Extraction, Preliminary Characterization and Evaluation of in Vitro Antitumor and Antioxidant Activities of Polysaccharides from Mentha piperita
Abstract
:1. Introduction
2. Results and Discussion
2.1. Statistical Analysis and Model Fitting
| Run | A | B (h) | C (°C) | Y MPP Yield (%) |
|---|---|---|---|---|
| 1 | 15 | 1.0 | 80 | 5.140 |
| 2 | 25 | 1.0 | 80 | 7.376 |
| 3 | 15 | 2.0 | 80 | 5.769 |
| 4 | 25 | 2.0 | 80 | 6.588 |
| 5 | 15 | 1.5 | 70 | 5.592 |
| 6 | 25 | 1.5 | 70 | 7.162 |
| 7 | 15 | 1.5 | 90 | 5.838 |
| 8 | 25 | 1.5 | 90 | 7.463 |
| 9 | 20 | 1.0 | 70 | 7.486 |
| 10 | 20 | 2.0 | 70 | 7.058 |
| 11 | 20 | 1.0 | 90 | 7.152 |
| 12 | 20 | 2.0 | 90 | 7.324 |
| 13 | 20 | 1.5 | 80 | 7.989 |
| 14 | 20 | 1.5 | 80 | 8.452 |
| 15 | 20 | 1.5 | 80 | 8.328 |
| 16 | 20 | 1.5 | 80 | 8.021 |
| 17 | 20 | 1.5 | 80 | 8.371 |
| Source | Sum of Squares | Degree of Freedom | Mean Square | F-Value | p-Value | |||
|---|---|---|---|---|---|---|---|---|
| Model | 16.51 | 9 | 1.83 | 55.48 | <0.0001 | |||
| A | 4.88 | 1 | 4.88 | 147.70 | <0.0001 | |||
| B | 0.022 | 1 | 0.022 | 0.65 | 0.4462 | |||
| C | 0.029 | 1 | 0.029 | 0.87 | 0.3826 | |||
| AB | 0.50 | 1 | 0.50 | 15.18 | 0.0059 | |||
| AC | 7.563 × 10−4 | 1 | 7.563 × 10−4 | 0.023 | 0.8840 | |||
| BC | 0.090 | 1 | 0.09 | 2.72 | 0.1492 | |||
| A2 | 7.99 | 1 | 7.99 | 241.71 | <0.0001 | |||
| B2 | 1.71 | 1 | 1.71 | 51.58 | 0.0002 | |||
| C2 | 0.49 | 1 | 0.49 | 14.80 | 0.0063 | |||
| Residual | 0.23 | 7 | 0.033 | - | - | |||
| Lack of Fit | 0.051 | 3 | 0.017 | 0.38 | 0.7761 | |||
| Pure Error | 0.18 | 4 | 0.045 | - | - | |||
| Cor Total | 16.74 | 16 | - | - | - | |||
| Standard Deviation | Mean | C.V.% | Press | R2 | R2Adj | R2Pred | Adequate precision | |
| 0.18 | 7.12 | 2.55 | 1.10 | 0.9862 | 0.9684 | 0.9345 | 22.21 | |
2.2. Analysis of Response Surface

2.3. Physicochemical Properties of MPP (Mentha piperita)


2.4. Antitumor Activity in Vitro
2.4.1. In Vitro Cancer Cell Line Cytotoxicity Assay

2.4.2. DNA Topoisomerase I Inhibitory Activity
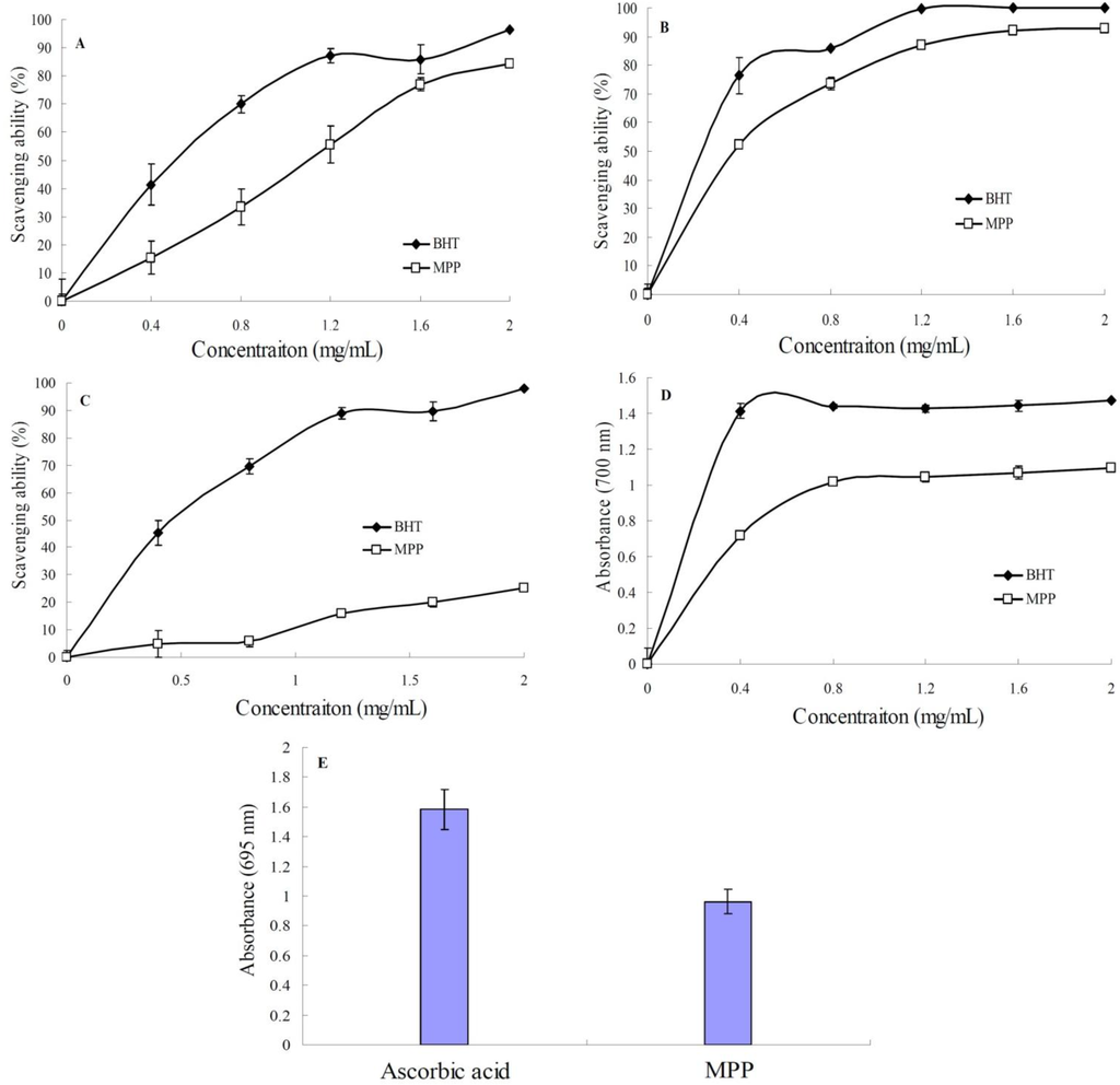
2.5. In Vitro Antioxidant Activities of MPP
2.5.1. DPPH (1,1-Diphenyl-2-picryl-hydrazyl0) Radical Scavenging Assay

2.5.2. Hydroxyl Radical Scavenging Activity
2.5.3. Superoxide Radical Scavenging Activity
2.5.4. Reducing Power
2.5.5. Total Antioxidant Activity
3. Experimental Section
3.1. Experiment Materials and Chemicals
3.2. Preparation of Polysaccharides
3.3. Experimental Design
3.4. Component Analysis
3.5. Fourier Transform Infrared (FT-IR) Spectroscopy of MPP
3.6. Antitumor Activity in Vitro
3.6.1. In Vitro Cancer Cell Line Cytotoxicity Assay
3.6.2. Assay of DNA Topoisomerase I (Topo I) Inhibitory Activity
3.7. Antioxidant Activity of MPP in Vitro
3.7.1. DPPH Radical Scavenging Assay
3.7.2. Hydroxyl Radical Scavenging Activity
3.7.3. Superoxide Radical Scavenging Activity
3.7.4. Reducing Power
3.7.5. Total Antioxidant Activity
4. Conclusions
Acknowledgments
Author Contributions
Conflicts of Interest
References
- Zong, A.; Cao, H.; Wang, F. Anticancer polysaccharides from natural resources: A review of recent research. Carbohydr. Polym. 2011, 90, 1395–1410. [Google Scholar] [CrossRef]
- Chen, X.; Nie, W.; Yu, G.; Li, Y.; Hu, Y.; Lu, J.; Jin, L. Antitumor and immunomodulatory activity of polysaccharides from Sargassum fusiforme. Food Chem. Toxicol. 2012, 50, 695–700. [Google Scholar] [CrossRef]
- Zhao, Q.S.; Xie, B.X.; Yan, J.; Zhao, F.C.; Xiao, J.; Yao, LY.; Zhao, B.; Huang, Y.X. In vitro antioxidant and antitumor activities of polysaccharides extracted from Asparagus officinalis. Carbohydr. Polym. 2012, 87, 392–396. [Google Scholar] [CrossRef]
- Jiang, C.; Wang, M.; Liu, J.; Gan, D.; Zeng, X. Extraction, preliminary characterization, antioxidant and anticancer activities in vitro of polysaccharides from Cyclina sinensis. Carbohydr. Polym. 2011, 84, 851–857. [Google Scholar] [CrossRef]
- Shao, P.; Chen, X.; Sun, P. In vitro antioxidant and antitumor activities of different sulfated polysaccharides isolated from three algae. Int. J. Biol. Macromol. 2013, 62, 155–161. [Google Scholar] [CrossRef]
- Grigoleit, H.G.; Grigoleit, P. Peppermint oil in irritable bowel syndrome. Phytomedicine 2005, 12, 601–606. [Google Scholar] [CrossRef]
- McKay, D.L.; Blumberg, J.B. A review of the bioactivity and potential health benefits of peppermint tea (Mentha piperita L.). Phytother. Res. 2006, 20, 619–633. [Google Scholar]
- Zheng, W.; Wang, S.Y. Antioxidant activity and phenolic compounds in selected herbs. J. Agric. Food Chem. 2001, 49, 5165–5170. [Google Scholar] [CrossRef]
- Kim, S.; Cho, Y.; Park, S. Cytotoxicity of methanol extracts of edible herbs against L1210 cells with the changes of antioxidant enzymes activities. Korean J. Pharm. 2002, 33, 376–383. (in Korean). [Google Scholar]
- Inoue, T.; Sugimoto, Y.; Masuda, H.; Kamei, C. Antiallergic effect of flavonoid glycosides obtained from Mentha piperita L. Biol. Pharm. Bull. 2002, 25, 256–259. [Google Scholar] [CrossRef]
- Herrmann, E.C.; Kucera, L.S. Antiviral substances in plants of the mint family (Labiatae). III. Peppermint (Mentha piperita) and other mint plants. Proc. Soc. Exp. Biol. Med. 1967, 124, 874–878. [Google Scholar]
- Andogan, B.C.; Baydar, H.; Kaya, S.; Demirci, M.; Ozbasar, D.; Mumcu, E. Antimicrobial activity and chemical composition of some essential oils. Arch. Pharm. Res. 2002, 25, 860–864. [Google Scholar] [CrossRef]
- Guo, X.; Zou, X.; Sun, M. Optimization of extraction process by response surface methodology and preliminary characterization of polysaccharides from Phellinus igniarius. Carbohydr. Polym. 2010, 80, 344–349. [Google Scholar] [CrossRef]
- Wang, Z.; Wang, C.; Guan, Y. Extraction of polysaccharides from Phellinus nigricans mycelia and their antioxidant activities in vitro. Carbohydr. Polym. 2014, 99, 110–115. [Google Scholar] [CrossRef]
- Samvati, V.; Manoochehrizade, A. Polysaccharide extraction from Malva sylvestris and its anti-oxidant activity. Int. J. Biol. Macromol. 2013, 60, 427–436. [Google Scholar] [CrossRef]
- Li, P.; Lu, S.; Shan, T.; Mou, Y.; Li, Y.; Sun, W.; Zhou, L. Extraction optiminization of water-extracted Mycelial polysaccharide from endophytic fungus Fusarium oxysporum Dzf17 by response surface methodogy. Int. J. Mol. Sci. 2012, 13, 5441–5453. [Google Scholar] [CrossRef]
- Lee, C.C.; Chang, D.M.; Huang, K.F.; Chen, C.L.; Chen, T.C.; Lo, Y.; Guh, J. H.; Huang, H.S. Design, synthesis and antiproliferative evaluation of fluorenone analogs with DNA topoisomerase I inhibitory properties. Bioorg. Med. Chem. 2013, 21, 7125–7133. [Google Scholar] [CrossRef]
- Umemura, K.; Yanase, K.; Suzuki, M.; Okutani, K.; Yamori, T.; Andoh, T. Inhibition of DNA topoisomerases I and II, and growth inhibition of human cancer cell lines by a marine microalgal polysaccharide. Biochem. Pharmacol. 2003, 66, 481–487. [Google Scholar] [CrossRef]
- Balavigneswaran, C.K.; Kumar, T.; Packiaraj, R.M.; Veeraraj, A.; Parkash, S. Anti-oxidant activity of polysaccharides extracted from Isocrysis galbana using RSM optimized conditions. Int. J. Biol. Macromol. 2013, 60, 100–108. [Google Scholar] [CrossRef]
- Wang, R.F.; Chen, P.; Jia, F.; Tang, J.; Ma, F. Optimization of polysaccharides from Panax japonicas C.A. Meyer by RSM and its anti-oxidant activity. Int. J. Biol. Macromol. 2012, 50, 331–336. [Google Scholar]
- Shao, P.; Chen, X.; Sun, P. Chemical characterization, antioxidant and antitumor activity of sulfated polysaccharide from Sargassum horneri. Carbohydr. Polym. 2014, 105, 260–269. [Google Scholar] [CrossRef]
- Dubois, M.; Gilles, K.A.; Hamilton, J.K.; Rebers, P.T.; Smith, F. Colorimetric method for determination of sugars and related substances. Anal. Chem. 1956, 28, 350–356. [Google Scholar] [CrossRef]
- Bradford, M.M. A rapid and sensitive method for the quantitation of microgram quantities of protein utilizing the principle of protein-dye binding. Anal. Biochem. 1976, 72, 248–254. [Google Scholar] [CrossRef]
- Therho, T.T.; Hartiala, K. Method for determination of the sulfate content of glycosamino glycans. Anal. Biochem. 1971, 41, 471–476. [Google Scholar] [CrossRef]
- Bitter, T.; Muir, H.M. A modified uronic acid carbazole reaction. Anal. Biochem. 1962, 4, 330–334. [Google Scholar] [CrossRef]
- Liu, X.; Sun, Z.L.; Zhang, M.S.; Meng, X.M.; Xia, X.K.; Yuan, W.P.; Xue, F.; Liu, C.H. Antioxidant and antihyperlipidemic activities of polysaccharides from sea cucumber Apostichopus japonicus. Carbohydr. Polym. 2012, 90, 1664–1670. [Google Scholar] [CrossRef]
- Sun, H.; Mao, W.; Chen, Y.; Guo, S.; Li, H.; Qi, X.; Chen, Y.; Xu, J. Isolation, chemical characteristics and antioxidant properties of the polysaccharides from marine fungus Penicillium sp. F23-2. Carbohydr. Polym. 2009, 78, 117–124. [Google Scholar]
- Prieto, P.; Pineda, M.; Aguilar, M. Spectrophotometric quantitation of antioxidant capacity through the formation of a phosphomolybdenum complex: specific application to the determination of Vitamin E. Anal. Biochem. 1999, 269, 337–341. [Google Scholar] [CrossRef]
© 2014 by the authors; licensee MDPI, Basel, Switzerland. This article is an open access article distributed under the terms and conditions of the Creative Commons Attribution license (http://creativecommons.org/licenses/by/3.0/).
Share and Cite
Liu, X.; Sun, Z.-L.; Jia, A.-R.; Shi, Y.-P.; Li, R.-H.; Yang, P.-M. Extraction, Preliminary Characterization and Evaluation of in Vitro Antitumor and Antioxidant Activities of Polysaccharides from Mentha piperita. Int. J. Mol. Sci. 2014, 15, 16302-16319. https://doi.org/10.3390/ijms150916302
Liu X, Sun Z-L, Jia A-R, Shi Y-P, Li R-H, Yang P-M. Extraction, Preliminary Characterization and Evaluation of in Vitro Antitumor and Antioxidant Activities of Polysaccharides from Mentha piperita. International Journal of Molecular Sciences. 2014; 15(9):16302-16319. https://doi.org/10.3390/ijms150916302
Chicago/Turabian StyleLiu, Xin, Zhen-Liang Sun, Ai-Rong Jia, Ya-Ping Shi, Rui-Hong Li, and Pei-Ming Yang. 2014. "Extraction, Preliminary Characterization and Evaluation of in Vitro Antitumor and Antioxidant Activities of Polysaccharides from Mentha piperita" International Journal of Molecular Sciences 15, no. 9: 16302-16319. https://doi.org/10.3390/ijms150916302
APA StyleLiu, X., Sun, Z.-L., Jia, A.-R., Shi, Y.-P., Li, R.-H., & Yang, P.-M. (2014). Extraction, Preliminary Characterization and Evaluation of in Vitro Antitumor and Antioxidant Activities of Polysaccharides from Mentha piperita. International Journal of Molecular Sciences, 15(9), 16302-16319. https://doi.org/10.3390/ijms150916302
