Cell-Free RNA Content in Peripheral Blood as Potential Biomarkers for Detecting Circulating Tumor Cells in Non-Small Cell Lung Carcinoma
Abstract
:1. Introduction
2. Results
2.1. Expression Level of CK7, ELF3, EGFR, and EphB4 mRNA in NSCLC Tissues
2.2. The mRNA Expression of Selected Markers in Paired PBMC Preparations
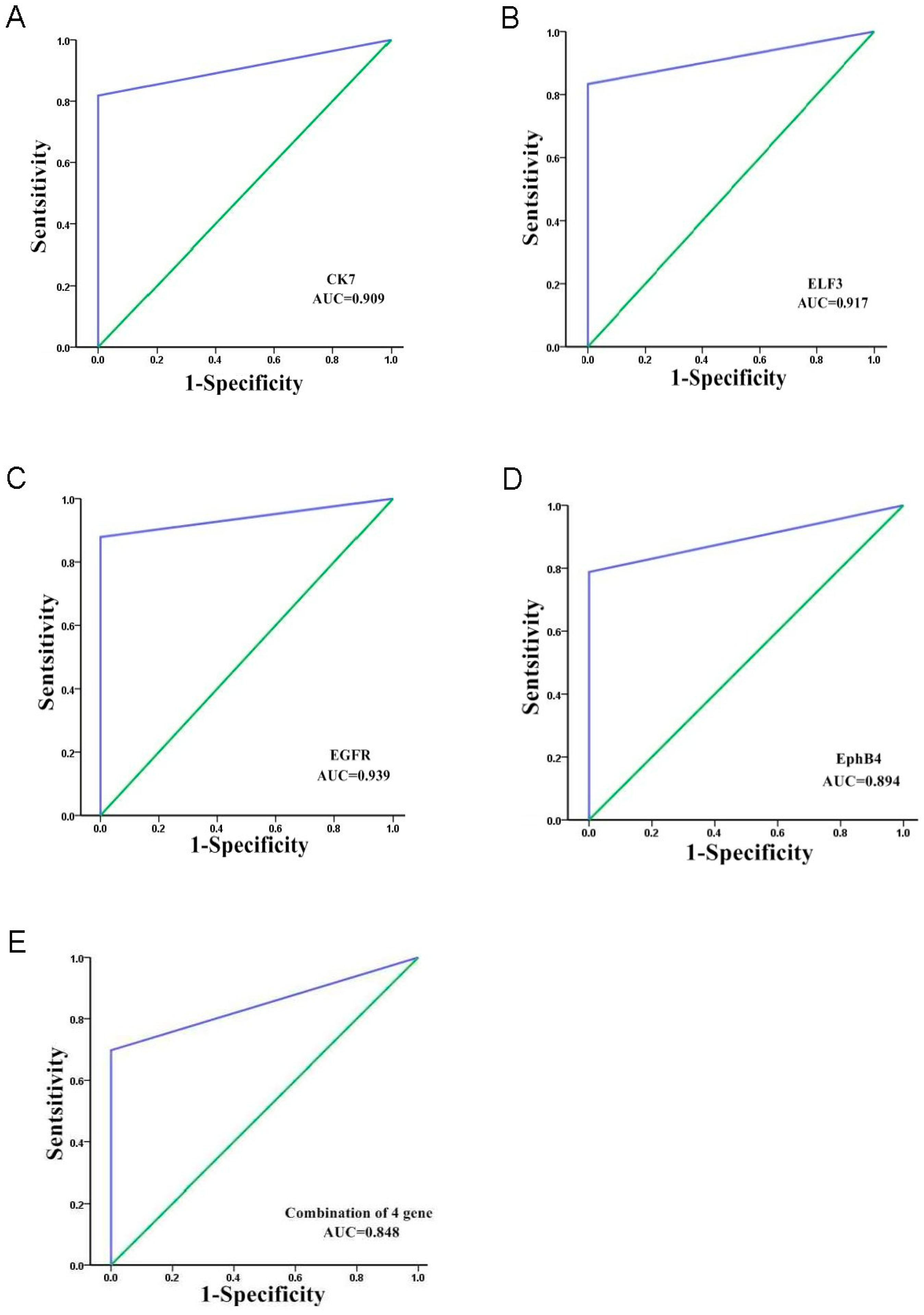
2.3. Receiver Operating Characteristics (ROC) Curve Analysis of the Four mRNAs as a Marker of CTCs
2.4. Cell-Free RNA Content in Peripheral Blood Is Closely Associated with the Prognosis of NSCLC Patients
3. Discussion
4. Material and Methods
4.1. Patients
4.2. Sample Collection and Processing
4.3. RNA Extraction and cDNA Synthesis
4.4. Real-Time RT-PCR
4.5. Statistical Analysis
5. Conclusions
Acknowledgments
Author Contributions
Conflicts of Interest
References
- Kalia, M. Biomarkers for personalized oncology: Recent advances and future challenges. Metabolism 2015, 64, S16–S21. [Google Scholar] [CrossRef] [PubMed]
- Okimoto, R.A.; Bivona, T.G. Recent advances in personalized lung cancer medicine. Per. Med. 2014, 11, 309–321. [Google Scholar] [CrossRef] [PubMed]
- Kathuria, H.; Gesthalter, Y.; Spira, A.; Brody, J.S.; Steiling, K. Updates and controversies in the rapidly evolving field of lung cancer screening, early detection, and chemoprevention. Cancers 2014, 6, 1157–1179. [Google Scholar] [CrossRef] [PubMed]
- Ilie, M.; Hofman, V.; Long, E.; Bordone, O.; Selva, E.; Washetine, K.; Marquette, C.H.; Hofman, P. Current challenges for detection of circulating tumor cells and cell-free circulating nucleic acids, and their characterization in non-small cell lung carcinoma patients. What is the best blood substrate for personalized medicine? Ann. Transl. Med. 2014, 2. [Google Scholar] [CrossRef]
- Diaz, L.A.; Bardelli, A. Liquid biopsies: Genotyping circulating tumor DNA. J. Clin. Oncol. 2014, 32, 579–586. [Google Scholar] [CrossRef] [PubMed]
- Joosse, S.A.; Gorges, T.M.; Pantel, K. Biology, detection, and clinical implications of circulating tumor cells. EMBO Mol. Med. 2014, 7, 1–11. [Google Scholar] [CrossRef] [PubMed]
- Han, Y.; Su, C.; Liu, Z. Methods for detection of circulating cells in non-small cell lung cancer. Front. Biosci. 2014, 19, 896–903. [Google Scholar] [CrossRef]
- Warkiani, M.E.; Khoo, B.L.; Tan, D.S.; Bhagat, A.A.; Lim, W.T.; Yap, Y.S.; Lee, S.C.; Soo, R.A.; Han, J.; Lim, C.T. An ultra-high-throughput spiral microfluidic biochip for the enrichment of circulating tumor cells. Analyst 2014, 139, 3245–3255. [Google Scholar] [CrossRef] [PubMed]
- De Albuquerque, A.; Kubisch, I.; Stölzel, U.; Ernst, D.; Boese-Landgraf, J.; Breier, G.; Stamminger, G.; Fersis, N.; Kaul, S. Prognostic and predictive value of circulating tumor cell analysis in colorectal cancer patients. J. Transl. Med. 2012, 10. [Google Scholar] [CrossRef] [PubMed]
- Li, Q.; Qi, H.; Zhou, H.X.; Deng, C.Y.; Zhu, H.; Li, J.F.; Wang, X.L.; Li, F.R. Detection of micrometastases in peripheral blood of non-small cell lung cancer with a refined immunomagnetic nanoparticle enrichment assay. Int. J. Nanomed. 2011, 6, 2175–2181. [Google Scholar] [CrossRef] [PubMed]
- Felton, T.; Harris, G.C.; Pinder, S.E.; Snead, D.R.; Carter, G.I.; Bell, J.A.; Haines, A.; Kollias, J.; Robertson, J.F.; Elston, C.W.; et al. Identification of carcinoma cells in peripheral blood samples of patients with advanced breast carcinoma using RT-PCR amplification of CK7 and MUC1. Breast 2004, 13, 35–41. [Google Scholar] [CrossRef]
- Raynor, M.; Stephenson, S.A.; Walsh, D.C.; Pittman, K.B.; Dobrovic, A. Optimisation of the RT-PCR detection of immunomagnetically enriched carcinoma cells. BMC Cancer 2002, 2. [Google Scholar] [CrossRef]
- Zhang, X.; Xie, J.; Yu, C.; Yan, L.; Yang, Z. mRNA expression of CK19, EGFR and LUNX in patients with lung cancer micrometastasis. Exp. Ther. Med. 2014, 7, 360–364. [Google Scholar] [PubMed]
- Tang, X.X.; Brodeur, G.M.; Campling, B.G.; Ikegaki, N. Coexpression of transcripts encoding EPHB receptor protein tyrosine kinases and their ephrin-B ligands in human small cell lung carcinoma. Clin. Cancer Res. 1999, 5, 455–460. [Google Scholar] [PubMed]
- Chiang, A.C.; Massagué, J. Molecular basis of metastasis. N. Engl. J. Med. 2008, 359, 2814–2823. [Google Scholar] [CrossRef] [PubMed]
- Wicha, M.S.; Hayes, D.F. Circulating tumor cells: Not all detected cells are bad and not all bad cells are detected. J. Clin. Oncol. 2011, 29, 1508–1511. [Google Scholar] [CrossRef] [PubMed]
- Man, Y.; Cao, J.; Jin, S.; Xu, G.; Pan, B.; Shang, L.; Che, D.; Yu, Q.; Yu, Y. Newly identified biomarkers for detecting circulating tumor cells in lung adenocarcinoma. Tohoku J. Exp. Med. 2014, 234, 29–40. [Google Scholar] [CrossRef] [PubMed]
- Winter, S.C.; Stephenson, S.A.; Subramaniam, S.K.; Paleri, V.; Ha, K.; Marnane, C.; Krishnan, S.; Rees, G. Long term survival following the detection of circulating tumor cells in head and neck squamous cell carcinoma. BMC Cancer 2009, 9. [Google Scholar] [CrossRef] [PubMed]
- Cheng, X.; Chen, H. Tumor heterogeneity and resistance to EGFR-targeted therapy in advanced nonsmall cell lung cancer: Challenges and perspectives. Onco Targets Ther. 2014, 7, 1689–1704. [Google Scholar] [CrossRef] [PubMed]
- Camilo, R.; Capelozzi, V.L.; Siqueira, S.A.C.; Bernardi, F.D.C. Expression of p63, keratin 5/6, keratin 7, and surfactant-A in non-small cell lung carcinomas. Hum. Pathol. 2006, 37, 542–546. [Google Scholar] [CrossRef] [PubMed]
- Ikeda, S.; Fujimori, M.; Shibata, S.; Okajima, M.; Ishizaki, Y.; Kurihara, T.; Miyata, Y.; Iseki, M.; Shimizu, Y.; Tokumoto, N.; et al. Combined immunohistochemistry of β-catenin, cytokeratin 7, and cytokeratin 20 is useful in discriminating primary lung adenocarcinomas from metastatic colorectal cancer. BMC Cancer 2006, 6. [Google Scholar] [CrossRef] [PubMed]
- Chhieng, D.C.; Cangiarella, J.F.; Zakowski, M.F.; Goswami, S.; Cohen, J.M.; Yee, H.T. Use of thyroid transcription factor 1, PE-10, and cytokeratins 7 and 20 in discriminating between primary lung carcinomas and metastatic lesions in fine-needle aspiration biopsy specimens. Cancer 2001, 93, 330–336. [Google Scholar] [CrossRef] [PubMed]
- Gruver, A.M.; Amin, M.B.; Luthringer, D.J.; Westfall, D.; Arora, K.; Farver, C.F.; Osunkoya, A.O.; McKenney, J.K.; Hansel, D.E. Selective immunohistochemical markers to distinguish between metastatic high-grade urothelial carcinoma and primary poorly differentiated invasive squamous cell carcinoma of the lung. Arch. Pathol. Lab. Med. 2012, 136, 1339–1346. [Google Scholar] [CrossRef] [PubMed]
- Thomas, R.S.; Ng, A.N.; Zhou, J.; Tymms, M.J.; Doppler, W.; Kola, I. The Elf group of Ets-related transcription factors. ELF3 and ELF5. Adv. Exp. Med. Biol. 2000, 480, 123–128. [Google Scholar] [PubMed]
- Tymms, M.J.; Ng, A.Y.; Thomas, R.S.; Schutte, B.C.; Zhou, J.; Eyre, H.J.; Sutherland, G.R.; Seth, A.; Rosenberg, M.; Papas, T.; et al. A novel epithelial-expressed ETS gene, ELF3: Human and murine cDNA sequences, murine genomic organization, human mapping to 1q32.2 and expression in tissues and cancer. Oncogene 1997, 15, 2449–2462. [Google Scholar] [CrossRef] [PubMed]
- Brembeck, F.H.; Opitz, O.G.; Libermann, T.A.; Rustgi, A.K. Dual function of the epithelial specific ets transcription factor, ELF3, in modulating differentiation. Oncogene 2000, 19, 1941–1949. [Google Scholar] [CrossRef] [PubMed]
- Nakarai, C.; Osawa, K.; Matsubara, N.; Ikeuchi, H.; Yamano, T.; Okamura, S.; Kamoshida, S.; Tsutou, A.; Takahashi, J.; Ejiri, K.; et al. Significance of ELF3 mRNA expression for detection of lymph node metastases of colorectal cancer. Anticancer Res. 2012, 32, 3753–3758. [Google Scholar] [PubMed]
- Erdogan, E.; Klee, E.W.; Thompson, E.A.; Fields, A.P. Meta-analysis of oncogenic protein kinase Ciota signaling in lung adenocarcinoma. Clin. Cancer Res. 2009, 15, 1527–1533. [Google Scholar] [CrossRef] [PubMed]
- Mok, T.S.; Wu, Y.L.; Thongprasert, S.; Yang, C.H.; Chu, D.T.; Saijo, N.; Sunpaweravong, P.; Han, B.; Margono, B.; Ichinose, Y.; et al. Gefitinib or carboplatin-paclitaxel in pulmonary adenocarcinoma. N. Engl. J. Med. 2009, 361, 947–957. [Google Scholar] [CrossRef] [PubMed]
- Liang, W.; Zhang, Y.; Kang, S.; Pan, H.; Shao, W.; Deng, Q.; Shi, X.; Wang, W.; He, J. Impact of EGFR mutation status on tumor response and progression free survival after first-line chemotherapy in patients with advanced non-small-cell lung cancer: A meta-analysis. J. Thorac. Dis. 2014, 6, 1239–1250. [Google Scholar] [PubMed]
- Gately, K.; Forde, L.; Cuffe, S.; Cummins, R.; Kay, E.W.; Feuerhake, F.; O’Byrne, K.J. High coexpression of both EGFR and IGF1R correlates with poor patient prognosis in resected non-small-cell lung cancer. Clin. Lung Cancer 2014, 15, 58–66. [Google Scholar] [CrossRef] [PubMed]
- Zheng, M.F.; Ji, Y.; Wu, X.B.; Ye, S.G.; Chen, J.Y. EphB4 gene polymorphism and protein expression in non-small-cell lung cancer. Mol. Med. Rep. 2012, 6, 405–408. [Google Scholar] [PubMed]
- Hasina, R.; Mollberg, N.; Kawada, I.; Mutreja, K.; Kanade, G.; Yala, S.; Surati, M.; Liu, R.; Li, X.; Zhou, Y.; et al. Critical role for the receptor tyrosine kinase EPHB4 in esophageal cancers. Cancer Res. 2013, 73, 184–194. [Google Scholar] [CrossRef] [PubMed]
- Li, M.; Zhao, J.; Qiao, J.; Song, C.; Zhao, Z. EphB4 regulates the growth and migration of pancreatic cancer cells. Tumour Biol. 2014, 35, 6855–6859. [Google Scholar] [CrossRef] [PubMed]
- Chen, T.; Liu, X.; Yi, S.; Zhang, J.; Ge, J.; Liu, Z. EphB4 is overexpressed in gliomas and promotes the growth of glioma cells. Tumor Biol. 2013, 34, 379–385. [Google Scholar] [CrossRef] [PubMed]
- Ferguson, B.D.; Liu, R.; Rolle, C.E.; Tan, Y.H.; Krasnoperov, V.; Kanteti, R.; Tretiakova, M.S.; Cervantes, G.M.; Hasina, R.; Hseu, R.D.; et al. The EphB4 receptor tyrosine kinase promotes lung cancer growth: A potential novel therapeutic target. PLoS ONE 2013, 8, e67668. [Google Scholar] [CrossRef] [PubMed]
- Edge, S.B.; Compton, C.C. The American Joint Committee on Cancer: The 7th edition of the AJCC cancer staging manual and the future of TNM. Ann. Surg. Oncol. 2010, 17, 1471–1474. [Google Scholar] [CrossRef] [PubMed]
- Hayes, D.C.; Secrist, H.; Bangur, C.S.; Wang, T.; Zhang, X.; Harlan, D.; Goodman, G.E.; Houghton, R.L.; Persing, D.H.; Zehentner, B.K. Multigene real-time PCR detection of circulating tumor cells in peripheral blood of lung cancer patients. Anticancer Res. 2006, 26, 1567–1575. [Google Scholar] [PubMed]
- Xi, L.; Nicastri, D.G.; El-Hefnawy, T.; Hughes, S.J.; Luketich, J.D.; Godfrey, T.E. Optimal markers for real-time quantitative reverse transcription PCR detection of circulating tumor cells from melanoma, breast, colon, esophageal, head and neck, and lung cancers. Clin. Chem. 2007, 53, 1206–1215. [Google Scholar] [CrossRef] [PubMed]
- Königsberg, R.; Gneist, M.; Jahn-Kuch, D.; Pfeiler, G.; Hager, G.; Hudec, M.; Dittrich, C.; Zeillinger, R. Circulating tumor cells in metastatic colorectal cancer: Efficacy and feasibility of different enrichment methods. Cancer Lett. 2010, 293, 117–123. [Google Scholar] [CrossRef] [PubMed]



| Clinicopathological Parameters | N | CK7 | ELF3 | EGFR | EphB4 | |||||
|---|---|---|---|---|---|---|---|---|---|---|
| Mean ± SD | p-Value | Mean ± SD | p-Value | Mean ± SD | p-Value | Mean ± SD | p-Value | |||
| Gender | Male | 79 | 36.73 ± 19.44 | 0.608 | 36.64 ± 19.60 | 0.330 | 35.23 ± 20.76 | 0.590 | 32.98 ± 19.65 | 0.571 |
| Female | 32 | 34.60 ± 29.66 | 32.59 ± 20.20 | 32.84 ± 21.87 | 30.64 ± 19.76 | |||||
| Age (year) | <60 | 46 | 36.54 ± 18.05 | 0.852 | 36.24 ± 18.25 | 0.728 | 36.58 ± 20.62 | 0.393 | 34.41 ± 19.20 | 0.345 |
| ≥60 | 65 | 35.82 ± 20.96 | 34.93 ± 20.89 | 33.10 ± 21.33 | 30.82 ± 19.92 | |||||
| Smoking history | No | 46 | 36.27 ± 21.05 | 0.947 | 34.45 ± 20.20 | 0.646 | 34.08 ± 20.61 | 0.847 | 32.84 ± 19.78 | 0.812 |
| Yes | 65 | 36.01 ± 18.90 | 36.21 ± 19.57 | 34.87 ± 21.45 | 31.93 ± 19.65 | |||||
| Lesion site | Left lobe | 50 | 34.45 ± 17.73 | 0.413 | 34.92 ± 19.38 | 0.790 | 33.65 ± 20.14 | 0.686 | 31.78 ± 18.85 | 0.797 |
| Right lobe | 61 | 37.49 ± 21.27 | 35.93 ± 20.22 | 35.28 ± 21.85 | 32.74 ± 20.37 | |||||
| Histopathological type | SCC | 46 | 34.46 ± 18.00 | 0.460 | 35.14 ± 19.34 | 0.879 | 32.67 ± 19.35 | 0.423 | 31.03 ± 19.23 | 0.567 |
| ADC | 65 | 37.29 ± 20.92 | 35.72 ± 20.21 | 35.86 ± 22.17 | 33.21 ± 19.99 | |||||
| Tumor size | ≤3 cm | 24 | 37.47 ± 22.02 | 0.727 | 35.88 ± 20.95 | 0.938 | 36.82 ± 24.34 | 0.615 | 30.90 ± 18.19 | 0.653 |
| >3 cm | 86 | 35.86 ± 19.25 | 35.52 ± 19.61 | 34.07 ± 20.18 | 32.94 ± 20.08 | |||||
| Differentiation | Well/Moderate | 86 | 34.84 ± 19.72 | 0.207 | 34.09 ± 19.47 | 0.173 | 33.23 ± 21.31 | 0.224 | 30.56 ± 19.60 | 0.082 |
| Poor | 25 | 40.51 ± 19.51 | 40.23 ± 20.42 | 39.05 ± 19.73 | 38.32 ± 18.81 | |||||
| T stage | T2 | 94 | 35.55 ± 19.70 | 0.476 | 34.63 ± 19.68 | 0.289 | 33.33 ± 20.89 | 0.153 | 30.78 ± 19.18 | 0.053 |
| T3 | 17 | 39.27 ± 20.16 | 40.18 ± 20.14 | 41.27 ± 21.08 | 40.77 ± 20.45 | |||||
| Lymph node status | N0 | 18 | 31.75 ± 13.75 | 0.188 | 30.02 ± 13.90 | 0.105 | 30.47 ± 15.85 | 0.275 | 28.47 ± 15.94 | 0.296 |
| N1–3 | 93 | 36.96 ± 20.64 | 36.53 ± 20.60 | 35.33 ± 21.86 | 33.05 ± 20.24 | |||||
| Distant metastasis | M0 | 109 | 36.20 ± 19.85 | 0.735 | 35.56 ± 19.87 | 0.748 | 34.64 ± 21.12 | 0.721 | 32.39 ± 19.67 | 0.745 |
| M1 | 2 | 31.40 ± 14.85 | 31.00 ± 16.69 | 29.25 ± 18.31 | 27.80 ± 22.49 | |||||
| Clinical stage | I/II | 56 | 28.13 ± 12.80 | 1.06 × 10−5 | 27.09 ± 13.95 | 3.23 × 10−6 | 25.14 ± 15.18 | 7.62 × 10−7 | 23.87 ± 14.95 | 2.05 × 10−6 |
| III/IV | 55 | 44.25 ± 22.18 | 44.01 ± 21.22 | 44.11 ± 21.91 | 40.90 ± 20.18 | |||||
| Clinicopathological Parameters | N | CK7 | ELF3 | EGFR | EphB4 | |||||
|---|---|---|---|---|---|---|---|---|---|---|
| Up-Regulated (%) | χ2 | Up-Regulated (%) | χ2 | Up-Regulated (%) | χ2 | Up-Regulated (%) | χ2 | |||
| p-Value | p-Value | p-Value | p-Value | |||||||
| Gender | Male | 79 | 40 (50.63) | 0.432 | 41 (51.89) | 0.605 | 41 (51.90) | 0.014 | 39 (49.37) | 0.699 |
| Female | 32 | 14 (43.75) | 0.511 | 14 (43.75) | 0.437 | 17 (55.13) | 0.907 | 13 (40.63) | 0.403 | |
| Age (year) | <60 | 46 | 17 (36.96) | 4.299 | 20 (43.47) | 1.158 | 22 (47.83) | 0.617 | 19 (41.30) | 0.969 |
| ≥60 | 65 | 37 (56.92) | 0.038 | 35 (53.84) | 0.282 | 36 (55.38) | 0.432 | 33 (50.77) | 0.325 | |
| Smoking history | No | 46 | 26 (56.52) | 1.949 | 26 (56.52) | 1.528 | 28 (60.87) | 2.338 | 24 (52.17) | 0.895 |
| Yes | 65 | 28 (43.08) | 0.163 | 29 (44.61) | 0.216 | 30 (46.15) | 0.126 | 28 (43.08) | 0.344 | |
| Lesion site | Left lobe | 50 | 25 (50.00) | 0.285 | 24 (48.00) | 0.000 | 26 (52.00) | 0.055 | 21 (42.00) | 0.437 |
| Right lobe | 61 | 28 (45.90) | 0.593 | 30 (49.18) | 0.983 | 31 (50.82) | 0.815 | 30 (49.18) | 0.509 | |
| Histopathological type | SCC | 46 | 19 (41.30) | 1.696 | 20 (43.47) | 1.158 | 22 (47.83) | 0.617 | 16 (34.78) | 4.592 |
| ADC | 65 | 35 (53.85) | 0.193 | 35 (53.84) | 0.282 | 36 (55.38) | 0.432 | 36 (55.38) | 0.032 | |
| Tumor size | ≤3 cm | 24 | 13 (54.17) | 0.316 | 14 (58.33) | 0.853 | 14 (58.33) | 0.387 | 15 (62.50) | 2.856 |
| >3 cm | 86 | 41 (47.67) | 0.574 | 41 (47.67) | 0.356 | 44 (51.16) | 0.534 | 37 (43.02) | 0.091 | |
| Differentiation | Well/Moderate | 86 | 43 (50.00) | 0.279 | 42 (48.83) | 0.078 | 44 (51.16) | 0.182 | 39 (45.35) | 0.344 |
| Poor | 25 | 11 (44.00) | 0.597 | 13 (52.00) | 0.781 | 14 (56.00) | 0.670 | 13 (52.00) | 0.557 | |
| T stage | T2 | 94 | 46 (48.94) | 0.020 | 46 (48.93) | 0.092 | 47 (50.00) | 1.248 | 43 (45.74) | 0.299 |
| T3 | 17 | 8 (47.06) | 0.887 | 9 (52.94) | 0.761 | 11 (64.71) | 0.264 | 9 (52.94) | 0.584 | |
| Lymph node metastasis | N0 | 18 | 5 (27.78) | 3.746 | 7 (38.88) | 0.977 | 5 (27.78) | 5.158 | 6 (33.33) | 1.576 |
| N1–3 | 93 | 48 (52.17) | 0.053 | 47 (51.08) | 0.323 | 52 (56.52) | 0.023 | 45 (48.95) | 0.209 | |
| Distant metastasis | M0 | 109 | 53 (48.62) | 0.000 | 54 (49.54) | 0.000 | 57 (52.29) | 0.004 | 51 (46.79) | 0.000 |
| M1 | 2 | 1 (50.00) | 1.000 | 1 (50.00) | 1.000 | 1 (50.00) | 0.949 | 1 (50.00) | 1.000 | |
| Clinical stage | I/II | 56 | 20 (35.71) | 7.569 | 20 (35.71) | 8.654 | 19 (33.93) | 15.210 | 19 (33.93) | 7.574 |
| III/IV | 55 | 34 (61.82) | 0.006 | 35 (63.63) | 0.003 | 39 (70.91) | 9.62 × 10−5 | 33 (60.00) | 0.006 | |
| Clinicopathologic Factor | DFS | OS | ||||||||||||
|---|---|---|---|---|---|---|---|---|---|---|---|---|---|---|
| Total | Survival (mo.) | Univariate Analysis | Multivariate Analysis | Survival (mo.) | Univariate Analysis | Multivariate Analysis | ||||||||
| N | χ2 | p-Values | HR (95% CI) | p-Values | χ2 | p-Values | HR (95% CI) | p-Values | ||||||
| Age | <60 | 45 | 21.69 ± 6.90 | 2.577 | 0.108 | 1.604 | 0.842–3.057 | 0.151 | 22.67 ± 6.43 | 2.608 | 0.106 | 2.184 | 0.894–5.337 | 0.086 |
| ≥60 | 65 | 20.66 ± 7.75 | 24.15 ± 7.76 | |||||||||||
| Gender | Male | 78 | 19.92 ± 6.85 | 4.447 | 0.035 | 0.237 | 0.098–0.574 | 0.001 | 22.65 ± 5.95 | 8.597 | 0.003 | 0.120 | 0.026–0.553 | 0.006 |
| Female | 32 | 23.91 ± 8.02 | 25.72 ± 9.50 | |||||||||||
| Smoking | No | 45 | 21.33 ± 7.95 | 0.580 | 0.446 | 0.456 | 0.215–0.969 | 0.041 | 23.96 ± 8.00 | 0.707 | 0.401 | 0.578 | 0.220–1.519 | 0.266 |
| Yes | 65 | 20.91 ± 7.05 | 23.26 ± 6.74 | |||||||||||
| Lesion site | Left lobe | 50 | 20.94 ± 7.79 | 0.003 | 0.957 | 0.873 | 0.476–1.601 | 0.660 | 24.26 ± 7.74 | 0.254 | 0.615 | 0.933 | 0.409–2.130 | 0.869 |
| Right lobe | 60 | 21.20 ± 7.12 | 22.95 ± 6.83 | |||||||||||
| Histopathological type | SCC | 45 | 22.60 ± 7.85 | 2.286 | 0.131 | 1.374 | 0.654–2.888 | 0.401 | 24.76 ± 7.76 | 0.068 | 0.794 | 1.338 | 0.518–3.452 | 0.548 |
| ADC | 65 | 20.03 ± 6.94 | 22.71 ± 6.82 | |||||||||||
| Tumor size | ≤3 cm | 24 | 20.38 ± 6.28 | 0.833 | 0.361 | 0.894 | 0.421–1.897 | 0.769 | 24.12 ± 8.22 | 0.342 | 0.559 | 1.528 | 0.476–4.903 | 0.476 |
| >3 cm | 85 | 21.34 ± 7.73 | 23.47 ± 7.00 | |||||||||||
| Differentiation | Well/Moderate | 40 | 21.55 ± 6.92 | 0.016 | 0.898 | 0.685 | 0.326–1.439 | 0.318 | 23.80 ± 6.43 | 0.000 | 1.000 | 0.653 | 0.237–1.796 | 0.409 |
| Poor | 70 | 20.81 ± 7.70 | 23.40 ± 7.73 | |||||||||||
| T stage | T2 | 93 | 20.92 ± 7.23 | 0.000 | 0.993 | 0.776 | 0.313–1.925 | 0.584 | 23.30 ± 6.92 | 0.269 | 0.604 | 0.410 | 0.120–1.407 | 0.156 |
| T3 | 17 | 21.94 ± 8.45 | 24.88 ± 8.99 | |||||||||||
| Lymph node status | N0 | 18 | 19.28 ± 4.99 | 0.585 | 0.444 | 0.757 | 0.256–2.243 | 0.616 | 20.39 ± 3.27 | 0.455 | 0.500 | 0.497 | 0.133–1.859 | 0.299 |
| N1–3 | 92 | 21.43 ± 7.76 | 24.16 ± 7.66 | |||||||||||
| Distant metastasis | M0 | 108 | 20.82 ± 7.09 | 2.229 | 0.135 | 0.000 | 0.000–9.74 × 10233 | 0.968 | 23.28 ± 6.82 | 0.417 | 0.519 | 1.451 | 0.139–15.122 | 0.756 |
| M1 | 2 | 35.00 ± 14.14 | 38.00 ± 18.38 | |||||||||||
| Clinical stage | I/II | 56 | 21.96 ± 6.89 | 5.723 | 0.017 | 1.878 | 0.903–3.903 | 0.091 | 23.29 ± 6.58 | 1.075 | 0.300 | 1.418 | 0.532–3.781 | 0.486 |
| III/IV | 54 | 20.17 ± 7.85 | 23.81 ± 7.95 | |||||||||||
| Circulating CK7 mRNA | >2-fold | 53 | 17.62 ± 7.95 | 82.565 | 1.02 × 10−9 | 132.315 | 10.691-1637.622 | 1.41 × 10−4 | 22.74 ± 9.00 | 36.447 | 1.57 × 10−9 | 91.148 | 3.863–2150.588 | 0.005 |
| Normal/low | 57 | 24.30 ± 5.11 | 24.30 ± 5.11 | |||||||||||
| Circulating ELF3 mRNA | >2-fold | 54 | 17.87 ± 8.00 | 77.808 | 1.13 × 10−18 | 119.681 | 10.024–1428.965 | 1.56 × 10−4 | 22.89 ± 8.91 | 34.479 | 4.31 × 10−9 | 84.458 | 3.655–1951.764 | 0.006 |
| Normal/low | 56 | 24.18 ± 5.19 | 24.18 ± 5.19 | |||||||||||
| Circulating EGFR mRNA | >2-fold | 57 | 18.39 ± 8.51 | 67.452 | 2.16 × 10−16 | 101.954 | 8.565–1213.683 | 2.53 × 10−4 | 23.14 ± 9.13 | 29.888 | 4.58 × 10−8 | 72.525 | 3.178–1655.090 | 0.007 |
| Normal/low | 53 | 23.98 ± 4.49 | 23.98 ± 4.49 | |||||||||||
| Circulating EphB4 mRNA | >2-fold | 52 | 17.69 ± 7.69 | 68.262 | 1.43 × 10−16 | 26.490 | 8.111–86.516 | 5.76 × 10−8 | 22.62 ± 8.88 | 30.619 | 3.14 × 10−8 | 19.010 | 4.487–80.547 | 6.40 × 10−5 |
| Normal/low | 58 | 24.12 ± 5.64 | 24.38 ± 5.34 | |||||||||||
© 2016 by the authors; licensee MDPI, Basel, Switzerland. This article is an open access article distributed under the terms and conditions of the Creative Commons Attribution (CC-BY) license (http://creativecommons.org/licenses/by/4.0/).
Share and Cite
Yu, X.-M.; Wu, Y.-C.; Liu, X.; Huang, X.-C.; Hou, X.-X.; Wang, J.-L.; Cheng, X.-L.; Mao, W.-M.; Ling, Z.-Q. Cell-Free RNA Content in Peripheral Blood as Potential Biomarkers for Detecting Circulating Tumor Cells in Non-Small Cell Lung Carcinoma. Int. J. Mol. Sci. 2016, 17, 1845. https://doi.org/10.3390/ijms17111845
Yu X-M, Wu Y-C, Liu X, Huang X-C, Hou X-X, Wang J-L, Cheng X-L, Mao W-M, Ling Z-Q. Cell-Free RNA Content in Peripheral Blood as Potential Biomarkers for Detecting Circulating Tumor Cells in Non-Small Cell Lung Carcinoma. International Journal of Molecular Sciences. 2016; 17(11):1845. https://doi.org/10.3390/ijms17111845
Chicago/Turabian StyleYu, Xin-Min, Yi-Chen Wu, Xiang Liu, Xian-Cong Huang, Xiu-Xiu Hou, Jiu-Li Wang, Xiang-Liu Cheng, Wei-Min Mao, and Zhi-Qiang Ling. 2016. "Cell-Free RNA Content in Peripheral Blood as Potential Biomarkers for Detecting Circulating Tumor Cells in Non-Small Cell Lung Carcinoma" International Journal of Molecular Sciences 17, no. 11: 1845. https://doi.org/10.3390/ijms17111845
APA StyleYu, X.-M., Wu, Y.-C., Liu, X., Huang, X.-C., Hou, X.-X., Wang, J.-L., Cheng, X.-L., Mao, W.-M., & Ling, Z.-Q. (2016). Cell-Free RNA Content in Peripheral Blood as Potential Biomarkers for Detecting Circulating Tumor Cells in Non-Small Cell Lung Carcinoma. International Journal of Molecular Sciences, 17(11), 1845. https://doi.org/10.3390/ijms17111845
