-HPLC strategy, described above. The method, proposed by Thornalley et al. [65], relies on two Hypercarb™ columns, aqueous buffers and reversed phase mechanism of retention. Thereby, analytes are separated either on the first (a shorter one) column or on the series of two columns, for elution of more and less hydrophobic components, respectively [134]. The hydrophobicity of the carbon material is high enough to retain most of the glycation adducts. To ensure a sufficient retention of the most hydrophilic analytes, the hydrolysates are typically loaded in the presence of an ion pair reagent (0.1% TFA). The subsequent elution relied on acetonitrile gradients in aqueous ammonium formate buffer [135]. This design of the chromatographic experiment provides an excellent coverage of analyzed glycation products and is well-compatible with MS detection. It makes this approach advantageous in comparison to the majority of other analytical strategies. Moreover, as this protocol does not include derivatization, it is fast, reliable, free of a derivatization-related bias, and does not require high costs. Also, it integrates clean-up and separation in one procedure, that might essentially increase precision of analysis and reduce time expenses without essential contamination of mass spectrometric hardware. The method is well-compatible with tandem mass spectrometric detection in MRM mode and stable isotope dilution, which provides a high sensitivity and reproducibility [136]. It is important to note, that the Thornalley’s approach was continuously improved during the last two decades, and currently is extended over more than 20 specific adducts [76]. Moreover, it covers not only glycative modifications, but also oxidation and nitration adducts, that provides a possibility for a complex characterization of non-enzymatic protein damage in various systems of different complexity. Indeed, this method was successfully applied to diagnostic screening of glycation and oxidation markers in erythrocytes and other blood cells [65], plasma [65,137,138,139], urine [65,139,140], cerebrospinal fluid [141], synovial fluid [137,138], peritoneal dialysate [140], cultured cells [139,142], plant [139] and animal tissues [139,143,144].
2.4. Mass Spectrometry in Detection of Glycated Adducts
Mass spectrometric analysis of non-enzymatically modified (e.g., glycated and oxidized) amino acid adducts is typically performed on line, i.e., the column effluents are directly transferred in the ionization source of a mass spectrometer. Therefore, selection of a mass analyzer and type of experiment is critical for the success of the whole analysis. As in early works separation was mostly performed with GC, detection of glycation adducts typically relied on electron (impact) ionization quadrupole MS (EI-Q-MS) [90]. In this context, due to its favorable duty cycles, selected ion monitoring (SIM) mode turned to be advantageous in comparison to the conventional full scan (so-called, full-MS) option [93]. However, already in 1990s, liquid chromatography (LC) became the main methodological tool in analysis of glycation adducts [145]. Thereby, MS analysis relied on ion trap (IT) [121], quadrupole-time of flight (QqTOF) [124], and triple quadrupole (QqQ) [146,147] mass analyzers, operated either in a full-MS [122], or in a multiple reaction monitoring (MRM) modes [19,148].
Although analysis in a full-MS mode might lack sensitivity, it is technically unbiased, i.e., can be applied for discovery of new products. This feature makes this approach advantageous, when analysis of model glycation systems is performed, or when appearance of unknown species cannot be excluded [149]. Application of QqTOF- or FT-MS (Fourier transform MS) is, in this case, preferred, due to a high resolving power and mass accuracy of such instruments [150,151]. The modern instrumentation of this type generates the data with sub-ppm mass accuracy, which allows assignment of molecular formula with a high precision [152]. These tentatively identified products can be further characterized by their tandem mass spectrometric patterns and nuclear magnetic resonance (NMR) [116,153]. Quantitative analysis typically relies on integration of characteristic extracted ion chromatograms (XICs) at matched retention times (tR) in combination with external calibration [122].
In contrast to the experiments performed in a full MS mode, MRM represents a method of highly-sensitive targeted analysis [154]. Accordingly, it can be applied to a limited number of analytes, but each of them can be detected with a high precision, accuracy and sensitivity [76]. Thereby, due to the recent improvement of the QqQ instrumentation and introduction of so-called “scheduled MRM” algorithm, which allows quantification of more than 500 analytes in one experiment [155], the power of the MRM-based targeted MS analysis dramatically increased. Moreover, introduction of the ultra-high performance liquid chromatography (UHPLC) technique in 2000s [156,157], allowed development of high-throughput quantitative LC-MS/MS-based methods, requiring in some cases only five minutes analysis times [158]. However, the most important (if not the critical) improvement of the LC-MS/MS-based quantification methodology was done by combining it with the stable isotope dilution technique [139]. This approach (Figure 4A) allows direct determination of analyte concentration (CA) in experimental samples based on the ratio of analyte (SA) and internal standard (SIS) peak areas, multiplied by the concentration of the stable isotope-labeled internal standard (IS) spiked to the sample (CIS) [159]:
Figure 4.
Stable isotope dilution (A) and standard addition (B) approaches for quantification of glycation adducts.
Thereby, due to their co-elution, both the analyte and IS are subjected to the same matrix effects, that is critical for ESI-MS [160]. Therefore, although the integrated areas of the analyte and IS can vary from injection to injection, the ratios demonstrate a good intra- and inter-day precision. During the two recent decades, this approach was comprehensively elaborated by Thornalley and co-workers [65,76,148,161], Besswinger and co-workers [146], Hashimoto et al. [123], Teerlink et al. [162] and others. Therefore the methods for synthesis of authentic and stable isotope-labeled internal standards were established [139,163,164].
It is important to note, that the standard isotope dilution method can be effectively replaced with the standard addition workflow (Figure 4B). Indeed, this technique also allows correction of matrix effects within one LC-MS/MS run. Thereby, each sample is spiked with authentic standards taken at several concentration levels (typically 3–6) to obtain a calibration curve, crossing the concentration axis at the negative range and providing a C value [143]. As was explicitly shown during the recent decade [19,101], although this technique is time consuming (as several injections per sample are required), it provides precision and sensitivity, sufficient for reliable quantification of AGEs. In the same time, it is much less expensive, and, hence, available for a higher number of laboratories.
3. Analysis of Glycation Adducts as a Diagnostic Tool
Even in absence of any detectable pathology, protein glycation can be observed in tissues and body fluids of living organisms at relatively low background levels [165]. However, onset of disease is often accompanied with accumulation of advanced glycation products [166]. In this context, elevated levels of specific AGE classes can serve as promising markers in diagnostics and treatment control of atherosclerosis and accompanying cardiovascular disorders, as well as DM and its complications, Alzheimer, Parkinson diseases and etc. [167]. To date, the underlying molecular mechanisms, directly affecting protein functions, are most well-characterized in the tissues of patients suffering from DM and its complications, where enhanced disease-related formation of AGEs (especially, by cross-linking) was observed [168]. Thus, accumulation of all AGE types in mammalian tissues is associated with diabetic complications, typically affecting retina, kidneys, nervous system, and blood vessels [169]. However, this phenomenon was also shown to be involved in protein aggregation related to amyloidosis, underlying, thereby, multiple neurodegenerative disorders [170]. For example, accumulation of AGEs in senile plaques located in different cortical areas of Alzheimer patient brains was described. Specifically, this phenomenon was reported for primitive plaques, coronas of classic plaques and glial cells [171,172].
In this context, development and standardization of sensitive and precise methods for qualitative and quantitative assessment of AGE patterns, accompanying pathological changes in human physiology, is required for adequate diagnostics and therapy [173]. Immunohistochemistry (IHC) is a well-established technique providing reliable and sensitive identification of AGEs in different tissues and cells [173]. For example, it allows monitoring of advanced glycation in vascularized intraocular tissues of DM patients [174]. However, although IHC technically suites well for localization of AGEs, standardized antibodies for specific AGE classes are still missing [175]. This fact essentially limits application of IHC. In contrast, enzyme-linked immunosorbent assay (ELISA) is widely used for an assessment of AGE levels in serum, plasma and other biological fluids [173]. However, although ELISA provides reliable data about CML levels in patients with complications of DM (e.g., nephropathy) [176,177,178], it has limited specificity and reproducibility [175]. Fluorescence spectroscopy is another method, often applied for characterization of advanced glycation. Thus, it was shown that the levels of skin and lens autofluorescence are much higher in DM patients in comparison to non-diabetic individuals [179,180,181]. However, this method lacks specificity, and is not applicable for detection of non-fluorescent AGEs and does not allow reliable quantitative calibration [173].
In this context, hyphenated techniques relying on GC- and LC-separation, coupled on-line to highly-sensitive fluorescence-, MS-, or MS/MS-based detection and quantification techniques are preferred for accurate and precise measurements of specific AGEs [174,182] and dicarbonyl compounds [183] in tissue and in biological fluids (Table 2). For example, using RP-HPLC in combination with fluorescence detection, Arai et al. demonstrated elevated levels of pentosidine in plasma samples obtained from patients with schizophrenia [184]. From the other hand, GS-MS was applied to quantification of CEL and CML in brains of patients suffering from Creutzfeldt-Jakob disease and Syrian hamsters affected by scrapie. In both cases, tissue contents of these AGEs were increased in comparison to healthy controls [185]. Analogously, higher contents of CML and pentosidine were confirmed in serum of DM patients by LC-MS/MS [186]. Further examples of clinically relevant quantitative analytical techniques and diagnostic markers are summarized in Table 2.
Table 2.
Application of glycation adduct analysis in medical diagnostics.
4. Analysis of Glycation Adducts in Foods
Accumulation of AGEs during thermal processing and prolonged storage of foods is a well-known phenomenon, comprehensively described in literature on food chemistry [189,190], and is recognized as one of the most important sources of exogenous AGEs in mammalian and human organisms [191]. Thus, numerous in vitro experiments demonstrated that consumption of AGE-rich foods might result in enhanced inflammation. Indeed, production of pro-inflammatory cytokines by cultured human endothelial cells was increased in response to food-derived AGEs [192]. The similar pro-inflammatory response was observed in vivo in the experiments with healthy human volunteers: elevated levels of vascular cell adhesion molecule 1 (VCAM-1) and C-reactive protein were associated with increased consumption of food-derived AGEs [193]. The same was the truth for type 2 DM (T2DM) patients, demonstrating a positive correlation between inflammatory markers, such as interleukin 1α (IL-1α), tumor necrosis factor α (TNF-α), monocyte chemoattractant protein-1 (MCP-1) and increased consumption of dietary AGE [194].
Analysis of various thermally processed foods revealed CML as the most abundant glycated amino acid derivative [195]. Therefore, this AGE, as well as furosine, is often used as a marker of glycation load of foods [191]. For example, based on quantification of CML by ELISA, Vlassara and co-workers proposed a database of AGE-containing foods [196,197]. However, application of GC-MS provides faster analysis, as it was done, for example, for milk and meat samples [81]. Finally, LC-MS/MS is currently the method of choice for quantitative determination of CML. Moreover, other AGE adducts can be efficiently addressed by this method as well [198]. Generally, a large variety of analyzed dietary glycation adducts can be covered by the whole pattern of analytical techniques, including not only GC- and LC-MS, but also LC coupled on-line to UV/VIS and fluorescence detection (Table 3), that in the best way can be demonstrated by analysis of heated diary products [199] and enteral formula [200]. For example, application of these techniques individually or in combination gave access to quantification of pentosidine [201], methionine sulfoxide [202], Nε-(carboxymethyl)lysine [114,161,203,204], furosine [114], Nε-(carboxyethyl)lysine [114,161], MG-H [161], and pyrraline [106].
Table 3.
Application of glycation adduct analysis in food research.
5. Analysis of Glycation Adducts in Glyoxalase Research
As the majority of AGEs (at least to some extent) are formed via the autoxidative pathway, reactive dicarbonyl compounds, such as MGO and GO, are recognized as potent glycation agents [207]. Indeed, MGO reacts mainly with arginine residues to form MG-H1, CEA, argpyrimidine and THP [208], whereas GO yields CMA and Glarg [47,50]. In turn, interaction of MGO and GO with lysyl residues yields mostly CEL and CML, respectively [209]. As these adducts are the most abundant in vivo [77,210], it is obvious, that MGO and GO are the main players in the most of AGE formation pathways. Accordingly, living organisms possess an array of enzymatic and non-enzymatic defense mechanisms aimed at reducing the rates of AGE accumulation [207,211]. Among these antiglycative systems, glyoxalase system, directly involved in detoxification of MGO (and to a less extent of GO), is recognized as one of the most prominent [212]. It comprises two enzymes, namely glyoxalase-I (GLO1) and glyoxalase-II (GLO2). In the case of MGO, Glo1 catalyzes isomerization of the spontaneously formed glutathione (GSH) hemithioacetal of MGO to form a thioester (S-d-lactoylglutathione). In this reaction, GSH plays the role of a cofactor. In the next step, Glo2 catalyzes conversion of the thioester into d-lactate, accompanied with regeneration of GSH [213]. It was shown that Glo1 is highly conserved enzyme [214] which ubiquitously expressed in the cytosol of all cells [214,215,216,217].
Due to a high importance of the glyoxalase system, its activity is often addressed in clinical experiments, as well as in studies related to ageing, application of therapeutics and resistance of plants to environmental stress [217]. Thus, it was shown, that overexpression of Glo1 impacts in multidrug resistance, accompanying the progress of anti-cancer chemotherapy. From another hand, sensitivity of tumors to membrane-permeable Glo1 inhibitors is associated with high levels of Glo1 expression [218]. As was reported recently, drug-naive human tumors have an increased numbers of Glo1 copies, indicating existence of tumor-specific innate multidrug resistance. In this context, drugs based on Glo1 inhibitors may provide improved treatment efficiency [219]. Interestingly, alterations in activity of the both glyoxalases accompany pathogenesis of schizophrenia [184], and such neurodegenerative disorders, as Parkinson [220] and Alzheimer diseases [221]. Most likely, in general, the future studies of glyoxalase system will focus on its role in development and progression of metabolic, vascular, neurological and degenerative diseases and aging, as well as their metabolic and inflammatory regulation. Accordingly, glyoxalases themselves and related methylglyoxal-derived protein modifications may be considered as clinical biomarkers [218].
Thus, for the studies, addressing the efficiency of glyoxalase system in the context of dicarbonyl detoxification, reliable and sensitive quantitative methods are required to assess MGO-derived adducts in protein exhaustive hydrolysates. This can be achieved by two commonly used approaches: immunochemical techniques and LC-MS/MS. Thereby, immunoassays and immunostaining techniques are applied to address local variation in analyte concentrations within specific cells or tissue sections [139]. Although these methods suffer from a limited specificity of not well-defined antibodies, this problem can be to some extent solved by highly-specific monoclonal antibodies, obtained by a comprehensive screening and clone selection. In addition, quality of immunoassays can be improved by the application of synthetic (poly)peptides as blocking agents instead of commonly used milk protein [139].
However, in the context of Maillard analytics, all immunochemical methods have a common intrinsic disadvantage. Indeed, due to a high specificity of primary antibodies, quantification of only one conventional AGE class is possible within one immunochemical assay. Obviously, design of multiplexed immunoassays for dozens of AGEs will be extremely expensive and, probably, less reliable. Because of this, LC-MS/MS with stable isotope dilution as a standardization method is the technique, most often used to address this question and applicable for multi-analyte analysis [74]. Indeed, in the easiest case, protein-free adducts (i.e., the natural products of protein catabolism) can be readily quantified by LC-MS/MS in different body fluids, such as urine and plasma, after spiking with isotopically labeled internal standards [139]. For quantification of the protein glycation adducts, additional filtration and exhaustive digestion steps need to be introduced [139].
6. Further Perspectives
Currently, quantification of bound and free glycation adducts by LC-MS/MS in the MRM mode using the stable isotope dilution approach is a “gold standard” for analysis of early and advanced glycation products [76]. However, some considerations about the desired ways for the further development of the related analytical techniques, to our opinion, need to be addressed.
First, although the panel of conventional analytes comprises several dozens of glycation products, it is still restricted to the previously characterized structures. However, as formation of AGEs is strongly dependent from the sequence and structure moieties of corresponding proteins [108,222], their patterns might differ essentially for the samples of different composition and matrix properties. Moreover, forming AGEs can include also some structural moieties of neighboring amino acid residues [223]. Hence, the number of structural features, related to protein glycation, might be essentially higher in comparison to those conventionally considered. Therefore, untargeted profiling of glycation adducts by (U)HPLC-high resolution (HR)-MS needs to be performed to annotate the features responsive to increased carbonyl contents, and to estimate their potential for medical diagnostics and food quality assessment.
In this context, application of derivatization approaches might be advantageous for the fast and straightforward analysis of modified amino acids. Although these techniques were proposed to be less reliable in comparison to direct analysis of glycation adducts, obtained by proteolysis [76], derivatization would give an opportunity to discriminate matrix contaminations with non-amino acid compounds. For this, characteristic neutral losses, related to derivatization moiety can be diagnostic for protein-related products. Recently Milic et al. applied this strategy to characterization of carbonyl patterns, obtained by in vitro oxidation of unsaturated fatty acids [224]. The incubation mixtures were treated with 7-(diethylamino)coumarin-3-carbohydrazide, and derivatives could be unambiguously assigned by characteristic fragments at m/z 244 and 262. Transfer of this strategy to the analysis of amino acid glycation adducts and other derivatization agents seems to be promising, especially in combination with data analysis tools providing hierarchical clustering by characteristic class-specific fragment ions (e.g., MetFamily software, recently introduced by Balcke and co-workers [225]).
Although the reagents, conventionally used in amino acid analysis might also produce such characteristic fragments (e.g., characteristic loss of 2,4,6-trinitrobenzene moiety from 2,4,6-trinitrobenzene sulfonate derivatives of amino acids [123]), unbiased profiling of protein enzymatic digests still needs to be performed. Recently, we successfully applied different variants of unbiased MS profiling to human plasma tryptic digests, aiming identification of specific protein glycation sites associated with type 2 diabetes mellitus (T2DM) [77,80,159,226,227,228]. We believe, that analogous experiments, performed at the amino acid level, might also reveal new disease-specific markers and characteristic indicators for the loss of food quality during storage and thermal treatment. The identified markers can be, thereafter, introduced in already established LC-M/MS-based protocols, relying on stable isotope dilution [65] or standard addition [19,101] techniques. Finally, this would increase the depth of our insight in corresponding aspects of medical diagnostics and food chemistry.
Secondly, to our mind, insufficient attention is paid to the analysis of glycation adducts, originating from plant proteins. Indeed, plant-derived foods are often subjected to thermal treatment, and, generally, vegetarian diet was reported to be pro-glycative [229]. Indeed, plants demonstrate rich patterns of constitutive glycation [22]. Moreover, formation of glycation products is enhanced with plant age [230] and under stress conditions [21,231]. Remarkably, plants (especially their photosynthetically active parts) have rich patterns of potential carbonyl glycation agents, the most of which are much more reactive than glucose, dominating in mammalian blood and tissues [22]. Unfortunately, analysis of glycation adducts bound to plant proteins is a challenging task. Indeed, due to high contents of membrane organelles, the total plant proteome can be addressed only by such hard methods, as phenol extraction and acetone precipitation [232,233]. However, the isolates, obtained by these methods, cannot be quantitatively reconstituted in aqueous buffers, compatible with enzymatic digestion. According to our observations, not more than a half of the total protein is soluble in aqueous buffers. Because of this reason, currently, the proteins of plants and plant-derived foods either extracted by aqueous buffers (that is, usually, results in incomplete polypeptide degradation) [21], or the total protein sample digested by acidic hydrolysis in 6N HCl [104]. These approaches, however, cannot be considered as ideal ones: in the first case at least of the half of proteins are not covered by analysis, whereas in the second case most of the AGEs (unstable under acidic conditions) degrade during the hydrolysis. Therefore, new protocols allowing quantitative hydrolysis of the whole plant proteome are required. This would allow identification of new, plant-specific AGEs and address their physiological effects and biological role.
Acknowledgments
The authors thank Russian Science Foundation (project No. 17-16-01042) for financial support.
Author Contributions
Alena Soboleva wrote the Introduction part and contributed in all other chapters, Maria Vikhnina wrote the chapters devoted to clinical and food applications, as well as glyoxalase research, Andrej Frolov proposed the idea of the manuscript, supervised writing and contributed in all chapters, Tatiana Grishina contributed in writing amino acid analysis part and preparation of figures.
Conflicts of Interest
The authors declare no conflict of interest.
Abbreviations
| 3-DG | 3-deoxyglucosone |
| 3-DG-H | 3-deoxyglucosone-derived hydroimidazolone |
| 3-DP | 3-deoxypentosone |
| ACN | acetonitrile |
| AGEs | advanced glycation end products |
| AM | ammonium formate |
| AP | argpyrimidine |
| aq. | aqueous |
| AQC | 6-aminoquinolyl-N-hydroxysuccinimidyl-carbamate |
| BAC | boronic acid affinity chromatography |
| BLG | β-lactoglobulin |
| BSA | bovine serum albumin |
| CAD | collision-activated dissociation |
| CEA | Nδ-(carboxyethyl)arginine |
| CEL | Nε-(carboxyethyl)lysine |
| CMA | Nδ-(carboxymethyl)arginine |
| CM-Ala | Nα-(carboxymethyl)alanine |
| CM-Gly | Nα-(carboxymethyl)glycine |
| CM-Ile | Nα-(carboxymethyl)isoleucine |
| CML | Nε-(carboxymethyl)lysine |
| CM-Leu | Nα-(carboxymethyl)leucine |
| CML-OH | Nε-(carboxymethyl)hydroxylysine |
| CM-Phe | Nα-(carboxymethyl)phenylalanine |
| CMPM | [(3-hydroxy-5-hydroxymethyl-2-methyl-pyridin-4-ylmethyl)amino]acetic acid |
| CM-Val | Nα-(carboxymethyl)valine |
| CXC | cation exchange chromatography |
| DM | diabetes mellitus |
| DOLD | 3-deoxyglucosone-derived lysine dimer |
| EI | electron (impact) ionization |
| ELBIA | enzyme-linked boronate-immunoassay |
| ELISA | enzyme-linked immunosorbent assay |
| ESI | electrospray ionization |
| Ex/Em | excitation/emission wavelengths |
| FA | formic acid |
| FFL | Nα-formyl-Nε-(fructosyl)lysine |
| FID | flame ionization detector |
| FIP-U | Fédération Internationale Pharmaceutique unit |
| FL | Nε-(fructosyl)lysine |
| Fmoc | 9-fluorenylmethoxycarbonyl |
| FT-MS | Fourier transform MS |
| GALA | Nε-(glycoloyl)lysine |
| GC-MS | gas chromatography–mass spectrometry |
| GFC | gel-filtration chromatography |
| GLAP | glyceraldehyde-derived pyridinium compound |
| Glarg | 1-(4-amino-4-carboxybutyl)-2-imino-5-oxo-imidazolidine, glyoxal-derived hydroimidazolone |
| GLO1 | glyoxalase-I |
| GLO2 | glyoxalase-II |
| GO | glyoxal |
| GODIC | 2-ammonio-6-([2-[(4-ammonio-5-oxido-5-oxopentyl)amino]-4,5-dihydro-1H-imidazol-5-ylidene]amino)-hexanoate |
| GOLA | Nε-[2-[(5-amino-5-carboxypentyl)amino]-2-oxoethyl]lysine |
| GOLD | glyoxal-derived lysine dimer |
| GSH | glutathione |
| HbA1C | glycated hemoglobin |
| HESI | heated electrospray ionization |
| HFBA | heptafluorobutyric acid |
| HILIC | hydrophilic interaction liquid chromatography |
| HPLC | high-performance liquid chromatography |
| HR-MS | high resolution MS |
| HSA | human serum albumin |
| i-but-OH | isobutanol |
| IHC | immunohistochemistry |
| IL-1α | interleukin 1α |
| IP-RPC | ion pair-reversed phase chromatography |
| IS | internal standard |
| IT | ion trap |
| LC | liquid chromatography |
| LOD | limit of detection |
| L-VDVA | Nα-(2,4-dinitro-5-fluorophenyl)-l-valinamide |
| MALDI | matrix assisted laser desorption/ionization |
| MCA | multichannel acquisition |
| MCP-1 | monocyte chemoattractant protein-1 |
| MeOH | methanol |
| MG-H | methylglyoxal-derived hydroimidazolone |
| MG-H1 | Nδ-(5-methyl-4-oxo-5-hydroimidazo-linone-2-yl)-l-ornithine |
| MG-H2 | 2-amino-5-(2-amino-5-hydro-5-methyl-4-imidazolon-1-yl)pentanoic acid |
| MG-H3 | 2-amino-5-(2-amino-4-hydro-4-methyl-5-imidazolon-1-yl)pentanoic acid |
| MGO | methylglyoxal |
| ML | Nε-(maltosyl)lysine |
| MODIC | 2-ammonio-6-([2-[(4-ammonio-5-oxido-5-oxopentyl)amino]-4-methyl-4,5-dihydro-1H-imidazol-5-ylidene]amino)hexanoate |
| MOLD | methylglyoxal-derived lysine dimer |
| MRM | multiple reaction monitoring |
| MS | mass spectrometry |
| MS/MS | tandem mass-spectrometry |
| NAL | Nε-(acetyl)lysine |
| NFL | Nε-(formyl)lysine |
| NFPA | nonafluoropentanoic acid |
| NHDNS | Natural History of Diabetic Nephropathy Study |
| NMR | nuclear magnetic resonance |
| ODS | octadecyl silica |
| OPA | o-phthaldialdehyde |
| PFP | pentafluorophenyl |
| PFPA | perfluoropentanoic acid |
| PICI | positive ion chemical ionization |
| PITC | phenylisothiocyanate |
| PU | papain units |
| Py-GC-MS | pyrolysis GC-MS |
| Q | quadrupole mass analyzer |
| QqQ | triple quadrupole |
| QqTOF | quadrupole-time of flight |
| RAGEs | receptors to advanced glycation end products |
| RP | reversed phase |
| SF | sector field |
| SIM | selected ion monitoring |
| T1DM | type 1 diabetes mellitus |
| T2DM | type 2 diabetes mellitus |
| TCA | trichloroacetic acid |
| TEA | trimethylamine |
| TFA | trifluoroacetic acid |
| TFAME | trifluoroacetyl methyl ester |
| THP | Nδ-(4-carboxy-4,6-dimethyl-5,6-dihydroxy-1,4,5,6-tetrahydropyrimidin-2-yl)-ornithine |
| TNF-α | tumor necrosis factor α |
| UHPLC | ultra-high performance liquid chromatography |
| UV | ultra-violet |
| VCAM-1 | vascular cell adhesion molecule 1 |
| VIS | visual light |
| v/v | volume/volume |
| XIC | extracted ion chromatogram |
References
- Milkovska-Stamenova, S.; Schmidt, R.; Frolov, A.; Birkemeyer, C. GC-MS method for the quantitation of carbohydrate intermediates in glycation systems. J. Agric. Food Chem. 2015, 63, 5911–5919. [Google Scholar] [CrossRef] [PubMed]
- Hodge, J.E. The Amadori rearrangement. Adv. Carbohydr. Chem. 1955, 10, 169–205. [Google Scholar] [PubMed]
- Heyns, K.; Noack, H. Die Umsetzung von d-Fructose mit l-Lysin und l-Arginin und deren Beziehung zu nichtenzymatischen Bräunungsreaktion. Eur. J. Inorg. Chem. 1962, 95, 720–727. [Google Scholar]
- Ahmad, S.; Siddiqui, Z.; Rehman, S.; Khan, M.Y.; Khan, H.; Khanum, S.; Alouffi, S.; Saeed, M. A glycation angle to look into the diabetic vasculopathy: Cause and cure. Curr. Vasc. Pharmacol. 2017, 15, 352–364. [Google Scholar] [CrossRef] [PubMed]
- Vistoli, G.; De Maddis, D.; Cipak, A.; Zarkovic, N.; Carini, M.; Aldini, G. Advanced glycoxidation and lipoxidation end products (AGEs and ALEs): An overview of their mechanisms of formation. Free Radic. Res. 2013, 47, 3–27. [Google Scholar] [CrossRef] [PubMed]
- Wells-Knecht, K.J.; Zyzak, D.V.; Litchfield, J.E.; Thorpe, S.R.; Baynes, J.W. Mechanism of autoxidative glycosylation: Identification of glyoxal and arabinose as intermediates in the autoxidative modification of proteins by glucose. Biochemistry 1995, 34, 3702–3709. [Google Scholar] [CrossRef] [PubMed]
- Thornalley, P.J.; Langborg, A.; Minhas, H.S. Formation of glyoxal, methylglyoxal and 3-deoxyglucosone in the glycation of proteins by glucose. Biochem. J. 1999, 344, 109–116. [Google Scholar] [CrossRef] [PubMed]
- Wolff, S.P.; Dean, R.T. Glucose autoxidation and protein modification. The potential role of “autoxidative glycosylation” in diabetes. Biochem. J. 1987, 245, 243–250. [Google Scholar] [CrossRef] [PubMed]
- Fu, M.X.; Requena, J.R.; Jenkins, A.J.; Lyons, T.J.; Baynes, J.W.; Thorpe, S.R. The advanced glycation end product, Nepsilon-(carboxymethyl)lysine, is a product of both lipid peroxidation and glycoxidation reactions. J. Biol. Chem. 1996, 271, 9982–9986. [Google Scholar] [CrossRef] [PubMed]
- Nowotny, K.; Jung, T.; Höhn, A.; Weber, D.; Grune, T. Advanced glycation end products and oxidative stress in type 2 diabetes mellitus. Biomolecules 2015, 5, 194–222. [Google Scholar] [CrossRef] [PubMed]
- Thornalley, P.J.; Jahan, I.; Ng, R. Suppression of the accumulation of triosephosphates and increased formation of methylglyoxal in human red blood cells during hyperglycaemia by thiamine in vitro. J. Biochem. 2001, 129, 543–549. [Google Scholar] [CrossRef] [PubMed]
- Araki, A. Oxidative stress and diabetes mellitus: A possible role of α-dicarbonyl compounds in free radical formation. Nihon Ronen Igakkai Zasshi Jpn. J. Geriatr. 1997, 34, 716–720. [Google Scholar]
- Ott, C.; Jacobs, K.; Haucke, E.; Navarrete Santos, A.; Grune, T.; Simm, A. Role of advanced glycation end products in cellular signaling. Redox Biol. 2014, 2, 411–429. [Google Scholar] [CrossRef] [PubMed]
- Henning, C.; Smuda, M.; Girndt, M.; Ulrich, C.; Glomb, M.A. Molecular basis of Maillard amide-advanced glycation end product (AGE) formation in vivo. J. Biol. Chem. 2011, 286, 44350–44356. [Google Scholar] [CrossRef] [PubMed]
- Gkogkolou, P.; Böhm, M. Advanced glycation end products. Dermatoendocrinology 2012, 4, 259–270. [Google Scholar] [CrossRef] [PubMed]
- Singh, V.P.; Bali, A.; Singh, N.; Jaggi, A.S. Advanced glycation end products and diabetic complications. Korean J. Physiol. Pharmacol. 2014, 18, 1–14. [Google Scholar] [CrossRef] [PubMed]
- Comazzi, S.; Bertazzolo, W.; Bonfanti, U.; Spagnolo, V.; Sartorelli, P. Advanced glycation end products and sorbitol in blood from differently compensated diabetic dogs. Res. Vet. Sci. 2008, 84, 341–346. [Google Scholar] [CrossRef] [PubMed]
- Sajithlal, G.B.; Chandrakasan, G. Role of lipid peroxidation products in the formation of advanced glycation end products: An in vitro study on collagen. Proc. Indian Acad. Sci.-Chem. Sci. 1999, 111, 215–229. [Google Scholar] [CrossRef]
- Smuda, M.; Henning, C.; Raghavan, C.T.; Johar, K.; Vasavada, A.R.; Nagaraj, R.H.; Glomb, M.A. Comprehensive analysis of Maillard protein modifications in human lenses: Effect of age and cataract. Biochemistry 2015, 54, 2500–2507. [Google Scholar] [CrossRef] [PubMed]
- Stirban, A.; Gawlowski, T.; Roden, M. Vascular effects of advanced glycation endproducts: Clinical effects and molecular mechanisms. Mol. Metab. 2013, 3, 94–108. [Google Scholar] [CrossRef] [PubMed]
- Bechtold, U.; Rabbani, N.; Mullineaux, P.M.; Thornalley, P.J. Quantitative measurement of specific biomarkers for protein oxidation, nitration and glycation in Arabidopsis leaves. Plant J. 2009, 59, 661–671. [Google Scholar] [CrossRef] [PubMed]
- Bilova, T.; Lukasheva, E.; Brauch, D.; Greifenhagen, U.; Paudel, G.; Tarakhovskaya, E.; Frolova, N.; Mittasch, J.; Balcke, G.U.; Tissier, A.; et al. A snapshot of the plant glycated proteome: Structural, functional, and mechanistic aspects. J. Biol. Chem. 2016, 291, 7621–7636. [Google Scholar] [CrossRef] [PubMed]
- Dimitrova, R.; Mironova, R.; Ivanov, I. Glycation of proteins in Escherichia coli: Effect of nutrient broth ingredients on glycation. Biotechnol. Biotechnol. Equip. 2004, 18, 99–103. [Google Scholar] [CrossRef]
- Hellwig, M.; Henle, T. Baking, ageing, diabetes: A short history of the Maillard reaction. Angew. Chem. Int. Ed. 2014, 53, 10316–10329. [Google Scholar] [CrossRef] [PubMed]
- Monnier, V.M.; Sun, W.; Gao, X.; Sell, D.R.; Cleary, P.A.; Lachin, J.M.; Genuth, S.; DCCT/EDIC Research Group. Skin collagen advanced glycation endproducts (AGEs) and the long-term progression of sub-clinical cardiovascular disease in type 1 diabetes. Cardiovasc. Diabetol. 2015, 14, 118. [Google Scholar] [CrossRef] [PubMed]
- Huttunen, H.J.; Fages, C.; Rauvala, H. Receptor for advanced glycation end products (RAGE)-mediated neurite outgrowth and activation of NF-κB require the cytoplasmic domain of the receptor but different downstream signaling pathways. J. Biol. Chem. 1999, 274, 19919–19924. [Google Scholar] [CrossRef] [PubMed]
- Hu, H.; Jiang, H.; Ren, H.; Hu, X.; Wang, X.; Han, C. AGEs and chronic subclinical inflammation in diabetes: Disorders of immune system. Diabetes Metab. Res. Rev. 2015, 31, 127–137. [Google Scholar] [CrossRef] [PubMed]
- Skrha, J. Pathogenesis of angiopathy in diabetes. Acta Diabetol. 2003, 40, S324–S329. [Google Scholar] [CrossRef] [PubMed]
- Van Puyvelde, K.; Mets, T.; Njemini, R.; Beyer, I.; Bautmans, I. Effect of advanced glycation end product intake on inflammation and aging: A systematic review. Nutr. Rev. 2014, 72, 638–650. [Google Scholar] [CrossRef] [PubMed]
- Daulatzai, M.A. Fundamental role of pan-inflammation and oxidative-nitrosative pathways in neuropathogenesis of Alzheimer’s disease in focal cerebral ischemic rats. Am. J. Neurodegener. Dis. 2016, 5, 102–130. [Google Scholar] [PubMed]
- Chen, H.; O’Reilly, E.J.; Schwarzschild, M.A.; Ascherio, A. Peripheral inflammatory biomarkers and risk of Parkinson’s disease. Am. J. Epidemiol. 2008, 167, 90–95. [Google Scholar] [CrossRef] [PubMed]
- Anitha, B.; Sampathkumar, R.; Balasubramanyam, M.; Rema, M. Advanced glycation index and its association with severity of diabetic retinopathy in type 2 diabetic subjects. J. Diabetes Complicat. 2008, 22, 261–266. [Google Scholar] [CrossRef] [PubMed]
- Karachalias, N.; Babaei-Jadidi, R.; Ahmed, N.; Thornalley, P.J. Accumulation of fructosyl-lysine and advanced glycation end products in the kidney, retina and peripheral nerve of streptozotocin-induced diabetic rats. Biochem. Soc. Trans. 2003, 31, 1423–1425. [Google Scholar] [CrossRef] [PubMed]
- Wada, R.; Yagihashi, S. Role of advanced glycation end products and their receptors in development of diabetic neuropathy. Ann. N. Y. Acad. Sci. USA 2005, 1043, 598–604. [Google Scholar] [CrossRef] [PubMed]
- Nguyen, S.; Pascariu, M.; Ghitescu, L. Early glycation products of endothelial plasma membrane proteins in experimental diabetes. Biochim. Biophys. Acta 2006, 1762, 94–102. [Google Scholar] [CrossRef] [PubMed]
- Ashraf, J.M.; Abdullah, S.M.S.; Ahmad, S.; Fatma, S.; Baig, M.H.; Iqbal, J.; Madkhali, A.M.; Jerah, A.B.A. Prevalence of autoantibodies against 3-DG-glycated H2A protein in type 2 diabetes. Biochem. Biokhimiia 2017, 82, 579–586. [Google Scholar] [CrossRef] [PubMed]
- Frimat, M.; Daroux, M.; Litke, R.; Nevière, R.; Tessier, F.J.; Boulanger, E. Kidney, heart and brain: Three organs targeted by ageing and glycation. Clin. Sci. 1979 2017, 131, 1069–1092. [Google Scholar] [CrossRef] [PubMed]
- Loomis, S.J.; Chen, Y.; Sacks, D.B.; Christenson, E.S.; Christenson, R.H.; Rebholz, C.M.; Selvin, E. Cross-sectional analysis of AGE-CML, sRAGE, and esRAGE with diabetes and cardiometabolic risk factors in a community-based cohort. Clin. Chem. 2017, 63, 980–989. [Google Scholar] [CrossRef] [PubMed]
- Araszkiewicz, A.; Gandecka, A.; Nowicki, M.; Uruska, A.; Malińska, A.; Kowalska, K.; Wierusz-Wysocka, B.; Zozulińska-Ziółkiewicz, D. Association between small fiber neuropathy and higher skin accumulation of advanced glycation end products in patients with type 1 diabetes. Pol. Arch. Med. Wewn. 2016, 126, 847–853. [Google Scholar] [CrossRef] [PubMed]
- Nigro, C.; Leone, A.; Raciti, G.A.; Longo, M.; Mirra, P.; Formisano, P.; Beguinot, F.; Miele, C. Methylglyoxal-Glyoxalase 1 balance: The root of vascular damage. Int. J. Mol. Sci. 2017, 18, 188. [Google Scholar] [CrossRef] [PubMed]
- Ahmed, M.U.; Thorpe, S.R.; Baynes, J.W. Identification of N epsilon-carboxymethyllysine as a degradation product of fructoselysine in glycated protein. J. Biol. Chem. 1986, 261, 4889–4894. [Google Scholar] [PubMed]
- Ahmed, M.U.; Brinkmann Frye, E.; Degenhardt, T.P.; Thorpe, S.R.; Baynes, J.W. N-epsilon-(carboxyethyl)lysine, a product of the chemical modification of proteins by methylglyoxal, increases with age in human lens proteins. Biochem. J. 1997, 324, 565–570. [Google Scholar] [CrossRef] [PubMed]
- Liang, Z.; Li, L.; Qi, H.; Wan, L.; Cai, P.; Xu, Z.; Li, B. Formation of peptide bound pyrraline in the Maillard model systems with different Lys-containing dipeptides and tripeptides. Molecules 2016, 21, 463. [Google Scholar] [CrossRef] [PubMed]
- Hellwig, M.; Henle, T. Formyline, a new glycation compound from the reaction of lysine and 3-deoxypentosone. Eur. Food Res. Technol. 2010, 230, 903–914. [Google Scholar] [CrossRef]
- Usui, T.; Shimohira, K.; Watanabe, H.; Hayase, F. Detection and determination of glyceraldehyde-derived pyridinium-type advanced glycation end product in streptozotocin-induced diabetic rats. Biosci. Biotechnol. Biochem. 2007, 71, 442–448. [Google Scholar] [CrossRef] [PubMed]
- Glomb, M.A.; Pfahler, C. Amides are novel protein modifications formed by physiological sugars. J. Biol. Chem. 2001, 276, 41638–41647. [Google Scholar] [CrossRef] [PubMed]
- Schwarzenbolz, U.; Henle, T.; Haebner, R.; Klostermeyer, H. On the reaction of glyoxal with proteins. Z. Leb. -Forsch. A 1997, 205, 121–124. [Google Scholar] [CrossRef]
- Henle, T.; Walter, A.W.; Haessner, R.; Klostermeyer, H. Isolation to AGEs formed endogenously. Corresponding studies, and identification of a protein-bound imidazolone resulting from the reaction of arginine residues and methylglyoxal. Z. Lebensm. Unters. -Forsch. 1997, 204, 95–98. [Google Scholar] [CrossRef]
- Ahmed, N.; Argirov, O.K.; Minhas, H.S.; Cordeiro, C.A.A.; Thornalley, P.J. Assay of advanced glycation endproducts (AGEs): Surveying AGEs by chromatographic assay with derivatization by 6-aminoquinolyl-N-hydroxysuccinimidyl-carbamate and application to Nepsilon-carboxymethyl-lysine- and Nepsilon-(1-carboxyethyl)lysine-modified albumin. Biochem. J. 2002, 364, 1–14. [Google Scholar] [PubMed]
- Glomb, M.A.; Lang, G. Isolation and characterization of glyoxal-arginine modifications. J. Agric. Food Chem. 2001, 49, 1493–1501. [Google Scholar] [CrossRef] [PubMed]
- Gruber, P.; Hofmann, T. Chemoselective synthesis of peptides containing major advanced glycation end-products of lysine and arginine. Chem. Biol. Drug Des. 2005, 66, 111–124. [Google Scholar] [CrossRef] [PubMed]
- Shipanova, I.N.; Glomb, M.A.; Nagaraj, R.H. Protein modification by methylglyoxal: Chemical nature and synthetic mechanism of a major fluorescent adduct. Arch. Biochem. Biophys. 1997, 344, 29–36. [Google Scholar] [CrossRef] [PubMed]
- Oya, T.; Hattori, N.; Mizuno, Y.; Miyata, S.; Maeda, S.; Osawa, T.; Uchida, K. Methylglyoxal modification of protein. Chemical and immunochemical characterization of methylglyoxal-arginine adducts. J. Biol. Chem. 1999, 274, 18492–18502. [Google Scholar] [CrossRef] [PubMed]
- Sell, D.R.; Monnier, V.M. Structure elucidation of a senescence cross-link from human extracellular matrix. Implication of pentoses in the aging process. J. Biol. Chem. 1989, 264, 21597–21602. [Google Scholar] [PubMed]
- Obayashi, H.; Nakano, K.; Shigeta, H.; Yamaguchi, M.; Yoshimori, K.; Fukui, M.; Fujii, M.; Kitagawa, Y.; Nakamura, N.; Nakamura, K.; et al. Formation of crossline as a fluorescent advanced glycation end product in vitro and in vivo. Biochem. Biophys. Res. Commun. 1996, 226, 37–41. [Google Scholar] [CrossRef] [PubMed]
- Nakamura, K.; Nakazawa, Y.; Ienaga, K. Acid-stable fluorescent advanced glycation end products: Vesperlysines A, B, and C are formed as crosslinked products in the Maillard reaction between lysine or proteins with glucose. Biochem. Biophys. Res. Commun. 1997, 232, 227–230. [Google Scholar] [CrossRef] [PubMed]
- Tessier, F.; Obrenovich, M.; Monnier, V.M. Structure and mechanism of formation of human lens fluorophore LM-1. Relationship to vesperlysine A and the advanced Maillard reaction in aging, diabetes, and cataractogenesis. J. Biol. Chem. 1999, 274, 20796–20804. [Google Scholar] [CrossRef] [PubMed]
- Frye, E.B.; Degenhardt, T.P.; Thorpe, S.R.; Baynes, J.W. Role of the Maillard reaction in aging of tissue proteins. Advanced glycation end product-dependent increase in imidazolium cross-links in human lens proteins. J. Biol. Chem. 1998, 273, 18714–18719. [Google Scholar] [CrossRef] [PubMed]
- Ahmed, N.; Thornalley, P.J. Chromatographic assay of glycation adducts in human serum albumin glycated in vitro by derivatization with 6-aminoquinolyl-N-hydroxysuccinimidyl-carbamate and intrinsic fluorescence. Biochem. J. 2002, 364, 15–24. [Google Scholar] [CrossRef] [PubMed]
- Luévano-Contreras, C.; Gómez-Ojeda, A.; Macías-Cervantes, M.H.; Garay-Sevilla, M.E. Dietary advanced glycation end products and cardiometabolic risk. Curr. Diabetes Rep. 2017, 17, 63. [Google Scholar] [CrossRef] [PubMed]
- Grantham, C.E.; Hull, K.L.; Graham-Brown, M.P.M.; March, D.S.; Burton, J.O. The potential cardiovascular benefits of low-glucose degradation product, biocompatible peritoneal dialysis fluids: A review of the literature. Perit. Dial. Int. J. 2017, 37, 375–383. [Google Scholar] [CrossRef] [PubMed]
- Aragno, M.; Mastrocola, R. Dietary sugars and endogenous formation of advanced glycation end products: Emerging mechanisms of disease. Nutrients 2017, 9, 385. [Google Scholar] [CrossRef] [PubMed]
- Ellis, G.; Diamandis, E.P.; Giesbrecht, E.E.; Daneman, D.; Allen, L.C. An automated “high-pressure” liquid-chromatographic assay for hemoglobin A1c. Clin. Chem. 1984, 30, 1746–1752. [Google Scholar] [PubMed]
- Vidal, P.; Deckert, T.; Hansen, B.; Welinder, B.S. High-performance liquid chromatofocusing and column affinity chromatography of in vitro 14C-glycated human serum albumin. Demonstration of a glycation-induced anionic heterogeneity. J. Chromatogr. 1989, 476, 467–475. [Google Scholar] [CrossRef]
- Thornalley, P.J.; Battah, S.; Ahmed, N.; Karachalias, N.; Agalou, S.; Babaei-Jadidi, R.; Dawnay, A. Quantitative screening of advanced glycation endproducts in cellular and extracellular proteins by tandem mass spectrometry. Biochem. J. 2003, 375, 581–592. [Google Scholar] [CrossRef] [PubMed]
- Ikeda, K.; Sakamoto, Y.; Kawasaki, Y.; Miyake, T.; Tanaka, K.; Urata, T.; Katayama, Y.; Ueda, S.; Horiuchi, S. Determination of glycated albumin by enzyme-linked boronate immunoassay (ELBIA). Clin. Chem. 1998, 44, 256–263. [Google Scholar] [PubMed]
- Miyake, T.; Tanaka, K. Enzyme reagent for detecting glycated proteins. J. Pharm. Health Care Sci. 1992, 28, 871–875. [Google Scholar]
- Floridi, A.; Trizza, V.; Paolotti, P.; Lucarelli, C. Analytical strategy for the assessment of the protein glycation status in uremic patients by high-performance liquid chromatography. J. Chromatogr. A 1999, 846, 65–71. [Google Scholar] [CrossRef]
- Resmi, H.; Akhunlar, H.; Temiz Artmann, A.; Güner, G. In vitro effects of high glucose concentrations on membrane protein oxidation, G-actin and deformability of human erythrocytes. Cell Biochem. Funct. 2005, 23, 163–168. [Google Scholar] [CrossRef] [PubMed]
- Wróbel, K.; Wróbel, K.; Garay-Sevilla, M.E.; Nava, L.E.; Malacara, J.M. Novel analytical approach to monitoring advanced glycosylation end products in human serum with on-line spectrophotometric and spectrofluorometric detection in a flow system. Clin. Chem. 1997, 43, 1563–1569. [Google Scholar] [PubMed]
- Sensi, M.; Pricci, F.; De Rossi, M.G.; Bruno, M.R.; Morano, S.; Capuozzo, E.; Di Mario, U. Formation and ways of detecting advanced glycation end-products in isolated human glomerular basement membrane and human serum albumin nonenzymatically glycated in vitro. J. Diabet. Complicat. 1989, 3, 88–91. [Google Scholar] [CrossRef]
- Makita, Z.; Vlassara, H.; Cerami, A.; Bucala, R. Immunochemical detection of advanced glycosylation end products in vivo. J. Biol. Chem. 1992, 267, 5133–5138. [Google Scholar] [PubMed]
- Miyata, S.; Monnier, V.M. Immunohistochemical detection of advanced glycosylation end products in diabetic tissues using monoclonal antibody to pyrraline. J. Clin. Investig. 1992, 89, 1102–1112. [Google Scholar] [CrossRef] [PubMed]
- Rabbani, N.; Ashour, A.; Thornalley, P.J. Mass spectrometric determination of early and advanced glycation in biology. Glycoconj. J. 2016, 33, 553–568. [Google Scholar] [CrossRef] [PubMed]
- Wei, B.; Berning, K.; Quan, C.; Zhang, Y.T. Glycation of antibodies: Modification, methods and potential effects on biological functions. J. mAbs 2017, 9, 586–594. [Google Scholar] [CrossRef] [PubMed]
- Thornalley, P.J.; Rabbani, N. Detection of oxidized and glycated proteins in clinical samples using mass spectrometry—A user’s perspective. Biochim. Biophys. Acta 2014, 1840, 818–829. [Google Scholar] [CrossRef] [PubMed]
- Greifenhagen, U.; Nguyen, V.D.; Moschner, J.; Giannis, A.; Frolov, A.; Hoffmann, R. Sensitive and site-specific identification of carboxymethylated and carboxyethylated peptides in tryptic digests of proteins and human plasma. J. Proteome Res. 2015, 14, 768–777. [Google Scholar] [CrossRef] [PubMed]
- Frolov, A.; Hoffmann, P.; Hoffmann, R. Fragmentation behavior of glycated peptides derived from d-glucose, d-fructose and d-ribose in tandem mass spectrometry. J. Mass Spectrom. JMS 2006, 41, 1459–1469. [Google Scholar] [CrossRef] [PubMed]
- Zhang, Q.; Monroe, M.E.; Schepmoes, A.A.; Clauss, T.R.W.; Gritsenko, M.A.; Meng, D.; Petyuk, V.A.; Smith, R.D.; Metz, T.O. Comprehensive identification of glycated peptides and their glycation motifs in plasma and erythrocytes of control and diabetic subjects. J. Proteome Res. 2011, 10, 3076–3088. [Google Scholar] [CrossRef] [PubMed]
- Schmidt, R.; Böhme, D.; Singer, D.; Frolov, A. Specific tandem mass spectrometric detection of AGE-modified arginine residues in peptides. J. Mass Spectrom. JMS 2015, 50, 613–624. [Google Scholar] [CrossRef] [PubMed]
- Charissou, A.; Ait-Ameur, L.; Birlouez-Aragon, I. Evaluation of a gas chromatography/mass spectrometry method for the quantification of carboxymethyllysine in food samples. J. Chromatogr. A 2007, 1140, 189–194. [Google Scholar] [CrossRef] [PubMed]
- Mark, A.B.; Poulsen, M.W.; Andersen, S.; Andersen, J.M.; Bak, M.J.; Ritz, C.; Holst, J.J.; Nielsen, J.; Courten, B. de; Dragsted, L.O.; et al. Consumption of a diet low in advanced glycation endproducts for 4 weeks improves insulin sensitivity in overweight women. Diabetes Care 2013. [Google Scholar] [CrossRef]
- American Diabetes Association. Standards of medical care in diabetes—2016: Summary of revisions. Diabetes Care 2016, 39, S4–S5. [Google Scholar] [CrossRef]
- Bhat, S.; Jagadeeshaprasad, M.G.; Venkatasubramani, V.; Kulkarni, M.J. Abundance matters: Role of albumin in diabetes, a proteomics perspective. Expert Rev. Proteom. 2017. [Google Scholar] [CrossRef] [PubMed]
- Furusyo, N.; Hayashi, J. Glycated albumin and diabetes mellitus. Biochim. Biophys. Acta 2013, 1830, 5509–5514. [Google Scholar] [CrossRef] [PubMed]
- Rabbani, N.; Thornalley, P.J. Quantitation of markers of protein damage by glycation, oxidation, and nitration in peritoneal dialysis. Perit. Dial. Int. J. Int. Soc. Perit. Dial. 2009, 29, S51–S56. [Google Scholar]
- Sternberg, Z.; Hennies, C.; Sternberg, D.; Wang, P.; Kinkel, P.; Hojnacki, D.; Weinstock-Guttmann, B.; Munschauer, F. Diagnostic potential of plasma carboxymethyllysine and carboxyethyllysine in multiple sclerosis. J. Neuroinflamm. 2010, 7, 72. [Google Scholar] [CrossRef] [PubMed]
- Hellwig, M.; Börner, M.; Beer, F.; van Pée, K.-H.; Henle, T. Transformation of free and dipeptide-bound glycated amino acids by two strains of Saccharomyces cerevisiae. ChemBioChem 2017, 18, 266–275. [Google Scholar] [CrossRef] [PubMed]
- Mir, A.R.; Habib, S.; Khan, F.; Alam, K.; Ali, A. Structural changes in histone H2A by methylglyoxal generate highly immunogenic amorphous aggregates with implications in auto-immune response in cancer. Glycobiology 2016, 26, 129–141. [Google Scholar] [CrossRef] [PubMed]
- Slight, S.H.; Prabhakaram, M.; Shin, D.B.; Feather, M.S.; Ortwerth, B.J. The extent of Nε-(carboxymethyl)lysine formation in lens proteins and polylysine by the autoxidation products of ascorbic acid. Biochim. Biophys. Acta 1992, 1117, 199–206. [Google Scholar] [CrossRef]
- Dunn, J.A.; McCance, D.R.; Thorpe, S.R.; Lyons, T.J.; Baynes, J.W. Age-dependent accumulation of Nε-(carboxymethyl)lysine and Nε-(carboxymethyl)hydroxylysine in human skin collagen. Biochemistry (Mosc.) 1991, 30, 1205–1210. [Google Scholar] [CrossRef]
- Badoud, R.; Fay, L.B. Mass spectrometric analysis of N-carboxymethylamino acids as periodate oxidation derivatives of Amadori compounds application to glycosylated haemoglobin. Amino Acids 1993, 5, 367–375. [Google Scholar] [CrossRef] [PubMed]
- Degenhardt, T.P.; Grass, L.; Reddy, S.; Thorpe, S.R.; Diamandis, E.P.; Baynes, J.W. Technical note. The serum concentration of the advanced glycation end-product N epsilon-(carboxymethyl)lysine is increased in uremia. Kidney Int. 1997, 52, 1064–1067. [Google Scholar] [CrossRef] [PubMed]
- Lapolla, A.; Gerhardinger, C.; Baldo, L.; Fedele, D.; Favretto, D.; Seraglia, R.; Traldi, P. Pyrolysis/gas chromatography/mass spectrometry in the analysis of glycated poly-l-lysine. Org. Mass Spectrom. 1992, 27, 183–187. [Google Scholar] [CrossRef]
- Lapolla, A.; Gerhardinger, C.; Baldo, L.; Crepaldi, G.; Fedele, D.; Favretto, D.; Seraglia, R.; Curcuruto, O.; Traldi, P. Pyrolysis—Gas chromatography/mass spectrometry in the characterization of glycated albumin. J. Anal. Appl. Pyrolysis 1992, 24, 87–103. [Google Scholar] [CrossRef]
- Vinale, F.; Fogliano, V.; Schieberle, P.; Hofmann, T. Development of a stable isotope dilution assay for an accurate quantification of protein-bound Nε-(1-deoxy-d-fructos-1-yl)-l-lysine using a 13C-labeled internal standard. J. Agric. Food Chem. 1999, 47, 5084–5092. [Google Scholar] [CrossRef] [PubMed]
- Lederer, M.O.; Klaiber, R.G. Cross-linking of proteins by Maillard processes: Characterization and detection of lysine-arginine cross-links derived from glyoxal and methylglyoxal. Bioorg. Med. Chem. 1999, 7, 2499–2507. [Google Scholar] [CrossRef]
- Chevalier, F.; Chobert, J.-M.; Dalgalarrondo, M.; Haertlé, T. Characterization of the Maillard reaction products of β-lactoglobulin glucosylated in mild conditions. J. Food Biochem. 2001, 25, 33–55. [Google Scholar] [CrossRef]
- Portero-Otin, M.; Nagaraj, R.H.; Monnier, V.M. Chromatographic evidence for pyrraline formation during protein glycation in vitro and in vivo. Biochim. Biophys. Acta 1995, 1247, 74–80. [Google Scholar] [CrossRef]
- Hartkoph, J.; Pahlke, C.; Lüdemann, G.; Erbersdobler, H.F. Determination of Nε-carboxymethyllysine by a reversed-phase high-performance liquid chromatography method. J. Chromatogr. A 1994, 672, 242–246. [Google Scholar] [CrossRef]
- Hellwig, M.; Witte, S.; Henle, T. Free and protein-bound Maillard reaction products in beer: Method development and a survey of different beer types. J. Agric. Food Chem. 2016, 64, 7234–7243. [Google Scholar] [CrossRef] [PubMed]
- Yamanaka, M.; Shirakawa, J.-I.; Ohno, R.-I.; Shinagawa, M.; Hatano, K.; Sugawa, H.; Arakawa, S.; Furusawa, C.; Nagai, M.; Nagai, R. Soft-shelled turtle eggs inhibit the formation of AGEs in the serum and skin of diabetic rats. J. Clin. Biochem. Nutr. 2016, 58, 130–134. [Google Scholar] [CrossRef] [PubMed]
- Troise, A.D.; Fiore, A.; Roviello, G.; Monti, S.M.; Fogliano, V. Simultaneous quantification of amino acids and Amadori products in foods through ion-pairing liquid chromatography-high-resolution mass spectrometry. Amino Acids 2015, 47, 111–124. [Google Scholar] [CrossRef] [PubMed]
- Wellner, A.; Huettl, C.; Henle, T. Formation of Maillard reaction products during heat treatment of carrots. J. Agric. Food Chem. 2011, 59, 7992–7998. [Google Scholar] [CrossRef] [PubMed]
- Delatour, T.; Hegele, J.; Parisod, V.; Richoz, J.; Maurer, S.; Steven, M.; Buetler, T. Analysis of advanced glycation endproducts in dairy products by isotope dilution liquid chromatography-electrospray tandem mass spectrometry. The particular case of carboxymethyllysine. J. Chromatogr. A 2009, 1216, 2371–2381. [Google Scholar] [CrossRef] [PubMed]
- Hegele, J.; Buetler, T.; Delatour, T. Comparative LC-MS/MS profiling of free and protein-bound early and advanced glycation-induced lysine modifications in dairy products. Anal. Chim. Acta 2008, 617, 85–96. [Google Scholar] [CrossRef] [PubMed]
- Hegele, J.; Parisod, V.; Richoz, J.; Förster, A.; Maurer, S.; Krause, R.; Henle, T.; Bütler, T.; Delatour, T. Evaluating the extent of protein damage in dairy products: Simultaneous determination of early and advanced glycation-induced lysine modifications. Ann. N. Y. Acad. Sci. 2008, 1126, 300–306. [Google Scholar] [CrossRef] [PubMed]
- Greifenhagen, U.; Frolov, A.; Hoffmann, R. Oxidative degradation of Nε-fructosylamine-substituted peptides in heated aqueous systems. Amino Acids 2015, 47, 1065–1076. [Google Scholar] [CrossRef] [PubMed]
- Keeney, M.; Bassette, R. Detection of intermediate compounds in the early stages of browning reaction in milk products. J. Dairy Sci. 1959, 42, 945–960. [Google Scholar] [CrossRef]
- Heyns, K.; Heukeshoven, J.; Brose, K.-H. Der Abbau von Fructose-Aminosäuren zu N-(2-Furoylmethyl)-Aminosäuren. Zwischenprodukte der Bräunungsreaktionen. Angew. Chem. 1968, 80, 627. [Google Scholar] [CrossRef]
- Finot, P.A.; Bricout, J.; Viani, R.; Mauron, J. Identification of a new lysine derivative obtained upon acid hydrolysis of heated milk. Experientia 1968, 24, 1097–1099. [Google Scholar] [CrossRef] [PubMed]
- Erbersdobler, H.F.; Zucker, H. Untersuchungen zum Gehalt an Lysin und verfügbarem Lysin in Trockenmagermilch. Milchwissenschaft 1966, 21, 564–568. [Google Scholar]
- Erbersdobler, H.F.; Somoza, V. Forty years of furosine-forty years of using Maillard reaction products as indicators of the nutritional quality of foods. Mol. Nutr. Food Res. 2007, 51, 423–430. [Google Scholar] [CrossRef] [PubMed]
- Troise, A.D.; Fiore, A.; Wiltafsky, M.; Fogliano, V. Quantification of Nε-(2-Furoylmethyl)-l-lysine (furosine), Nε-(Carboxymethyl)-l-lysine (CML), Nε-(Carboxyethyl)-l-lysine (CEL) and total lysine through stable isotope dilution assay and tandem mass spectrometry. Food Chem. 2015, 188, 357–364. [Google Scholar] [CrossRef] [PubMed]
- Hellwig, M.; Rückriemen, J.; Sandner, D.; Henle, T. Unique pattern of protein-bound Maillard reaction products in manuka (Leptospermum scoparium) honey. J. Agric. Food Chem. 2017, 65, 3532–3540. [Google Scholar] [CrossRef] [PubMed]
- Iijima, K.; Murata, M.; Takahara, H.; Irie, S.; Fujimoto, D. Identification of Nω-carboxymethylarginine as a novel acid-labile advanced glycation end product in collagen. Biochem. J. 2000, 347, 23–27. [Google Scholar] [CrossRef] [PubMed]
- Frolov, A.; Schmidt, R.; Spiller, S.; Greifenhagen, U.; Hoffmann, R. Arginine-derived advanced glycation end products generated in peptide-glucose mixtures during boiling. J. Agric. Food Chem. 2014, 62, 3626–3635. [Google Scholar] [CrossRef] [PubMed]
- Henle, T.; Walter, H.; Klostermeyer, H. Evaluation of the extent of the early Maillard-reaction in milk products by direct measurement of the Amadori-product lactuloselysine. Z. Lebensm. Unters. -Forsch. 1991, 193, 119–122. [Google Scholar] [CrossRef] [PubMed]
- Van de Merbel, N.C.; Mentink, C.J.A.L.; Hendriks, G.; Wolffenbuttel, B.H.R. Liquid chromatographic method for the quantitative determination of Nepsilon-carboxymethyllysine in human plasma proteins. J. Chromatogr. B Anal. Technol. Biomed. Life Sci. 2004, 808, 163–168. [Google Scholar] [CrossRef] [PubMed]
- Zhou, Y.; Lin, Q.; Jin, C.; Cheng, L.; Zheng, X.; Dai, M.; Zhang, Y. Simultaneous analysis of Nε-(carboxymethyl)lysine and Nε-(carboxyethyl)lysine in foods by ultra-performance liquid chromatography-mass spectrometry with derivatization by 9-fluorenylmethyl chloroformate. J. Food Sci. 2015, 80, C207–C217. [Google Scholar] [CrossRef] [PubMed]
- Ehrlich, H.; Hanke, T.; Simon, P.; Born, R.; Fischer, C.; Frolov, A.; Langrock, T.; Hoffmann, R.; Schwarzenbolz, U.; Henle, T.; et al. Carboxymethylation of the fibrillar collagen with respect to formation of hydroxyapatite. J. Biomed. Mater. Res. B Appl. Biomater. 2010, 92, 542–551. [Google Scholar] [CrossRef] [PubMed]
- Ehrlich, H.; Hanke, T.; Frolov, A.; Langrock, T.; Hoffmann, R.; Fischer, C.; Schwarzenbolz, U.; Henle, T.; Born, R.; Worch, H. Modification of collagen in vitro with respect to formation of Nepsilon-carboxymethyllysine. Int. J. Biol. Macromol. 2009, 44, 51–56. [Google Scholar] [CrossRef] [PubMed]
- Hashimoto, C.; Iwaihara, Y.; Chen, S.J.; Tanaka, M.; Watanabe, T.; Matsui, T. Highly-sensitive detection of free advanced glycation end-products by liquid chromatography-electrospray ionization-tandem mass spectrometry with 2,4,6-trinitrobenzene sulfonate derivatization. Anal. Chem. 2013, 85, 4289–4295. [Google Scholar] [CrossRef] [PubMed]
- Penndorf, I.; Li, C.; Schwarzenbolz, U.; Henle, T. N-terminal glycation of proteins and peptides in foods and in vivo: Evaluation of N-(2-furoylmethyl)valine in acid hydrolyzates of human hemoglobin. Ann. N. Y. Acad. Sci. 2008, 1126, 118–123. [Google Scholar] [CrossRef] [PubMed]
- Frolov, A.; Singer, D.; Hoffmann, R. Solid-phase synthesis of glucose-derived Amadori peptides. J. Pept. Sci. 2007, 13, 862–867. [Google Scholar] [CrossRef] [PubMed]
- Frolov, A.; Hoffmann, R. Separation of Amadori peptides from their unmodified analogs by ion-pairing RP-HPLC with heptafluorobutyric acid as ion-pair reagent. Anal. Bioanal. Chem. 2008, 392, 1209–1214. [Google Scholar] [CrossRef] [PubMed]
- Hohmann, C.; Liehr, K.; Henning, C.; Fiedler, R.; Girndt, M.; Gebert, M.; Hulko, M.; Storr, M.; Glomb, M.A. Detection of free advanced glycation end products in vivo during hemodialysis. J. Agric. Food Chem. 2017, 65, 930–937. [Google Scholar] [CrossRef] [PubMed]
- Raghavan, C.T.; Smuda, M.; Smith, A.J.O.; Howell, S.; Smith, D.G.; Singh, A.; Gupta, P.; Glomb, M.A.; Wormstone, I.M.; Nagaraj, R.H. AGEs in human lens capsule promote the TGFβ2-mediated EMT of lens epithelial cells: Implications for age-associated fibrosis. Aging Cell 2016, 15, 465–476. [Google Scholar] [CrossRef] [PubMed]
- Rakete, S.; Klaus, A.; Glomb, M.A. Investigations on the Maillard reaction of dextrins during aging of Pilsner type beer. J. Agric. Food Chem. 2014, 62, 9876–9884. [Google Scholar] [CrossRef] [PubMed]
- Haucke, E.; Navarrete Santos, A.; Simm, A.; Henning, C.; Glomb, M.A.; Gürke, J.; Schindler, M.; Fischer, B.; Navarrete Santos, A. Accumulation of advanced glycation end products in the rabbit blastocyst under maternal diabetes. Reprod. Camb. Engl. 2014, 148, 169–178. [Google Scholar] [CrossRef] [PubMed]
- Fan, X.; Reneker, L.W.; Obrenovich, M.E.; Strauch, C.; Cheng, R.; Jarvis, S.M.; Ortwerth, B.J.; Monnier, V.M. Vitamin C mediates chemical aging of lens crystallins by the Maillard reaction in a humanized mouse model. Proc. Natl. Acad. Sci. USA 2006, 103, 16912–16917. [Google Scholar] [CrossRef] [PubMed]
- Zhang, G.; Huang, G.; Xiao, L.; Mitchell, A.E. Determination of advanced glycation endproducts by LC-MS/MS in raw and roasted almonds (Prunus dulcis). J. Agric. Food Chem. 2011, 59, 12037–12046. [Google Scholar] [CrossRef] [PubMed]
- Nomi, Y.; Annaka, H.; Sato, S.; Ueta, E.; Ohkura, T.; Yamamoto, K.; Homma, S.; Suzuki, E.; Otsuka, Y. Simultaneous quantitation of advanced glycation end products in soy sauce and beer by liquid chromatography-tandem mass spectrometry without ion-pair reagents and derivatization. J. Agric. Food Chem. 2016, 64, 8397–8405. [Google Scholar] [CrossRef] [PubMed]
- Ahmed, N.; Babaei-Jadidi, R.; Howell, S.K.; Beisswenger, P.J.; Thornalley, P.J. Degradation products of proteins damaged by glycation, oxidation and nitration in clinical type 1 diabetes. Diabetologia 2005, 48, 1590–1603. [Google Scholar] [CrossRef] [PubMed]
- Ahmed, N.; Thornalley, P.J.; Dawczynski, J.; Franke, S.; Strobel, J.; Stein, G.; Haik, G.M. Methylglyoxal-derived hydroimidazolone advanced glycation end-products of human lens proteins. Investig. Ophthalmol. Vis. Sci. 2003, 44, 5287–5292. [Google Scholar] [CrossRef]
- Anwar, A.; Marini, M.; Abruzzo, P.M.; Bolotta, A.; Ghezzo, A.; Visconti, P.; Thornalley, P.J.; Rabbani, N. Quantitation of plasma thiamine, related metabolites and plasma protein oxidative damage markers in children with autism spectrum disorder and healthy controls. Free Radic. Res. 2016, 50, S85–S90. [Google Scholar] [CrossRef] [PubMed]
- Ahmed, U.; Anwar, A.; Savage, R.S.; Thornalley, P.J.; Rabbani, N. Protein oxidation, nitration and glycation biomarkers for early-stage diagnosis of osteoarthritis of the knee and typing and progression of arthritic disease. Arthritis Res. Ther. 2016, 18, 250. [Google Scholar] [CrossRef] [PubMed]
- Ahmed, U.; Anwar, A.; Savage, R.S.; Costa, M.L.; Mackay, N.; Filer, A.; Raza, K.; Watts, R.A.; Winyard, P.G.; Tarr, J.; et al. Biomarkers of early stage osteoarthritis, rheumatoid arthritis and musculoskeletal health. Sci. Rep. 2015, 5, 9259. [Google Scholar] [CrossRef] [PubMed]
- Rabbani, N.; Shaheen, F.; Anwar, A.; Masania, J.; Thornalley, P.J. Assay of methylglyoxal-derived protein and nucleotide AGEs. Biochem. Soc. Trans. 2014, 42, 511–517. [Google Scholar] [CrossRef] [PubMed]
- Agalou, S.; Ahmed, N.; Babaei-Jadidi, R.; Dawnay, A.; Thornalley, P.J. Profound mishandling of protein glycation degradation products in uremia and dialysis. J. Am. Soc. Nephrol. 2005, 16, 1471–1485. [Google Scholar] [CrossRef] [PubMed]
- Ahmed, N.; Ahmed, U.; Thornalley, P.J.; Hager, K.; Fleischer, G.; Münch, G. Protein glycation, oxidation and nitration adduct residues and free adducts of cerebrospinal fluid in Alzheimer’s disease and link to cognitive impairment. J. Neurochem. 2005, 92, 255–263. [Google Scholar] [CrossRef] [PubMed]
- Stratmann, B.; Engelbrecht, B.; Espelage, B.C.; Klusmeier, N.; Tiemann, J.; Gawlowski, T.; Mattern, Y.; Eisenacher, M.; Meyer, H.E.; Rabbani, N.; et al. Glyoxalase 1-knockdown in human aortic endothelial cells-effect on the proteome and endothelial function estimates. Sci. Rep. 2016, 6, 37737. [Google Scholar] [CrossRef] [PubMed]
- Rabbani, N.; Thornalley, P.J. Measurement of methylglyoxal by stable isotopic dilution analysis LC-MS/MS with corroborative prediction in physiological samples. Nat. Protoc. 2014, 9, 1969–1979. [Google Scholar] [CrossRef] [PubMed]
- Rabbani, N.; Thornalley, P.J. Dicarbonyl proteome and genome damage in metabolic and vascular disease. Biochem. Soc. Trans. 2014, 42, 425–432. [Google Scholar] [CrossRef] [PubMed]
- Deyl, Z.; Miksík, I. Post-translational non-enzymatic modification of proteins. I. Chromatography of marker adducts with special emphasis to glycation reactions. J. Chromatogr. B Biomed. Sci. Appl. 1997, 699, 287–309. [Google Scholar] [CrossRef]
- Beisswenger, P.J.; Howell, S.K.; Russell, G.; Miller, M.E.; Rich, S.S.; Mauer, M. Detection of diabetic nephropathy from advanced glycation end products (AGEs) differs in plasma and urine, and is dependent on the method of preparation. Amino Acids 2014, 46, 311–319. [Google Scholar] [CrossRef] [PubMed]
- Duran-Jimenez, B.; Dobler, D.; Moffatt, S.; Rabbani, N.; Streuli, C.H.; Thornalley, P.J.; Tomlinson, D.R.; Gardiner, N.J. Advanced glycation end products in extracellular matrix proteins contribute to the failure of sensory nerve regeneration in diabetes. Diabetes 2009, 58, 2893–2903. [Google Scholar] [CrossRef] [PubMed]
- Ahmed, N.; Thornalley, P.J. Quantitative screening of protein biomarkers of early glycation, advanced glycation, oxidation and nitrosation in cellular and extracellular proteins by tandem mass spectrometry multiple reaction monitoring. Biochem. Soc. Trans. 2003, 31, 1417–1422. [Google Scholar] [CrossRef] [PubMed]
- Schwarzenbolz, U.; Mende, S.; Henle, T. Model studies on protein glycation: Influence of cysteine on the reactivity of arginine and lysine residues toward glyoxal. Ann. N. Y. Acad. Sci. 2008, 1126, 248–252. [Google Scholar] [CrossRef] [PubMed]
- Chernushevich, I.V.; Loboda, A.V.; Thomson, B.A. An introduction to quadrupole-time-of-flight mass spectrometry. J. Mass Spectrom. 2001, 36, 849–865. [Google Scholar] [CrossRef] [PubMed]
- Zubarev, R.A.; Makarov, A. Orbitrap mass spectrometry. Anal. Chem. 2013, 85, 5288–5296. [Google Scholar] [CrossRef] [PubMed]
- Kind, T.; Fiehn, O. Advances in structure elucidation of small molecules using mass spectrometry. Bioanal. Rev. 2010, 2, 23–60. [Google Scholar] [CrossRef] [PubMed]
- Fedorova, M.; Frolov, A.; Hoffmann, R. Fragmentation behavior of Amadori-peptides obtained by non-enzymatic glycosylation of lysine residues with ADP-ribose in tandem mass spectrometry. J. Mass Spectrom. JMS 2010, 45, 664–669. [Google Scholar] [CrossRef] [PubMed]
- Spiller, S.; Frolov, A.; Hoffmann, R. Quantification of specific glycation sites in human serum albumin as prospective type 2 diabetes mellitus biomarkers. Protein Pept. Lett. 2017. [Google Scholar] [CrossRef] [PubMed]
- Lu, W.; Bennett, B.D.; Rabinowitz, J.D. Analytical strategies for LC-MS-based targeted metabolomics. J. Chromatogr. B Anal. Technol. Biomed. Life Sci. 2008, 871, 236–242. [Google Scholar] [CrossRef] [PubMed]
- MacNair, J.E.; Lewis, K.C.; Jorgenson, J.W. Ultrahigh-pressure reversed-phase liquid chromatography in packed capillary columns. Anal. Chem. 1997, 69, 983–989. [Google Scholar] [CrossRef] [PubMed]
- Chawla, G.; Ranjan, C. Principle, instrumentation, and applications of UPLC: A novel technique of liquid chromatography. Open Chem. J. 2016. [Google Scholar] [CrossRef]
- Mittasch, J.; Böttcher, C.; Frolov, A.; Strack, D.; Milkowski, C. Reprogramming the phenylpropanoid metabolism in seeds of oilseed rape by suppressing the orthologs of reduced epidermal fluorescence1. Plant Physiol. 2013, 161, 1656–1669. [Google Scholar] [CrossRef] [PubMed]
- Soboleva, A.; Modzel, M.; Didio, A.; Płóciennik, H.; Kijewska, M.; Grischina, T.; Karonova, T.; Bilova, T.; Stefanov, V.; Stefanowicz, P.; et al. Quantification of prospective type 2 diabetes mellitus biomarkers by stable isotope dilution with bi-labeled standard glycated peptides. Anal. Methods 2017, 9, 409–418. [Google Scholar] [CrossRef]
- Taylor, P.J. Matrix effects: The Achilles heel of quantitative high-performance liquid chromatography-electrospray-tandem mass spectrometry. Clin. Biochem. 2005, 38, 328–334. [Google Scholar] [CrossRef] [PubMed]
- Ahmed, N.; Mirshekar-Syahkal, B.; Kennish, L.; Karachalias, N.; Babaei-Jadidi, R.; Thornalley, P.J. Assay of advanced glycation endproducts in selected beverages and food by liquid chromatography with tandem mass spectrometric detection. Mol. Nutr. Food Res. 2005, 49, 691–699. [Google Scholar] [CrossRef] [PubMed]
- Teerlink, T.; Barto, R.; Ten Brink, H.J.; Schalkwijk, C.G. Measurement of Nε-(carboxymethyl)lysine and Nε-(carboxyethyl)lysine in human plasma protein by stable-isotope-dilution tandem mass spectrometry. Clin. Chem. 2004, 50, 1222–1228. [Google Scholar] [CrossRef] [PubMed]
- Dobler, D.; Ahmed, N.; Song, L.; Eboigbodin, K.E.; Thornalley, P.J. Increased dicarbonyl metabolism in endothelial cells in hyperglycemia induces anoikis and impairs angiogenesis by RGD and GFOGER motif modification. Diabetes 2006, 55, 1961–1969. [Google Scholar] [CrossRef] [PubMed]
- Clelland, J.D.; Thornalley, P.J. Synthesis of 14C-labelled methylglyoxal and S-d-lactoylglutathione. J. Label. Compd. Radiopharm. 1990, 28, 1455–1464. [Google Scholar] [CrossRef]
- Ahmed, N. Advanced glycation endproducts—Role in pathology of diabetic complications. Diabetes Res. Clin. Pract. 2005, 67, 3–21. [Google Scholar] [CrossRef] [PubMed]
- Nedić, O.; Rattan, S.I.S.; Grune, T.; Trougakos, I.P. Molecular effects of advanced glycation end products on cell signalling pathways, ageing and pathophysiology. Free Radic. Res. 2013, 47 (Suppl. S1), 28–38. [Google Scholar] [CrossRef] [PubMed]
- Kouidrat, Y.; Amad, A.; Arai, M.; Miyashita, M.; Lalau, J.-D.; Loas, G.; Itokawa, M. Advanced glycation end products and schizophrenia: A systematic review. J. Psychiatr. Res. 2015, 66–67, 112–117. [Google Scholar] [CrossRef] [PubMed]
- Baynes, J.W.; Thorpe, S.R. Role of oxidative stress in diabetic complications: A new perspective on an old paradigm. Diabetes 1999, 48, 1–9. [Google Scholar] [CrossRef] [PubMed]
- Goh, S.-Y.; Cooper, M.E. Clinical review: The role of advanced glycation end products in progression and complications of diabetes. J. Clin. Endocrinol. Metab. 2008, 93, 1143–1152. [Google Scholar] [CrossRef] [PubMed]
- Ko, S.-Y.; Ko, H.-A.; Chu, K.-H.; Shieh, T.-M.; Chi, T.-C.; Chen, H.-I.; Chang, W.-C.; Chang, S.-S. The possible mechanism of advanced glycation end products (AGEs) for Alzheimer’s disease. PLoS ONE 2015, 10, e0143345. [Google Scholar] [CrossRef] [PubMed]
- Li, J.; Liu, D.; Sun, L.; Lu, Y.; Zhang, Z. Advanced glycation end products and neurodegenerative diseases: Mechanisms and perspective. J. Neurol. Sci. 2012, 317, 1–5. [Google Scholar] [CrossRef] [PubMed]
- Vicente Miranda, H.; Outeiro, T.F. The sour side of neurodegenerative disorders: The effects of protein glycation. J. Pathol. 2010, 221, 13–25. [Google Scholar] [CrossRef] [PubMed]
- Ashraf, J.M.; Ahmad, S.; Choi, I.; Ahmad, N.; Farhan, M.; Tatyana, G.; Shahab, U. Recent advances in detection of AGEs: Immunochemical, bioanalytical and biochemical approaches. IUBMB Life 2015, 67, 897–913. [Google Scholar] [CrossRef] [PubMed]
- Kase, S.; Ishida, S.; Rao, N.A. Immunolocalization of advanced glycation end products in human diabetic eyes: An immunohistochemical study. J. Diabetes Mellit. 2011, 1, 57. [Google Scholar] [CrossRef]
- De Vos, L.C.; Lefrandt, J.D.; Dullaart, R.P.F.; Zeebregts, C.J.; Smit, A.J. Advanced glycation end products: An emerging biomarker for adverse outcome in patients with peripheral artery disease. Atherosclerosis 2016, 254, 291–299. [Google Scholar] [CrossRef] [PubMed]
- Yi, X.; Nickeleit, V.; James, L.R.; Maeda, N. α-Lipoic acid protects diabetic apolipoprotein E-deficient mice from nephropathy. J. Diabetes Complicat. 2011, 25, 193–201. [Google Scholar] [CrossRef] [PubMed]
- Bao, W.; Min, D.; Twigg, S.M.; Shackel, N.A.; Warner, F.J.; Yue, D.K.; McLennan, S.V. Monocyte CD147 is induced by advanced glycation end products and high glucose concentration: Possible role in diabetic complications. Am. J. Physiol. Cell Physiol. 2010, 299, C1212–C1219. [Google Scholar] [CrossRef] [PubMed]
- Zuwała-Jagiełło, J.; Pazgan-Simon, M.; Simon, K.; Warwas, M. Advanced oxidation protein products and inflammatory markers in liver cirrhosis: A comparison between alcohol-related and HCV-related cirrhosis. Acta Biochim. Pol. 2011, 58, 59–65. [Google Scholar] [PubMed]
- Škrha, J.; Šoupal, J.; Prázný, M.; Škrha, J. Glycation of lens proteins in diabetes and its non-invasive assessment-first experience in the Czech Republic. Vnitr. Lek. 2015, 61, 346–350. [Google Scholar] [PubMed]
- Januszewski, A.S.; Sachithanandan, N.; Karschimkus, C.; O’Neal, D.N.; Yeung, C.K.; Alkatib, N.; Jenkins, A.J. Non-invasive measures of tissue autofluorescence are increased in Type 1 diabetes complications and correlate with a non-invasive measure of vascular dysfunction. Diabet. Med. J. Br. Diabet. Assoc. 2012, 29, 726–733. [Google Scholar] [CrossRef] [PubMed]
- Cicchi, R.; Kapsokalyvas, D.; De Giorgi, V.; Maio, V.; Van Wiechen, A.; Massi, D.; Lotti, T.; Pavone, F.S. Scoring of collagen organization in healthy and diseased human dermis by multiphoton microscopy. J. Biophotonics 2010, 3, 34–43. [Google Scholar] [CrossRef] [PubMed]
- Scheijen, J.L.; van de Waarenburg, M.P.; Stehouwer, C.D.; Schalkwijk, C.G. Measurement of pentosidine in human plasma protein by a single-column high-performance liquid chromatography method with fluorescence detection. J. Chromatogr. B 2009, 877, 610–614. [Google Scholar] [CrossRef] [PubMed]
- Scheijen, J.L.; Schalkwijk, C.G. Quantification of glyoxal, methylglyoxal and 3-deoxyglucosone in blood and plasma by ultra performance liquid chromatography tandem mass spectrometry: Evaluation of blood specimen. Clin. Chem. Lab. Med. 2014, 52, 85–91. [Google Scholar] [CrossRef] [PubMed]
- Arai, M.; Yuzawa, H.; Nohara, I.; Ohnishi, T.; Obata, N.; Iwayama, Y.; Haga, S.; Toyota, T.; Ujike, H.; Arai, M.; et al. Enhanced carbonyl stress in a subpopulation of schizophrenia. Arch. Gen. Psychiatry 2010, 67, 589–597. [Google Scholar] [CrossRef] [PubMed]
- Pamplona, R.; Naudí, A.; Gavín, R.; Pastrana, M.A.; Sajnani, G.; Ilieva, E.V.; Del Río, J.A.; Portero-Otín, M.; Ferrer, I.; Requena, J.R. Increased oxidation, glycoxidation, and lipoxidation of brain proteins in prion disease. Free Radic. Biol. Med. 2008, 45, 1159–1166. [Google Scholar] [CrossRef] [PubMed]
- Jaisson, S.; Souchon, P.-F.; Desmons, A.; Salmon, A.-S.; Delemer, B.; Gillery, P. Early formation of serum advanced glycation end-products in children with type 1 diabetes mellitus: Relationship with glycemic control. J. Pediatr. 2016, 172, 56–62. [Google Scholar] [CrossRef] [PubMed]
- Miyashita, M.; Arai, M.; Kobori, A.; Ichikawa, T.; Toriumi, K.; Niizato, K.; Oshima, K.; Okazaki, Y.; Yoshikawa, T.; Amano, N.; et al. Clinical features of schizophrenia with enhanced carbonyl stress. Schizophr. Bull. 2014, 40, 1040–1046. [Google Scholar] [CrossRef] [PubMed]
- Hanssen, N.M.J.; Stehouwer, C.D.A.; Schalkwijk, C.G. Methylglyoxal and glyoxalase I in atherosclerosis. Biochem. Soc. Trans. 2014, 42, 443–449. [Google Scholar] [CrossRef] [PubMed]
- Kellow, N.J.; Coughlan, M.T. Effect of diet-derived advanced glycation end products on inflammation. Nutr. Rev. 2015, 73, 737–759. [Google Scholar] [CrossRef] [PubMed]
- Poulsen, M.W.; Hedegaard, R.V.; Andersen, J.M.; de Courten, B.; Bügel, S.; Nielsen, J.; Skibsted, L.H.; Dragsted, L.O. Advanced glycation endproducts in food and their effects on health. Food Chem. Toxicol. 2013, 60, 10–37. [Google Scholar] [CrossRef] [PubMed]
- Cai, W.; Gao, Q.-D.; Zhu, L.; Peppa, M.; He, C.; Vlassara, H. Oxidative stress-inducing carbonyl compounds from common foods: Novel mediators of cellular dysfunction. Mol. Med. 2002, 8, 337–346. [Google Scholar] [PubMed]
- Scheijen, J.L.; Clevers, E.; Engelen, L.; Dagnelie, P.C.; Brouns, F.; Stehouwer, C.D.; Schalkwijk, C.G. Analysis of advanced glycation endproducts in selected food items by ultra-performance liquid chromatography tandem mass spectrometry: Presentation of a dietary AGE database. Food Chem. 2016, 190, 1145–1150. [Google Scholar] [CrossRef] [PubMed]
- Vlassara, H.; Cai, W.; Goodman, S.; Pyzik, R.; Yong, A.; Chen, X.; Zhu, L.; Neade, T.; Beeri, M.; Silverman, J.M.; et al. Protection against loss of innate defenses in adulthood by low advanced glycation end products (AGE) intake: Role of the antiinflammatory AGE receptor-1. J. Clin. Endocrinol. Metab. 2009, 94, 4483–4491. [Google Scholar] [CrossRef] [PubMed]
- Chao, P.; Huang, C.; Hsu, C.; Yin, M.; Guo, Y. Association of dietary AGEs with circulating AGEs, glycated LDL, IL-1α and MCP-1 levels in type 2 diabetic patients. Eur. J. Nutr. 2010, 49, 429–434. [Google Scholar] [CrossRef] [PubMed]
- Hewedy, M.M.; Kiesner, C.; Meissner, K.; Hartkopf, J.; Erbersdobler, H.F. Effects of UHT heating of milk in an experimental plant on several indicators of heat treatment. J. Dairy Res. 1994, 61, 305–309. [Google Scholar] [CrossRef]
- Uribarri, J.; Woodruff, S.; Goodman, S.; Cai, W.; Chen, X.; Pyzik, R.; Yong, A.; Striker, G.E.; Vlassara, H. Advanced glycation end products in foods and a practical guide to their reduction in the diet. J. Am. Diet. Assoc. 2010, 110, 911–916. [Google Scholar] [CrossRef] [PubMed]
- Goldberg, T.; Cai, W.; Peppa, M.; Dardaine, V.; Baliga, B.S.; Uribarri, J.; Vlassara, H. Advanced glycoxidation end products in commonly consumed foods. J. Am. Diet. Assoc. 2004, 104, 1287–1291. [Google Scholar] [CrossRef] [PubMed]
- Zhang, Q.; Ames, J.M.; Smith, R.D.; Baynes, J.W.; Metz, T.O. A perspective on the Maillard reaction and the analysis of protein glycation by mass spectrometry: Probing the pathogenesis of chronic disease. J. Proteome Res. 2009, 8, 754–769. [Google Scholar] [CrossRef] [PubMed]
- Arena, S.; Renzone, G.; D’Ambrosio, C.; Salzano, A.M.; Scaloni, A. Dairy products and the Maillard reaction: A promising future for extensive food characterization by integrated proteomics studies. Food Chem. 2017, 219, 477–489. [Google Scholar] [CrossRef] [PubMed]
- Rufián-Henares, J.Á.; Guerra-Hernández, E.; García-Villanova, B. Pyrraline content in enteral formula processing and storage and model systems. Eur. Food Res. Technol. 2004, 219, 42–47. [Google Scholar] [CrossRef]
- Henle, T.; Schwarzenbolz, U.; Klostermeyer, H. Detection and quantification of pentosidine in foods. Z. Leb. -Forsch. A 1997, 204, 95–98. [Google Scholar] [CrossRef]
- Baxter, J.H.; Lai, C.-S.; Phillips, R.R.; Dowlati, L.; Chio, J.J.; Luebbers, S.T.; Dimler, S.R.; Johns, P.W. Direct determination of methionine sulfoxide in milk proteins by enzyme hydrolysis/high-performance liquid chromatography. J. Chromatogr. A 2007, 1157, 10–16. [Google Scholar] [CrossRef] [PubMed]
- Assar, S.H.; Moloney, C.; Lima, M.; Magee, R.; Ames, J.M. Determination of Nɛ-(carboxymethyl)lysine in food systems by ultra performance liquid chromatography-mass spectrometry. Amino Acids 2009, 36, 317–326. [Google Scholar] [CrossRef] [PubMed]
- Beisswenger, P.J.; Howell, S.K.; Russell, G.B.; Miller, M.E.; Rich, S.S.; Mauer, M. Early progression of diabetic nephropathy correlates with methylglyoxal-derived advanced glycation end products. Diabetes Care 2013, 36, 3234–3239. [Google Scholar] [CrossRef] [PubMed]
- Drusch, S.; Faist, V.; Erbersdobler, H.F. Determination of Nϵ-carboxymethyllysine in milk products by a modified reversed-phase HPLC method. Food Chem. 1999, 65, 547–553. [Google Scholar] [CrossRef]
- Borrelli, R.C.; Visconti, A.; Mennella, C.; Anese, M.; Fogliano, V. Chemical characterization and antioxidant properties of coffee melanoidins. J. Agric. Food Chem. 2002, 50, 6527–6533. [Google Scholar] [CrossRef] [PubMed]
- Hull, G.L.; Woodside, J.V.; Ames, J.M.; Cuskelly, G.J. Nε-(carboxymethyl) lysine content of foods commonly consumed in a Western style diet. Food Chem. 2012, 131, 170–174. [Google Scholar] [CrossRef]
- Wetzels, S.; Wouters, K.; Schalkwijk, C.G.; Vanmierlo, T.; Hendriks, J.J.A. Methylglyoxal-derived advanced glycation endproducts in multiple sclerosis. Int. J. Mol. Sci. 2017, 18, 421. [Google Scholar] [CrossRef] [PubMed]
- Reddy, S.; Bichler, J.; Wells-Knecht, K.J.; Thorpe, S.R.; Baynes, J.W. N epsilon-(carboxymethyl)lysine is a dominant advanced glycation end product (AGE) antigen in tissue proteins. Biochemistry 1995, 34, 10872–10878. [Google Scholar] [CrossRef] [PubMed]
- Sternberg, Z.; Ostrow, P.; Vaughan, M.; Chichelli, T.; Munschauer, F. AGE-RAGE in multiple sclerosis brain. Immunol. Investig. 2011, 40, 197–205. [Google Scholar] [CrossRef] [PubMed]
- Maessen, D.E.M.; Stehouwer, C.D.A.; Schalkwijk, C.G. The role of methylglyoxal and the glyoxalase system in diabetes and other age-related diseases. Clin. Sci. 2015, 128, 839–861. [Google Scholar] [CrossRef] [PubMed]
- Rabbani, N.; Xue, M.; Thornalley, P.J. Activity, regulation, copy number and function in the glyoxalase system. Biochem. Soc. Trans. 2014, 42, 419–424. [Google Scholar] [CrossRef] [PubMed]
- Thornalley, P.J. Glyoxalase I—Structure, function and a critical role in the enzymatic defence against glycation. Biochem. Soc. Trans. 2003, 31, 1343–1348. [Google Scholar] [CrossRef] [PubMed]
- Xue, M.; Rabbani, N.; Thornalley, P.J. Glyoxalase in ageing. Semin. Cell Dev. Biol. 2011, 22, 293–301. [Google Scholar] [CrossRef] [PubMed]
- Rabbani, N.; Thornalley, P.J. Glyoxalase in diabetes, obesity and related disorders. Semin. Cell Dev. Biol. 2011, 22, 309–317. [Google Scholar] [CrossRef] [PubMed]
- Jack, M.; Wright, D. Role of advanced glycation endproducts and glyoxalase I in diabetic peripheral sensory neuropathy. Transl. Res. J. Lab. Clin. Med. 2012, 159, 355–365. [Google Scholar] [CrossRef] [PubMed]
- Rabbani, N.; Thornalley, P.J. Glyoxalase Centennial conference: Introduction, history of research on the glyoxalase system and future prospects. Biochem. Soc. Trans. 2014, 42, 413–418. [Google Scholar] [CrossRef] [PubMed]
- Sakamoto, H.; Mashima, T.; Sato, S.; Hashimoto, Y.; Yamori, T.; Tsuruo, T. Selective activation of apoptosis program by S-p-bromobenzylglutathione cyclopentyl diester in glyoxalase I-overexpressing human lung cancer cells. Clin. Cancer Res. 2001, 7, 2513–2518. [Google Scholar] [PubMed]
- Santarius, T.; Bignell, G.R.; Greenman, C.D.; Widaa, S.; Chen, L.; Mahoney, C.L.; Butler, A.; Edkins, S.; Waris, S.; Thornalley, P.J.; et al. GLO1-A novel amplified gene in human cancer. Genes Chromosom. Cancer 2010, 49, 711–725. [Google Scholar] [CrossRef] [PubMed]
- Kurz, A.; Rabbani, N.; Walter, M.; Bonin, M.; Thornalley, P.; Auburger, G.; Gispert, S. α-synuclein deficiency leads to increased glyoxalase I expression and glycation stress. Cell. Mol. Life Sci. 2011, 68, 721–733. [Google Scholar] [CrossRef] [PubMed]
- Chen, F.; Wollmer, M.A.; Hoerndli, F.; Münch, G.; Kuhla, B.; Rogaev, E.I.; Tsolaki, M.; Papassotiropoulos, A.; Götz, J. Role for glyoxalase I in Alzheimer’s disease. Proc. Natl. Acad. Sci. USA 2004, 101, 7687–7692. [Google Scholar] [CrossRef] [PubMed]
- Rabbani, N.; Godfrey, L.; Xue, M.; Shaheen, F.; Geoffrion, M.; Milne, R.; Thornalley, P.J. Glycation of LDL by methylglyoxal increases arterial atherogenicity: A possible contributor to increased risk of cardiovascular disease in diabetes. Diabetes 2011, 60, 1973–1980. [Google Scholar] [CrossRef] [PubMed]
- Jakas, A.; Horvat, S. Study of degradation pathways of Amadori compounds obtained by glycation of opioid pentapeptide and related smaller fragments: Stability, reactions, and spectroscopic properties. Biopolymers 2003, 69, 421–431. [Google Scholar] [CrossRef] [PubMed]
- Milic, I.; Hoffmann, R.; Fedorova, M. Simultaneous detection of low and high molecular weight carbonylated compounds derived from lipid peroxidation by electrospray ionization-tandem mass spectrometry. Anal. Chem. 2013, 85, 156–162. [Google Scholar] [CrossRef] [PubMed]
- Treutler, H.; Tsugawa, H.; Porzel, A.; Gorzolka, K.; Tissier, A.; Neumann, S.; Balcke, G.U. Discovering regulated metabolite families in untargeted metabolomics studies. Anal. Chem. 2016, 88, 8082–8090. [Google Scholar] [CrossRef] [PubMed]
- Greifenhagen, U.; Frolov, A.; Blüher, M.; Hoffmann, R. Site-specific analysis of advanced glycation end products in plasma proteins of type 2 diabetes mellitus patients. Anal. Bioanal. Chem. 2016, 408, 5557–5566. [Google Scholar] [CrossRef] [PubMed]
- Greifenhagen, U.; Frolov, A.; Blüher, M.; Hoffmann, R. Plasma proteins modified by advanced glycation end products (AGEs) reveal site-specific susceptibilities to glycemic control in patients with type 2 diabetes. J. Biol. Chem. 2016, 291, 9610–9616. [Google Scholar] [CrossRef] [PubMed]
- Frolov, A.; Blüher, M.; Hoffmann, R. Glycation sites of human plasma proteins are affected to different extents by hyperglycemic conditions in type 2 diabetes mellitus. Anal. Bioanal. Chem. 2014, 406, 5755–5763. [Google Scholar] [CrossRef] [PubMed]
- Krajcovicová-Kudlácková, M.; Sebeková, K.; Schinzel, R.; Klvanová, J. Advanced glycation end products and nutrition. Physiol. Res. 2002, 51, 313–316. [Google Scholar] [PubMed]
- Bilova, T.; Paudel, G.; Shilyaev, N.; Schmidt, R.; Brauch, D.; Tarakhovskaya, E.; Milrud, S.; Smolikova, G.; Tissier, A.; Vogt, T.; et al. Global proteomic analysis of advanced glycation end products in the Arabidopsis proteome provides evidence for age-related glycation Hotspots. J. Biol. Chem. 2017, 292, 15758–15776. [Google Scholar] [CrossRef] [PubMed]
- Paudel, G.; Bilova, T.; Schmidt, R.; Greifenhagen, U.; Berger, R.; Tarakhovskaya, E.; Stöckhardt, S.; Balcke, G.U.; Humbeck, K.; Brandt, W.; et al. Osmotic stress is accompanied by protein glycation in Arabidopsis thaliana. J. Exp. Bot. 2016, 67, 6283–6295. [Google Scholar] [CrossRef] [PubMed]
- Isaacson, T.; Damasceno, C.M.B.; Saravanan, R.S.; He, Y.; Catalá, C.; Saladié, M.; Rose, J.K.C. Sample extraction techniques for enhanced proteomic analysis of plant tissues. Nat. Protoc. 2006, 1, 769–774. [Google Scholar] [CrossRef] [PubMed]
- Frolov, A.; Bilova, T.; Paudel, G.; Berger, R.; Balcke, G.U.; Birkemeyer, C.; Wessjohann, L.A. Early responses of mature Arabidopsis thaliana plants to reduced water potential in the agar-based polyethylene glycol infusion drought model. J. Plant Physiol. 2017, 208, 70–83. [Google Scholar] [CrossRef] [PubMed]
© 2017 by the authors. Licensee MDPI, Basel, Switzerland. This article is an open access article distributed under the terms and conditions of the Creative Commons Attribution (CC BY) license (http://creativecommons.org/licenses/by/4.0/).



